Assessment of Cloud Resources and Potential for Rain Enhancement: Case Study—Minas Girais State, Brazil
Abstract
1. Introduction
2. Study Area
2.1. Geographic Location
2.2. Climatology
3. Data analysis
3.1. Dry and Rainy Periods
3.2. Upper Air Sounding
3.3. Ground Stations—Assessment of Precipitation Climatology
- -
- Annual precipitation (hydrological period) is reduced from 12 to 38% (an average of 212 mm or 21%);
- -
- Six-month precipitation (wet period) is reduced from 9 to 36% (an average of 208 mm or 21%);
- -
- Four-month precipitation (rainy period) is reduced from 3 to 37% (an average of 162 mm or 22%).
3.4. Global Climate Reanalysis ERA-5
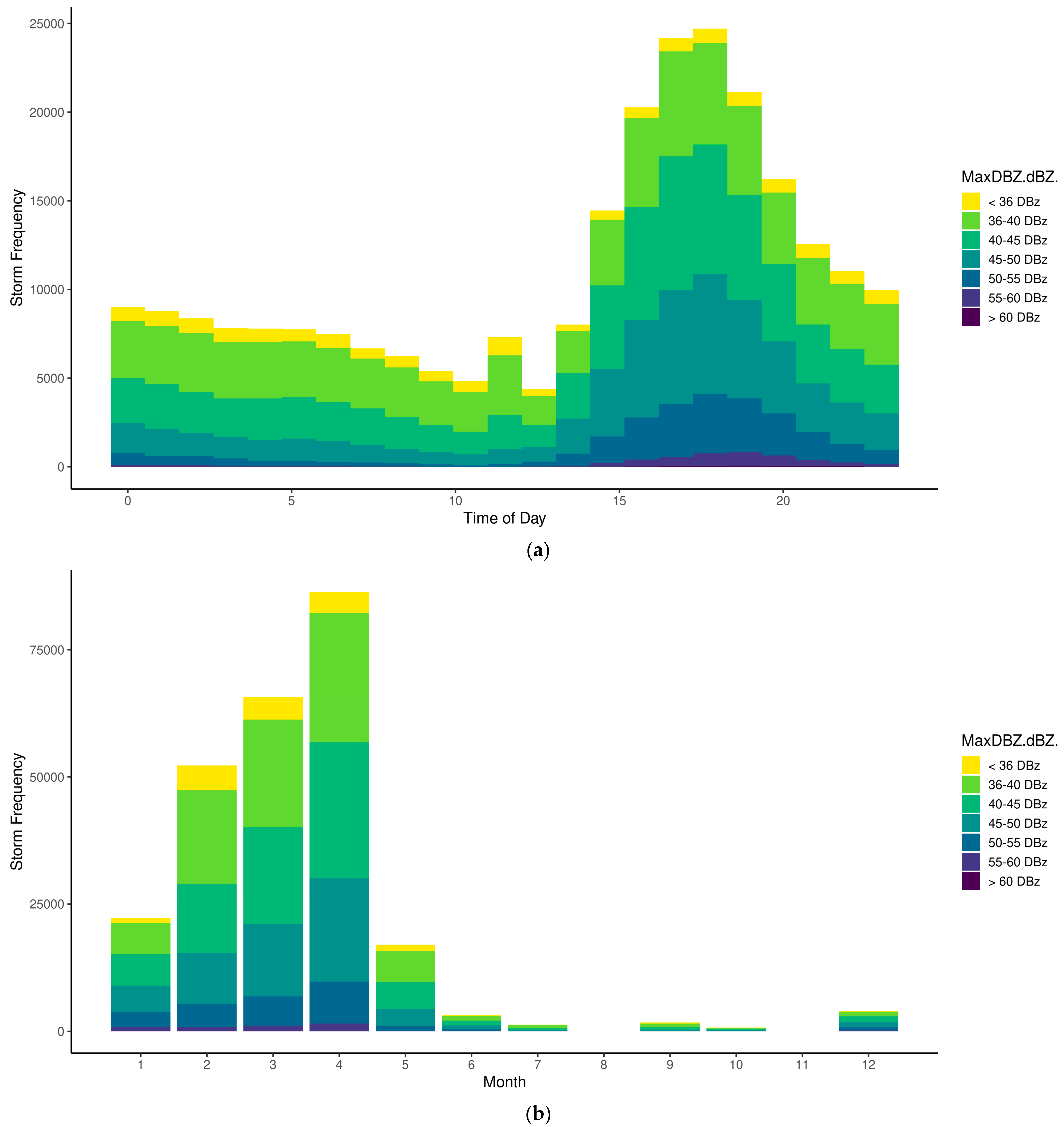
3.5. Weather Radar Data
4. Discussion
5. Conclusions
Author Contributions
Funding
Informed Consent Statement
Data Availability Statement
Acknowledgments
Conflicts of Interest
Abbreviations
| RE | Rain enhancement |
| CS | Cloud seeding |
| UN | United Nations |
| WMO | World Meteorological Organization |
| FAO | Food and Agriculture Organization |
| 3D | Three-dimensional space |
| ERA | European Environment Agency |
| ECMWF | European Center for Meteorological Weather Forecast |
| ASL | Above sea level |
| dBZ | Decibels relative to equivalent radar reflectivity factor Z |
| CAPE | Convective Available Potential Energy (J/kg) |
| LIFT | Convective Available Potential Energy (J/kg) |
References
- UN-Water. Policy Brief Climate Change and Water; UN-Water: Geneva, Switzerland, 2019; pp. 1–8. [Google Scholar]
- Unfried, K.; Kis-Katos, K.; Poser, T. Water scarcity and social conflict. J. Environ. Econ. Manag. 2022, 113, 102633. [Google Scholar] [CrossRef]
- Ito, S.; El Khatib, S.; Nakayama, M. Conflict over a hydropower plant project between Tajikistan and Uzbekistan. Int. J. Water Resour. Dev. 2016, 32, 692–707. [Google Scholar] [CrossRef]
- Murthy, S.L.; Mendikulova, F. Water, Conflict, and Cooperation in Central Asia. Vt. J. Environ. Law 2017, 18, 400–454. [Google Scholar]
- Wyman, R.J. The Effects of Population on the Depletion of Fresh Water. Popul. Dev. Rev. 2013, 39, 687–704. [Google Scholar] [CrossRef]
- UN-Water. UN-Water Analytical Brief on Unconventional Water Resources; UN-Water: Geneva, Switzerland, 2020; 59p, Available online: https://www.unwater.org/app/uploads/2020/08/UN-Water-Analytical-Brief-on-Unconventional-Water-Resources.pdf (accessed on 15 March 2022).
- Qadir, M.; Smakhtin, V.; Koo-Oshima, S.; Guenther, E. (Eds.) Unconventional Water Resources; Springer Nature AG: Basel, Switzerland, 2022; Available online: https://link.springer.com/book/9783030901455#aboutBook (accessed on 20 January 2023).
- Abshaev, A.M.; Flossmann, A.; Siems, S.T.; Prabhakaran, T.; Yao, Z.; Tessendorf, S. Rain Enhancement through Cloud Seeding. In Unconventional Water Resources; Qadir, M., Smakhtin, V., Koo-Oshima, S., Guenther, E., Eds.; Springer: Cham, Switzerland, 2022. [Google Scholar] [CrossRef]
- Abshaev, A.M.; Abshaev, M.T.; A Adzhiev, K.; Gekkieva, J.M.; A Sinkevich, A.; Mikhailovskii, Y.P. On the influence of glaciogenic seeding on the radar characteristics of hail clouds. IOP Conf. Series Earth Environ. Sci. 2021, 840, 012025. [Google Scholar] [CrossRef]
- Abshaev, M.T.; Zakinyan, R.G.; Abshaev, A.M.; Zakinyan, A.R.; Ryzhkov, R.D.; Wehbe, Y.; Al Mandous, A. Atmospheric conditions favorable for the creation of artificial clouds by a jet saturated with hygroscopic aerosol. Atmospheric Res. 2022, 277, 106323. [Google Scholar] [CrossRef]
- Abshaev, M.T.; Abshaev, A.M.; Aksenov, A.A.; Fisher, J.V.; Shchelyaev, A.E.; Al Mandous, A.; Wehbe, Y.; El-Khazali, R. Study of the Possibility of Stimulating Cloud Convection by Solar Radiation Energy Absorbed in an Artificial Aerosol Layer. Atmosphere 2023, 14, 86. [Google Scholar] [CrossRef]
- Abshaev, M.T.; Abshaev, A.M.; Aksenov, A.A.; Fisher, J.V.; Shchelyaev, A.E.; Al Mandous, A.; Al Yazeedi, O.; Wehbe, Y.; Sîrbu, E.; Sîrbu, D.A.; et al. Results of Field Experiments for the Creation of Artificial Updrafts and Clouds. Atmosphere 2023, 14, 136. [Google Scholar] [CrossRef]
- Abshaev, M.T.; Abshaev, A.M.; Aksenov, A.A.; Fisher, I.V.; Shchelyaev, A.E.; Al Mandous, A.; Wehbe, Y.; El-Khazali, R. CFD simulation of updrafts initiated by a vertically directed jet fed by the heat of water vapor condensation. Sci. Rep. 2022, 12, 9356. [Google Scholar] [CrossRef] [PubMed]
- Cheng, P.; Shen, T.; Luo, H.; Chen, Q.; Pang, C.; Huang, S. Statistical test and analysis of artificial rainfall enhancement effect in the upper Shiyang River Basin. Arid. Land Geogr. 2021, 44, 962–970. [Google Scholar] [CrossRef]
- Flossmann, A.I.; Manton, M.; Abshaev, A.; Bruintjes, R.; Murakami, M.; Prabhakaran, T.; Yao, Z. Review of Advances in Precipitation Enhancement Research. Bull. Am. Meteorol. Soc. 2019, 100, 1465–1480. [Google Scholar] [CrossRef]
- Liang, H.; Abshaev, M.T.; Abshaev, A.M.; Huchunaev, B.M.; Griffiths, S.; Zou, L. Water vapor harvesting nanostructures through bioinspired gradient-driven mechanism. Chem. Phys. Lett. 2019, 728, 167–173. [Google Scholar] [CrossRef]
- Abshaev, M.T.; Abshaev, A.M.; Barekova, M.V.; Malkarova, A.M. Manual on Organization and Execution of Hail Suppression Projects; Pechatniy Dvor ltd.: Nalchik, Russia, 2014; 508p. [Google Scholar]
- DeFelice, T.; Axisa, D. Modern and prospective technologies for weather modification activities: Developing a framework for integrating autonomous unmanned aircraft systems. Atmos. Res. 2017, 193, 173–183. [Google Scholar] [CrossRef]
- Al Hosari, T.; Al Mandous, A.; Wehbe, Y.; Shalaby, A.; Al Shamsi, N.; Al Naqbi, H.; Al Yazeedi, O.; Al Mazroui, A.; Farrah, S. The UAE Cloud Seeding Program: A Statistical and Physical Evaluation. Atmosphere 2021, 12, 1013. [Google Scholar] [CrossRef]
- Manton, M.J.; Warren, L. A Confirmatory Snowfall Enhancement Project in the Snowy Mountains of Australia. Part II: Primary and Associated Analyses. J. Appl. Meteorol. Clim. 2011, 50, 1448–1458. [Google Scholar] [CrossRef]
- Freud, E.; Koussevitzky, H.; Goren, T.; Rosenfeld, D. Cloud microphysical background for the Israel-4 cloud seeding experiment. Atmospheric Res. 2015, 158–159, 122–138. [Google Scholar] [CrossRef]
- List, R.; Gabriel, K.R.; Silverman, B.A.; Levin, Z.; Karacostas, T. The Rain Enhancement Experiment in Puglia, Italy: Statistical Evaluation. J. Appl. Meteorol. 1999, 38, 281–289. [Google Scholar] [CrossRef]
- DeFelice, T.; Golden, J.; Griffith, D.; Woodley, W.; Rosenfeld, D.; Breed, D.; Solak, M.; Boe, B. Extra area effects of cloud seeding—An updated assessment. Atmospheric Res. 2014, 135-136, 193–203. [Google Scholar] [CrossRef]
- Abshaev, M.T.; Abshaev, A.M.; Malkarova, A.M.; Mizieva, Z.Y. Radar estimation of water content in cumulonimbus clouds. Izv. Atmospheric Ocean. Phys. 2009, 45, 731–736. [Google Scholar] [CrossRef]
- Eke, J.; Yusuf, A.; Giwa, A.; Sodiq, A. The global status of desalination: An assessment of current desalination technologies, plants and capacity. Desalination 2020, 495, 114633. [Google Scholar] [CrossRef]
- Wehbe, Y.; Temimi, M. A Remote Sensing-Based Assessment of Water Resources in the Arabian Peninsula. Remote Sens. 2021, 13, 247. [Google Scholar] [CrossRef]
- Wehbe, Y.; Temimi, M.; Ghebreyesus, D.T.; Milewski, A.; Norouzi, H.; Ibrahim, E. Consistency of precipitation products over the Arabian Peninsula and interactions with soil moisture and water storage. Hydrol. Sci. J. 2018, 63, 408–425. [Google Scholar] [CrossRef]
- WMO. Documents on Weather Modification. In Proceedings of the Expert Team on Weather Modification Research, Phitsanulok, Thailand, 17–19 March 2015. [Google Scholar]
- Cunha, A.P.M.A.; Zeri, M.; Leal, K.D.; Costa, L.; Cuartas, L.A.; Marengo, J.A.; Tomasella, J.; Vieira, R.M.; Barbosa, A.A.; Cunningham, C.; et al. Extreme Drought Events over Brazil from 2011 to 2019. Atmosphere 2019, 10, 642. [Google Scholar] [CrossRef]
- Beck, H.E.; Zimmermann, N.E.; McVicar, T.R.; Vergopolan, N.; Berg, A.; Wood, E.F. Present and future Köppen-Geiger climate classification maps at 1-km resolution. Sci. Data 2018, 5, 180214. [Google Scholar] [CrossRef] [PubMed]
- Peel, M.C.; Finlayson, B.L.; McMahon, T.A. Updated world map of the Köppen-Geiger climate classification. Hydrol. Earth Syst. Sci. 2007, 11, 1633–1644. [Google Scholar] [CrossRef]
- The World Bank Climate Change Knowledge Portal 2.0. Available online: https://climateknowledgeportal.worldbank.org/ (accessed on 28 January 2022).
- World Bank Group. World Bank Group Climate Change Action Plan 2021–2025: Supporting Green, Resilient, and Inclusive Development; World Bank: Washington, DC, USA, 2021; Available online: http://hdl.handle.net/10986/35799 (accessed on 2 July 2023).
- Khater, A.; Mohammadi, M.; Mohamad, A.; Nezhad, A.S. Dynamics of temperature-actuated droplets within microfluidics. Sci. Rep. 2019, 9, 3832. [Google Scholar] [CrossRef]
- Hersbach, H.; Rosnay, P.; Bell, B.; Schepers, D.; Al, E. Operational global reanalysis: Progress, future directions and synergies with NWP. ERA Rep. Ser. 2018, 27, 1–63. [Google Scholar]
- Dixon, M.; Wiener, G. TITAN: Thunderstorm identification, tracking, analysis, and nowcasting—A radar-based methodology. J. Atmos. Ocean. Technol. 1993, 10, 785–797. [Google Scholar] [CrossRef]
- Mather, G.K.; Terblanche, D.E.; Steffens, F.E.; Fletcher, L. Results of the South African Cloud-Seeding Experiments Using Hygroscopic Flares. J. Appl. Meteorol. 1997, 36, 1433–1447. [Google Scholar] [CrossRef]

















| № | Month | Average Monthly Precipitation, mm | Group | Optimistic 20% Increase, mm | Ideal Cloud Seeding Benefit |
|---|---|---|---|---|---|
| 1 | January | 226.79 | Rainy | 45.4 | High |
| 2 | February | 144.34 | Rainy | 28.9 | Average |
| 3 | March | 163.11 | Rainy | 32.6 | Average |
| 4 | April | 74.8 | Dry | 15.0 | Low |
| 5 | May | 29.52 | Dry | 5.9 | Extremely low |
| 6 | June | 11.94 | Dry | 2.4 | Extremely low |
| 7 | July | 10.57 | Dry | 2.1 | Extremely low |
| 8 | August | 12.61 | Dry | 2.5 | Extremely low |
| 9 | September | 42.69 | Dry | 8.5 | Low |
| 10 | October | 108.61 | Dry | 21.7 | Average |
| 11 | November | 194.8 | Rainy | 39.0 | High |
| 12 | December | 245.98 | Rainy | 49.2 | High |
| NN | Code | Name | Date | Precipitation, mm (%) | ||
|---|---|---|---|---|---|---|
| October–September | October–March | November–February | ||||
| 1 | 1645000 | Sao Romao | 2000–2019 (1952–2019) | 964.8 | 875.1 (90.7%) | 692.2 (71.7%) |
| 2 | 1645005 | Via Urucuia | 2000–2019 (1967–2019) | 1034.9 | 951.8 (92.0%) | 734.3 (71.0%) |
| 4 | 1644028 | Jao Joao da Vereda | 2000–2019 (1975–2019) | 936.7 | 858.1 (91.6%) | 669.2 (71.4%) |
| 5 | 1545002 | Serra Das Araras | 2000–2019 (1992–2019) | 1090.6 | 988.9 (90.7%) | 759.7 (69.7) |
| 6 | 1544030 | Varzelandia | 2000–2019 (1993–2019) | 868.4 | 805.6 (92.8%) | 637.6 (73.4%) |
| 7 | 1645019 | Fazenda Concei | 2000–2019 (1984–2019) | 1094.8 | 999.7 (91.3) | 770.1 (70.3) |
| 8 | 1544032 | Usina Do Pandeiros | 2000–2019 (1994–2019) | 926.2 | 842.4 (90.9%) | 644.3 (69.6%) |
| 10 | 1644032 | Alvacao | 2000–2019 (2000–2019) | 988.7 | 909.9 (92.0%) | 716.8 (72.5%) |
| 11 | 1644033 | Ubai | 2000–2019 (2000–2019) | 961.5 | 880.6 (91.6%) | 671.6 (69.8%) |
| 12 | 1644034 | Sao Geraldo | 2000–2019 (2000–2019) | 968.4 | 896.3 (92.5%) | 683.6 (70.6%) |
| 13 | 1645020 | Santa Fe | 2000–2019 (2000–2019) | 981.0 | 901.6 (91.9%) | 711.6 (72.5%) |
| 14 | 1544037 | Riacho da Cruz | 2000–2019 (2000–2019) | 894.5 | 817.7 (91.4%) | 630.7 (70.5%) |
| 15 | 1544012 | Sao Francisco | 2001–2019) (1938–2019) | 945.2 | 876.5 (91.8%) | 653.2 (69.1%) |
| 16 | 1643026 | Bom Jardim | 2000–2019 (1999–2019) | 837.7 | 781.2 (93.3%) | 615.5 (73.5%) |
| NN | Code | Name | Number of Rainy Days | ||
|---|---|---|---|---|---|
| October–September | October–March | November–February | |||
| 1 | 1645000 | Sao Romao | 81.7 | 71.5 | 53.0 |
| 2 | 1645005 | Via Urucuia | 56.9 | 54.2 | 41.3 |
| 4 | 1644028 | Jao Joao da Vereda | 72.0 | 61.8 | 43.2 |
| 5 | 1545002 | Serra Das Araras | 83.1 | 72.3 | 54.0 |
| 6 | 1544030 | Varzelandia | 60.2 | 52.3 | 39.8 |
| 7 | 1645019 | Fazenda Consei | 77.1 | 70.7 | 52.4 |
| 8 | 1544032 | Usina Do Pandeiros | 67.9 | 60.4 | 45.1 |
| 10 | 1644032 | Alvacao | 74.7 | 64.9 | 47.4 |
| 11 | 1644033 | Ubai | 75.3 | 65.9 | 48.1 |
| 12 | 1644034 | Sao Geraldo | 58.6 | 50.6 | 36.7 |
| 13 | 1645020 | Santa Fe | 57.3 | 53.7 | 40.8 |
| 14 | 1544037 | Riacho da Cruz | 63.5 | 54.7 | 40.7 |
| 15 | 1544012 | Sao Francisco | 74.1 | 62.9 | 46.7 |
| 16 | 1643026 | Bom Jardim | 62.5 | 55.1 | 41.4 |
| Mean (min–max) | 69 (57–83) | 61 (51–72) | 45 (37–54) | ||
| NN | Code | Name | October–September | October–March | November–February | |||
|---|---|---|---|---|---|---|---|---|
| Δ (mm) | Δ (%) | Δ (mm) | Δ (%) | Δ (mm) | Δ (%) | |||
| 1 | 1645000 | Sao Romao | 357 | 31 | 288 | 28 | 234 | 29 |
| 2 | 1645005 | Via Urucuia | 125 | 12 | 162 | 16 | 111 | 15 |
| 4 | 1644028 | Jao Joao da Vereda | 272 | 25 | 252 | 26 | 252 | 32 |
| 5 | 1545002 | Serra Das Araras | 136 | 12 | 162 | 15 | 198 | 23 |
| 6 | 1544030 | Varzelandia | 357 | 31 | 288 | 28 | 234 | 29 |
| 7 | 1645019 | Fazenda Consei | 140 | 12 | 91 | 9 | 24 | 3 |
| 8 | 1544032 | Usina Do Pandeiros | 170 | 17 | 144 | 16 | 90 | 13 |
| 10 | 1644032 | Alvacao | 204 | 19 | 252 | 25 | 198 | 25 |
| 11 | 1644033 | Ubai | 204 | 19 | 126 | 13 | 126 | 17 |
| 12 | 1644034 | Sao Geraldo | 136 | 13 | 162 | 17 | 54 | 8 |
| 13 | 1645020 | Santa Fe | 180 | 17 | 216 | 22 | 198 | 25 |
| 14 | 1544037 | Riacho da Cruz | 238 | 23 | 180 | 20 | 198 | 27 |
| 15 | 1544012 | Sao Francisco | 448 | 38 | 374 | 36 | 289 | 37 |
| 16 | 1643026 | Bom Jardim | 187 | 20 | 216 | 25 | 162 | 24 |
| Mean | 212 | 21 | 208 | 21 | 162 | 22 | ||
Disclaimer/Publisher’s Note: The statements, opinions and data contained in all publications are solely those of the individual author(s) and contributor(s) and not of MDPI and/or the editor(s). MDPI and/or the editor(s) disclaim responsibility for any injury to people or property resulting from any ideas, methods, instructions or products referred to in the content. |
© 2023 by the authors. Licensee MDPI, Basel, Switzerland. This article is an open access article distributed under the terms and conditions of the Creative Commons Attribution (CC BY) license (https://creativecommons.org/licenses/by/4.0/).
Share and Cite
Abshaev, A.M.; Abshaev, M.T.; Kolskov, B.P.; Piketh, S.J.; Burger, R.P.; Havenga, H.; Al Mandous, A.; Al Yazeedi, O.; Hovsepyan, S.R.; Sîrbu, E.; et al. Assessment of Cloud Resources and Potential for Rain Enhancement: Case Study—Minas Girais State, Brazil. Atmosphere 2023, 14, 1227. https://doi.org/10.3390/atmos14081227
Abshaev AM, Abshaev MT, Kolskov BP, Piketh SJ, Burger RP, Havenga H, Al Mandous A, Al Yazeedi O, Hovsepyan SR, Sîrbu E, et al. Assessment of Cloud Resources and Potential for Rain Enhancement: Case Study—Minas Girais State, Brazil. Atmosphere. 2023; 14(8):1227. https://doi.org/10.3390/atmos14081227
Chicago/Turabian StyleAbshaev, Ali M., Magomet T. Abshaev, Boris P. Kolskov, Stuart J. Piketh, Roelof P. Burger, Henno Havenga, Abdulla Al Mandous, Omar Al Yazeedi, Suren R. Hovsepyan, Emil Sîrbu, and et al. 2023. "Assessment of Cloud Resources and Potential for Rain Enhancement: Case Study—Minas Girais State, Brazil" Atmosphere 14, no. 8: 1227. https://doi.org/10.3390/atmos14081227
APA StyleAbshaev, A. M., Abshaev, M. T., Kolskov, B. P., Piketh, S. J., Burger, R. P., Havenga, H., Al Mandous, A., Al Yazeedi, O., Hovsepyan, S. R., Sîrbu, E., Sîrbu, D. A., Eremeico, S., & Krousarski, H. (2023). Assessment of Cloud Resources and Potential for Rain Enhancement: Case Study—Minas Girais State, Brazil. Atmosphere, 14(8), 1227. https://doi.org/10.3390/atmos14081227

