Long-Term Tropospheric Ozone Data Analysis 1997–2019 at Giordan Lighthouse, Gozo, Malta
Abstract
1. Introduction
2. Experimental
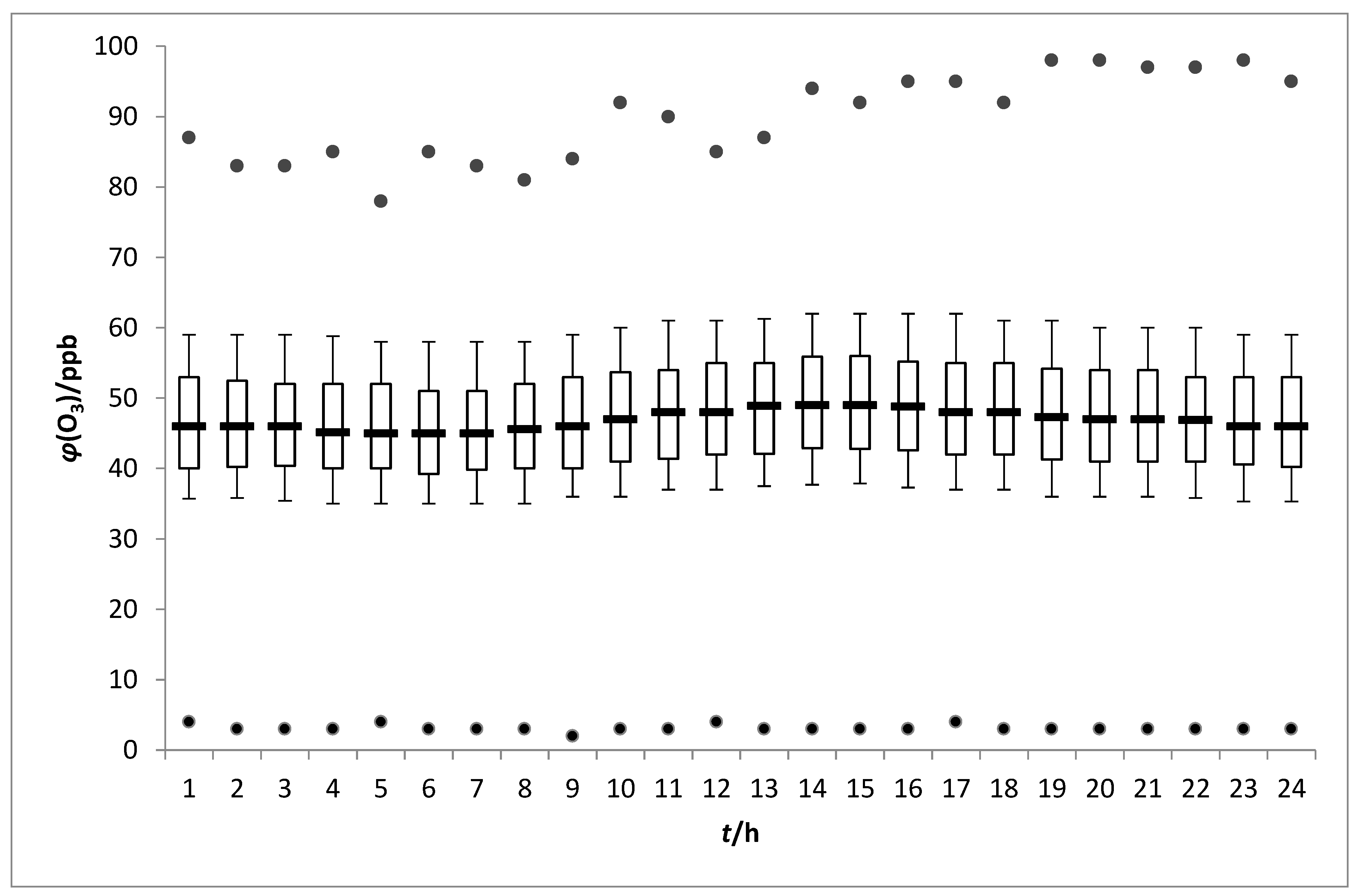
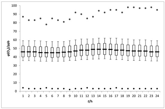
3. Results and Discussion
4. Conclusions
Supplementary Materials
Author Contributions
Funding
Institutional Review Board Statement
Informed Consent Statement
Data Availability Statement
Conflicts of Interest
References
- Nuvolone, D.; Petri, D.; Voller, F. The effects of ozone on human health. Environ. Sci. Pollut. Res. Int. 2018, 25, 8074–8088. [Google Scholar] [CrossRef] [PubMed]
- Hoek, G.; Krishnan, R.M.; Beelen, R.; Peters, A.; Ostro, B.; Brunekreef, B.; Kaufman, J.D. Long-term air pollution exposure and cardio-respiratory mortality: A review. Environ. Health 2013, 12, 43. [Google Scholar] [CrossRef] [PubMed]
- Orru, H.; Ebi, K.L.; Forsberg, B. The Interplay of Climate Change and Air Pollution on Health. Curr. Environ. Health Rep. 2017, 4, 504–513. [Google Scholar] [CrossRef] [PubMed]
- Ramanathan, V.; Feng, Y. Air pollution, greenhouse gases and climate change: Global and regional perspectives. Atmos. Environ. 2009, 43, 37–50. [Google Scholar] [CrossRef]
- Jonson, J.E.; Borken-Kleefeld, J.; Simpson, D.; Nyíri, A.; Posch, M.; Heyes, C. Impact of excess NOx emissions from diesel cars on air quality, public health and eutrophication in Europe. Environ. Res. Lett. 2017, 12, 094017. [Google Scholar] [CrossRef]
- Simpson, D.; Arneth, A.; Mills, G.; Solberg, S.; Uddling, J. Ozone—The persistent menace: Interactions with the N cycle and climate change. Curr. Opin. Environ. Sustain. 1998, 9–10, 9–19. [Google Scholar] [CrossRef]
- Andersen, S.O. Lessons from the stratospheric ozone layer protection for climate. J. Environ. Stud. Sci. 2015, 5, 143–162. [Google Scholar] [CrossRef]
- Paoletti, E.; De Marco, A.; Racalbuto, S. Why should we calculate complex indices of ozone exposure? Results from Mediterranean background sites. Environ. Monit. Assess. 2007, 128, 19–30. [Google Scholar] [CrossRef]
- Pintarić, S.; Zeljković, I.; Pehnec, G.; Nesek, V.; Vrsalović, M.; Pintarić, H. Impact of meteorological parameters and air pollution on emergency department visits for cardiovascular diseases in the city of Zagreb, Croatia. Arch. Ind. Hyg. Toxicol. 2016, 67, 240–246. [Google Scholar] [CrossRef][Green Version]
- Faridi, S.; Shamsipour, M.; Krzyzanowski, M.; Kunzli, N.; Amini, H.; Azimi, F.; Malkawi, M.; Momeniha, F.; Gholampour, A.; Hassanvand, M.S.; et al. Long-term trends and health impact of PM2.5 and O3 in Tehran, Iran, 2006–2015. Environ. Int. 2018, 114, 37–49. [Google Scholar] [CrossRef]
- Mohan, R.R. Time series GHG emission estimates for residential, commercial, agriculture and fisheries sectors in India. Atmos. Environ. 2018, 178, 73–79. [Google Scholar] [CrossRef]
- Young, P.J.; Archibald, A.T.; Bowman, K.W.; Lamarque, J.F.; Naik, V.; Stevenson, D.S.; Tilmes, S.; Voulgarakis, A.; Wild, O.; Bergmann, D.; et al. Pre-industrial to end 21st century projections of tropospheric ozone from the Atmospheric Chemistry and Climate Model Intercomparison Project (ACCMIP). Atmos. Chem. Phys. 2013, 13, 2063–2090. [Google Scholar] [CrossRef]
- Sahu, L.K. Volatile organic compounds and their measurements in the troposphere. Curr. Sci. 2012, 102, 1645–1649. [Google Scholar]
- Atkinson, R. Atmospheric chemistry of VOCs and NOx. Atmos. Environ. 2000, 34, 2063–2101. [Google Scholar] [CrossRef]
- Saliba, M.; Azzopardi, F.; Muscat, R.; Grima, M.; Smyth, A.; Jalkanen, J.-P.; Johansson, L.; Deidun, A.; Gauci, A.; Galdies, C.; et al. Trends in vessel atmospheric emissions in the central mediterranean over the last 10 years and during the COVID-19 outbreak. J. Mar. Sci. Eng. 2021, 9, 762. [Google Scholar] [CrossRef]
- Kasibhatla, P.; Levy II, H.; Moxim, W.J.; Pandis, S.N.; Corbett, J.J.; Peterson, M.C.; Honrath, R.E.; Frost, G.J.; Knapp, K.; Parish, D.D.; et al. Do emissions from ships have a significant impact on concentrations of nitrogen oxides in the marine boundary layer? Geophys. Res. Lett. 2000, 27, 2229–2232. [Google Scholar] [CrossRef]
- Chen, G.; Huey, L.G.; Trainer, M.; Nicks, D.; Corbett, J.; Ryerson, T.; Parrish, D.; Neuman, J.A.; Nowak, J.; Tanner, D.; et al. An investigation of the chemistry of ship emission plumes during ITCT 2002. J. Geophys. Res. 2005, 110, D10S90. [Google Scholar] [CrossRef]
- Kalabokas, P.D.; Mihalopoulos, N.; Ellul, R.; Kleanthous, S.; Repapis, C.C. An investigation of the meteorological and photochemical factors influencing the background rural and marine surface ozone levels in the Central and Eastern Mediterranean. Atmos. Environ. 2008, 42, 7894–7906. [Google Scholar] [CrossRef]
- Sánchez-Lorenzo, A.; Calbo, J.; Martin-Vide, J. Spatial and temporal trends in sunshine duration over Western Europe (1938–2004). J. Clim. 2008, 21, 6089–6098. [Google Scholar] [CrossRef]
- Kovač–Andrić, E.; Gvozdić, V.; Herjavić, G.; Muharemović, H. Assessment of ozone variations and meteorological influences in a tourist and health resort area on the island of Mali Lošinj (Croatia). Environ. Sci. Pollut. Res. 2013, 20, 5106–5113. [Google Scholar] [CrossRef][Green Version]
- Kunz, H.; Speth, P. Variability of near-groud ozone concentrations during cold front passages—A possible effect of tropopause folding events. J. Atmos. Chem. 1997, 28, 77–95. [Google Scholar] [CrossRef]
- Brunner, D.; Staehelin, J.; Jeker, D. Large-scale nitrogen oxide plumes in the troppause region and implications for ozone. Science 1998, 282, 1305–1309. [Google Scholar] [CrossRef] [PubMed]
- Yin, Z.C.; Li, Y.Y.; Cao, B.F. Seasonal prediction of surface O3-related meteorological conditions in summer in North China. Atmos. Res. 2020, 246, 105110. [Google Scholar] [CrossRef]
- Porter, W.C.; Heald, C.L. The mechanisms and meteorological drivers of the summertime ozone–temperature relationship. Atmos. Chem. Phys. 2019, 19, 13367–13381. [Google Scholar] [CrossRef]
- Liu, Y.M.; Wang, T. Worsening urban ozone pollution in China from 2013 to 2017–part 1: The complex and varying roles of meteorology. Atmos. Chem. Phys. 2020, 20, 6305–6321. [Google Scholar] [CrossRef]
- Azzopardi, F.; Ellul, R.; Prestefilippo, M.; Scollo, S.; Coltelli, M. The effect of Etna volcanic Ash clouds on the Maltese islands. J. Volcanol. Geotherm. Res. 2013, 260, 13–26. [Google Scholar] [CrossRef]
- Jonson, J.E.; Simpson, D.; Fagerli, H.; Solberg, S. Can we explain the trends in European ozone levels? Atmos. Chem. Phys. 2006, 6, 51–66. [Google Scholar] [CrossRef]
- Freeman, B.S.; Taylor, G.; Gharabaghi, B. Forecasting air quality time series using deep learning. J. Air Waste Manag. 2018, 68, 866–886. [Google Scholar] [CrossRef]
- Vingarzan, R. A review of surface ozone background levels and trends. Atmos. Environ. 2004, 38, 3431–3442. [Google Scholar] [CrossRef]
- Fernández-Guisuraga, J.M.; Castro, A.; Alves, C.; Calvo, A.; Alonso-Blanco, E.; Blanco-Alegre, C.; Rocha, A.; Fraile, R. Nitrogen oxides and ozone in Portugal: Trends and ozone estimation in an urban and a rural site. Environ. Sci. Pollut. Res. 2016, 23, 17171–17182. [Google Scholar] [CrossRef]
- Adame, J.A.; Sole, J.G. Surface ozone variations at a rural area in the northeast of the Iberian Peninsula. Atmos. Pollut. Res. 2013, 4, 130–141. [Google Scholar] [CrossRef]
- Alebić-Juretić, A. Ozone levels in the Rijeka bay area, Northern Adriatic, Croatia, 1999–2007. Int. J. Remote Sens. 2012, 33, 335–345. [Google Scholar] [CrossRef][Green Version]
- Matasović, B.; Herjavić, G.; Klasinc, L.; Cvitaš, T. Analysis of ozone data from the Puntijarka station for the period between 1989 and 2009. J. Atmos. Chem. 2014, 71, 269–282. [Google Scholar] [CrossRef]
- Nolle, M.; Ellul, R.; Heinrich, G.; Gusten, H. A long-term study of background ozone concentrations in the Central Mediterranean-Diurnal and seasonal variations on the island of Gozo. Atmos. Environ. 2002, 36, 1391–1402. [Google Scholar] [CrossRef]
- Ellul, R.; Nolle, M. Long Term Trends of Trace Gas Concentrations in the Central Mediterranean as Measured at the GAW Station on the Island of Gozo. In TOR-2 (EUROTRAC-2) Final Report; National Research Center for Environment and Health (GSF): Neuherberg, Germany, 2003; pp. 69–72. [Google Scholar]
- Ayers, G.P.; Granek, H.; Boers, R. Ozone in the Marine Boundary Level at Cape Grim: Model Simulation. J. Atmos. Chem. 1997, 27, 179–195. [Google Scholar] [CrossRef]
- Parrish, D.D.; Gallbaly, I.E.; Lamarque, J.-F.; Naik, V.; Horowitz, L.; Shindell, D.T.; Oltmans, S.J.; Derwent, R.; Tanimoto, H.; Labuschagne, C.; et al. Seasonal cycles of O3 in the marine boundary layer: Observation and model simulation comparisons. J. Geophys. Res. Atmos. 2016, 121, 538–557. [Google Scholar] [CrossRef]
- Gheusi, F. Ozone photochemical production rates in the Western Mediterranean. In Atmospheric Chemistry in the Mediterranean Region; Springer: Berlin/Heidelberg, Germany, 2022; pp. 139–153. [Google Scholar]
- Vichi, F.; Imperiali, A.; Frattoni, M.; Perilli, M.; Benedetti, P.; Esposito, G.; Cecinato, A. Air pollution survey across the western Mediterranean Sea: Overview on oxygenated volatile hydrocarbons (OVOCs) and other gaseous pollutants. Environ. Sci. Pollut. Res. 2019, 26, 16781–16799. [Google Scholar] [CrossRef]
- Vichi, F.; Ianniello, A.; Frattoni, M.; Imperiali, A.; Esposito, G.; Sciano, M.C.T.; Perilli, M.; Cecinato, A. Air quality assessment in the central mediterranean sea (Tyrrhenian sea): Anthropic impact and miscellaneous natural sources, including volcanic contribution, on the budget of volatile organic compounds (vocs). Atmosphere 2021, 12, 1609. [Google Scholar] [CrossRef]
- Gencarelli, C.N.; Hedgecock, I.M.; Sprovieri, F.; Schürmann, G.J.; Pirrone, N. Importance of ship emissions to local summertime ozone production in the mediterranean marine boundary layer: A modeling study. Atmosphere 2014, 5, 937–958. [Google Scholar] [CrossRef]
- Vrekoussis, M.; Mihalopoulos, N.; Gerasopoulos, E.; Kanakidou, M.; Crutzen, P.J.; Lelieveld, J. Two-years of NO3 radical observations in the boundary layer over the Eastern Mediterranean. Atmos. Chem. Phys. 2007, 7, 315–327. [Google Scholar] [CrossRef]
- Gerasopoulos, E.; Kouvarakis, G.; Vrekoussis, M.; Donoussis, C.; Mihalopoulos, N.; Kanakidou, M. Photochemical ozone production in the Eastern Mediterranean. Atmos. Environ. 2006, 40, 3057–3069. [Google Scholar] [CrossRef]
- Derwent, R.G.; Manning, A.J.; Simmonds, P.G.; Spain, T.G.; O’Doherty, S. Long-term trends in ozone in baseline and European regionally-polluted air at Mace head, Ireland over a 30-year period. Atmos. Environ. 2018, 179, 279–287. [Google Scholar] [CrossRef]
- Parrish, D.D.; Derwent, R.G.; O’Doherty, S.; Simmonds, P.G. Flexible approach for quantifying average long-term changes and seasonal cycles of tropospheric trace species. Atmos. Meas. Tech. 2019, 12, 3383–3394. [Google Scholar] [CrossRef]
- Zeng, J.; Tohjima, Y.; Fujinuma, Y.; Mukai, H.; Katsumoto, M. A study of trajectory quality using methane measurements from Hateruma Island. Atmos. Environ. 2003, 37, 1911–1919. [Google Scholar]











Disclaimer/Publisher’s Note: The statements, opinions and data contained in all publications are solely those of the individual author(s) and contributor(s) and not of MDPI and/or the editor(s). MDPI and/or the editor(s) disclaim responsibility for any injury to people or property resulting from any ideas, methods, instructions or products referred to in the content. |
© 2023 by the authors. Licensee MDPI, Basel, Switzerland. This article is an open access article distributed under the terms and conditions of the Creative Commons Attribution (CC BY) license (https://creativecommons.org/licenses/by/4.0/).
Share and Cite
Matasović, B.; Saliba, M.; Muscat, R.; Grima, M.; Ellul, R. Long-Term Tropospheric Ozone Data Analysis 1997–2019 at Giordan Lighthouse, Gozo, Malta. Atmosphere 2023, 14, 1446. https://doi.org/10.3390/atmos14091446
Matasović B, Saliba M, Muscat R, Grima M, Ellul R. Long-Term Tropospheric Ozone Data Analysis 1997–2019 at Giordan Lighthouse, Gozo, Malta. Atmosphere. 2023; 14(9):1446. https://doi.org/10.3390/atmos14091446
Chicago/Turabian StyleMatasović, Brunislav, Martin Saliba, Rebecca Muscat, Marvic Grima, and Raymond Ellul. 2023. "Long-Term Tropospheric Ozone Data Analysis 1997–2019 at Giordan Lighthouse, Gozo, Malta" Atmosphere 14, no. 9: 1446. https://doi.org/10.3390/atmos14091446
APA StyleMatasović, B., Saliba, M., Muscat, R., Grima, M., & Ellul, R. (2023). Long-Term Tropospheric Ozone Data Analysis 1997–2019 at Giordan Lighthouse, Gozo, Malta. Atmosphere, 14(9), 1446. https://doi.org/10.3390/atmos14091446

