Profiling of Aerosols and Clouds over High Altitude Urban Atmosphere in Eastern Himalaya: A Ground-Based Observation Using Raman LIDAR
Abstract
1. Introduction
2. Site Description and Synoptic Meteorology
3. Instrumentation, Data, and Methodology
3.1. Instrumentation and Data
3.2. Methodology
3.2.1. , , LR, LDR and AE
3.2.2. Aerosol and Cloud Layers
3.2.3. Atmospheric Boundary Layer
3.2.4. Water Vapor Mixing Ratio (WVMR)
3.2.5. Atmospheric Dynamics and Periodicity
4. Results and Discussions
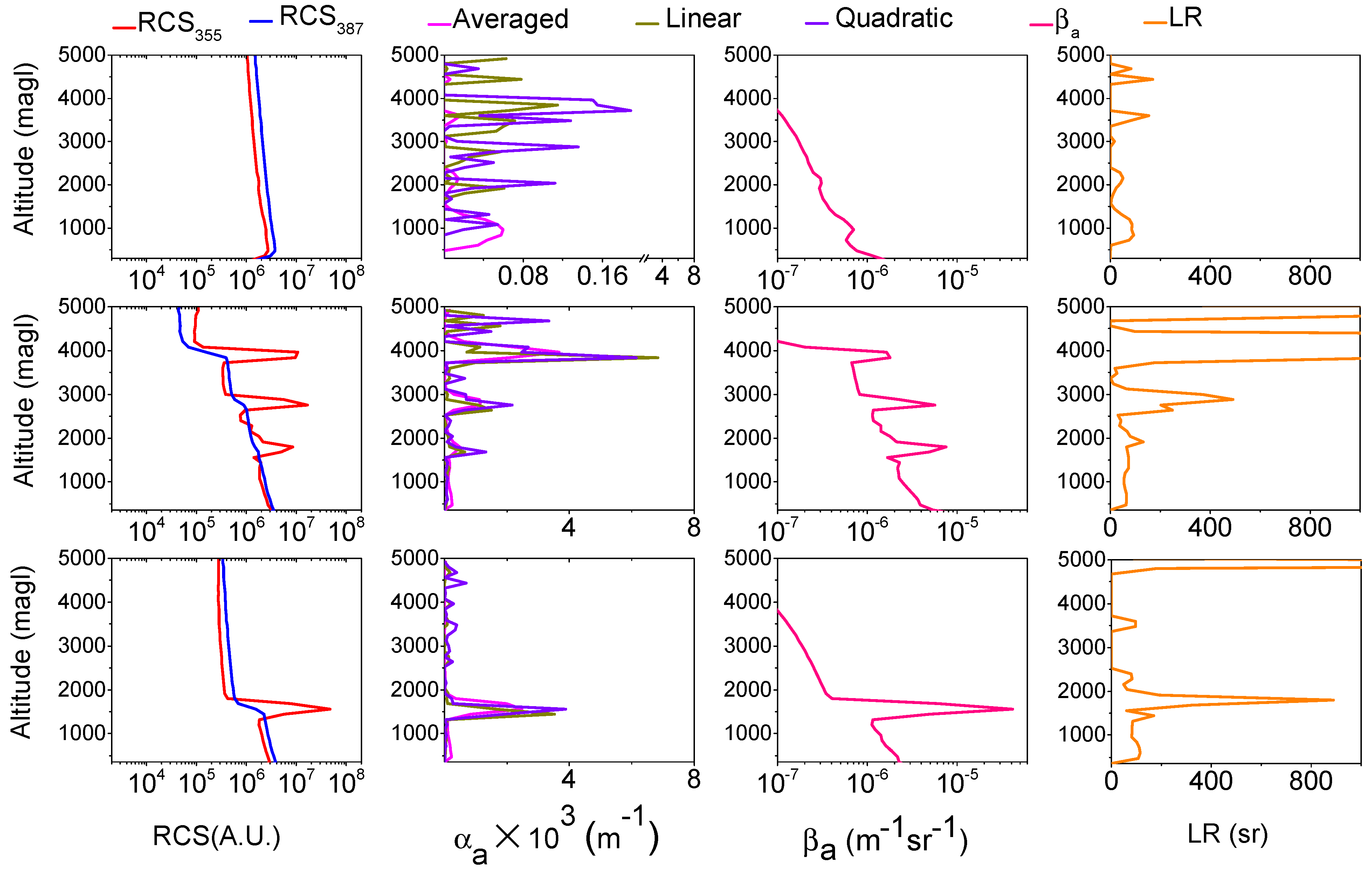
4.1. RCS, , , and LR
4.2. Atmospheric Boundary Layer
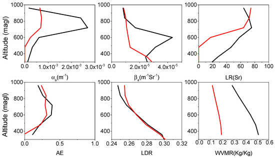
4.3. Comparison of Vertical Profiles of Aerosol Optical Parameters between the Days with and without Aerosol and/or Cloud Layers
4.3.1. Profiles within the ABL
Group 1
Group 2
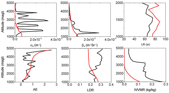
4.3.2. Profiles above the ABL
Group 1
Group 2
4.4. Characterization of Aerosol Layers
4.5. Characterization of Cloud Layers
4.6. Atmospheric Dynamics
4.7. The Cloud Life Cycle by LIDAR and MRR—A Case Study
4.8. Periodicity in LIDAR RCS and Derived Parameters
5. Summary and Conclusions
- The atmospheric boundary layer (ABL) height shows a maximum of around 1140 m altitude. The 7-day average SBL height is 576 m. The multilayered structure of the residual layer and its infrequent appearance may be indicative of destruction by mountain valley circulation and topography-induced wind patterns.
- The LR and LDR correlation within and above the ABL differs with and without aerosol or cloud layers. In the presence of layers, the LR-LDR relation becomes significantly negative within ABL. However, above the ABL, LR-LDR shows a positive significant correlation.
- The cloud condensation nuclei (CCN) susceptibility of aerosols makes them more spherical and hence may be responsible for an increase in . The core-shell combination of anthropogenic and marine aerosols may increase compared to pure anthropogenic aerosols. The presence of multiple aerosol/cloud layers induces non-monotonic behavior with altitude in case of WVMR, Angstrom exponent (AE) and LDR.
- The layered structures are prominent in variation as it is directly related to RCS change with altitude. The dominating coarse mode aerosols are prominent Mie scatterers. The interference of scattered radiation from the scatterers might be responsible for the faster decrease of compared to . It results in the increase in LR m.
- The is found to be maximum for mixed-phase compared to both water and ice phase clouds. LDR is found to be maximum for the ice phase and minimum for the water phase cloud. On the other hand, both LR and cloud optical depth (COD) are found to be maximum for mixed-phase and minimum for ice-phase clouds.
- The major periodicities in Lomb–Scargle periodogram (LSP) studies of RCS corresponding to 355 nm, 387 nm, and 532 nm show 64-day periodicity at different altitudes. The periodicity in WVMR is found to be of 7 weeks and 16 days at 600 m and 720 m, respectively, related to the periodicity of long-range transportation and cyclonic activities.
Author Contributions
Funding
Institutional Review Board Statement
Informed Consent Statement
Data Availability Statement
Conflicts of Interest
Abbreviations
| aerosol extinction coefficient | |
| ABL | Atmospheric Boundary layer |
| AOD | Aerosol optical depth |
| AE | Angstrom Exponent |
| backscattering coefficient | |
| BC | Black carbon |
| CA | Cluster Analysis |
| CBH | Cloud base height |
| CCN | Cloud condensation nuclei |
| COD | Cloud optical depth |
| CTT | Cloud top temperature |
| CTH | Cloud top height |
| ECMWF | European Center for medium-range weather forecast |
| HYSPLIT | hybrid single particle lagrangian integrated trajectories |
| LIDAR | light detection and ranging |
| LDR | Linear depolarization ratio |
| LR | LIDAR ratio |
| LSP | Lomb–Scargle periodogram |
| MLD | Mixed layer depth |
| MRR | Micro rain radar |
| NSD | Normalized standard deviation |
| RCS | Range corrected signal |
| Range corrected signal for x wavelength channel | |
| Rat | ratio |
| SBL | Stable boundary layer |
| SSA | Single scattering albedo |
| SNR | Signal to noise ratio |
| WVMR | Water vapor mixing ratio |
Appendix A. Interactions of Optical Radiation with Atmospheric Constituents
Appendix A.1. Elastic Scattering and Absorption
Appendix A.2. Effect of Particle Shape
Appendix A.3. Many-Particle System
Inelastic Scattering
Appendix A.4. Effect of Multiple Scattering
Appendix B. Retrieval of Aerosol and Cloud Optical Properties from the LIDAR Signal
Appendix B.1. Negative Values of
Appendix C. Water Vapor Mixing Ratio (WVMR)
Appendix D. Cluster Analysis—Non-Hierarchical K-Mean Method
References
- Mushtaq, Z.; Sharma, M.; Bangotra, P.; Gautam, A.S.; Gautam, S. Atmospheric Aerosols: Some Highlights and Highlighters, Past to Recent Years. Aerosol Sci. Eng. 2022, 6, 135–145. [Google Scholar] [CrossRef]
- Fernald, F.G. Analysis of atmospheric lidar observations: Some comments. Appl. Opt. 1984, 23, 652–653. [Google Scholar] [CrossRef] [PubMed]
- Klett, J.D. Stable analytical inversion solution for processing lidar returns. Appl. Opt. 1981, 20, 211–220. [Google Scholar] [CrossRef]
- Wei, H.; Koga, R.; Iokibe, K.; Wada, O.; Toyota, Y. Stable inversion method for a polarized-lidar: Analysis and simulation. JOSA A 2001, 18, 392–398. [Google Scholar] [CrossRef] [PubMed]
- Fan, S.; Liu, C.; Xie, Z.; Dong, Y.; Hu, Q.; Fan, G.; Chen, Z.; Zhang, T.; Duan, J.; Zhang, P.; et al. Scanning vertical distributions of typical aerosols along the Yangtze River using elastic lidar. Sci. Total Environ. 2018, 628, 631–641. [Google Scholar] [CrossRef] [PubMed]
- Fruck, C.; Gaug, M.; Hahn, A.; Acciari, V.; Besenrieder, J.; Prester, D.D.; Dorner, D.; Fink, D.; Font, L.; Mićanović, S.; et al. Characterizing the aerosol atmosphere above the Observatorio del Roque de los Muchachos by analyzing seven years of data taken with an GaAsP HPD-readout, absolutely calibrated elastic LIDAR. arXiv 2022, arXiv:2202.09561. [Google Scholar]
- Veselovskii, I.; Goloub, P.; Hu, Q.; Podvin, T.; Korenskiy, M. Lidar Ratios of Dust Over West Africa Measured During “Shadow” Campaign. In Proceedings of the EPJ Web of Conferences, EDP Sciences, Hefei, China, 24–28 June 2019; Volume 237, p. 02022. [Google Scholar]
- Giannakaki, E.; Kokkalis, P.; Marinou, E.; Bartsotas, N.S.; Amiridis, V.; Ansmann, A.; Komppula, M. The potential of elastic and polarization lidars to retrieve extinction profiles. Atmos. Meas. Tech. 2020, 13, 893–905. [Google Scholar] [CrossRef]
- Omar, A.H.; Winker, D.M.; Vaughan, M.A.; Hu, Y.; Trepte, C.R.; Ferrare, R.A.; Lee, K.P.; Hostetler, C.A.; Kittaka, C.; Rogers, R.R.; et al. The CALIPSO automated aerosol classification and lidar ratio selection algorithm. J. Atmos. Ocean. Technol. 2009, 26, 1994–2014. [Google Scholar] [CrossRef]
- Ansmann, A.; Riebesell, M.; Weitkamp, C. Measurement of atmospheric aerosol extinction profiles with a Raman lidar. Opt. Lett. 1990, 15, 746–748. [Google Scholar] [CrossRef]
- Hara, Y.; Nishizawa, T.; Sugimoto, N.; Osada, K.; Yumimoto, K.; Uno, I.; Kudo, R.; Ishimoto, H. Retrieval of aerosol components using multi-wavelength Mie-Raman lidar and comparison with ground aerosol sampling. Remote Sens. 2018, 10, 937. [Google Scholar] [CrossRef]
- Langenbach, A.; Baumgarten, G.; Fiedler, J.; Lübken, F.J.; von Savigny, C.; Zalach, J. Year-round stratospheric aerosol backscatter ratios calculated from lidar measurements above northern Norway. Atmos. Meas. Tech. 2019, 12, 4065–4076. [Google Scholar] [CrossRef]
- Zalach, J.; von Savigny, C.; Langenbach, A.; Baumgarten, G.; Lübken, F.J.; Bourassa, A. A method for retrieving stratospheric aerosol extinction and particle size from ground-based Rayleigh-Mie-Raman lidar observations. Atmosphere 2020, 11, 773. [Google Scholar] [CrossRef]
- Wang, Y.; Amodeo, A.; O’Connor, E.J.; Baars, H.; Bortoli, D.; Hu, Q.; Sun, D.; D’Amico, G. Numerical Weather Predictions and Re-Analysis as Input for Lidar Inversions: Assessment of the Impact on Optical Products. Remote Sens. 2022, 14, 2342. [Google Scholar] [CrossRef]
- Gong, W.; Wang, W.; Mao, F.; Zhang, J. Improved method for retrieving the aerosol optical properties without the numerical derivative for Raman–Mie lidar. Opt. Commun. 2015, 349, 145–150. [Google Scholar] [CrossRef]
- Shan, H.; Zhang, H.; Liu, J.; Tao, Z.; Wang, S.; Ma, X.; Zhou, P.; Yao, L.; Liu, D.; Xie, C.; et al. Retrieval method of aerosol extinction coefficient profile based on backscattering, side-scattering and Raman-scattering lidar. Opt. Commun. 2018, 410, 730–732. [Google Scholar] [CrossRef]
- Shen, J.; Cao, N. Accurate inversion of tropospheric aerosol extinction coefficient profile by Mie-Raman lidar. Optik 2019, 184, 153–164. [Google Scholar] [CrossRef]
- Shen, J.; Cao, N.; Yang, S.; Yang, S. Inversion of aerosol extinction coefficient by Raman-Mie scattering lidar. Optik 2020, 203, 164038. [Google Scholar] [CrossRef]
- Dieudonné, E.; Chazette, P.; Marnas, F.; Totems, J.; Shang, X. Raman Lidar Observations of Aerosol Optical Properties in 11 Cities from France to Siberia. Remote Sens. 2017, 9, 978. [Google Scholar] [CrossRef]
- Wang, L.; Stanič, S.; Eichinger, W.; Močnik, G.; Drinovec, L.; Gregorič, A. Investigation of Aerosol Properties and Structures in Two Representative Meteorological Situations over the Vipava Valley Using Polarization Raman LiDAR. Atmosphere 2019, 10, 128. [Google Scholar] [CrossRef]
- Sipeng, Y.; Cao, N.; Song, X. Correction of the Fernald Method Using Real-Time Average Lidar Ratios with Mie–Rayleigh–Raman Lidar. J. Appl. Spectrosc. 2019, 86, 533–537. [Google Scholar] [CrossRef]
- Yin, Z.; Baars, H.; Seifert, P.; Engelmann, R. Automatic LiDAR calibration and processing program for multiwavelength Raman polarization LiDAR. In Proceedings of the EPJ Web of Conferences, EDP Sciences, Hefei, China, 24–28 June 2019; Volume 237, p. 08007. [Google Scholar]
- Chang, Y.; Hu, Q.; Goloub, P.; Veselovskii, I.; Podvin, T. Retrieval of Aerosol Microphysical Properties from Multi-Wavelength Mie–Raman Lidar Using Maximum Likelihood Estimation: Algorithm, Performance, and Application. Remote Sens. 2022, 14, 6208. [Google Scholar] [CrossRef]
- Sorrentino, A.; Sannino, A.; Spinelli, N.; Piana, M.; Boselli, A.; Tontodonato, V.; Castellano, P.; Wang, X. A Bayesian parametric approach to the retrieval of the atmospheric number size distribution from lidar data. Atmos. Meas. Tech. 2022, 15, 149–164. [Google Scholar] [CrossRef]
- Böckmann, C.; Nakoudi, K.; Ritter, C.; Herber, A. Retrieval of Arctic Particle Microphysics from Air-Borne LiDAR and Sun-Photometer Data. In Proceedings of the IGARSS 2020–2020 IEEE International Geoscience and Remote Sensing Symposium, Waikoloa, HI, USA, 26 September–2 October 2020; IEEE: Piscataway, NJ, USA, 2020; pp. 5584–5587. [Google Scholar]
- Müller, D.; Wandinger, U.; Ansmann, A. Microphysical particle parameters from extinction and backscatter lidar data by inversion with regularization: Simulation. Appl. Opt. 1999, 38, 2358–2368. [Google Scholar] [CrossRef] [PubMed]
- Veselovskii, I.; Kolgotin, A.; Griaznov, V.; Müller, D.; Wandinger, U.; Whiteman, D.N. Inversion with regularization for the retrieval of tropospheric aerosol parameters from multiwavelength lidar sounding. Appl. Opt. 2002, 41, 3685–3699. [Google Scholar] [CrossRef]
- Böckmann, C.; Mironova, I.; Müller, D.; Schneidenbach, L.; Nessler, R. Microphysical aerosol parameters from multiwavelength lidar. JOSA A 2005, 22, 518–528. [Google Scholar] [CrossRef]
- Di, H.; Wang, Q.; Hua, H.; Li, S.; Yan, Q.; Liu, J.; Song, Y.; Hua, D. Aerosol microphysical particle parameter inversion and error analysis based on remote sensing data. Remote Sens. 2018, 10, 1753. [Google Scholar] [CrossRef]
- Samoilova, S.; Balin, Y.S.; Kokhanenko, G.; Nasonov, S.; Penner, I. Retrieval of tropospheric aerosol parameters from the data of lidar sensing. In Proceedings of the 27th International Symposium on Atmospheric and Ocean Optics, Atmospheric Physics, Moscow, Russia, 5–9 July 2021; Volume 11916, pp. 896–904. [Google Scholar]
- Wandinger, U.; Müller, D.; Böckmann, C.; Althausen, D.; Matthias, V.; Bösenberg, J.; Weiß, V.; Fiebig, M.; Wendisch, M.; Stohl, A.; et al. Optical and microphysical characterization of biomass-burning and industrial-pollution aerosols from-multiwavelength lidar and aircraft measurements. J. Geophys. Res. Atmos. 2002, 107, 8125. [Google Scholar] [CrossRef]
- Alados-Arboledas, L.; Müller, D.; Guerrero-Rascado, J.; Navas-Guzmán, F.; Pérez-Ramírez, D.; Olmo, F. Optical and microphysical properties of fresh biomass burning aerosol retrieved by Raman lidar, and star-and sun-photometry. Geophys. Res. Lett. 2011, 38. [Google Scholar] [CrossRef]
- Shcherbakov, V. Regularized algorithm for Raman lidar data processing. Appl. Opt. 2007, 46, 4879–4889. [Google Scholar] [CrossRef]
- Samoilova, S.; Balin, Y.S.; Kokhanenko, G.; Penner, I. Investigations of the vertical distribution of troposphere aerosol layers based on the data of multifrequency Raman lidar sensing: Part 1. Methods of optical parameter retrieval. Atmos. Ocean. Opt. 2009, 22, 302–315. [Google Scholar] [CrossRef]
- Pappalardo, G.; Amodeo, A.; Pandolfi, M.; Wandinger, U.; Ansmann, A.; Bösenberg, J.; Matthias, V.; Amiridis, V.; De Tomasi, F.; Frioud, M.; et al. Aerosol lidar intercomparison in the framework of the EARLINET project. 3. Raman lidar algorithm for aerosol extinction, backscatter, and lidar ratio. Appl. Opt. 2004, 43, 5370–5385. [Google Scholar] [CrossRef] [PubMed]
- Su, J.; Wu, Y.; McCormick, M.P.; Lei, L.; Lee, R.B. Improved method to retrieve aerosol optical properties from combined elastic backscatter and Raman lidar data. Appl. Phys. B 2014, 116, 61–67. [Google Scholar] [CrossRef]
- Li, J.; Li, C.; Guo, J.; Li, J.; Tan, W.; Kang, L.; Chen, D.; Song, T.; Liu, L. Retrieval of aerosol profiles by Raman lidar with dynamic determination of the lidar equation reference height. Atmos. Environ. 2019, 199, 252–259. [Google Scholar] [CrossRef]
- Müller, D.; Wandinger, U.; Althausen, D.; Fiebig, M. Comprehensive particle characterization from three-wavelength Raman-lidar observations: Case study. Appl. Opt. 2001, 40, 4863–4869. [Google Scholar] [CrossRef]
- Whiteman, D.; Evans, K.; Demoz, B.; Starr, D.O.; Eloranta, E.; Tobin, D.; Feltz, W.; Jedlovec, G.; Gutman, S.; Schwemmer, G.; et al. Raman lidar measurements of water vapor and cirrus clouds during the passage of Hurricane Bonnie. J. Geophys. Res. Atmos. 2001, 106, 5211–5225. [Google Scholar] [CrossRef]
- Burton, S.; Ferrare, R.; Hostetler, C.; Hair, J.; Rogers, R.; Obland, M.; Butler, C.; Cook, A.; Harper, D.; Froyd, K. Aerosol classification using airborne High Spectral Resolution Lidar measurements–methodology and examples. Atmos. Meas. Tech. 2012, 5, 73–98. [Google Scholar] [CrossRef]
- Schuster, G.L.; Vaughan, M.; MacDonnell, D.; Su, W.; Winker, D.; Dubovik, O.; Lapyonok, T.; Trepte, C. Comparison of CALIPSO aerosol optical depth retrievals to AERONET measurements, and a climatology for the lidar ratio of dust. Atmos. Chem. Phys. 2012, 12, 7431–7452. [Google Scholar] [CrossRef]
- Filioglou, M.; Giannakaki, E.; Backman, J.; Kesti, J.; Hirsikko, A.; Engelmann, R.; O’Connor, E.; Leskinen, J.T.; Shang, X.; Korhonen, H.; et al. Optical and geometrical aerosol particle properties over the United Arab Emirates. Atmos. Chem. Phys. 2020, 20, 8909–8922. [Google Scholar] [CrossRef]
- Lewis, J.R.; Campbell, J.R.; Stewart, S.A.; Tan, I.; Welton, E.J.; Lolli, S. Determining cloud thermodynamic phase from the polarized Micro Pulse Lidar. Atmos. Meas. Tech. 2020, 13, 6901–6913. [Google Scholar] [CrossRef]
- Wang, Z.; Liu, C.; Hu, Q.; Dong, Y.; Liu, H.; Xing, C.; Tan, W. Quantify the contribution of dust and anthropogenic sources to aerosols in North China by lidar and validated with CALIPSO. Remote Sens. 2021, 13, 1811. [Google Scholar] [CrossRef]
- Bohlmann, S.; Shang, X.; Vakkari, V.; Giannakaki, E.; Leskinen, A.; Lehtinen, K.E.J.; Pätsi, S.; Komppula, M. Lidar depolarization ratio of atmospheric pollen at multiple wavelengths. Atmos. Chem. Phys. 2021, 21, 7083–7097. [Google Scholar] [CrossRef]
- Wang, H.; Li, Z.; Goloub, P.; Hu, Q.; Wang, F.; Lv, Y.; Ge, B.; Hu, X.; Shang, J.; Zhang, P. Identification of typical dust sources in Tarim Basin based on multi-wavelength Raman polarization lidar. Atmos. Environ. 2022, 290, 119358. [Google Scholar] [CrossRef]
- Janicka, L.; Stachlewska, I.S.; Veselovskii, I.; Baars, H. Temporal variations in optical and microphysical properties of mineral dust and biomass burning aerosol derived from daytime Raman lidar observations over Warsaw, Poland. Atmos. Environ. 2017, 169, 162–174. [Google Scholar] [CrossRef]
- Nishizawa, T.; Sugimoto, N.; Matsui, I.; Shimizu, A.; Hara, Y.; Itsushi, U.; Yasunaga, K.; Kudo, R.; Kim, S.W. Ground-based network observation using Mie–Raman lidars and multi-wavelength Raman lidars and algorithm to retrieve distributions of aerosol components. J. Quant. Spectrosc. Radiat. Transf. 2017, 188, 79–93. [Google Scholar] [CrossRef]
- Vérèmes, H.; Payen, G.; Keckhut, P.; Duflot, V.; Baray, J.L.; Cammas, J.P.; Evan, S.; Posny, F.; Körner, S.; Bosser, P. Validation of the Water Vapor Profiles of the Raman Lidar at the Maïdo Observatory (Reunion Island) Calibrated with Global Navigation Satellite System Integrated Water Vapor. Atmosphere 2019, 10, 713. [Google Scholar] [CrossRef]
- Turner, D.D.; Ferrare, R.; Brasseur, L.H.; Feltz, W.; Tooman, T. Automated retrievals of water vapor and aerosol profiles from an operational Raman lidar. J. Atmos. Ocean. Technol. 2002, 19, 37–50. [Google Scholar] [CrossRef]
- Kulla, B.S.; Ritter, C. Water vapor calibration: Using a Raman lidar and radiosoundings to obtain highly resolved water vapor profiles. Remote Sens. 2019, 11, 616. [Google Scholar] [CrossRef]
- Yu, S.; Liu, D.; Xu, J.; Wang, Z.; Wu, D.; Wang, Y. Water Vapor Mixing Ratio Distribution Inversion by Raman Lidar in Beijing. In Proceedings of the EPJ Web of Conferences, EDP Sciences, Hefei, China, 24–28 June 2019; Volume 237, p. 06020. [Google Scholar]
- Yabuki, M.; Kawano, Y.; Tottori, Y.; Tsukamoto, M.; Takeuchi, E.; Tsuda, T. A Raman lidar with a deep ultraviolet laser for continuous water vapor profiling in the atmospheric boundary layer. In Proceedings of the EPJ Web of Conferences, EDP Sciences, Hefei, China, 24–28 June 2019; Volume 237, p. 03001. [Google Scholar]
- Hicks-Jalali, S.; Sica, R.J.; Martucci, G.; Maillard Barras, E.; Voirin, J.; Haefele, A. A Raman lidar tropospheric water vapour climatology and height-resolved trend analysis over Payerne, Switzerland. Atmos. Chem. Phys. 2020, 20, 9619–9640. [Google Scholar] [CrossRef]
- Dang, R.; Yang, Y.; Hu, X.M.; Wang, Z.; Zhang, S. A review of techniques for diagnosing the atmospheric boundary layer height (ABLH) using aerosol lidar data. Remote Sens. 2019, 11, 1590. [Google Scholar] [CrossRef]
- Summa, D.; Vivone, G.; Franco, N.; D’Amico, G.; De Rosa, B.; Di Girolamo, P. Atmospheric Boundary Layer Height: Inter-Comparison of Different Estimation Approaches Using the Raman Lidar as Benchmark. Remote Sens. 2023, 15, 1381. [Google Scholar] [CrossRef]
- Pal, S.; Behrendt, A.; Wulfmeyer, V. Elastic-backscatter-lidar-based characterization of the convective boundary layer and investigation of related statistics. Ann. Geophys. 2010, 28, 825–847. [Google Scholar] [CrossRef]
- Wulfmeyer, V.; Pal, S.; Turner, D.D.; Wagner, E. Can water vapour Raman lidar resolve profiles of turbulent variables in the convective boundary layer? Bound.-Layer Meteorol. 2010, 136, 253–284. [Google Scholar] [CrossRef]
- Wang, W.; Mao, F.; Gong, W.; Pan, Z.; Du, L. Evaluating the governing factors of variability in nocturnal boundary layer height based on elastic lidar in Wuhan. Int. J. Environ. Res. Public Health 2016, 13, 1071. [Google Scholar] [CrossRef] [PubMed]
- Kim, M.H.; Yeo, H.; Park, S.; Park, D.H.; Omar, A.; Nishizawa, T.; Shimizu, A.; Kim, S.W. Assessing CALIOP-derived planetary boundary layer height using ground-based lidar. Remote Sens. 2021, 13, 1496. [Google Scholar] [CrossRef]
- De Arruda Moreira, G.; Guerrero-Rascado, J.L.; Benavent-Oltra, J.A.; Ortiz-Amezcua, P.; Román, R.; E Bedoya-Velásquez, A.; Bravo-Aranda, J.A.; Olmo Reyes, F.J.; Landulfo, E.; Alados-Arboledas, L. Analyzing the turbulent planetary boundary layer by remote sensing systems: The Doppler wind lidar, aerosol elastic lidar and microwave radiometer. Atmos. Chem. Phys. 2019, 19, 1263–1280. [Google Scholar] [CrossRef]
- Lange, D.; Tiana-Alsina, J.; Saeed, U.; Tomas, S.; Rocadenbosch, F. Atmospheric boundary layer height monitoring using a Kalman filter and backscatter lidar returns. IEEE Trans. Geosci. Remote Sens. 2013, 52, 4717–4728. [Google Scholar] [CrossRef]
- De Arruda Moreira, G.; de Oliveira, A.P.; Sánchez, M.P.; Codato, G.; da Silva Lopes, F.J.; Landulfo, E.; Marques Filho, E.P. Performance assessment of aerosol-lidar remote sensing skills to retrieve the time evolution of the urban boundary layer height in the Metropolitan Region of São Paulo City, Brazil. Atmos. Res. 2022, 277, 106290. [Google Scholar]
- Liu, B.; Ma, Y.; Gong, W.; Zhang, M.; Yang, J. Improved two-wavelength Lidar algorithm for retrieving atmospheric boundary layer height. J. Quant. Spectrosc. Radiat. Transf. 2019, 224, 55–61. [Google Scholar] [CrossRef]
- Toledo, D.; Córdoba-Jabonero, C.; Gil-Ojeda, M. Cluster analysis: A new approach applied to lidar measurements for atmospheric boundary layer height estimation. J. Atmos. Ocean. Technol. 2014, 31, 422–436. [Google Scholar] [CrossRef]
- Prasad, P.; Basha, G.; Ratnam, M.V. Is the atmospheric boundary layer altitude or the strong thermal inversions that control the vertical extent of aerosols? Sci. Total Environ. 2022, 802, 149758. [Google Scholar] [CrossRef]
- He, Y.; Yi, F.; Yin, Z.; Liu, F.; Yi, Y.; Zhou, J. Mega Asian dust event over China on 27–31 March 2021 observed with space-borne instruments and ground-based polarization lidar. Atmos. Environ. 2022, 285, 119238. [Google Scholar] [CrossRef]
- Kokkalis, P.; Soupiona, O.; Papanikolaou, C.A.; Foskinis, R.; Mylonaki, M.; Solomos, S.; Vratolis, S.; Vasilatou, V.; Kralli, E.; Anagnou, D.; et al. Radiative effect and mixing processes of a long-lasting dust event over Athens, Greece, during the COVID-19 period. Atmosphere 2021, 12, 318. [Google Scholar] [CrossRef]
- Nishizawa, T.; Higurashi, A.; Sugimoto, N.; Matsui, I.; Shimizu, A.; Okamoto, H. Development of aerosol and cloud retrieval algorithms using ATLID and MSI data of EarthCARE. Aip Conf. Proc. 2013, 1531, 472–475. [Google Scholar]
- Liu, Z.; Vaughan, M.; Winker, D.; Kittaka, C.; Getzewich, B.; Kuehn, R.; Omar, A.; Powell, K.; Trepte, C.; Hostetler, C. The CALIPSO lidar cloud and aerosol discrimination: Version 2 algorithm and initial assessment of performance. J. Atmos. Ocean. Technol. 2009, 26, 1198–1213. [Google Scholar] [CrossRef]
- Hart, W.D.; Spinhirne, J.D.; Palm, S.P.; Hlavka, D.L. Height distribution between cloud and aerosol layers from the GLAS spaceborne lidar in the Indian Ocean region. Geophys. Res. Lett. 2005, 32, L22S06. [Google Scholar] [CrossRef]
- Zhao, C.; Wang, Y.; Wang, Q.; Li, Z.; Wang, Z.; Liu, D. A new cloud and aerosol layer detection method based on micropulse lidar measurements. J. Geophys. Res. Atmos. 2014, 119, 6788–6802. [Google Scholar] [CrossRef]
- Hu, Y. Depolarization ratio–effective lidar ratio relation: Theoretical basis for space lidar cloud phase discrimination. Geophys. Res. Lett. 2007, 34, L11812. [Google Scholar] [CrossRef]
- Hogan, R.J.; Illingworth, A.; O’connor, E.; Baptista, J.P. Characteristics of mixed-phase clouds. II: A climatology from ground-based lidar. Q. J. R. Meteorol. Soc. J. Atmos. Sci. Appl. Meteorol. Phys. Oceanogr. 2003, 129, 2117–2134. [Google Scholar] [CrossRef]
- Yoshida, R.; Okamoto, H.; Hagihara, Y.; Ishimoto, H. Global analysis of cloud phase and ice crystal orientation from Cloud-Aerosol Lidar and Infrared Pathfinder Satellite Observation (CALIPSO) data using attenuated backscattering and depolarization ratio. J. Geophys. Res. Atmos. 2010, 115, D00H32. [Google Scholar] [CrossRef]
- Shikwambana, L.; Sivakumar, V. Observation of clouds using the CSIR transportable LIDAR: A case study over Durban, South Africa. Adv. Meteorol. 2016, 2016, 4184512. [Google Scholar] [CrossRef]
- Comstock, J.M.; Ackerman, T.P.; Mace, G.G. Ground-based lidar and radar remote sensing of tropical cirrus clouds at Nauru Island: Cloud statistics and radiative impacts. J. Geophys. Res. Atmos. 2002, 107, 1–14. [Google Scholar] [CrossRef]
- He, Y.; Yi, F.; Liu, F.; Yin, Z.; Zhou, J. Ice nucleation of cirrus clouds related to the transported dust layer observed by ground-based lidars over Wuhan, China. Adv. Atmos. Sci. 2022, 39, 2017–2086. [Google Scholar] [CrossRef]
- Kustova, N.; Konoshonkin, A.; Shishko, V.; Timofeev, D.; Tkachev, I.; Wang, Z.; Borovoi, A. Depolarization Ratio for Randomly Oriented Ice Crystals of Cirrus Clouds. Atmosphere 2022, 13, 1551. [Google Scholar] [CrossRef]
- Schmidt, J.; Ansmann, A.; Bühl, J.; Wandinger, U. Strong aerosol–cloud interaction in altocumulus during updraft periods: Lidar observations over central Europe. Atmos. Chem. Phys. 2015, 15, 10687–10700. [Google Scholar] [CrossRef]
- Kulkarni, P.; Sreekanth, V. Spaceborne lidar retrieved composite and speciated aerosol extinction profiles and optical depths over India: A decade of observations. Atmos. Pollut. Res. 2020, 11, 946–962. [Google Scholar] [CrossRef]
- Badarinath, K.; Kharol, S.K.; Sharma, A.R. Long-range transport of aerosols from agriculture crop residue burning in Indo-Gangetic Plains—A study using LIDAR, ground measurements and satellite data. J. Atmos. Sol.-Terr. Phys. 2009, 71, 112–120. [Google Scholar] [CrossRef]
- Hegde, P.; Pant, P.; Bhavani Kumar, Y. An integrated analysis of lidar observations in association with optical properties of aerosols from a high altitude location in central Himalayas. Atmos. Sci. Lett. 2009, 10, 48–57. [Google Scholar] [CrossRef]
- Bangia, T.; Omar, A.; Sagar, R.; Kumar, A.; Bhattacharjee, S.; Reddy, A.; Agarwal, P.K.; Kumar, P. Study of atmospheric aerosols over the central Himalayan region using a newly developed Mie light detection and ranging system: Preliminary results. J. Appl. Remote Sens. 2011, 5, 053521. [Google Scholar] [CrossRef]
- Ananthavel, A.; Mehta, S.K.; Reddy, T.R.; Ali, S.; Rao, D.N. Vertical distributions and columnar properties of the aerosols during different seasons over Kattankulathur (12.82 °N, 80.04 °E): A semi-urban tropical coastal station. Atmos. Environ. 2021, 256, 118457. [Google Scholar] [CrossRef]
- Ansmann, A.; Althausen, D.; Wandinger, U.; Franke, K.; Müller, D.; Wagner, F.; Heintzenberg, J. Vertical profiling of the Indian aerosol plume with six-wavelength lidar during INDOEX: A first case study. Geophys. Res. Lett. 2000, 27, 963–966. [Google Scholar] [CrossRef]
- Tiwari, Y.; Devara, P.; Raj, P.; Maheskumar, R.; Pandithurai, G.; Dani, K. Tropical urban aerosol distributions during pre-sunrise and post-sunset as observed with lidar and solar radiometer at Pune, India. J. Aerosol Sci. 2003, 34, 449–458. [Google Scholar] [CrossRef]
- Devara, P.; Raj, P.; Pandithurai, G.; Dani, K.; Maheskumar, R. Relationship between lidar-based observations of aerosol content and monsoon precipitation over a tropical station, Pune, India. Meteorol. Appl. 2003, 10, 253–262. [Google Scholar] [CrossRef]
- Komppula, M.; Mielonen, T.; Arola, A.; Korhonen, K.; Lihavainen, H.; Hyvärinen, A.P.; Baars, H.; Engelmann, R.; Althausen, D.; Ansmann, A.; et al. One year of Raman-lidar measurements in Gual Pahari EUCAARI site close to New Delhi in India–Seasonal characteristics of the aerosol vertical structure. Atmos. Chem. Phys. 2012, 12, 4513–4524. [Google Scholar] [CrossRef]
- Saha, S.; Sharma, S.; Kumar, K.N.; Kumar, P.; Joshi, V.; Georgoussis, G.; Lal, S. A case study on the vertical distribution and characteristics of aerosols using ground-based raman lidar, satellite and model over Western India. Int. J. Remote Sens. 2021, 42, 6417–6432. [Google Scholar] [CrossRef]
- Vishnu, R.; Kumar, Y.B.; Nair, A.K.M. An Investigation of the Elevated Aerosol Layer Using a Polarization Lidar Over a Tropical Rural Site in India. Bound.-Layer Meteorol. 2021, 178, 323–340. [Google Scholar] [CrossRef]
- Pandit, A.K.; Gadhavi, H.; Ratnam, M.V.; Jayaraman, A.; Raghunath, K.; Rao, S.V.B. Characteristics of cirrus clouds and tropical tropopause layer: Seasonal variation and long-term trends. J. Atmos.-Sol.-Terr. Phys. 2014, 121, 248–256. [Google Scholar] [CrossRef]
- Manoj Kumar, N.; Venkatramanan, K. Lidar Observed Optical Properties of Tropical Cirrus Clouds Over Gadanki Region. Front. Earth Sci. 2020, 8, 140. [Google Scholar] [CrossRef]
- Voudouri, K.A.; Giannakaki, E.; Komppula, M.; Balis, D. Variability in cirrus cloud properties using a Polly XT Raman lidar over high and tropical latitudes. Atmos. Chem. Phys. 2020, 20, 4427–4444. [Google Scholar] [CrossRef]
- Jaswant; Radhakrishnan, S.R.; Singh, S.K.; Sharma, C.; Kumar Shukla, D. Initial assessment of lidar signal and the first result of a Raman lidar installed at a high altitude station in India. Remote Sens. Appl. Soc. Environ. 2020, 18, 100309. [Google Scholar] [CrossRef]
- Xiang, Y.; Zhang, T.; Liu, J.; Wan, X.; Loewen, M.; Chen, X.; Kang, S.; Fu, Y.; Lv, L.; Liu, W.; et al. Vertical profile of aerosols in the Himalayas revealed by lidar: New insights into their seasonal/diurnal patterns, sources, and transport. Environ. Pollut. 2021, 285, 117686. [Google Scholar] [CrossRef]
- Lau, W.K.; Kim, M.K.; Kim, K.M.; Lee, W.S. Enhanced surface warming and accelerated snow melt in the Himalayas and Tibetan Plateau induced by absorbing aerosols. Environ. Res. Lett. 2010, 5, 025204. [Google Scholar] [CrossRef]
- Seinfeld, J. Black carbon and brown clouds. Nat. Geosci. 2008, 1, 15–16. [Google Scholar] [CrossRef]
- Maharjan, L.; Tripathee, L.; Kang, S.; Ambade, B.; Chen, P.; Zheng, H.; Li, Q.; Shrestha, K.L.; Sharma, C.M. Characteristics of Atmospheric Particle-bound Polycyclic Aromatic Compounds over the Himalayan Middle Hills: Implications for Sources and Health Risk Assessment. Asian J. Atmos. Environ. 2021, 15, 1–19. [Google Scholar] [CrossRef]
- Bisht, L.; Gupta, V.; Singh, A.; Gautam, A.S.; Gautam, S. Heavy metal concentration and its distribution analysis in urban road dust: A case study from most populated city of Indian state of Uttarakhand. Spat.-Spatio-Temporal Epidemiol. 2022, 40, 100470. [Google Scholar] [CrossRef] [PubMed]
- Gautam, A.S.; Singh, K.; Sharma, M.; Gautam, S.; Joshi, A.; Kumar, S. Classification of Different Sky Conditions Based on Solar Radiation Extinction and the Variability of Aerosol Optical Depth, Angstrom Exponent, Fine Particles Over Tehri Garhwal, Uttarakhand, India. MAPAN 2023, 38, 21–36. [Google Scholar] [CrossRef]
- Srivastava, A.K.; Pant, P.; Hegde, P.; Singh, S.; Dumka, U.; Naja, M.; Singh, N.; Bhavanikumar, Y. The influence of a south Asian dust storm on aerosol radiative forcing at a high-altitude station in central Himalayas. Int. J. Remote Sens. 2011, 32, 7827–7845. [Google Scholar] [CrossRef]
- Reddy, K.; Kumar, D.P.; Ahammed, Y.N.; Naja, M. Aerosol vertical profiles strongly affect their radiative forcing uncertainties: Study by using ground-based lidar and other measurements. Remote Sens. Lett. 2013, 4, 1018–1027. [Google Scholar] [CrossRef]
- Solanki, R.; Singh, N.; Pant, P.; Dumka, U.; Kumar, Y.B.; Srivastava, A.; Bist, S.; Chandola, H. Detection of long range transport of aerosols with elevated layers over high altitude station in the central Himalayas: A case study on 22 and 24 March 2012 at ARIES, Nainital. Indian J. Radio Space Phys. 2013, 42, 332–339. [Google Scholar]
- Solanki, R.; Singh, N. LiDAR observations of the vertical distribution of aerosols in free troposphere: Comparison with CALIPSO level-2 data over the central Himalayas. Atmos. Environ. 2014, 99, 227–238. [Google Scholar] [CrossRef]
- Shukla, K.; Phanikumar, D.; Newsom, R.K.; Kumar, K.N.; Ratnam, M.V.; Naja, M.; Singh, N. Estimation of the mixing layer height over a high altitude site in Central Himalayan region by using Doppler lidar. J. Atmos.-Sol.-Terr. Phys. 2014, 109, 48–53. [Google Scholar] [CrossRef]
- Phanikumar, D.; Shukla, K.; Naja, M.; Singh, N.; Sahai, S.; Sagar, R.; Satheesh, S.; Moorthy, K.; Kotamarthi, V.; Newsom, R.K. Doppler Lidar observations over a high altitude mountainous site Manora Peak in the central Himalayan region. Curr. Sci. 2016, 111, 101–108. [Google Scholar] [CrossRef]
- Shukla, K.; Phanikumar, D.; Kumar, K.N.; Kumar, A.; Naja, M.; Sharma, S.; Attada, R. Micro-Pulse Lidar observations of elevated aerosol layers over the Himalayan region. J. Atmos. -Sol.-Terr. Phys. 2021, 213, 105526. [Google Scholar] [CrossRef]
- Singh, S.K.; Radhakrishnan, S.; Jaswant; Mishra, S.K.; Shukla, D.K.; Ranjan, A.; Sharma, C. Study of variation of aerosol optical properties over a high altitude station in Indian Western Himalayan region, palampur using raman lidar system. J. Atmos. Chem. 2022, 79, 117–139. [Google Scholar] [CrossRef]
- Chatterjee, A.; Adak, A.; Singh, A.K.; Srivastava, M.K.; Ghosh, S.K.; Tiwari, S.; Devara, P.C.; Raha, S. Aerosol chemistry over a high altitude station at northeastern Himalayas, India. PLoS ONE 2010, 5, e11122. [Google Scholar] [CrossRef]
- Chatterjee, A.; Ghosh, S.K.; Adak, A.; Singh, A.K.; Devara, P.C.; Raha, S. Effect of dust and anthropogenic aerosols on columnar aerosol optical properties over Darjeeling (2200 m asl), eastern Himalayas, India. PLoS ONE 2012, 7, e40286. [Google Scholar] [CrossRef]
- Roy, A.; Chatterjee, A.; Tiwari, S.; Sarkar, C.; Das, S.K.; Ghosh, S.K.; Raha, S. Precipitation chemistry over urban, rural and high altitude Himalayan stations in eastern India. Atmos. Res. 2016, 181, 44–53. [Google Scholar] [CrossRef]
- Roy, A.; Chatterjee, A.; Sarkar, C.; Das, S.K.; Ghosh, S.K.; Raha, S. A study on aerosol-cloud condensation nuclei (CCN) activation over eastern Himalaya in India. Atmos. Res. 2017, 189, 69–81. [Google Scholar] [CrossRef]
- Sarkar, C.; Roy, A.; Chatterjee, A.; Ghosh, S.K.; Raha, S. Factors controlling the long-term (2009–2015) trend of PM2.5 and black carbon aerosols at eastern Himalaya, India. Sci. Total Environ. 2019, 656, 280–296. [Google Scholar] [CrossRef]
- Rai, A.; Mukherjee, S.; Chatterjee, A.; Choudhary, N.; Kotnala, G.; Mandal, T.; Sharma, S. Seasonal variation of OC, EC, and WSOC of PM10 and their Cwt analysis over the eastern Himalaya. Aerosol Sci. Eng. 2020, 4, 26–40. [Google Scholar] [CrossRef]
- Bhattacharyya, T.; Chatterjee, A.; Das, S.K.; Singh, S.; Ghosh, S.K. Study of fair weather surface atmospheric electric field at high altitude station in Eastern Himalayas. Atmos. Res. 2020, 239, 104909. [Google Scholar] [CrossRef]
- Ghosh, A.; Patel, A.; Rastogi, N.; Sharma, S.K.; Mandal, T.K.; Chatterjee, A. Size-segregated aerosols over a high altitude Himalayan and a tropical urban metropolis in Eastern India: Chemical characterization, light absorption, role of meteorology and long range transport. Atmos. Environ. 2021, 254, 118398. [Google Scholar] [CrossRef]
- Shrestha, D.; Singh, P.; Nakamura, K. Spatiotemporal variation of rainfall over the central Himalayan region revealed by TRMM Precipitation Radar. J. Geophys. Res. Atmos. 2012, 117, D22106. [Google Scholar] [CrossRef]
- Avdikos, G. Powerful Raman Lidar systems for atmospheric analysis and high-energy physics experiments. In Proceedings of the EPJ Web of Conferences, EDP Sciences, Padova, Italy, 19–21 May 2014; Volume 89, p. 04003. [Google Scholar]
- Raymetrics, S.A. LIDAR MANUAL LR312-D400; Raymetrics S.A.: Attika, Greece, 2014. [Google Scholar]
- METEK GMBH. Micro Rain Radar Physical Basis version 1.3, MRR Instruction Manual; METEK GMBH, METEK Meteorologische Messtechnik GmbH: Elmshorn, Germany, 2009. [Google Scholar]
- Whiteman, D.N. Application of statistical methods to the determination of slope in lidar data. Appl. Opt. 1999, 38, 3360–3369. [Google Scholar] [CrossRef]
- Liu, L.; Zhang, T.; Wu, Y.; Wang, Q.; Gao, T. Accuracy analysis of the aerosol backscatter coefficient profiles derived from the CYY-2B ceilometer. Adv. Meteorol. 2018, 2018, 9738197. [Google Scholar] [CrossRef]
- Xie, C.; Zhou, J. Method and analysis of calculating signal-to-noise ratio in lidar sensing. In Proceedings of the Optical Technologies for Atmospheric, Ocean, and Environmental Studies, Beijing, China, 18–2 October 2004; Volume 5832, pp. 738–746. [Google Scholar]
- Zenteno-Hernández, J.A.; Comerón, A.; Rodríguez-Gómez, A.; Muñoz-Porcar, C.; D’Amico, G.; Sicard, M. A comparative analysis of aerosol optical coefficients and their associated errors retrieved from pure-rotational and vibro-rotational raman lidar signals. Sensors 2021, 21, 1277. [Google Scholar] [CrossRef] [PubMed]
- Ansmann, A.; Riebesell, M.; Wandinger, U.; Weitkamp, C.; Voss, E.; Lahmann, W.; Michaelis, W. Combined Raman elastic-backscatter lidar for vertical profiling of moisture, aerosol extinction, backscatter, and lidar ratio. Appl. Phys. B 1992, 55, 18–28. [Google Scholar] [CrossRef]
- Bravo-Aranda, J.A.; Navas-Guzmán, F.; Guerrero-Rascado, J.L.; Pérez-Ramírez, D.; Granados-Muñoz, M.J.; Alados-Arboledas, L. Analysis of lidar depolarization calibration procedure and application to the atmospheric aerosol characterization. Int. J. Remote Sens. 2013, 34, 3543–3560. [Google Scholar] [CrossRef]
- Wang, Z.; Sassen, K. Cloud type and macrophysical property retrieval using multiple remote sensors. J. Appl. Meteorol. 2001, 40, 1665–1682. [Google Scholar] [CrossRef]
- Wang, Z. Cloud Property Retrieval Using Combined Ground-Based Remote Sensors; The University of Utah: Salt Lake City, UT, USA, 2000. [Google Scholar]
- Stull, R.B. An Introduction to Boundary Layer Meteorology; Springer Science & Business Media: Berlin/Heidelberg, Germany, 1988; Volume 13. [Google Scholar]
- Tjernström, M.; Balsley, B.B.; Svensson, G.; Nappo, C.J. The effects of critical layers on residual layer turbulence. J. Atmos. Sci. 2009, 66, 468–480. [Google Scholar] [CrossRef]
- Whiteman, D.N.; Melfi, S.; Ferrare, R. Raman lidar system for the measurement of water vapor and aerosols in the Earth’s atmosphere. Appl. Opt. 1992, 31, 3068–3082. [Google Scholar] [CrossRef]
- Mattis, I.; Ansmann, A.; Müller, D.; Wandinger, U.; Althausen, D. Dual-wavelength Raman lidar observations of the extinction-to-backscatter ratio of Saharan dust. Geophys. Res. Lett. 2002, 29, 20–21. [Google Scholar] [CrossRef]
- Navas-Guzmán, F.; Fernandez-Galvez, J.; Granados-Munoz, M.J.; Guerrero-Rascado, J.L.; Bravo-Aranda, J.A.; Alados-Arboledas, L. Tropospheric water vapour and relative humidity profiles from lidar and microwave radiometry. Atmos. Meas. Tech. 2014, 7, 1201–1211. [Google Scholar] [CrossRef]
- Mattis, I.; Ansmann, A.; Althausen, D.; Jaenisch, V.; Wandinger, U.; Müller, D.; Arshinov, Y.F.; Bobrovnikov, S.M.; Serikov, I.B. Relative-humidity profiling in the troposphere with a Raman lidar. Appl. Opt. 2002, 41, 6451–6462. [Google Scholar] [CrossRef] [PubMed]
- Liu, T.; He, Q.; Chen, Y.; Liu, J.; Liu, Q.; Fu, X.; Zhang, J.; Huang, G.; Li, R. Distinct impacts of humidity profiles on physical properties and secondary formation of aerosols in Shanghai. Atmos. Environ. 2021, 267, 118756. [Google Scholar] [CrossRef]
- Xue, Y.; Li, J.; Li, Z.; Gunshor, M.M.; Schmit, T.J. Evaluation of the diurnal variation of upper tropospheric humidity in reanalysis using homogenized observed radiances from international geostationary weather satellites. Remote Sens. 2020, 12, 1628. [Google Scholar] [CrossRef]
- Jiang, J.H.; Su, H.; Zhai, C.; Wu, L.; Minschwaner, K.; Molod, A.M.; Tompkins, A.M. An assessment of upper troposphere and lower stratosphere water vapor in MERRA, MERRA2, and ECMWF reanalyses using Aura MLS observations. J. Geophys. Res. Atmos. 2015, 120, 11–468. [Google Scholar] [CrossRef]
- Dessler, A.E.; Davis, S. Trends in tropospheric humidity from reanalysis systems. J. Geophys. Res. Atmos. 2010, 115, D19127. [Google Scholar] [CrossRef]
- Curley, M.J.; Peterson, B.H.; Wang, J.; Sarkisov, S.S.; Sarkisov, S.S., II; Edlin, G.R.; Snow, R.A.; Rushing, J.F. Statistical analysis of cloud-cover mitigation of optical turbulence in the boundary layer. Opt. Express 2006, 14, 8929–8946. [Google Scholar] [CrossRef] [PubMed]
- Peshev, Z.Y.; Deleva, A.D.; Dreischuh, T.N.; Stoyanov, D.V. Lidar measurements of atmospheric dynamics over high mountainous terrain. Aip Conf. Proc. 2010, 1203, 1108–1113. [Google Scholar]
- Tunick, A. Statistical analysis of optical turbulence intensity over a 2.33 km propagation path. Opt. Express 2007, 15, 3619–3628. [Google Scholar] [CrossRef]
- Noh, Y.M.; Müller, D.; Mattis, I.; Lee, H.; Kim, Y.J. Vertically resolved light-absorption characteristics and the influence of relative humidity on particle properties: Multiwavelength Raman lidar observations of East Asian aerosol types over Korea. J. Geophys. Res. Atmos. 2011, 116, D06206. [Google Scholar] [CrossRef]
- Wang, W.; Gong, W.; Mao, F.; Pan, Z.; Liu, B. Measurement and study of lidar ratio by using a raman lidar in central China. Int. J. Environ. Res. Public Health 2016, 13, 508. [Google Scholar] [CrossRef] [PubMed]
- Liu, T.; He, Q.; Chen, Y.; Liu, J.; Liu, Q.; Gao, W.; Huang, G.; Shi, W.; Yu, X. Long-term variation in aerosol lidar ratio in Shanghai based on Raman lidar measurements. Atmos. Chem. Phys. 2021, 21, 5377–5391. [Google Scholar] [CrossRef]
- Weitkamp, C. Lidar: Range-Resolved Optical Remote Sensing of the Atmosphere; Springer Science & Business: Berlin/Heidelberg, Germany, 2006; Volume 12. [Google Scholar]
- Stryhal, J.; Huth, R.; Sládek, I. Climatology of low-level temperature inversions at the Prague-Libuš aerological station. Theor. Appl. Climatol. 2017, 127, 409–420. [Google Scholar] [CrossRef]
- Bailey, A.; Chase, T.N.; Cassano, J.J.; Noone, D. Changing temperature inversion characteristics in the US Southwest and relationships to large-scale atmospheric circulation. J. Appl. Meteorol. Climatol. 2011, 50, 1307–1323. [Google Scholar] [CrossRef]
- Angevine, W.M.; Baltink, H.K.; Bosveld, F.C. Observations of the morning transition of the convective boundary layer. Bound.-Layer Meteorol. 2001, 101, 209–227. [Google Scholar] [CrossRef]
- Ansmann, A.; Fruntke, J.; Engelmann, R. Updraft and downdraft characterization with Doppler lidar: Cloud-free versus cumuli-topped mixed layer. Atmos. Chem. Phys. 2010, 10, 7845–7858. [Google Scholar] [CrossRef]
- Conceição, R.; Silva, H.G.; Bennett, A.; Salgado, R.; Bortoli, D.; Costa, M.J.; Pereira, M.C. High-frequency response of the atmospheric electric potential gradient under strong and dry boundary-layer convection. Bound.-Layer Meteorol. 2018, 166, 69–81. [Google Scholar] [CrossRef]
- Kolev, N.; Grigorov, I.; Kolev, I.; Devara, P.; Raj, P.E.; Dani, K. Lidar and Sun photometer observations of atmospheric boundary-layer characteristics over an urban area in a mountain valley. Bound.-Layer Meteorol. 2007, 124, 99–115. [Google Scholar] [CrossRef]
- Zhang, Y.; Chen, S.; Chen, S.; Chen, H.; Guo, P. A novel lidar gradient cluster analysis method of nocturnal boundary layer detection during air pollution episodes. Atmos. Meas. Tech. 2020, 13, 6675–6689. [Google Scholar] [CrossRef]
- Zhu, Z.; Li, H.; Zhou, X.; Fan, S.; Xu, W.; Gong, W. A Cluster Analysis Approach for Nocturnal Atmospheric Boundary Layer Height Estimation from Multi-Wavelength Lidar. Atmosphere 2023, 14, 847. [Google Scholar] [CrossRef]
- Zhong, T.; Wang, N.; Shen, X.; Xiao, D.; Xiang, Z.; Liu, D. Determination of planetary boundary layer height with lidar signals using maximum limited height initialization and range restriction (MLHI-RR). Remote Sens. 2020, 12, 2272. [Google Scholar] [CrossRef]
- Kolev, I.; Savov, P.; Kaprielov, B.; Parvanov, O.; Simeonov, V. Lidar observation of the nocturnal boundary layer formation over Sofia, Bulgaria. Atmos. Environ. 2000, 34, 3223–3235. [Google Scholar] [CrossRef]
- Royer, P.; Chazette, P.; Lardier, M.; Sauvage, L. Aerosol content survey by mini N2-Raman lidar: Application to local and long-range transport aerosols. Atmos. Environ. 2011, 45, 7487–7495. [Google Scholar] [CrossRef]
- Franke, K.; Ansmann, A.; Müller, D.; Althausen, D.; Venkataraman, C.; Reddy, M.S.; Wagner, F.; Scheele, R. Optical properties of the Indo-Asian haze layer over the tropical Indian Ocean. J. Geophys. Res. Atmos. 2003, 108, 4509. [Google Scholar] [CrossRef]
- Noh, Y.M.; Kim, Y.J.; Choi, B.C.; Murayama, T. Aerosol lidar ratio characteristics measured by a multi-wavelength Raman lidar system at Anmyeon Island, Korea. Atmos. Res. 2007, 86, 76–87. [Google Scholar] [CrossRef]
- Su, W.; Schuster, G.L.; Loeb, N.G.; Rogers, R.R.; Ferrare, R.A.; Hostetler, C.A.; Hair, J.W.; Obland, M.D. Aerosol and cloud interaction observed from high spectral resolution lidar data. J. Geophys. Res. Atmos. 2008, 113, D24202. [Google Scholar] [CrossRef]
- Wandinger, U. Multiple-scattering influence on extinction-and backscatter-coefficient measurements with Raman and high-spectral-resolution lidars. Appl. Opt. 1998, 37, 417–427. [Google Scholar] [CrossRef]
- Sahu, L.; Kondo, Y.; Moteki, N.; Takegawa, N.; Zhao, Y.; Cubison, M.; Jimenez, J.; Vay, S.; Diskin, G.; Wisthaler, A.; et al. Emission characteristics of black carbon in anthropogenic and biomass burning plumes over California during ARCTAS-CARB 2008. J. Geophys. Res. Atmos. 2012, 117, D16302. [Google Scholar] [CrossRef]
- Klimont, Z.; Kupiainen, K.; Heyes, C.; Purohit, P.; Cofala, J.; Rafaj, P.; Borken-Kleefeld, J.; Schöpp, W. Global anthropogenic emissions of particulate matter including black carbon. Atmos. Chem. Phys. 2017, 17, 8681–8723. [Google Scholar] [CrossRef]
- Shin, S.; Noh, Y.M.; Lee, K.; Lee, H.; Müller, D.; Kim, Y.; Kim, K.; Shin, D. Retrieval of the single scattering albedo of Asian dust mixed with pollutants using lidar observations. Adv. Atmos. Sci. 2014, 31, 1417–1426. [Google Scholar] [CrossRef]
- Aswini, M.; Kumar, A.; Das, S.K. Quantification of long-range transported aeolian dust towards the Indian peninsular region using satellite and ground-based data-A case study during a dust storm over the Arabian Sea. Atmos. Res. 2020, 239, 104910. [Google Scholar] [CrossRef]
- O’Dowd, C.D.; Smith, M.H.; Consterdine, I.E.; Lowe, J.A. Marine aerosol, sea-salt, and the marine sulphur cycle: A short review. Atmos. Environ. 1997, 31, 73–80. [Google Scholar] [CrossRef]
- Han, J.; Moon, K.; Ryu, S.; Kim, Y.; Perry, K.D. Source estimation of anthropogenic aerosols collected by a DRUM sampler during spring of 2002 at Gosan, Korea. Atmos. Environ. 2005, 39, 3113–3125. [Google Scholar] [CrossRef]
- Mishchenko, M.I.; Travis, L.D.; Kahn, R.A.; West, R.A. Modeling phase functions for dustlike tropospheric aerosols using a shape mixture of randomly oriented polydisperse spheroids. J. Geophys. Res. Atmos. 1997, 102, 16831–16847. [Google Scholar] [CrossRef]
- Chandra, S.; Satheesh, S.; Srinivasan, J. Can the state of mixing of black carbon aerosols explain the mystery of ‘excess’ atmospheric absorption? Geophys. Res. Lett. 2004, 31, L19109. [Google Scholar] [CrossRef]
- Chatterjee, A.; Sarkar, C.; Adak, A.; Mukherjee, U.; Ghosh, S.; Raha, S. Ambient air quality during Diwali Festival over Kolkata-a mega-city in India. Aerosol Air Qual. Res. 2013, 13, 1133–1144. [Google Scholar] [CrossRef]
- Tesche, M.; Ansmann, A.; Müller, D.; Althausen, D.; Engelmann, R.; Hu, M.; Zhang, Y. Particle backscatter, extinction, and lidar ratio profiling with Raman lidar in south and north China. Appl. Opt. 2007, 46, 6302–6308. [Google Scholar] [CrossRef]
- Gimmestad, G.G. Reexamination of depolarization in lidar measurements. Appl. Opt. 2008, 47, 3795–3802. [Google Scholar] [CrossRef]
- Sassen, K. Polarization in lidar: A review. Polariz. Sci. Remote Sens. 2003, 5158, 151–160. [Google Scholar]
- Müller, D.; Ansmann, A.; Mattis, I.; Tesche, M.; Wandinger, U.; Althausen, D.; Pisani, G. Aerosol-type-dependent lidar ratios observed with Raman lidar. J. Geophys. Res. Atmos. 2007, 112. [Google Scholar] [CrossRef]
- Khare, P.; Baruah, B.P. Elemental characterization and source identification of PM2.5 using multivariate analysis at the suburban site of North-East India. Atmos. Res. 2010, 98, 148–162. [Google Scholar] [CrossRef]
- Rosen, H.; Hansen, A.; Gundel, L.; Novakov, T. Identification of the optically absorbing component in urban aerosols. Appl. Opt. 1978, 17, 3859–3861. [Google Scholar] [CrossRef]
- Weinzierl, B.; Sauer, D.; Esselborn, M.; Petzold, A.; Veira, A.; Rose, M.; Mund, S.; Wirth, M.; Ansmann, A.; Tesche, M.; et al. Microphysical and optical properties of dust and tropical biomass burning aerosol layers in the Cape Verde region—An overview of the airborne in situ and lidar measurements during SAMUM-2. Tellus B Chem. Phys. Meteorol. 2011, 63, 589–618. [Google Scholar] [CrossRef]
- Yorks, J.E.; Hlavka, D.L.; Hart, W.D.; McGill, M.J. Statistics of cloud optical properties from airborne lidar measurements. J. Atmos. Ocean. Technol. 2011, 28, 869–883. [Google Scholar] [CrossRef]
- Sassen, K. Polarization in lidar. In Lidar; Springer: Berlin/Heidelberg, Germany, 2005; pp. 19–42. [Google Scholar]
- Liou, K.N.; Schotland, R.M. Multiple backscattering and depolarization from water clouds for a pulsed lidar system. J. Atmos. Sci 1971, 28, 772–784. [Google Scholar] [CrossRef]
- Warren, S.G. Optical properties of ice and snow. Philos. Trans. R. Soc. A 2019, 377, 20180161. [Google Scholar] [CrossRef]
- Wu, Y.; Chaw, S.; Gross, B.; Moshary, F.; Ahmed, S. Cloud optical depth measurement comparison between a Raman-Mie and Mie elastic lidar. In Proceedings of the Lidar Technologies, Techniques, and Measurements for Atmospheric Remote Sensing IV, International Society for Optics and Photonics, Wales, UK, 15–18 September 2008; Volume 7111, p. 71110Q. [Google Scholar]
- Tan, I.; Oreopoulos, L.; Cho, N. The role of thermodynamic phase shifts in cloud optical depth variations with temperature. Geophys. Res. Lett. 2019, 46, 4502–4511. [Google Scholar] [CrossRef]
- McGill, M.; Li, L.; Hart, W.; Heymsfield, G.; Hlavka, D.; Racette, P.; Tian, L.; Vaughan, M.; Winker, D. Combined lidar-radar remote sensing: Initial results from CRYSTAL-FACE. J. Geophys. Res. Atmos. 2004, 109, D07203. [Google Scholar] [CrossRef]
- Ramachandran, S.; Ghosh, S.; Verma, A.; Panigrahi, P.K. Multiscale periodicities in aerosol optical depth over India. Environ. Res. Lett. 2013, 8, 014034. [Google Scholar] [CrossRef]
- Kaufman, Y.J.; Tanré, D.; Boucher, O. A satellite view of aerosols in the climate system. Nature 2002, 419, 215–223. [Google Scholar] [CrossRef] [PubMed]
- Prospero, J.M.; Ginoux, P.; Torres, O.; Nicholson, S.E.; Gill, T.E. Environmental characterization of global sources of atmospheric soil dust identified with the Nimbus 7 Total Ozone Mapping Spectrometer (TOMS) absorbing aerosol product. Rev. Geophys. 2002, 40, 2-1–2-31. [Google Scholar] [CrossRef]
- Lau, K.M.; Kim, K.M. Observational relationships between aerosol and Asian monsoon rainfall, and circulation. Geophys. Res. Lett. 2006, 33, L21810. [Google Scholar] [CrossRef]
- Ehard, B.; Achtert, P.; Gumbel, J. Long-term lidar observations of wintertime gravity wave activity over northern Sweden. Ann. Geophys. 2014, 32, 1395–1405. [Google Scholar] [CrossRef]
- Viezee, W.; Collis, R.; Lawrenee, J., Jr. An investigation of mountain waves with lidar observations. J. Appl. Meteorol. Climatol. 1973, 12, 140–148. [Google Scholar] [CrossRef]
- Scott, R.; Cammas, J. Wave breaking and mixing at the subtropical tropopause. J. Atmos. Sci. 2002, 59, 2347–2361. [Google Scholar] [CrossRef]
- Jain, A.; Das, S.S.; Mandal, T.K.; Mitra, A. Observations of extremely low tropopause temperature over the Indian tropical region during monsoon and postmonsoon months: Possible implications. J. Geophys. Res. Atmos. 2006, 111, D07106. [Google Scholar] [CrossRef]
- Tyagi, A.; Madan, O. Mountain waves over Himalayas. Mausam 1989, 40, 181–184. [Google Scholar] [CrossRef]
- Sathiyamoorthy, V.; Sikhakolli, R.; Gohil, B.; Pal, P. Intra-seasonal variability in Oceansat-2 scatterometer sea-surface winds over the Indian summer monsoon region. Meteorol. Atmos. Phys. 2012, 117, 145–152. [Google Scholar] [CrossRef]
- Devara, P.; Raj, P.E.; Sharma, S.; Pandithurai, G. Lidar-observed long-term variations in urban aerosol characteristics and their connection with meteorological parameters. Int. J. Climatol. 1994, 14, 581–591. [Google Scholar] [CrossRef]
- Nakazawa, T. Intraseasonal variations of OLR in the tropics during the FGGE year. J. Meteorol. Soc. Jpn. Ser. II 1986, 64, 17–34. [Google Scholar] [CrossRef]
- Chatterjee, P.; Goswami, B.N. Structure, genesis and scale selection of the tropical quasi-biweekly mode. Q. J. R. Meteorol. Soc. 2004, 130, 1171–1194. [Google Scholar] [CrossRef]
- Larchevêque, G.; Balin, I.; Nessler, R.; Quaglia, P.; Simeonov, V.; van den Bergh, H.; Calpini, B. Development of a multiwavelength aerosol and water-vapor lidar at the Jungfraujoch Alpine Station (3580 m above sea level) in Switzerland. Appl. Opt. 2002, 41, 2781–2790. [Google Scholar] [CrossRef] [PubMed]
- Hulst, H.C.; van de Hulst, H.C. Light Scattering by Small Particles; Courier Corporation: Chelmsford, MA, USA, 1981. [Google Scholar]
- Murayama, T.; Sugimoto, N.; Uno, I.; Kinoshita, K.; Aoki, K.; Hagiwara, N.; Liu, Z.; Matsui, I.; Sakai, T.; Shibata, T.; et al. Ground-based network observation of Asian dust events of April 1998 in east Asia. J. Geophys. Res. Atmos. 2001, 106, 18345–18359. [Google Scholar] [CrossRef]
- Murayama, T.; Okamoto, H.; Kaneyasu, N.; Kamataki, H.; Miura, K. Application of lidar depolarization measurement in the atmospheric boundary layer: Effects of dust and sea-salt particles. J. Geophys. Res. Atmos. 1999, 104, 31781–31792. [Google Scholar] [CrossRef]
- Takano, Y.; Liou, K.N. Solar radiative transfer in cirrus clouds. Part I: Single-scattering and optical properties of hexagonal ice crystals. J. Atmos. Sci. 1989, 46, 3–19. [Google Scholar] [CrossRef]
- Macke, A. Scattering of light by polyhedral ice crystals. Appl. Opt. 1993, 32, 2780–2788. [Google Scholar] [CrossRef]
- Muinonen, K.; Lumme, K.; Peltoniemi, J.; Irvine, W.M. Light scattering by randomly oriented crystals. Appl. Opt. 1989, 28, 3051–3060. [Google Scholar] [CrossRef]
- Macke, A.; Mueller, J.; Raschke, E. Single scattering properties of atmospheric ice crystals. J. Atmos. Sci. 1996, 53, 2813–2825. [Google Scholar] [CrossRef]
- Yang, P.; Liou, K.; Wyser, K.; Mitchell, D. Parameterization of the scattering and absorption properties of individual ice crystals. J. Geophys. Res. Atmos. 2000, 105, 4699–4718. [Google Scholar] [CrossRef]
- Zhang, Z. Computation of the Scattering Properties of Nonspherical Ice Crystals. Ph.D. Thesis, Texas A&M University, College Station, TX, USA, 2004. [Google Scholar]
- Kustova, N.; Konoshonkin, A.; Shishko, V.; Timofeev, D.; Borovoi, A.; Wang, Z. Coherent Backscattering by Large Ice Crystals of Irregular Shapes in Cirrus Clouds. Atmosphere 2022, 13, 1279. [Google Scholar] [CrossRef]
- Hill, S.C.; Hill, A.C.; Barber, P.W. Light scattering by size/shape distributions of soil particles and spheroids. Appl. Opt. 1984, 23, 1025–1031. [Google Scholar] [CrossRef] [PubMed]
- Dubovik, O.; King, M.D. A flexible inversion algorithm for retrieval of aerosol optical properties from Sun and sky radiance measurements. J. Geophys. Res. Atmos. 2000, 105, 20673–20696. [Google Scholar] [CrossRef]
- Wang, X.; Boselli, A.; D’Avino, L.; Velotta, R.; Spinelli, N.; Bruscaglioni, P.; Ismaelli, A.; Zaccanti, G. An algorithm to determine cirrus properties from analysis of multiple-scattering influence on lidar signals. Appl. Phys. B 2005, 80, 609–615. [Google Scholar] [CrossRef]
- Davis, A. Multiple-scattering lidar from both sides of the clouds: Addressing internal structure. J. Geophys. Res. Atmos. 2008, 113, D14S10. [Google Scholar] [CrossRef]
- Wandinger, U.; Tesche, M.; Seifert, P.; Ansmann, A.; Müller, D.; Althausen, D. Size matters: Influence of multiple scattering on CALIPSO light-extinction profiling in desert dust. Geophys. Res. Lett. 2010, 37, L10801. [Google Scholar] [CrossRef]
- Guerrero-Rascado, J.L.; Costa, M.J.; Bortoli, D.; Silva, A.M.; Lyamani, H.; Alados-Arboledas, L. Infrared lidar overlap function: An experimental determination. Opt. Express 2010, 18, 20350–20369. [Google Scholar] [CrossRef]
- Bates, D. Rayleigh scattering by air. Planet. Space Sci. 1984, 32, 785–790. [Google Scholar] [CrossRef]
- Bodhaine, B.A.; Wood, N.B.; Dutton, E.G.; Slusser, J.R. On Rayleigh optical depth calculations. J. Atmos. Ocean. Technol. 1999, 16, 1854–1861. [Google Scholar] [CrossRef]
- Young, A.T. On the Rayleigh-scattering optical depth of the atmosphere. J. Appl. Meteorol. 1981, 20, 328–330. [Google Scholar] [CrossRef]
- Aparna, J.; Satheesh, S.; Pillai, V.M. Determination of aerosol extinction coefficient profiles from LIDAR data using the optical depth solution method. In Proceedings of the Remote Sensing of the Atmosphere and Clouds, Goa, India, 13–17 November 2006; Volume 6408, pp. 203–210. [Google Scholar]
- Sun, G.; Qin, L.; Hou, Z.; Jing, X.; He, F.; Tan, F.; Zhang, S. Small-scale Scheimpflug lidar for aerosol extinction coefficient and vertical atmospheric transmittance detection. Opt. Express 2018, 26, 7423–7436. [Google Scholar] [CrossRef] [PubMed]















| Correlation | Below ABL | Above ABL | ||
|---|---|---|---|---|
| Group 1 | Group 2 | Group 1 | Group 2 | |
| LDR-WVMR | 0.47 | 0.95 | 0.94 | −0.69 |
| LR-LDR | −0.52 | −0.93 | 0.48 | 0.45 |
| LR-WVMR | −0.94 | −0.78 | 0.45 | −0.53 |
| Source | Mode | Layer Base (m) | Layer Top (m) | Layer Thickness | (msr) | m | LR (sr) | LDR | AOD |
|---|---|---|---|---|---|---|---|---|---|
| BoB-Bangladesh-WB | Coarse | 1550.3 | 1872.6 | 322.3 | |||||
| BoB-Bangladesh-WB | Fine | 2304.8 | 2564.7 | 260.0 | |||||
| NE India | Coarse | 2371.7 | 2512.7 | 141 | |||||
| NE India | Fine | 2560.7 | 2831.3 | 270.5 | |||||
| Bangladesh- NE India | Coarse | 2844.2 | 3226.7 | 382.5 | >200 | ||||
| Bangladesh- NE India | Fine | 2140.7 | 2403.9 | 263.2 | >200 | ||||
| China-NE India | Coarse | 1926.3 | 2082.0 | 155.6 | >200 | >1 | |||
| China-NE India | Fine | 3348.0 | 3548.3 | 200.3 | >200 | 0.42 | |||
| Bangladesh | Fine | 1361.8 | 1526.8 | 165 | 0.9 | 3.6 | >200 | 0.31 | 0.09 |
| Bihar-Nepal | Coarse | 2180.2 | 2540.4 | 360.3 | 3.1 | 11.8 | 57 | 0.28 | 0.72 |
| Bihar-Nepal | Fine | 2816.3 | 3328.7 | 512.3 | 2.1 | 24.8 | >200 | 0.20 | 1.57 |
| Bihar-WB | Fine | 1327.3 | 1840.3 | 513 | 3.3 | 3.6 | 53.5 | 0.19 | 0.37 |
| Parameters | Water Phase Cloud | Mixed Phase Cloud | Ice Phase Cloud |
|---|---|---|---|
| CBH (m) | |||
| CTH (m) | |||
| LDR | |||
| () | |||
| (m) | |||
| COD | |||
| LR (sr) |
| Parameters | Altitude | Significance Level | Significant Strongest Period |
|---|---|---|---|
| RCS of 355 nm channel | 2280 m | 12 days | |
| 2400 m | 24 h | ||
| 3600 m | 27 h | ||
| 3720 m | 64 days | ||
| 4080–4920 m | 64 days | ||
| RCS of 387 nm channel | 1200–1680 m | 24 days | |
| 1800–2040 m | 27 days | ||
| 2160–3000 m | 24 h | ||
| 3120–3960 m | 64 days | ||
| 4080–4920 m | 32 days | ||
| RCS of Raman 408 nm channel | 600 m | 22 h | |
| RCS of 532 nm channel | 3720–4920 m | 64 days | |
| WVMR | 600 m | 7 weeks | |
| 720 m | 16 days | ||
| Zonal wind velocity | 2000 m | 10 days | |
| 4000 m | 10 days | ||
| Meridonial wind velocity | 2000 m | 27 h |
Disclaimer/Publisher’s Note: The statements, opinions and data contained in all publications are solely those of the individual author(s) and contributor(s) and not of MDPI and/or the editor(s). MDPI and/or the editor(s) disclaim responsibility for any injury to people or property resulting from any ideas, methods, instructions or products referred to in the content. |
© 2023 by the authors. Licensee MDPI, Basel, Switzerland. This article is an open access article distributed under the terms and conditions of the Creative Commons Attribution (CC BY) license (https://creativecommons.org/licenses/by/4.0/).
Share and Cite
Bhattacharyya, T.; Chatterjee, A.; Das, S.K.; Singh, S.; Ghosh, S.K. Profiling of Aerosols and Clouds over High Altitude Urban Atmosphere in Eastern Himalaya: A Ground-Based Observation Using Raman LIDAR. Atmosphere 2023, 14, 1102. https://doi.org/10.3390/atmos14071102
Bhattacharyya T, Chatterjee A, Das SK, Singh S, Ghosh SK. Profiling of Aerosols and Clouds over High Altitude Urban Atmosphere in Eastern Himalaya: A Ground-Based Observation Using Raman LIDAR. Atmosphere. 2023; 14(7):1102. https://doi.org/10.3390/atmos14071102
Chicago/Turabian StyleBhattacharyya, Trishna, Abhijit Chatterjee, Sanat K. Das, Soumendra Singh, and Sanjay K. Ghosh. 2023. "Profiling of Aerosols and Clouds over High Altitude Urban Atmosphere in Eastern Himalaya: A Ground-Based Observation Using Raman LIDAR" Atmosphere 14, no. 7: 1102. https://doi.org/10.3390/atmos14071102
APA StyleBhattacharyya, T., Chatterjee, A., Das, S. K., Singh, S., & Ghosh, S. K. (2023). Profiling of Aerosols and Clouds over High Altitude Urban Atmosphere in Eastern Himalaya: A Ground-Based Observation Using Raman LIDAR. Atmosphere, 14(7), 1102. https://doi.org/10.3390/atmos14071102
