Retrieving Ocean Surface Winds and Waves from Augmented Dual-Polarization Sentinel-1 SAR Data Using Deep Convolutional Residual Networks
Abstract
1. Introduction
2. Data and Preprocessing
2.1. NDBC Buoy Data
2.2. ERA5 Reanalysis Data
2.3. Sentinel-1 SAR Data
2.4. Data Preprocessing
3. SAR Imaging Feature and Proposed Method
3.1. Relationship between Ocean Waves and SAR Images
3.2. Relationship between Sea Surface Wind and SAR Images
3.3. Inversion Method
4. Results
4.1. Training and Validation
4.2. Constraint for a Training Set
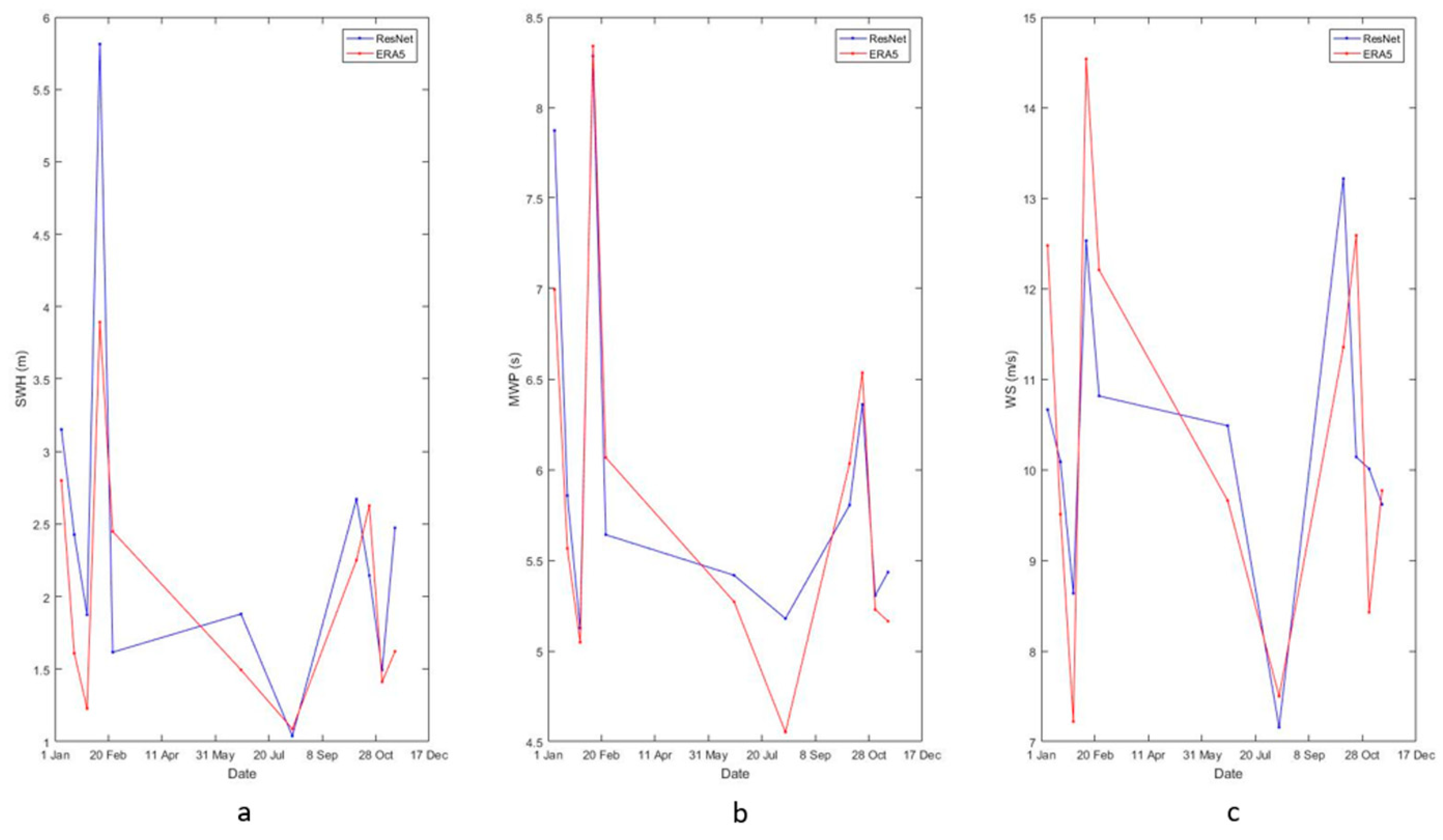
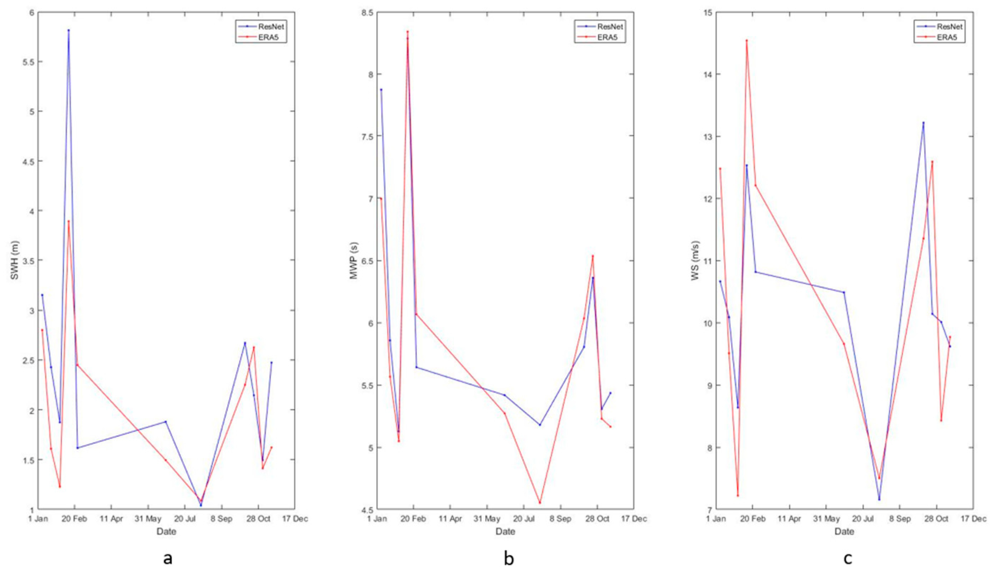
4.3. Further Validation by Some Examples
5. Conclusions and Discussion
Author Contributions
Funding
Data Availability Statement
Conflicts of Interest
Appendix A. Calibration and SAR
Appendix B. Homogeneity Test
Appendix C. Nonlinear SAR Wave Imaging Theory
References
- Camus, P.; Losada, I.J.; Izaguirre, C.; Espejo, A.; Menendez, M.; Perez, J. Statistical wave climate projections for coastal impact assessments. Earths Future 2017, 5, 918–933. [Google Scholar] [CrossRef]
- Hemer, M.A.; Church, J.A.; Hunter, J.R. Variability and trends in the directional wave climate of the Southern Hemisphere. Int. J. Climatol. 2010, 30, 475–491. [Google Scholar] [CrossRef]
- Rutgersson, A.; Nilsson, E.O.; Kumar, R. Introducing surface waves in a coupled wave-atmosphere regional climate model: Impact on atmospheric mixing length. J. Geophys. Res. Ocean. 2012, 117, 11. [Google Scholar] [CrossRef]
- Young, I.R. Seasonal variability of the global ocean wind and wave climate. Int. J. Climatol. 1999, 19, 931–950. [Google Scholar] [CrossRef]
- Young, I.R.; Donelan, M.A. On the determination of global ocean wind and wave climate from satellite observations. Remote Sens. Environ. 2018, 215, 228–241. [Google Scholar] [CrossRef]
- Alpers, W.R.; Bruening, C. On the relative importance of motion-related contributions to the SAR imaging mechanism of ocean surface-waves. IEEE Trans. Geosci. Remote Sens. 1986, 24, 873–885. [Google Scholar] [CrossRef]
- Alpers, W.R.; Ross, D.B.; Rufenach, C.L. On the detectability of ocean surface-waves by real and synthetic aperture radar. J. Geophys. Res. Ocean. 1981, 86, 6481–6498. [Google Scholar] [CrossRef]
- Hasselmann, K.; Hasselmann, S. On the nonlinear mapping of an ocean wave spectrum into a synthetic aperture radar image spectrum and its inversion. J. Geophys. Res. Ocean. 1991, 96, 10713–10729. [Google Scholar] [CrossRef]
- Hasselmann, S.; Brüning, C.; Hasselmann, K.; Heimbach, P. An improved algorithm for the retrieval of ocean wave spectra from synthetic aperture radar image spectra. J. Geophys. Res. Ocean. 1996, 101, 16615–16629. [Google Scholar] [CrossRef]
- Schulz-Stellenfleth, J.; Lehner, S.; Hoja, D.; Koenig, T. A parametric scheme for ocean wave retrieval from complex SAR data using prior information. In Proceedings of the IEEE International Geoscience and Remote Sensing Symposium, Toronto, ON, Canada, 24–28 June 2002; pp. 2156–2158. [Google Scholar]
- Mastenbroek, C.; De Valk, C.F. A semiparametric algorithm to retrieve ocean wave from synthetic aperture radar. J. Geophys. Res. Ocean. 2000, 105, 3497–3516. [Google Scholar] [CrossRef]
- Sun, J.; Kawamura, H. Retrieval of surface wave parameters from sar images and their validation in the coastal seas around Japan. J. Oceanogr. 2009, 65, 567–577. [Google Scholar] [CrossRef]
- Li, X.M.; Lehner, S.; Bruns, T. Ocean wave integral parameter measurements using envisat ASAR wave mode data. IEEE Trans. Geosci. Remote Sens. 2010, 49, 155–174. [Google Scholar] [CrossRef]
- Schulz-Stellenfleth, J.; Konig, T.; Lehner, S. An empirical approach for the retrieval of integral ocean wave parameters from synthetic aperture radar data. J. Geophys. Res. Ocean. 2007, 112, 14. [Google Scholar] [CrossRef]
- Stopa, J.E.; Mouche, A. Significant wave heights from Sentinel-1 SAR: Validation and applications. J. Geophys. Res. Ocean. 2016, 122, 1827–1848. [Google Scholar] [CrossRef]
- Ren, L.; Yang, J.S.; Zheng, G.; Wang, J. Significant wave height estimation using azimuth cutoff of C-band RADARSAT-2 single-polarization SAR images. Acta Oceanol. Sin. 2015, 34, 93–101. [Google Scholar] [CrossRef]
- Shao, W.; Zhang, Z.; Li, X.; Li, H. Ocean wave parameters retrieval from sentinel-1 SAR imagery. Remote Sens. 2016, 8, 707. [Google Scholar] [CrossRef]
- Zhao, Y.W.; Chong, J.S.; Li, Z.Z.; Wei, X.N.; Diao, L.J. Estimating significant wave height from SAR with long integration times. Appl. Sci. 2022, 12, 2341. [Google Scholar] [CrossRef]
- Pramudya, F.; Pan, J.; Devlin, A.; Lin, H. Enhanced estimation of significant wave height with dual-polarization sentinel-1 SAR imagery. Remote Sens. 2021, 13, 124. [Google Scholar] [CrossRef]
- Gao, D.; Liu, Y.; Meng, J.; Jia, Y.; Fan, C. Estimating significant wave height from SAR imagery based on an SVM regression model. Acta Oceanol. Sin. 2018, 37, 103–110. [Google Scholar] [CrossRef]
- Wu, K.; Li, X.M.; Huang, B. Retrieval of ocean wave heights from spaceborne SAR in the arctic ocean with a neural network. J. Geophys. Res. Ocean. 2021, 126, e2020JC016946. [Google Scholar] [CrossRef]
- Hersbach, H. Comparison of C-Band scatterometer CMOD5.N equivalent neutral winds with ECMWF. J. Atmos. Ocean. Technol. 2010, 27, 721–736. [Google Scholar] [CrossRef]
- Hersbach, H.; Stoffelen, A.; Haan, S.D. An improved C-band scatterometer ocean geophysical model function: CMOD5. J. Geophys. Res. Ocean. 2007, 112, C03006. [Google Scholar] [CrossRef]
- Quilfen, Y.; Chapron, B.; Elfouhaily, T.; Katsaros, K.; Tournadre, J. Observation of tropical cyclones by high-resolution scatterometry. J. Geophys. Res. Ocean. 1998, 103, 7767–7786. [Google Scholar] [CrossRef]
- Stoffelen, A.; Anderson, D. Scatterometer data interpretation: Estimation and validation of the transfer function CMOD4. J. Geophys. Res. Ocean. 1997, 102, 5767–5780. [Google Scholar] [CrossRef]
- Stoffelen, A.; Verspeek, J.A.; Vogelzang, J.; Verhoef, A. The CMOD7 geophysical model function for ASCAT and ERS wind retrievals. IEEE J. Sel. Top. Appl. Earth Obs. Remote Sens. 2017, 10, 2123–2134. [Google Scholar] [CrossRef]
- Zhang, B.; Perrie, W.; Zhang, J.A.; Uhlhorn, E.W.; He, Y. High-Resolution hurricane vector winds from C-Band dual-polarization SAR observations. J. Atmos. Ocean. Technol. 2014, 31, 272–286. [Google Scholar] [CrossRef]
- Zhang, G.; Li, X.; Perrie, W.; Hwang, P.A.; Zhang, B.; Yang, X. A hurricane wind speed retrieval model for C-Band RADARSAT-2 cross-polarization ScanSAR images. IEEE Trans. Geosci. Remote Sens. 2017, 55, 4766–4774. [Google Scholar] [CrossRef]
- Li, X.M.; Qin, T.; Wu, K. Retrieval of sea surface wind speed from spaceborne SAR over the Arctic marginal ice zone with a neural network. Remote Sens. 2020, 12, 3291. [Google Scholar] [CrossRef]
- Yu, P.; Xu, W.X.; Zhong, X.J.; Johannessen, J.A.; Yan, X.H.; Geng, X.P.; He, Y.R.; Lu, W.F. A neural network method for retrieving sea surface wind speed for C-Band SAR. Remote Sens. 2022, 14, 2269. [Google Scholar] [CrossRef]
- Gerling, T.W. Structure of the surface wind-field from the Seasat SAR. J. Geophys. Res. Ocean. 1986, 91, 2308–2320. [Google Scholar] [CrossRef]
- Koch, W. Semiautomatic assignment of high resolution wind directions in SAR images. In Proceedings of the MTS/IEEE Oceans Conference and Exhibition on Where Marine Science and Technology Meet, Providence, RI, USA, 11–14 September 2000; pp. 1775–1782. [Google Scholar]
- Rana, F.M.; Adamo, M.; Pasquariello, G.; De Carolis, G.; Morelli, S. LG-Mod: A modified local gradient (LG) method to retrieve SAR sea surface wind directions in marine coastal areas. J. Sens. 2016, 2016, 9565208. [Google Scholar] [CrossRef]
- Hao, G.; Wu, D.; An, J. Discrimination of oil slicks and lookalikes in polarimetric SAR images using CNN. Sensors 2017, 17, 1837. [Google Scholar]
- Xu, C.; Yin, C.J.; Wang, D.Z.; Han, W. Fast ship detection combining visual saliency and a cascade CNN in SAR images. IET Radar Sonar Navig. 2020, 14, 1879–1887. [Google Scholar] [CrossRef]
- Zhang, D.; Gade, M.; Zhang, J.W. SAR eddy detection using Mask-RCNN and edge enhancement. In Proceedings of the IEEE International Geoscience and Remote Sensing Symposium (IGARSS), Waikoloa, HI, USA, 26 September–2 October 2020; pp. 1604–1607. [Google Scholar]
- Bao, S.D.; Meng, J.M.; Sun, L.N.; Liu, Y.X. Detection of ocean internal waves based on Faster R-CNN in SAR images. J. Oceanol. Limnol. 2020, 38, 55–63. [Google Scholar] [CrossRef]
- Quach, B.; Glaser, Y.; Stopa, J.E.; Mouche, A.A.; Sadowski, P. Deep Learning for Predicting Significant Wave Height from Synthetic Aperture Radar. IEEE Trans. Geosci. Remote Sens. 2021, 59, 1859–1867. [Google Scholar] [CrossRef]
- Wang, H.; Yang, J.S.; Lin, M.S.; Li, W.W.; Zhu, J.H.; Ren, L.; Cui, L.M. Quad-polarimetric SAR sea state retrieval algorithm from Chinese Gaofen-3 wave mode imagettes via deep learning. Remote Sens. Environ. 2022, 273, 15. [Google Scholar] [CrossRef]
- Xue, S.; Geng, X.; Yan, X.H.; Xie, T.; Yu, Q. Significant wave height retrieval from Sentinel-1 SAR imagery by convolutional neural network. J. Oceanogr. 2020, 76, 465–477. [Google Scholar] [CrossRef]
- Yan, X.; Scott, K.A. Sea ice and open water classification of SAR imagery using CNN-based transfer learning. In Proceedings of the IEEE International Geoscience and Remote Sensing Symposium (IGARSS), Fort Worth, TX, USA, 23–28 July 2017. [Google Scholar]
- Chen, K.H.; Xie, X.T.; Lin, M.S. An adaptive GaoFen-3 SAR wind field retrieval algorithm based on information entropy. IEEE Access 2020, 8, 204494–204508. [Google Scholar] [CrossRef]
- Torres, R.; Navas-Traver, I.; Bibby, D.; Lokas, S.; Snoeij, P.; Rommen, B.; Osborne, S.; Ceba-Vega, F.; Potin, P.; Geudtner, D. Sentinel-1 SAR System and Mission. In Proceedings of the IEEE Radar Conference (RadarConf), Seattle, WA, USA, 8–12 May 2017; pp. 1582–1585. [Google Scholar]
- Yu, Y.; Wang, X.Q.; Zhu, M.H.; Chong, J.S. Study on Bistatic SAR Ocean Wave Imaging Mechanism. In Proceedings of the IEEE International Geoscience and Remote Sensing Symposium, Cape Town, South Africa, 12–17 July 2009; p. 11150194. [Google Scholar]
- He, K.; Zhang, X.; Ren, S.; Sun, J. Deep residual learning for image recognition. In Proceedings of the IEEE Conference on Computer Vision and Pattern Recognition (CVPR), Seattle, WA, USA, 27–30 June 2016; pp. 770–778. [Google Scholar]
- Pleskachevsky, A.; Jacobsen, S.; Tings, B.; Schwarz, E. Estimation of sea state from Sentinel-1 Synthetic aperture radar imagery for maritime situation awareness. Int. J. Remote Sens. 2019, 40, 4104–4142. [Google Scholar] [CrossRef]
- Pleskachevsky, A.; Tings, B.; Wiehle, S.; Imber, J.; Jacobsen, S. Multiparametric sea state fields from synthetic aperture radar for maritime situational awareness. Remote Sens. Environ. 2022, 280, 113200. [Google Scholar] [CrossRef]
- Xue, S.; Geng, X.; Meng, L.; Xie, T.; Huang, L.; Yan, X.-H. HISEA-1: The first C-Band SAR miniaturized satellite for ocean and coastal observation. Remote Sens. 2021, 13, 2076. [Google Scholar] [CrossRef]















| Significant Wave Height (m) | Wave Period (s) | Wave Direction (°) | |
|---|---|---|---|
| Original wave | 2 | 12 | 135 |
| Added long-wave | 1 | 14 | 45 |
| Added short-wave | 5 | 5 | 45 |
| Parameter | Data Number | RMSE | Bias | SI | COR |
|---|---|---|---|---|---|
| Significant wave height | 119 | 0.58 m | −0.01 m | 36% | 0.80 |
| Mean wave period | 119 | 0.92 s | −0.14 s | 16% | 0.72 |
| Mean wave direction | 119 | 47° | 0° | 28% | 0.75 |
| Wind speed | 119 | 2.25 m/s | −0.59 m/s | 51% | 0.22 |
| Wind direction | 119 | 69° | 4° | 72% | 0.17 |
| Parameter | Data Number | RMSE | Bias | SI | COR |
|---|---|---|---|---|---|
| Significant wave height | 122 | 0.45 m | 0.05 m | 24% | 0.90 |
| Mean wave period | 122 | 0.76 s | −0.11 s | 12% | 0.88 |
| Mean wave direction | 122 | 39° | −4° | 40% | 0.41 |
| Wind speed | 122 | 1.90 m/s | 0.01 m/s | 24% | 0.81 |
| Wind direction | 122 | 52° | 0° | 58% | 0.02 |
| Method | Data Mode | Compared Data | Matching | RMSE of Mean Wave Period (s) | RMSE of Significant Wave Height (m) |
|---|---|---|---|---|---|
| Cutoff wavelength | SM | Buoy | 20 m and 10 min | 1.86 | 0.69 |
| CWAVE_S1-IW | IW | Buoy | 5–20 km and interpolated in time | \ | 0.55 |
| CWAVE_EX | IW | Wave model | 1/12–0.25° and interpolated in time | 0.91 | 0.57 |
| Shallow CNN | IW | Buoy | 20 m and 1 h | \ | 0.32 |
| This method | IW | Buoy | 10 m and 1 h | 0.76 | 0.45 |
Disclaimer/Publisher’s Note: The statements, opinions and data contained in all publications are solely those of the individual author(s) and contributor(s) and not of MDPI and/or the editor(s). MDPI and/or the editor(s) disclaim responsibility for any injury to people or property resulting from any ideas, methods, instructions or products referred to in the content. |
© 2023 by the authors. Licensee MDPI, Basel, Switzerland. This article is an open access article distributed under the terms and conditions of the Creative Commons Attribution (CC BY) license (https://creativecommons.org/licenses/by/4.0/).
Share and Cite
Xue, S.; Meng, L.; Geng, X.; Sun, H.; Edwing, D.; Yan, X.-H. Retrieving Ocean Surface Winds and Waves from Augmented Dual-Polarization Sentinel-1 SAR Data Using Deep Convolutional Residual Networks. Atmosphere 2023, 14, 1272. https://doi.org/10.3390/atmos14081272
Xue S, Meng L, Geng X, Sun H, Edwing D, Yan X-H. Retrieving Ocean Surface Winds and Waves from Augmented Dual-Polarization Sentinel-1 SAR Data Using Deep Convolutional Residual Networks. Atmosphere. 2023; 14(8):1272. https://doi.org/10.3390/atmos14081272
Chicago/Turabian StyleXue, Sihan, Lingsheng Meng, Xupu Geng, Haiyang Sun, Deanna Edwing, and Xiao-Hai Yan. 2023. "Retrieving Ocean Surface Winds and Waves from Augmented Dual-Polarization Sentinel-1 SAR Data Using Deep Convolutional Residual Networks" Atmosphere 14, no. 8: 1272. https://doi.org/10.3390/atmos14081272
APA StyleXue, S., Meng, L., Geng, X., Sun, H., Edwing, D., & Yan, X.-H. (2023). Retrieving Ocean Surface Winds and Waves from Augmented Dual-Polarization Sentinel-1 SAR Data Using Deep Convolutional Residual Networks. Atmosphere, 14(8), 1272. https://doi.org/10.3390/atmos14081272

