Intermittency Scaling for Mixing and Dissipation in Rotating Stratified Turbulence at the Edge of Instability
Abstract
1. Introduction
2. Numerical Set-Up
2.1. Equations and Definitions
2.2. Overview of the Direct Numerical Simulations
3. Large-Scale and Small-Scale Intermittency in Turbulence
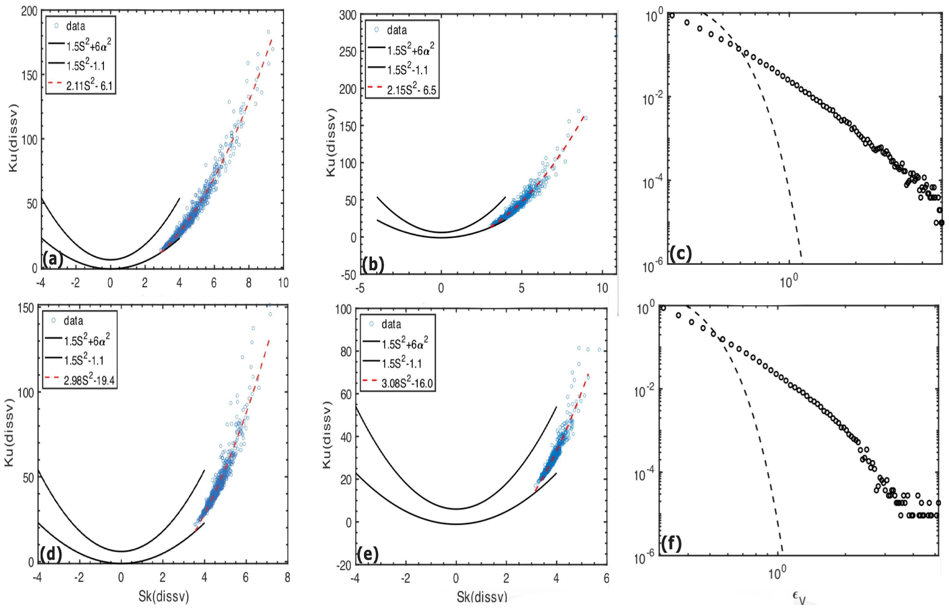
3.1. Is There a Skewness–Kurtosis Relationship for Fluid Turbulence with a Passive Scalar?
3.2. Relationships for the Buoyancy Flux in the Purely Stratified Case
4. The Case of Rotating Stratified Turbulence (RST)
5. Possible Frameworks for K(S) Relationships
6. Discussion, Conclusions, and Perspectives
Author Contributions
Funding
Data Availability Statement
Acknowledgments
Conflicts of Interest
References
- Kraichnan, R. The structure of isotropic turbulence at very high Reynolds numbers. J. Fluid Mech. 1959, 5, 497–543. [Google Scholar] [CrossRef]
- Sukoriansky, S.; Galperin, B.; Staroselsky, I. A quasinormal scale elimination model of turbulent flows with stable stratification. Phys. Fluids 2005, 17, 085107. [Google Scholar] [CrossRef]
- Nazarenko, S. Wave Turbulence; Lecture Notes in Physics; Springer: Berlin/Heidelberg, Germany, 2011; Volume 825. [Google Scholar]
- Zhou, Y. Turbulence theories and statistical closure approaches. Phys. Rep. 2021, 935, 1–117. [Google Scholar]
- Marston, J.B.; Tobias, S.M. Recent Developments in Theories of Inhomogeneous and Anisotropic Turbulence. Ann. Rev. Fluid Mech. 2022, 55, 1–29. [Google Scholar] [CrossRef]
- Lorenz, E.N. The predictability of a flow which possesses many scales of motion. Tellus 1969, 21, 289–307. [Google Scholar] [CrossRef]
- Leith, C.; Kraichnan, R. Predictability of turbulent flows. J. Atmos. Sci. 1972, 29, 1041–1058. [Google Scholar] [CrossRef]
- Herring, J.R.; Riley, J.J.; Patterson, G.S., Jr.; Kraichnan, R.H. Growth of Uncertainty in Decaying Isotropic Turbulence. J. Atm. Sci. 1973, 30, 997–1006. [Google Scholar] [CrossRef]
- Herring, J.R. Approach of axisymmetric turbulence to isotropy. Phys. Fluids 1974, 17, 859–872. [Google Scholar] [CrossRef]
- Schumann, U.; Herring, J. Axisymmetric homogeneous turbulence: A comparison of direct spectral simulations with the direct-interaction approximation. J. Fluid Mech. 1976, 76, 755–782. [Google Scholar] [CrossRef]
- Herring, J.R. Statistical theory of quasi-geostrophic turbulence. J. Atmos. Sci. 1980, 37, 969–977. [Google Scholar] [CrossRef]
- Herring, J.R.; Kerr, R.M. Comparison of direct numerical simulations with predictions of two-point closures for isotropic turbulence convecting a passive scalar. J. Fluid Mech. 1982, 118, 205–219. [Google Scholar] [CrossRef]
- Herring, J.; McWilliams, J. Comparison of direct numerical simulations of two-dimensional turbulence with two-point closure: The effects of intermittency. J. Fluid Mech. 1985, 153, 229–242. [Google Scholar] [CrossRef]
- Chen, H.; Herring, J.R.; Kerr, R.M.; Kraichnan, R.H. Non-Gaussian statistics in isotropic turbulence. Phys. Fluids 1989, A1, 1844–1855. [Google Scholar] [CrossRef]
- Chen, S.; Doolen, G.; Herring, J.R.; Kraichnan, R.H.; Orszag, S.A.; She, Z.S. Far-Dissipation Range of Turbulence. Phys. Rev. Lett. 1993, 70, 3051–3054. [Google Scholar] [CrossRef]
- Métais, O.; Herring, J. Numerical simulations of freely evolving turbulence in stably stratified fluids. J. Fluid Mech. 1989, 202, 117–148. [Google Scholar] [CrossRef]
- Kimura, Y.; Herring, J. Diffusion in stably stratified turbulence. J. Fluid Mech. 1996, 328, 253–269. [Google Scholar] [CrossRef]
- Champagne, F. The fine-scale structure of the turbulent velocity field. J. Fluid Mech. 1978, 86, 67–108. [Google Scholar] [CrossRef]
- Buaria, D.; Bodenschatz, E.; Pumir, A. Vortex stretching and enstrophy production in high Reynolds number turbulence. Phys. Rev. F 2020, 5, 104602. [Google Scholar] [CrossRef]
- Klymak, J.M.; Pinkel, R.; Rainville, L. Direct Breaking of the Internal Tide near Topography: Kaena Ridge, Hawaii. J. Phys. Oceano. 2008, 38, 380–399. [Google Scholar] [CrossRef]
- Belonenko, T.V.; Sandalyuk, N.V.; Gnevyshev, V.G. Interaction of Rossby waves with the Gulf Stream and Kuroshio using altimetry in a framework of a vortex layer model. Adv. Space Res. 2023, 71, 2384–2393. [Google Scholar] [CrossRef]
- Davis, A.Y.; Yan, X.H. Hurricane forcing on chlorophyll-a concentration off the northeast coast of the U.S. Geophys. Res. Lett. 2004, 31, L17304. [Google Scholar] [CrossRef]
- Grisouarda, N.; Leclair, M.; Gostiaux, L.; Staquet, C. Large-scale energy transfer from an internal gravity wave reflecting on a simple slope. Proc. IUTAM 2013, 8, 119–128. [Google Scholar] [CrossRef]
- McWilliams, J.C. A survey of submesoscale currents. Geosci. Lett. 2019, 6, 3. [Google Scholar] [CrossRef]
- Chau, J.; Marino, R.; Feraco, F.; Urco, J.; Baumgarten, G.; Lubken, F.; Hocking, W.; Schult, C.; Renkwitz, T.; Latteck, R. Radar observation of extreme vertical drafts in the polar summer mesosphere. Geophys. Res. Lett. 2021, 48, e2021GL094918. [Google Scholar] [CrossRef]
- Nastrom, G.D.; Gage, K. A climatology of atmospheric wavenumber spectra of wind and temperature observed by commercial aircraft. J. Atmos. Sci. 1985, 42, 950–960. [Google Scholar] [CrossRef]
- Waite, M.L. Random forcing of geostrophic motion in rotating stratified turbulence. Phys. Fluids 2017, 29. [Google Scholar] [CrossRef]
- Mininni, P.D.; Pouquet, A. Energy spectra stemming from interactions of Alfvén waves and turbulent eddies. Phys. Rev. Lett. 2007, 99, 254502. [Google Scholar] [CrossRef]
- Matthaeus, W. Turbulence in space plasmas: Who needs it? Phys. Plasmas 2021, 28, 032306. [Google Scholar] [CrossRef]
- Feraco, F.; Marino, R.; Pumir, A.; Primavera, L.; Mininni, P.; Pouquet, A.; Rosenberg, D. Vertical drafts and mixing in stratified turbulence: Sharp transition with Froude number. Eur. Phys. Lett. 2018, 123, 44002. [Google Scholar] [CrossRef]
- Marino, R.; Feraco, F.; Primavera, L.; Pumir, A.; Pouquet, A.; Rosenberg, D. Turbulence generation by large-scale extreme drafts and the modulation of local energy dissipation in stably stratified geophysical flows. Phys. Rev. F 2022, 7, 033801. [Google Scholar] [CrossRef]
- Osman, K.; Matthaeus, W.H.; Wand, M.; Rapazzo, A. Intermittency and local heating in the solar wind. Phys. Rev. Lett. 2012, 108, 261102. [Google Scholar] [CrossRef] [PubMed]
- Ergun, R.E.; Goodrich, K.A.; Wilder, F.D.; Ahmadi, N.; Holmes, J.C.; Eriksson, S.; Stawarz, J.E.; Nakamura, R.; Genestreti, K.J.; Hesse, M.; et al. Magnetic Reconnection, Turbulence, and Particle Acceleration: Observations in the Earth’s Magnetotail. Geophys. Res. Lett. 2018, 45, 3338–3347. [Google Scholar] [CrossRef]
- Lenschow, D.; Mann, J.; Kristensen, L. How long is long enough when measuring fluxes and other turbulence statistics? J. Atm. Oc. Tech. 1994, 11, 661–673. [Google Scholar] [CrossRef]
- Mole, N.; Clarke, E. Relationships between higher moments of concentration and of dose in turbulent dispersion. Bound. Layer Met. 1995, 73, 35–52. [Google Scholar] [CrossRef]
- Lewis, D.; Chatwin, P.; Mole, N. Investigation of the collapse of the skewness and kurtosis exhibited in atmospheric dispersion data. Nuovo Cimento 1997, 20, 385–397. [Google Scholar]
- Schopflocher, L.; Sullivan, P.J. The relationship between skewness and kurtosis of a diffusing scalar. Bound. Layer Met. 2005, 115, 341–358. [Google Scholar] [CrossRef]
- Sura, P.; Sardeshmukh, P.D. A global view of non-Gaussian SST variability. J. Phys. Oceano. 2008, 38, 639–647. [Google Scholar] [CrossRef]
- Sardeshmukh, P.D.; Sura, P. Reconciling Non-Gaussian Climate Statistics with Linear Dynamics. J. Climate 2009, 22, 1193–1207. [Google Scholar] [CrossRef]
- Kaur, S.; Lukovich, J.V.; Ehn, J.K.; Barber, D.G. Higher-order statistical moments to analyse Arctic sea-ice drift patterns. Ann. Glaciology 2021, 61, 464–471. [Google Scholar] [CrossRef]
- Labit, B.; Furno, I.; Fasoli, A.; Diallo, A.; Müller, S.; Plyushchev, G.; Podestà, M.; Poli, F. Universal Statistical Properties of Drift-Interchange Turbulence in TORPEX Plasmas. Phys. Rev. Lett. 2007, 98, 255002. [Google Scholar] [CrossRef]
- Krommes, J.A. The remarkable similarity between the scaling of kurtosis with squared skewness for TORPEX density fluctuations and sea-surface temperature fluctuations. Phys. Plasmas 2008, 15, 030703. [Google Scholar] [CrossRef]
- Sattin, F.; Agostini, M.; Cavazzana, R.; Serianni, G.; Scarin, P.; Vianello, N. About the parabolic relation between the skewness and the kurtosis in time series of experimental data. Phys. Scrip. 2009, 79, 045006. [Google Scholar] [CrossRef]
- Burkhart, B.; Stanimirovic, S.; Lazarian, A.; Kowal, G. Characterizing magnetohydrodynamic turbulence in the small Magellanic cloud. Astrophys. J. 2010, 708, 1204–1210. [Google Scholar] [CrossRef]
- Hamza, A.; Meziane, K. On turbulence in the quasi-perpendicular bow shock. Planet. Space Sci. 2011, 59, 475–481. [Google Scholar] [CrossRef]
- Osmane, A.; Dimmock, A.; Pulkkinen, T. Universal properties of mirror mode turbulence in the Earth magnetosheath. Geophys. Res. Lett. 2015, 42, 3085–3092. [Google Scholar] [CrossRef]
- Miranda, R.A.; Schelin, A.B.; Chian, A.C.L.; Ferreira, J.L. Non-Gaussianity and cross-scale coupling in interplanetary magnetic field turbulence during a rope-rope magnetic reconnection event. Ann. Geophys. 2018, 36, 497–507. [Google Scholar] [CrossRef]
- Maier, E.; Elmegreen, B.G.; Hunter, D.A.; Chien, L.H.; Hollyday, G.; Simpson, C.E. The Nature of Turbulence in the LITTLE THINGS Dwarf Irregular Galaxies. Astrophys. J. 2017, 153, 163. [Google Scholar] [CrossRef]
- Rosenberg, D.; Pouquet, A.; Marino, R.; Mininni, P. Evidence for Bolgiano-Obukhov scaling in rotating stratified turbulence using high-resolution direct numerical simulations. Phys. Fluids 2015, 27, 055105. [Google Scholar] [CrossRef]
- Kafiabad, H.; Bartello, P. Balance dynamics in rotating stratified turbulence. J. Fluid Mech. 2016, 795, 914–949. [Google Scholar] [CrossRef]
- Pouquet, A.; Rosenberg, D.; Marino, R.; Herbert, C. Scaling laws for mixing and dissipation in unforced rotating stratified turbulence. J. Fluid Mech. 2018, 844, 519–545. [Google Scholar] [CrossRef]
- Mahrt, L.; Sun, J.; Blumen, W.; Delany, T.; Oncley, S. Nocturnal boundary-layer regimes. Bound. Lay. Met. 1998, 88, 255–278. [Google Scholar] [CrossRef]
- Brethouwer, G.; Billant, P.; Lindborg, E.; Chomaz, J.M. Scaling analysis and simulation of strongly stratified turbulent flows. J. Fluid Mech. 2007, 585, 343–368. [Google Scholar] [CrossRef]
- Laval, J.P.; McWilliams, J.; Dubrulle, B. Forced stratified turbulence: Successive transitions with Reynolds number. Phys. Rev. E 2003, 68, 036308. [Google Scholar] [CrossRef] [PubMed]
- Legaspi, J.D.; Waite, M.L. Prandtl number dependence of stratified turbulence. J. Fluid Mech. 2020, 903, A12. [Google Scholar] [CrossRef]
- Venayagamoorthy, S.; Koseff, J. On the flux Richardson number in stably stratified turbulence. J. Fluid Mech. 2016, 798, R1–R10. [Google Scholar] [CrossRef]
- Oks, D.; Mininni, P.; Marino, R.; Pouquet, A. Inverse cascades and resonant triads in rotating and stratified turbulence. Phys. Fluids 2017, 29, 111109. [Google Scholar] [CrossRef]
- Lelong, M.P.; Riley, J. Internal wave-vortical mode interactions in strongly stratified flows. J. Fluid Mech. 1991, 232, 1–19. [Google Scholar] [CrossRef]
- Sukoriansky, S.; Galperin, B. An analytical theory of the buoyancy-Kolmogorov subrange transition in turbulent flows with stable stratification. Phil. Trans. Roy. Soc. A 2013, 371, 20120212. [Google Scholar] [CrossRef]
- Falcon, E.; Aumaitre, S.; Falcon, C.; Laroche, C.; Fauve, S. Fluctuations of Energy Flux in Wave Turbulence. Phys. Rev. Lett. 2008, 100, 064503. [Google Scholar] [CrossRef]
- Lee, J.S.; Kwon, C.; Park, H. Everlasting initial memory threshold for rare events in equilibration processes. Phys. Rev. E 2013, 87, 020104. [Google Scholar] [CrossRef]
- Sukoriansky, S.; Galperin, B. QNSE theory of turbulence anisotropization and onset of the inverse energy cascade by solid body rotation. J. Fluid Mech. 2016, 805, 384–421. [Google Scholar] [CrossRef]
- Rosenberg, D.; Mininni, P.D.; Reddy, R.; Pouquet, A. GPU Parallelization of a Hybrid Pseudospectral Geophysical Turbulence Framework Using CUDA. Atmosphere 2020, 11, 178. [Google Scholar] [CrossRef]
- Fontana, M.; Bruno, O.P.; Mininni, P.D.; Dmitruk, P. Fourier continuation method for incompressible fluids with boundaries. Comp. Phys. Comm. 2020, 256, 107482. [Google Scholar] [CrossRef]
- Godeferd, F.; Cambon, C. Detailed investigation of energy transfers in homogeneous stratified turbulence. Phys. Fluids 1994, 6, 2084–2100. [Google Scholar] [CrossRef]
- Rorai, C.; Mininni, P.; Pouquet, A. Stably stratified turbulence in the presence of large-scale forcing. Phys. Rev. E 2015, 92, 013003. [Google Scholar] [CrossRef] [PubMed]
- Hughes, C.W.; Thompson, A.F.; Wilson, C. Identification of jets and mixing barriers from sea level and vorticity measurements using simple statistics. Ocean Mod. 2010, 32, 44–57. [Google Scholar] [CrossRef]
- Yakhot, V.; Donzis, D.A. Anomalous exponents in strong turbulence. Phys. D 2018, 384, 12. [Google Scholar] [CrossRef]
- Khurshid, S.; Donzis, D.A.; Sreenivasan, K.R. Emergence of universal scaling in isotropic turbulence. Phys. Rev. E 2023, 107, 045102. [Google Scholar] [CrossRef]
- Bradshaw, Z.; Farhat, A.; Grujic, Z. An Algebraic Reduction of the Scaling Gap in the Navier-Stokes Regularity Problem. Arch. Ration. Mech. Anal. 2019, 231, 1983–2005. [Google Scholar] [CrossRef]
- Rafner, J.; Grujic, Z.; Bach, C.; Bærentzen, J.A.; Gervang, B.; Jia, R.; Leinweber, S.; Misztal, M.; Sherson, J. Geometry of turbulent dissipation and the Navier-Stokes regularity problem. Sci. Rep. 2021, 11, 8824. [Google Scholar] [CrossRef]
- Buaria, D.; Pumir, A.; Bodenschatz, E. Generation of intense dissipation in high Reynolds number turbulence. Phil. Trans. A 2022, 380, 20210088. [Google Scholar] [CrossRef] [PubMed]
- Rorai, C.; Mininni, P.; Pouquet, A. Turbulence comes in bursts in stably stratified flows. Phys. Rev. E 2014, 89, 043002. [Google Scholar] [CrossRef] [PubMed]
- Rosenberg, D.; Pouquet, A.; Marino, R. Correlation between buoyancy flux, dissipation and potential vorticity in rotating stratified turbulence. Atmosphere 2021, 12, 157. [Google Scholar] [CrossRef]
- Pouquet, A.; Rosenberg, D.; Stawarz, J.; Marino, R. Helicity Dynamics, Inverse, and Bidirectional Cascades in Fluid and Magnetohydrodynamic Turbulence: A Brief Review. Earth Space Sci. 2019, 6, 1–19. [Google Scholar] [CrossRef]
- Tuckerman, L.S.; Chantry, M.; Barkley, D. Patterns in Wall-Bounded Shear Flows. Ann. Rev. Fluid Mech. 2020, 52, 343–367. [Google Scholar] [CrossRef]
- McWilliams, J.C. Submesoscale currents in the ocean. Proc. Roy. Soc. A 2016, 472, 20160117. [Google Scholar] [CrossRef]
- Legg, S. Mixing by Oceanic Lee Waves. Ann. Rev. Fluid Mech. 2021, 53, 173–201. [Google Scholar] [CrossRef]
- Caulfield, C.P. Layering, Instabilities, and Mixing in Turbulent Stratified Flows. Ann. Rev. Fluid Mech. 2021, 53, 113–145. [Google Scholar] [CrossRef]
- Waite, M.L.; Richardson, N. Potential Vorticity Generation in Breaking Gravity Waves. Atmosphere 2023, 14, 881. [Google Scholar] [CrossRef]
- Pouquet, A.; Marino, R. Geophysical turbulence and the duality of the energy flow across scales. Phys. Rev. Lett. 2013, 111, 234501. [Google Scholar] [CrossRef]
- Marino, R.; Pouquet, A.; Rosenberg, D. Resolving the paradox of oceanic large-scale balance and small-scale mixing. Phys. Rev. Lett. 2015, 114, 114504. [Google Scholar] [CrossRef] [PubMed]
- Faranda, D.; Lembo, V.; Iyer, M.; Kuzzay, D.; Chibbaro, S.; Daviaud, F.; Dubrulle, B. Computation and Characterization of Local Subfilter-Scale Energy Transfers in Atmospheric Flows. J. Atmos. Sci. 2018, 75, 2175–2186. [Google Scholar] [CrossRef]
- Wang, Y.; Brasseur, G.P.; Wang, T. Segregation of Atmospheric Oxidants in Turbulent Urban Environments. Atmosphere 2022, 13, 315. [Google Scholar] [CrossRef]
- Falgarone, E.; Pety, J.; Hily-Blandt, J. Intermittency of interstellar turbulence: Extreme velocity-shears and CO emission on milliparsec scale. Astron. Astrophys. 2009, 507, 355–368. [Google Scholar] [CrossRef]
- Cael, B.; Mashayek, A. Log-Skew-Normality of Ocean Turbulence. Phys. Rev. Lett. 2021, 126, 224502. [Google Scholar] [CrossRef]
- Elsinga, G.E.; Ishihara, T.; Hunt, J.C. Extreme dissipation and intermittency in turbulence at very high Reynolds number. Proc. Roy. Soc. A 2020, 476, 20200591. [Google Scholar] [CrossRef]
- Moeng, C.; Rotunno, R. Vertical velocity skewness in the buoyancy-driven boundary layer. J. Atmos. Sci. 1990, 47, 1149–1162. [Google Scholar] [CrossRef]
- Kit, E.; Hocut, C.M.; Liberzon, D.; Fernando, H.J.S. Fine-scale turbulent bursts in stable atmospheric boundary layer in complex terrain. J. Fluid Mech. 2017, 833, 745–772. [Google Scholar] [CrossRef]
- de Vries, A.J. A global climatological perspective on the importance of Rossby wave breaking and intense moisture transport for extreme precipitation events. Weather Clim. Dyn. 2021, 2, 129–161. [Google Scholar] [CrossRef]
- White, R.H.; Kai Kornhuber, O.M.; Wirth, V. From Atmospheric Waves to Heatwaves: A Waveguide Perspective for Understanding and Predicting Concurrent, Persistent, and Extreme Extratropical Weather. BAMS 2022, 103, E923–E935. [Google Scholar] [CrossRef]
- Petoukhov, V.; Rahmstorf, S.; Petri, S.; Schellnhuber, H.J. Quasiresonant amplification of planetary waves and recent Northern Hemisphere weather extremes. Proc. Nat. Acad. Sci. USA 2013, 110, 5336–5341. [Google Scholar] [CrossRef] [PubMed]
- Raphaldini, B.; Peixoto, P.S.; Teruya, A.S.W.; Raupp, C.F.M.; Bustamante, M.D. Precession resonance of Rossby wave triads and the generation of low-frequency atmospheric oscillations. Phys. Fluids 2022, 34, 076604. [Google Scholar] [CrossRef]
- Wirth, V.; Riemer, M.; Chang, E.K.; Martius, O. Rossby Wave Packets on the Midlatitude Waveguide—A Review. Month. Wea. Rev. 2018, 146, 1965–2001. [Google Scholar] [CrossRef]
- Antokhina, O.; Antokhin, P.; Gochakov, A.; Zbirannik, A.; Gazimov, T. Atmospheric Circulation Patterns Associated with Extreme Precipitation Events in Eastern Siberia and Mongolia. Atmosphere 2023, 14, 480. [Google Scholar] [CrossRef]
- Lenschow, D.H.; Lothon, M.; Mayor, S.D.; Sullivan, P.P.; Canut, G. A Comparison of Higher-Order Vertical Velocity Moments in the Convective Boundary Layer from Lidar with in Situ Measurements and Large-Eddy Simulation. Bound. Lay. Met. 2012, 143, 107–123. [Google Scholar] [CrossRef]
- Sandberg, I.; Benkadda, S.; Garbet, X.; Ropokis, G.; Hizanidis, K.; del Castillo-Negrete, D. Universal Probability Distribution Function for Bursty Transport in Plasma Turbulence. PRL 2009, 103, 165001. [Google Scholar] [CrossRef]
- Guszejnov, D.; Lazanyi, N.; Bencze, A.; Zoletnik, S. On the effect of intermittency of turbulence on the parabolic relation between skewness and kurtosis in magnetized plasmas. Phys. Plasma 2013, 20, 112305. [Google Scholar] [CrossRef]
- Fritts, D.C.; Werne, J. Stratified shear turbulence: Evolution and statistics. Geophys. Res. Lett. 2009, 26, 439–442. [Google Scholar]
- Thalabard, S.; Bec, J.; Mailybaev, A.A. From the butterfly effect to spontaneous stochasticity in singular shear flows. Comm. Phys. 2020, 122, 3. [Google Scholar] [CrossRef]
- Mininni, P.; Alexakis, A.; Pouquet, A. Nonlocal interactions in hydrodynamic turbulence at high Reynolds numbers: The slow emergence of scaling laws. Phys. Rev. E 2008, 77, 036306. [Google Scholar] [CrossRef]
- Tamarin-Brodsky, T.; Hodges, K.; Hoskins, B.J.; Sheperd, T.G. A Simple Model for Interpreting Temperature Variability and Its Higher-Order Changes. J. Clim. 2022, 35, 387–403. [Google Scholar]
- Sreenivasan, K.; Antonia, R.A. The phenomenology of small-scale turbulence. Ann. Rev. Fluid Mech. 1997, 29, 435–472. [Google Scholar] [CrossRef]
- Schroder, M.; Batge, T.; Bodenschatz, E.; Wilczek, M.; Bagheri, G. Estimating the turbulent kinetic energy dissipation rate from one-dimensional velocity measurements in time. Atm. Measur. Tech. 2023. preprint. [Google Scholar]
- Sura, P.; Hannachi, A. Perspectives of Non-Gaussianity in Atmospheric Synoptic and Low-Frequency Variability. J. Clim. 2015, 28, 5091–6014. [Google Scholar] [CrossRef]
- Klaassen, C.A.; Mokveld, P.J.; van Es, B. Squared skewness minus kurtosis bounded by 186/125 for unimodal distributions. Stat. Prob. Lett. 2000, 50, 131–135. [Google Scholar] [CrossRef]
- Gryanik, V.M.; Hartmann, J. On a Solution of the Closure Problem for Dry Convective Boundary Layer Turbulence and Beyond. J. Atmos. Sci. 2022, 79, 1405–1428. [Google Scholar] [CrossRef]
- Sardeshmukh, P.; Compo, G.P.; Penland, C. Need for Caution in Interpreting Extreme Weather Statistics. J. Clim. 2015, 28, 9166–9185. [Google Scholar] [CrossRef]
- Longuet-Higgins, M. The effect of non-linearities on statistical distributions in the theory of sea waves. J. Fluid Mech. 1963, 17, 459–480. [Google Scholar] [CrossRef]
- Ochi, M.K.; Wang, W.C. Non-Gaussian characteristics of coastal waves. International Conference of Coastal Engineering; ASCE: New York, NY, USA, 1984; Volume 19, pp. 516–531. [Google Scholar]
- Monahan, A.H. The Probability Distribution of Sea Surface Wind Speeds. Part I: Theory and SeaWinds Observations. J. Clim. 2006, 19, 497–516. [Google Scholar] [CrossRef]
- Abroug, I.; Matar, R.; Abcha, N. Spatial Evolution of Skewness and Kurtosis of Unidirectional Extreme Waves Propagating over a Sloping Beach. J. Marine Sci. Eng. 2022, 10, 1475. [Google Scholar] [CrossRef]
- Schumacher, J.; Scheel, J.D.; Krasnova, D.; Donzis, D.A.; Yakhot, V.; Sreenivasan, K.R. Small-scale universality in fluid turbulence. Proc. Nat. Acad. Sci. USA 2014, 111, 10961–10965. [Google Scholar] [CrossRef] [PubMed]
- Nakao, H. Asymptotic power law of moments in a random multiplicative process with weak additive noise. Phys. Rev. E 1998, 58, 1591–1600. [Google Scholar] [CrossRef]
- van Kan, A.; Alexakis, A.; Brachet, M.E. Levy on-off intermittency. Phys. Rev. E 2021, 103, 052115. [Google Scholar] [CrossRef] [PubMed]
- Laval, J.; Dubrulle, B.; Nazarenko, S. Nonlocality and intermittency in three-dimensional turbulence. Phys. Fluids 2001, 13, 1995–2002. [Google Scholar] [CrossRef]
- Alexakis, A.; Ponty, Y. Effect of the Lorentz force on on-off dynamo intermittency. Phys. Rev. E 2008, 77, 056308. [Google Scholar] [CrossRef]
- Brunton, S.L.; Brunton, B.W.; Proctor, J.L.; Kaiser, E.; Kutz, J.N. Chaos as an intermittently forced linear system. Nat. Comm. 2017, 8, 1–9. [Google Scholar] [CrossRef]
- Hasselmann, K. Stochastic climate models. Part I. Theory. Tellus 1976, 28, 473–484. [Google Scholar]
- Berner, J.; Achatz, U.; Batté, L.; Bengtsson, L.; de la Cámara, A.; Christensen, H.M.; Colangeli, M.; Coleman, D.R.B.; Crommelin, D.; Dolaptchiev, S.I.; et al. Stochastic Parameterization: Toward a New View of Weather and Climate Models. Bull. Am. Met. Soc. 2017, 98, 565–588. [Google Scholar] [CrossRef]
- Farago, J. Injected Power Fluctuations in Langevin Equation. J. Stat. Phys. 2002, 107, 781–803. [Google Scholar] [CrossRef]
- Farrell, B.; Ioannou, P. A Theory of Baroclinic Turbulence. J. Atmos. Sci. 2009, 66, 2444–2454. [Google Scholar] [CrossRef]
- Djenidi, L.; Lefeuvre, N.; Kamruzzaman, M.; Antonia, R. On the normalized dissipation Cϵ in decaying turbulence. J. Fluid Mech. 2017, 817, 61–79. [Google Scholar] [CrossRef]
- Mininni, P.; Pouquet, A. Finite dissipation and intermittency in MHD. Phys. Rev. E 2009, 80, 025401. [Google Scholar] [CrossRef] [PubMed]
- Bandyopadhyay, R.; Oughton, S.; Wan, M.; Matthaeus, W.H.; Chhiber, R.; Parashar, T.N. Finite Dissipation in Anisotropic Magnetohydrodynamic Turbulence. Phys. Rev. X 2018, 8, 041052. [Google Scholar] [CrossRef]
- Maurizi, A. On the dependence of third- and fourth-order moments on stability in the turbulent boundary layer. Nonlin. Process. Geophys. 2013, 13, 119–123. [Google Scholar] [CrossRef]
- Smyth, W.; Nash, J.; Moum, J. Self-organized criticality in geophysical turbulence. Sci. Rep. 2019, 9, 3747. [Google Scholar] [CrossRef]
- Pouquet, A.; Rosenberg, D.; Marino, R. Linking dissipation, anisotropy and intermittency in rotating stratified turbulence. Phys. Fluids 2019, 31, 105116. [Google Scholar] [CrossRef]
- Vieillefosse, P. Internal motion of a small element of fluid in an inviscid flow. Phys. A 1984, 125, 150–162. [Google Scholar] [CrossRef]
- Sujovolsky, N.; Mininni, P. From waves to convection and back again: The phase space of stably stratified turbulence. Phys. Rev. Fluids 2020, 5, 064802. [Google Scholar] [CrossRef]
- Chien, M.H.; Pauluis, O.M.; Almgren, A.S. Hurricane-Like Vortices in Conditionally Unstable Moist Convection. JAMES 2022, 14, e2021MS002846. [Google Scholar] [CrossRef]
- Emanuel, K.; Velez-Pardo, M.; Cronin, T.W. The Surprising Roles of Turbulence in Tropical Cyclone Physics. Atmosphere 2023, 14, 1254. [Google Scholar] [CrossRef]
- Betchov, R. An inequality concerning the production of vorticity in isotropic turbulence. J. Fluid Mech. 1956, 1, 497–504. [Google Scholar] [CrossRef]
- Lozovatsky, I.; Fernando, H.; Planella-Morato, J.; Liu, Z.; Lee, J.; Jinadasa, S. Probability Distribution of Turbulent Kinetic Energy Dissipation Rate in Ocean: Observations and Approximations. J. Geophys. Res. 2017, 122, 8293–8308. [Google Scholar] [CrossRef]
- Uritsky, V.; Pouquet, A.; Rosenberg, D.; Mininni, P.; Donovan, E. Structures in magnetohydrodynamic turbulence: Detection and scaling. Phys. Rev. E 2010, 82, 056326. [Google Scholar] [CrossRef]
- Celikoglu, A.; Tirnakli, U. Comment on Universal relation between skewness and kurtosis in complex dynamics. Phys. Rev. E 2015, 92, 066801. [Google Scholar] [CrossRef]
- Kolmogorov, A.N. Dissipation of energy in locally isotropic turbulence [English translation in Proc. Roy. Soc. London A 434 (1991) 15–17]. Dokl. Akad. Nauk SSSR 1941, 32, 19–21. [Google Scholar]
- Antonia, R.; Ould-Rouis, M.; Anselmet, F.; Zhu, Y. Analogy between predictions of Kolmogorov and Yaglom. J. Fluid Mech. 1997, 332, 395–409. [Google Scholar] [CrossRef]
- Politano, H.; Pouquet, A. Dynamical length scales for turbulent magnetized flows. Geophys. Res. Lett. 1998, 25, 273–276. [Google Scholar] [CrossRef]
- Marino, R.; Sorriso-Valvo, L. Scaling laws for the energy transfer in space plasma turbulence. Phys. Rep. 2023, 1006, 1–144. [Google Scholar] [CrossRef]
- Pouquet, A.; Sulem, P.L.; Meneguzzi, M. Influence of velocity-magnetic field correlations on decaying magnetohydrodynamic turbulence with neutral X-points. Phys. Fluids 1988, 31, 2635–2643. [Google Scholar] [CrossRef]
- Kraichnan, R.H. Intermittency in the Very Small Scales of Turbulence. Phys. Fluids 1967, 10, 2080–2082. [Google Scholar] [CrossRef]
- Mordant, N.; Delour, J.; Lévêque, E.; Arnéodo, A.; Pinton, J.F. Long Time Correlations in Lagrangian Dynamics: A Key to Intermittency in Turbulence. Phys. Rev. Lett. 2002, 89, 254502. [Google Scholar] [CrossRef] [PubMed]
- Ishihara, T.; Gotoh, T.; Kaneda, Y. Study of High Reynolds Number Isotropic Turbulence by Direct Numerical Simulation. Ann. Rev. Fluid Mech. 2009, 41, 165–180. [Google Scholar] [CrossRef]
- Yeung, P.K.; Zhai, X.M.; Sreenivasan, K.R. Extreme events in computational turbulence. Proc. Nat. Acad. Sci. USA 2015, 112, 12633–12638. [Google Scholar] [CrossRef] [PubMed]
- Faller, H.; Geneste, D.; Chaabo, T.; Cheminet, A.; Valori, V.; Ostovan, Y.; Cappanera, L.; Cuvier, C.; Daviaud, F.; Foucaut, J.M.; et al. On the nature of intermittency in a turbulent von Karman flow. J. Fluid Mech. 2021, 914, A2. [Google Scholar] [CrossRef]
- Galuzio, P.; Lopes, S.; dos Santos Lima, G.; Viana, R.; Benkadda, M. Evidence of determinism for intermittent convective transport in turbulence processes. Phys. A 2014, 402, 8–13. [Google Scholar] [CrossRef]
- Küchler, C.; Bewley, G.P.; Bodenschatz, E. Universal velocity statistics in decaying turbulence. Phys. Rev. Lett. 2023, 131, 024001. [Google Scholar] [CrossRef]
- Bramwell, S.T.; Christensen, K.; Fortin, J.Y.; Holdsworth, P.C.W.; Jensen, H.J.; Lise, S.; Lopez, J.M.; Nicodemi, M.; Pinton, J.F.; Sellitto, M. Universal Fluctuations in Correlated Systems. Phys. Rev. Lett. 2000, 84, 3744–3747. [Google Scholar] [CrossRef]
- Chini, G.P.; Michel, G.; Julien, K.; Rocha, C.B.; Caulfield, C.P. Exploiting self-organized criticality in strongly stratified turbulence. J. Fluid Mech. 2022, 933, A22. [Google Scholar] [CrossRef]
- Watanabe, T.; Riley, J.R.; de Bruyn-Kops, S.M.; Diamessis, P.J.; Zhou, Q. Turbulent/non-turbulent interfaces in wakes in stably stratified fluids. J. Fluid Mech. 2016, 797, R1. [Google Scholar] [CrossRef]
- Barkley, D. Theoretical perspective on the route to turbulence in a pipe. J. Fluid Mech. 2016, 803, 1–80. [Google Scholar] [CrossRef]
- Sano, M.; Tamai, K. A universal transition to turbulence in channel flow. Nat. Phys. 2016, 12, 249–254. [Google Scholar] [CrossRef]
- Shih, H.Y.; Hsieh, T.L.; Goldenfeld, N. Ecological collapse and the emergence of travelling waves at the onset of shear turbulence. Nat. Phys. 2016, 12, 245–248. [Google Scholar] [CrossRef]
- Manneville, P. Laminar-Turbulent Patterning in Transitional Flows. Entropy 2017, 19, 316. [Google Scholar] [CrossRef]
- Gurcan, O.D.; Diamond, P.H. Zonal flows and pattern formation. J. Phys. A 2015, 48, 293001. [Google Scholar] [CrossRef]
- Sujovolsky, N.; Mininni, P.; Pouquet, A. Generation of turbulence through frontogenesis in sheared stratified flows. Phys. Fluids 2018, 30, 086601. [Google Scholar] [CrossRef]
- Reartes, C.; Mininni, P. Dynamical regimes and clustering of small neutrally buoyant inertial particles in stably stratified turbulence. Phys. Rev. Fluids 2023, 8, 054501. [Google Scholar] [CrossRef]
- Kafiabad, H.A.; Bartello, P. Spontaneous imbalance in the non-hydrostatic Boussinesq equations. J. Fluid Mech. 2018, 847, 614–643. [Google Scholar] [CrossRef]
- Sullivan, P.P.; McWilliams, J.C. Langmuir Turbulence and filament frontogenesis in the oceanic surface boundary layer. J. Fluid Mech. 2019, 879, 512–553. [Google Scholar] [CrossRef]
- Sagaut, P.; Cambon, C. Homogeneous Turbulence Dynamics; Cambridge University Press: Cambridge, UK, 2008. [Google Scholar]
- Kit, E.; Fernando, H. Small-scale anisotropy in stably stratified turbulence; Inferences based on katabatic flows. Atmosphere 2023, 14, 918. [Google Scholar] [CrossRef]
- Galperin, B.; Sukoriansky, S.; Qiu, B. Seasonal oceanic variability on meso- and submesoscales: A turbulence perspective. Ocean Dyn. 2021, 71, 475–489. [Google Scholar] [CrossRef]
- Wang, J.W.A.; Sardeshmukh, P. Inconsistent Global Kinetic Energy Spectra in Reanalyses and Models. J. Atmos. Sci. 2021, 78, 2589–2604. [Google Scholar]
- Bertin, E.; Holdsworth, P.C.W. Dissipation induced non-Gaussian energy fluctuations. Eur. Phys. J. 2013, 102, 50004. [Google Scholar] [CrossRef]
- Rorai, C.; Rosenberg, D.; Pouquet, A.; Mininni, P. Helicity dynamics in stratified turbulence in the absence of forcing. Phys. Rev. E 2013, 87, 063007. [Google Scholar] [CrossRef] [PubMed]
- Cichowlas, C.; Bonaïti, P.; Debbasch, F.; Brachet, M. Effective Dissipation and Turbulence in Spectrally Truncated Euler Flows. Phys. Rev. Lett. 2005, 95, 264502. [Google Scholar] [CrossRef] [PubMed]
- Spyksma, K.; Magcalas, M.; Campbell, N. Quantifying effects of hyperviscosity on isotropic turbulence. Phys. Fluids 2012, 24, 125102. [Google Scholar] [CrossRef]
- Choi, Y.; Kim, B.; Lee, C. Alignment of velocity and vorticity and the intermittent distribution of helicity in isotropic turbulence. Phys. Rev. E 2009, 80, 017301. [Google Scholar] [CrossRef]
- Buaria, D.; Pumir, A.; Bodenschatz, E. Self-attenuation of extreme events in Navier-Stokes turbulence. Nat. Comm. 2020, 11, 5852. [Google Scholar] [CrossRef]
- Bartello, P. Geostrophic adjustment and inverse cascade in rotating stratified turbulence. J. Atmos. Sci. 1995, 52, 4410–4428. [Google Scholar] [CrossRef]
- Herbert, C.; Marino, R.; Pouquet, A.; Rosenberg, D. Waves and vortices in the inverse cascade regime of rotating stratified turbulence with or without rotation. J. Fluid Mech. 2016, 806, 165–204. [Google Scholar] [CrossRef][Green Version]
- Baj, P.; Portela, F.A.; Carter, D.W. On the simultaneous cascades of energy, helicity, and enstrophy in incompressible homogeneous turbulence. J. Fluid Mech. 2022, 952, A20. [Google Scholar] [CrossRef]
- Brachet, M.; Meneguzzi, M.; Vincent, A.; Politano, H.; Sulem, P. Numerical evidence of smooth self-similar dynamics and possibility of subsequent collapse for 3D ideal flows. Phys. Fluids 1992, A4, 2845–2854. [Google Scholar] [CrossRef]
- Hamlington, P.E.; Schumacher, J.; Dahm, W.J. Direct assessment of vorticity alignment with local and nonlocal strain rates in turbulent flows. Phys. Fluids 2008, 20, 111703. [Google Scholar] [CrossRef]
- Stephan, C.C.; Žagar, N.; Shepherd, T.G. Waves and coherent flows in the tropical atmosphere: New opportunities, old challenges. Quart. J. Roy. Met. Soc. 2021, 147, 2597–2624. [Google Scholar] [CrossRef]






| ID | N | |||||||||||||
|---|---|---|---|---|---|---|---|---|---|---|---|---|---|---|
| H1 | 128 | 0 | – | 306 | 28 | – | – | 0.1 | 142 | 2.0 | 2.8 | 6.2 | – | 0.82 |
| H2 | 512 | 0 | – | 821 | 53 | – | – | 0.06 | 150 | 3.7 | 3.9 | 7.0 | – | 0.34 |
| S1 | 512 | 16 | 0.032 | 3223 | 162 | 3.3 | – | 5.06 | 42 | 1.96 | 2.49 | 7.96 | 0.51 | 7.1 |
| S2 | 512 | 14 | 0.036 | 3209 | 162 | 4.2 | – | 3.88 | 64 | 1.97 | 1.06 | 8.51 | 0.61 | 5.4 |
| S3 | 512 | 11.8 | 0.042 | 3158 | 155 | 5.6 | – | 5.6 | 59 | 1.97 | 5.52 | 12 | 0.79 | 3.7 |
| S4 | 512 | 8 | 0.060 | 3017 | 134 | 11 | – | 15.3 | 428 | 1.97 | 13.8 | 29.4 | 1.6 | 1.6 |
| S5 | 512 | 5 | 0.089 | 2792 | 113 | 22 | – | 6.09 | 98 | 1.90 | 14.6 | 10.3 | 3.3 | 0.72 |
| S6 | 512 | 2.95 | 0.145 | 2692 | 93.3 | 56 | – | 4.09 | 41 | 1.71 | 5.31 | 8.61 | 8.6 | 0.28 |
| R1 | 128 | 4.78 | 0.056 | 454 | 43 | 1.4 | 0.28 | 8.7 | 148 | 2.3 | 7.2 | 8.2 | 0.45 | 4.1 |
| R2 | 128 | 3 | 0.1 | 345 | 31 | 3.3 | 0.49 | 5.5 | 136 | 2.2 | 3.1 | 8.8 | 1.2 | 2.7 |
| R3 | 128 | 1.4 | 0.24 | 299 | 27 | 16.6 | 1.2 | 1.2 | 134 | 2.1 | 3.7 | 5.6 | 4.3 | 1.3 |
| R4 | 512 | 1.4 | 0.36 | 2231 | 94 | 293 | 1.8 | 0.37 | 51 | 6.2 | 3.1 | 4.0 | 25 | 0.3 |
| Q1 | 128 | 4.78 | 0.07 | 631 | 53 | 3.2 | 0.36 | 10.8 | 197 | 2.5 | 3.4 | 16.5 | 0.76 | 3.1 |
| Q2 | 128 | 3 | 0.12 | 450 | 38 | 6 | 0.6 | 5.6 | 169 | 2.0 | 3.6 | 9.9 | 1.7 | 0.69 |
| Q4 | 256 | 3.5 | 0.11 | 942 | 63 | 11.3 | 0.55 | 4.16 | 91 | 3.0 | 4.4 | 10.3 | 2.1 | 1.8 |
| Q3 | 128 | 1.4 | 0.29 | 370 | 31 | 30.5 | 1.4 | 1.6 | 1646 | 1.7 | 1.58 | 5.5 | 6.4 | 0.9 |
| Q5 | 256 | 1.4 | 0.36 | 694 | 48 | 87.5 | 1.8 | 1.0 | 89 | 3.1 | 1.45 | 6.2 | 11.9 | 0.6 |
| Q7 | 512 | 1.4 | 0.36 | 1063 | 62 | 140 | 1.8 | 0.69 | 183 | 3.8 | 1.6 | 5.8 | 15.3 | 0.5 |
| Q8 | 512 | 1.4 | 0.40 | 2641 | 102 | 385 | 1.9 | 0.8 | 96 | 3.1 | 1.7 | 6.0 | 33.3 | 0.3 |
| Q6 | 256 | 0.7 | 0.73 | 636 | 44 | 343 | 3.7 | 0.22 | 86 | 3.2 | 1.4 | 3.8 | 34.3 | 0.2 |
Disclaimer/Publisher’s Note: The statements, opinions and data contained in all publications are solely those of the individual author(s) and contributor(s) and not of MDPI and/or the editor(s). MDPI and/or the editor(s) disclaim responsibility for any injury to people or property resulting from any ideas, methods, instructions or products referred to in the content. |
© 2023 by the authors. Licensee MDPI, Basel, Switzerland. This article is an open access article distributed under the terms and conditions of the Creative Commons Attribution (CC BY) license (https://creativecommons.org/licenses/by/4.0/).
Share and Cite
Pouquet, A.; Rosenberg, D.; Marino, R.; Mininni, P. Intermittency Scaling for Mixing and Dissipation in Rotating Stratified Turbulence at the Edge of Instability. Atmosphere 2023, 14, 1375. https://doi.org/10.3390/atmos14091375
Pouquet A, Rosenberg D, Marino R, Mininni P. Intermittency Scaling for Mixing and Dissipation in Rotating Stratified Turbulence at the Edge of Instability. Atmosphere. 2023; 14(9):1375. https://doi.org/10.3390/atmos14091375
Chicago/Turabian StylePouquet, Annick, Duane Rosenberg, Raffaele Marino, and Pablo Mininni. 2023. "Intermittency Scaling for Mixing and Dissipation in Rotating Stratified Turbulence at the Edge of Instability" Atmosphere 14, no. 9: 1375. https://doi.org/10.3390/atmos14091375
APA StylePouquet, A., Rosenberg, D., Marino, R., & Mininni, P. (2023). Intermittency Scaling for Mixing and Dissipation in Rotating Stratified Turbulence at the Edge of Instability. Atmosphere, 14(9), 1375. https://doi.org/10.3390/atmos14091375

