The Effects of Planetary Boundary Layer Features on Air Pollution Based on ERA5 Data in East China
Abstract
1. Introduction
2. Materials and Methods
2.1. Study Area
2.2. ERA5 Reanalysis Data
2.3. Air Pollutant Data
2.4. Backward Trajectory and Cluster Analysis
2.5. Calculation of Vertical Wind Shear and Temperature Gradient
3. Results and Discussion
3.1. Impact of Surface Meteorological Factors
3.2. Back Trajectory Analysis
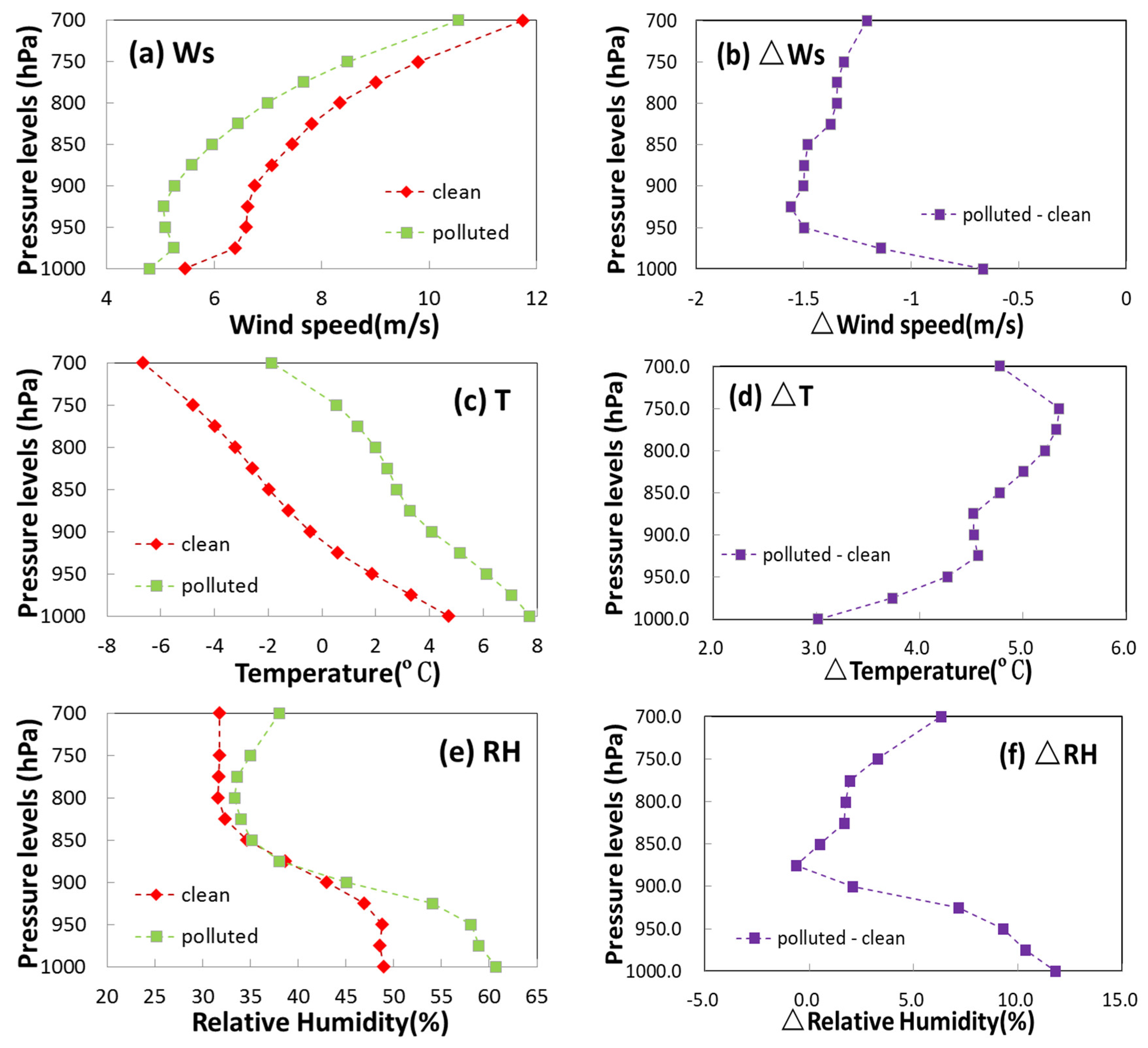
3.3. PBL Vertical Structure
3.4. Synoptic System Analysis
4. Conclusions
Supplementary Materials
Author Contributions
Funding
Institutional Review Board Statement
Informed Consent Statement
Data Availability Statement
Conflicts of Interest
References
- Chen, R.; Peng, R.D.; Meng, X.; Zhou, Z.; Chen, B.; Kan, H. Seasonal variation in the acute effect of particulate air pollution on mortality in the China Air Pollution and Health Effects Study (CAPES). Sci. Total. Environ. 2013, 451, 259–265. [Google Scholar] [CrossRef]
- Guo, J.; Xu, H.; Liu, L.; Chen, D.; Peng, Y.; Yim, S.; Yang, Y.; Li, J.; Zhao, C.; Zhai, P. The trend reversal of dust aerosol over East Asia and the North Pacific Ocean attributed to large-scale meteorology, deposition and soil moisture. J. Geophys. Res. Atmos. 2019, 124, 10450–10466. [Google Scholar]
- Xu, M.; Qin, Z. How does vehicle emission control policy affect air pollution emissions? Evidence from Hainan Province, China. Sci. Total. Environ. 2022, 866, 161244. [Google Scholar] [CrossRef]
- Cheng, Y.; Du, K.; Yao, X. Stringent environmental regulation and inconsistent green innovation behavior: Evidence from air pollution prevention and control action plan in China. Energ. Econ. 2023, 120, 106571. [Google Scholar]
- Wang, M.Y.; Cao, C.X.; Li, G.S.; Singh, R.P. Analysis of a severe prolonged regional haze episode in the Yangtze River Delta, China. Atmos. Environ. 2015, 102, 112–121. [Google Scholar] [CrossRef]
- Liu, T.; Gong, S.; He, J.; Yu, M.; Wang, Q.; Li, H.; Liu, W.; Zhang, J.; Li, L.; Wang, X.; et al. Attributions of meteorological and emission factors to the 2015 winter severe haze pollution episodes in China’s Jing-Jin-Ji area. Atmos. Chem. Phys. 2017, 17, 2971–2980. [Google Scholar] [CrossRef]
- Zhao, X.; Zhao, P.; Xu, J.; Meng, W.; Pu, W.; Dong, F.; He, D.; Shi, Q. Analysis of a winter regional haze event and its formation mechanism in the North China Plain. Atmos. Chem. Phys. 2013, 13, 5685–5696. [Google Scholar] [CrossRef]
- Liu, W.D.; Jiang, Y.H.; Li, J.; Wang, Z.X.; Wang, Q. Characteristics of aerosol distribution and transmission of a heavy air pollution process in Beijing area. Clim. Environ. Res. 2010, 15, 152–160. [Google Scholar]
- Ziomas, I.C.; Melas, D.; Zerefos, C.S.; Bais, A.F.; Paliatsos, A.G. Forecasting peak pollutant levels from meteorological variables. Atmos. Environ. 1995, 29, 3703–3718. [Google Scholar] [CrossRef]
- Li, J.; Wang, Z.; Huang, H.; Hu, M.; Meng, F.; Sun, Y. Assessing the effects of trans-boundary aerosol transport between various city clusters on regional haze episodes in spring over East China. Tellus B 2013, 65, 20052. [Google Scholar] [CrossRef]
- Xu, J.M.; Yan, F.X.; Xie, Y.; Wang, F.Y.; Wu, J.; Fu, Q. Impact of meteorological conditions on a nine-day particulate matter pollution event observed in December 2013, Shanghai, China. Particuology 2015, 20, 69–79. [Google Scholar]
- Griffith, S.M.; Huang, W.; Lin, C.; Chen, Y.; Chang, K.; Lin, T.; Wang, S. Long-range air pollution transport in East Asia during the first week of the COVID-19 lockdown in China. Sci. Total. Environ. 2020, 741, 140214. [Google Scholar] [CrossRef]
- Chen, F.L.; Zhang, X.; Chen, Z.F. Air pollution and mental health: Evidence from China Health and Nutrition Survey. J. Asian Econ. 2023, 86, 101611. [Google Scholar] [CrossRef]
- Nguyen, M.; Park, G.; Lee, B. Correlation analysis of size-resolved airborne particulate matter with classified meteorological conditions. Meteorol. Atmos. Phys. 2017, 129, 35–46. [Google Scholar] [CrossRef]
- Li, L.; Qian, J.; Ou, C.Q.; Zhou, Y.X.; Guo, C.; Guo, Y. Spatial and temporal analysis of Air Pollution Index and its timescale-dependent relationship with meteorological factors in Guangzhou, China, 2001–2011. Environ. Pollut. 2014, 190, 75–81. [Google Scholar] [CrossRef] [PubMed]
- Guo, J.; Zhang, J.; Yang, K.; Liao, H.; Zhang, S.; Huang, K.; Lv, Y.; Shao, J.; Yu, T.; Tong, B.; et al. Investigation of near-global daytime boundary layer height using high-resolution radiosondes: First results and comparison with ERA-5, MERRA-2, JRA-55, and NCEP-2 reanalyses. Atmos. Chem. Phys. 2021, 21, 17079–17097. [Google Scholar] [CrossRef]
- Westervelt, D.M.; Horowitz, L.W.; Naik, V.; Tai, A.; Fiore, A.M.; Mauzerall, D. Quantifying PM2.5-meteorology sensitivities in a global climate model. Atmos. Environ. 2016, 142, 43–56. [Google Scholar] [CrossRef]
- Wang, X.; Zhang, L.; Moran, M.D. Uncertainty assessment of current size-resolved parameterizations for below-cloud particle scavenging by rain. Atmos. Chem. Phys. 2010, 10, 5685–5705. [Google Scholar]
- Mircea, M.; Stefan, S.; Fuzzi, S. Precipitation scavenging coefficient: Influence of measured aerosol and raindrop size distributions. Atmos. Environ. 2000, 34, 5169–5174. [Google Scholar]
- Fu, H.; Zhang, Y.; Liao, C.; Mao, L.; Wang, Z.; Hong, N. Investigating PM2.5 responses to other air pollutants and meteorological factors across multiple temporal scales. Sci. Rep. 2020, 10, 15639. [Google Scholar]
- Singh, B.P.; Singh, D.; Kumar, K.; Jain, V.K. Study of seasonal variation of PM2.5 concentration associated with meteorological parameters at residential sites in Delhi, India. J. Atmos. Chem. 2021, 78, 161–176. [Google Scholar] [CrossRef]
- Zhang, B.; Jiao, L.; Xu, G.; Zhao, S.; Tang, X.; Zhou, Y.; Gong, C. Influences of wind and precipitation on different-sized particulate matter concentrations (PM2.5, PM10, PM2.5–10). Meteorol. Atmos. Phys. 2018, 130, 383–392. [Google Scholar] [CrossRef]
- Zhou, W.; Tie, X.; Zhou, G.; Liang, P. Possible effects of climate change of wind on aerosol variation during winter in Shanghai, China. Particuology 2015, 20, 80–88. [Google Scholar] [CrossRef]
- Deng, X.; Shi, C.; Wu, B.; Chen, Z.; He, D.; Zhang, H. Analysis of aerosol characteristics and their relationships with meteorological parameters over Anhui province in China. Atmos. Res. 2012, 109–110, 52–63. [Google Scholar] [CrossRef]
- Zhang, J.P.; Zhu, T.; Zhang, Q.H.; Li, C.C.; Shu, H.L.; Ying, Y.; Dai, Z.P.; Wang, X.; Liu, X.Y.; Liang, A.M.; et al. The impact of circulation patterns on regional transport pathways and air quality over Beijing and its surroundings. Atmos. Chem. Phys. 2012, 12, 5031–5053. [Google Scholar] [CrossRef]
- Ye, X.; Song, Y.; Cai, X.; Zhang, H.S. Study on the synoptic flow patterns and boundary layer process of the severe haze events over the North China Plain in January 2013. Atmos. Environ. 2016, 124, 129–145. [Google Scholar] [CrossRef]
- Tao, M.; Chen, L.; Xiong, X.; Zhang, M.; Ma, P.; Tao, J.; Wang, Z. Formation process of the widespread extreme haze pollution over northern China in January 2013: Implications for regional air quality and climate. Atmos. Environ. 2014, 98, 417–425. [Google Scholar]
- Wei, P.; Cheng, S.; Li, J.; Su, F. Impact of boundary-layer anticyclonic weather system on regional air quality. Atmos. Environ. 2011, 45, 2453–2463. [Google Scholar] [CrossRef]
- Guo, J.; Li, Y.; Cohen, J.; Li, J.; Chen, D.; Xu, H.; Liu, L.; Yin, J.; Hu, K.; Zhai, P. Shift in the temporal trend of boundary layer height trend in China using long-term (1979–2016) radiosonde data. Geophys. Res. Lett. 2019, 46, 6080–6089. [Google Scholar] [CrossRef]
- Wang, Y.; Jia, B.; Wang, S.C.; Estes, M.; Shen, L.; Xie, Y. Influence of the Bermuda High on interannual variability of summertime ozone in the Houston-Galveston-Brazoria region. Atmos. Chem. Phys. 2016, 16, 15265–15276. [Google Scholar] [CrossRef]
- Zhang, R.; Qiang, L.; Zhang, R. Meteorological conditions for the persistent severe fog and haze event over eastern china in January 2013. Sci. China. Earth. Sci. 2014, 57, 26–35. [Google Scholar]
- Liu, Y.; Wang, B.; Zhu, Q.; Luo, R.; Wu, C.; Jia, R. Dominant synoptic patterns and their relationships with PM2.5 pollution in winter over the Beijing-Tianjin-Hebei and Yangtze River Delta regions in China. J. Meteorol. Res. 2019, 33, 765–776. [Google Scholar] [CrossRef]
- Barnes, E.A.; Fiore, A.M. Surface ozone variability and the jet position: Implications for projecting future air quality. Geophys. Res. Lett. 2013, 40, 2839–2844. [Google Scholar] [CrossRef]
- Ning, G.; Yim, S.; Wang, S.; Duan, S.; NIe, C.; Yang, X.; Wang, J.; Shang, K. Synergistic effects of synoptic weather patterns and topography on air quality: A case of the Sichuan Basin of China. Clim. Dynam. 2019, 53, 6729–6744. [Google Scholar]
- Xu, W.Y.; Zhao, C.S.; Ran, L.; Deng, Z.Z.; Liu, P.F.; Ma, N.; Lin, W.L.; Xu, X.B.; Yan, P.; He, X.; et al. Characteristics of pollutants and their correlation to meteorological conditions at a suburban site in the North China Plain. Atmos. Chem. Phys. 2011, 11, 4353–4369. [Google Scholar] [CrossRef]
- Li, X.; Hu, X.; Ma, Y.; Wang, Y. Impact of planetary boundary layer structure on the formation and evolution of air-pollution episodes in Shenyang, Northeast China. Atmos. Environ. 2019, 214, 116850. [Google Scholar] [CrossRef]
- Hu, X.M.; Klein, P.M.; Xue, M.; Lundquist, J.K.; Zhang, F.; Qi, Y. Impact of low-level jets on the nocturnal urban heat island intensity in Oklahoma City. J. Appl. Meteorol. Clim. 2013, 52, 1779–1802. [Google Scholar] [CrossRef]
- Zhang, Y.; Guo, J.; Yang, Y.; Wang, Y.; Yim, S. Vertical Wind Shear Modulates Particulate Matter Pollutions: A Perspective from Radar Wind Profiler Observations in Beijing, China. Remote Sens. 2020, 12, 546. [Google Scholar]
- Klein, P.M.; Hu, X.M.; Xue, M. Impacts of mixing processes in nocturnal atmospheric boundary layer on urban ozone concentrations. Bound-Lay. Meteorol. 2014, 150, 7–30. [Google Scholar] [CrossRef]
- Sun, X.; Zhao, T.; Tang, G.; Bai, Y.; Kong, S.; Zhou, Y.; Hu, J.; Tan, C.; Shu, Z.; Xu, J.; et al. Vertical changes of PM2.5 driven by meteorology in the atmospheric boundary layer during a heavy air pollution event in central China. Sci. Total. Environ. 2023, 858, 159830. [Google Scholar] [CrossRef]
- Kovadlo, P.G.; Lukin, V.P.; Shikhovtsev, A.Y. Development of the model of turbulent atmosphere at the large solar vacuum telescope site as applied to image adaptation. Atmos. Ocean. Opt. 2019, 32, 202–206. [Google Scholar] [CrossRef]
- Shikhovtsev, A.Y.; Kovadlo, P.G.; Kiselev, A.V. Astroclimatic statistics at the sayan solar observatory. Solnechno-Zemn. Fiz. 2020, 6, 126–133. [Google Scholar] [CrossRef]
- Deng, X.; Cao, W.; Huo, Y.; Yang, G.; Yu, C.; He, D.; Deng, W.; Fu, W.; Ding, H.; Zhai, J. Meteorological conditions during a severe, prolonged regional heavy air pollution episode in eastern China from December 2016 to January 2017. Theor. Appl. Climatol. 2019, 135, 1105–1122. [Google Scholar] [CrossRef]
- Sulaymon, I.; Zhang, Y.; Hopke, P.; Hu, J.; Rupakheti, D.; Xie, X.; Yang, Z.; Ajibade, F.; Hua, J.; She, Y. Influence of transboundary air pollution and meteorology on air quality in three major cities of Anhui Province, China. J. Clean. Prod. 2021, 329, 129641. [Google Scholar] [CrossRef]
- Wei, W.; Wang, T.; Shi, C.; Zhang, H. Analysis of weather conditions for fog in Hefei. J. Meteorol. Res. 2012, 32, 437–442. [Google Scholar]
- Wang, S.; Liu, G.; Yi, J.; Huang, X.; Zhang, H.; Hong, X. The characteristics of particulate matter during an air pollution process revealed by joint observation of multiple equipments. Atmos. Pollut. Res. 2022, 13, 101487. [Google Scholar] [CrossRef]
- Hersbach, H.; Bell, B.; Berrisford, P.; Hirahara, S.; Horányi, A.; Muñoz, S.; Nicolas, J.; Peubey, C.; Radu, R.; Schepers, D.; et al. The ERA5 global reanalysis. Q. J. Roy. Meteo. Soc. 2020, 146, 1999–2049. [Google Scholar] [CrossRef]
- Hoffmann, L.; Günther, G.; Li, D.; Stein, O.; Wu, X.; Griessbach, S.; Heng, Y.; Konopka, P.; Müller, R.; Vogel, B.; et al. From ERA-Interim to ERA5: The considerable impact of ECMWF’s next-generation reanalysis on Lagrangian transport simulations. Atmos. Chem. Phys. 2019, 19, 3097–3124. [Google Scholar] [CrossRef]
- Wang, Z.; Chen, P.; Wang, R.; An, Z.; Qiu, L. Estimation of PM2.5 concentrations with high spatiotemporal resolution in Beijing using the ERA5 dataset and machine learning models. Adv. Space. Res. 2022, 71, 3150–3165. [Google Scholar] [CrossRef]
- Dommo, A.; Vondou, D.; Philippon, N.; Aloysius, N. The ERA5′s diurnal cycle of low-level clouds over Western Central Africa during June–September: Dynamic and thermodynamic processes. Atmos. Res. 2022, 280, 106426. [Google Scholar]
- Ganjir, G.; Pattnaik, S.; Trivedi, D. Characteristics of dynamical and thermo-dynamical variables during heavy rainfall events over the Indian region. Dynam. Atmos. Oceans. 2022, 99, 101315. [Google Scholar] [CrossRef]
- Miao, Y.; Liu, S.; Guo, J.; Huang, S.; Yan, Y.; Lou, M. Unraveling the relationships between boundary layer height and PM2.5 pollution in China based on four-year radiosonde measurements. Environ. Pollut. 2018, 243, 1186–1195. [Google Scholar] [CrossRef]
- Lv, Y.; Guo, J.; Li, J.; Cao, L.; Chen, T.; Wang, D.; Chen, D.; Han, Y.; Xiaoran, G.; Xu, H.; et al. Spatiotemporal characteristics of atmospheric turbulence over China estimated using operational high-resolution soundings. Environ. Res. Lett. 2021, 16, 054050. [Google Scholar] [CrossRef]
- Deng, X.; He, D.; Zhang, G.; Zhu, S.; Dai, R.; Jin, X.; Fu, W.; Shen, W.; Chen, J.; Fan, Y.; et al. Comparison of horizontal wind observed by wind profiler radars with ERA5 reanalysis data in Anhui, China. Theor. Appl. Climatol. 2022, 150, 1745–1760. [Google Scholar] [CrossRef]
- Draxler, R.; Rolph, G. Hybrid Single-Particle Lagrangian Integrated Trajectory (HYSPLIT) Model Access via the NOAA Website; NOAA Air Resources Laboratory: Silver Spring, MD, USA, 2003. Available online: http://www.arl.noaa.gov/ready/hysplit4.html (accessed on 13 September 2003).
- Lee, H.; Park, S.; Kim, K.; Kim, Y. Source identification of PM2.5 particles measured in Gwangju, Korea. Atmos. Res. 2008, 88, 199–211. [Google Scholar] [CrossRef]
- Lee, J.; Han, J.; Whang, K. Trajectory Clustering: A Partition-and-Group Framework. In Proceedings of the ACM SIGMOD International Conference on Management of Data (SIGMOD), Beijing, China, 7 June 2007; pp. 593–604. [Google Scholar]
- Dorling, S.; Davies, T.; Pierce, C. Cluster analysis: A technique for estimating the synoptic meteorological controls on air and precipitation chemistry-Method and applications. Atmos. Environ. 1992, 26, 2575–2581. [Google Scholar] [CrossRef]
- Dorling, S.; Davies, T. Extending cluster analysis-synoptic meteorology links to characterise chemical climates at six northwest European monitoring stations. Atmos. Environ. 1995, 29, 145–167. [Google Scholar] [CrossRef]
- Sharma, N.; Varma, A.; Liu, G. Percentage occurrence of global tilted deep convective clouds under strong vertical wind shear. Adv. Space. Res. 2022, 69, 2433–2442. [Google Scholar] [CrossRef]
- Kobara, H.; Takeuchi, K.; Ibusuki, T. Effect of relative humidity on aerosol generation through experiments at low concentrations of gaseous nitric acid and ammonia. Aerosol. Air. Qua. Res. 2007, 7, 193–204. [Google Scholar] [CrossRef]
- Mao, Z.; Xu, J.; Yang, D.; Li, P.; Cai, Z.; Gao, J.; Xu, H.; Ji, Y.; Deng, X. Analysis of characteristics and meteorological causes of PM2.5-O3 compound pollution in Shanghai. Environ. Res. 2019, 39, 2730–2738. [Google Scholar]
- Wang, Z.; Chen, L.; Tao, J. An empirical method of RH correction for satellite estimation of ground-level PM concentrations. Atmos. Environ. 2014, 95, 71–81. [Google Scholar] [CrossRef]
- Shan, W.; Yin, Y.; Lu, H.; Liang, S. A meteorological analysis of ozone episodes using HYSPLIT model and surface data. Atmos. Res. 2009, 93, 767–776. [Google Scholar] [CrossRef]
- Hu, Y.; Wang, S. Formation mechanism of a severe air pollution event: A case study in the Sichuan Basin, Southwest China. Atmos. Environ. 2021, 246, 118135. [Google Scholar] [CrossRef]
- Yan, Y.; Cai, X.; Huang, Q.; Qi, P.; Song, Y.; Zhang, H.; Zeng, L. Long-term planetary boundary layer features and associated PM2.5 pollution anomalies in Beijing during the past 40 years. Theor. Appl. Climatol. 2023, 151, 1787–1804. [Google Scholar] [CrossRef]











Disclaimer/Publisher’s Note: The statements, opinions and data contained in all publications are solely those of the individual author(s) and contributor(s) and not of MDPI and/or the editor(s). MDPI and/or the editor(s) disclaim responsibility for any injury to people or property resulting from any ideas, methods, instructions or products referred to in the content. |
© 2023 by the authors. Licensee MDPI, Basel, Switzerland. This article is an open access article distributed under the terms and conditions of the Creative Commons Attribution (CC BY) license (https://creativecommons.org/licenses/by/4.0/).
Share and Cite
Deng, X.; Chen, J.; Dai, R.; Zhai, Z.; He, D.; Zhao, L.; Jin, X.; Zhang, J. The Effects of Planetary Boundary Layer Features on Air Pollution Based on ERA5 Data in East China. Atmosphere 2023, 14, 1273. https://doi.org/10.3390/atmos14081273
Deng X, Chen J, Dai R, Zhai Z, He D, Zhao L, Jin X, Zhang J. The Effects of Planetary Boundary Layer Features on Air Pollution Based on ERA5 Data in East China. Atmosphere. 2023; 14(8):1273. https://doi.org/10.3390/atmos14081273
Chicago/Turabian StyleDeng, Xueliang, Jian Chen, Rui Dai, Zhenfang Zhai, Dongyan He, Liang Zhao, Xiaolong Jin, and Jiping Zhang. 2023. "The Effects of Planetary Boundary Layer Features on Air Pollution Based on ERA5 Data in East China" Atmosphere 14, no. 8: 1273. https://doi.org/10.3390/atmos14081273
APA StyleDeng, X., Chen, J., Dai, R., Zhai, Z., He, D., Zhao, L., Jin, X., & Zhang, J. (2023). The Effects of Planetary Boundary Layer Features on Air Pollution Based on ERA5 Data in East China. Atmosphere, 14(8), 1273. https://doi.org/10.3390/atmos14081273

