The Impact of Autoconversion Parameterizations of Cloud Droplet to Raindrop on Numerical Simulations of a Meiyu Front Heavy Rainfall Event
Abstract
1. Introduction
2. Materials and Methods
2.1. Data Sources
2.2. Simulation Configuration
2.2.1. Autoconversion Parameterization
2.2.2. Simulation Design
2.3. Convective/Stratiform Regime Partitioning Method
3. Results and Discussion
3.1. Model Evaluation
3.1.1. Precipitation Characteristics
3.1.2. Evolution of Radar Composite Reflectivity
3.2. Autoconversion Analysis
3.3. Evaluation of Stratiform–Convective Clouds
3.4. Microphysical Analysis
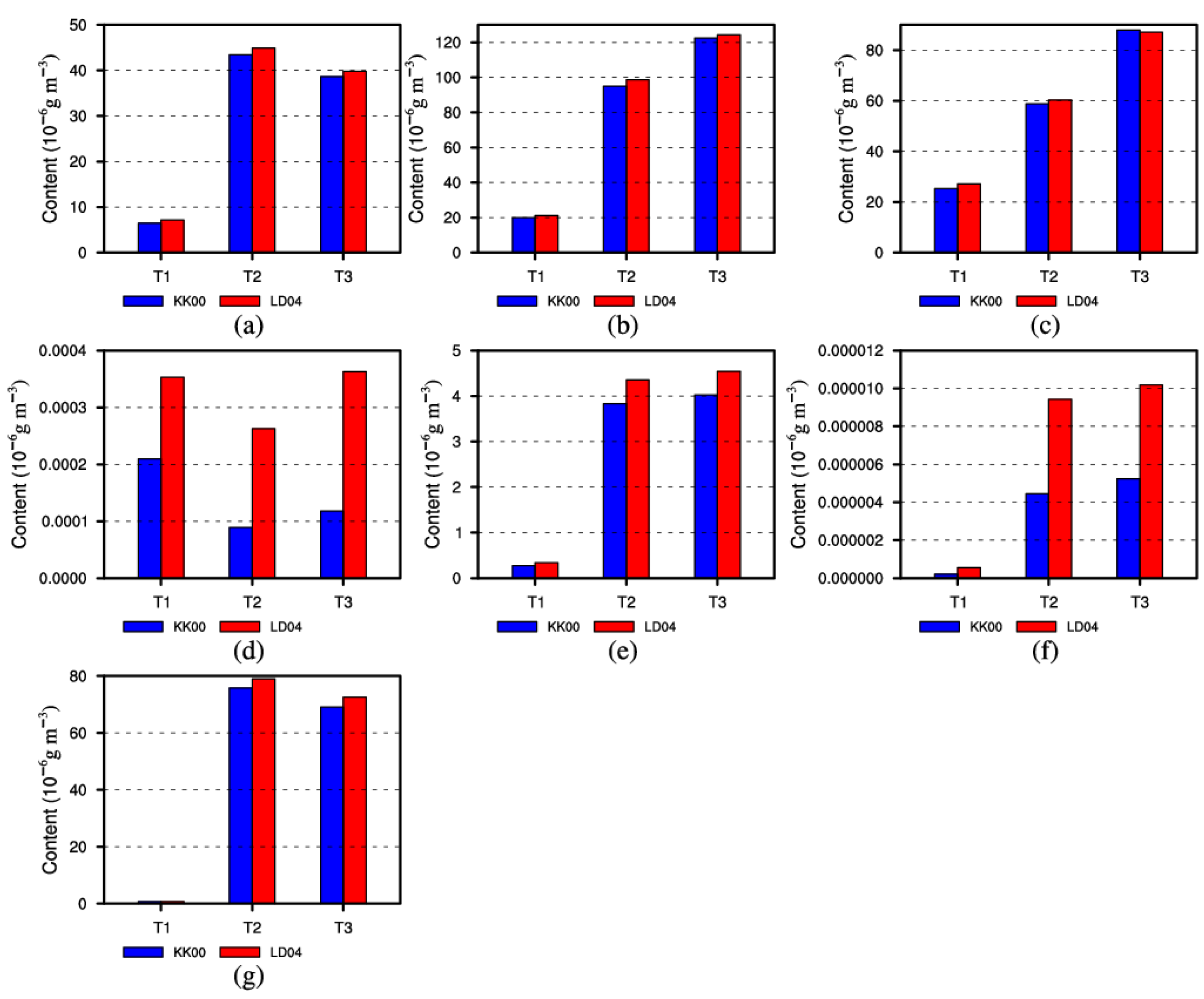
3.4.1. Comparison of the Raindrop Budget from T1 to T3 Stages
3.4.2. Comparison of Stratiform–Convective Microphysical Characteristics at the T2 Stage
3.4.3. Comparison of Precipitation at the T2 Stage
4. Summary and Conclusions
Author Contributions
Funding
Institutional Review Board Statement
Informed Consent Statement
Data Availability Statement
Acknowledgments
Conflicts of Interest
References
- Kumar, S.; Hazra, A.; Goswami, B.N. Role of interaction between dynamics, thermodynamics and cloud microphysics on summer monsoon precipitating clouds over the Myanmar Coast and the Western Ghats. Clim. Dyn. 2014, 43, 911–924. [Google Scholar] [CrossRef]
- Thomas, B.; Viswanadhapalli, Y.; Srinivas, C.V.; Dasari, H.P.; Attada, R.; Langodan, S. Cloud resolving simulation of extremely heavy rainfall event over Kerala in August 2018—Sensitivity to microphysics and aerosol feedback. Atmos. Res. 2021, 258, 105613. [Google Scholar] [CrossRef]
- Mohan, P.R.; Srinivas, C.V.; Yesubabu, V.; Baskaran, R.; Venkatraman, B. Simulation of a heavy rainfall event over Chennai in Southeast India using WRF: Sensitivity to microphysics parameterization. Atmos. Res. 2018, 210, 83–99. [Google Scholar] [CrossRef]
- Bao, J.W.; Michelson, S.A.; Grell, E.D. Microphysical process comparison of three microphysics parameterization schemes in the WRF Model for an idealized squall-line case study. Mon. Weather Rev. 2019, 147, 3093–3120. [Google Scholar] [CrossRef]
- Zhou, Z.M.; Deng, Y.; Hu, Y.; Kang, Z.P. Simulating heavy meiyu rainfall: A note on the choice of the model microphysics scheme. Adv. Meteorol. 2020, 2020, 8827071. [Google Scholar] [CrossRef]
- Guo, H.; Liu, Y.; Penner, J.E. Does the threshold representation associated with the autoconversion process matter? Atmos. Chem. Phys. 2008, 8, 1225–1230. [Google Scholar] [CrossRef]
- Liu, Y.G.; Daum, P.H.; McGraw, R. An analytical expression for predicting the critical radius in the autoconversion parameterization. Geophys. Res. Lett. 2004, 31, 6. [Google Scholar] [CrossRef]
- Rotstayn, L.D. On the “tuning” of autoconversion parameterizations in climate models. J. Geophys. Res. Atmos. 2000, 105, 15495–15507. [Google Scholar] [CrossRef]
- Michibata, T.; Takemura, T. Evaluation of autoconversion schemes in a single model framework with satellite observations. J. Geophys. Res. Atmos. 2015, 120, 9570–9590. [Google Scholar] [CrossRef]
- Jing, X.W.; Suzuki, K.; Guo, H.; Goto, D.; Ogura, T.; Koshiro, T.; Mülmenstädt, J. A multimodel study on warm precipitation biases in global models compared to satellite observations. J. Geophys. Res. Atmos. 2017, 122, 11–806. [Google Scholar] [CrossRef]
- Kessler, E. On the distribution and continuity of water substance in atmospheric circulations. In On the Distribution and Continuity of Water Substance in Atmospheric Circulations; Kessler, E., Ed.; Meteorological Monographs; American Meteorological Society: Boston, MA, USA, 1969; pp. 1–84. [Google Scholar]
- Hu, Z.J.; Cai, L. A parameterized numerical simulation of warm rain and salt-seeding in cumulus clouds. Sci. Atmos. Sin. 1979, 3, 334–342. (In Chinese) [Google Scholar]
- Manton, M.J.; Cotton, W.R. Formulation of Approximate Equations for Modeling Moist Deep Convection on the Mesoscale; Atmospheric Science Paper 266; Colorado State University: Fort Collins, CO, USA, 1977; 62p. [Google Scholar]
- Sundqvist, H. A parameterization scheme for non-convective condensation including prediction of cloud water content. Q. J. R. Meteorol. Soc. 1978, 104, 677–690. [Google Scholar] [CrossRef]
- Ziegler, C.L. Retrieval of thermal and microphysical variables in observed convective storms. Part 1: Model development and preliminary testing. J. Atmos. Sci. 1985, 42, 1487–1509. [Google Scholar] [CrossRef]
- Khairoutdinov, M.; Kogan, Y. A new cloud physics parameterization in a large-eddy simulation model of marine stratocumulus. Mon. Weather Rev. 2000, 128, 229–243. [Google Scholar] [CrossRef]
- Morrison, H.C.; Curry, J.A.; Khvorostyanov, V.I. A new double-moment microphysics parameterization for application in cloud and climate models. Part I: Description. J. Atmos. Sci. 2005, 62, 1665–1677. [Google Scholar] [CrossRef]
- Berry, E.X. Modification of the Warm Rain Process. In Proceedings of the First National Conference on Weather Modification, Albany, NY, USA, 28 April–1 May 1968. [Google Scholar]
- Orville, H.D.; Kopp, F.J. Numerical simulation of the life history of a hailstorm. J. Atmos. Sci. 1977, 34, 1596–1618. [Google Scholar] [CrossRef]
- Liu, Y.G.; Daum, P.H. Parameterization of the autoconversion process. Part I: Analytical formulation of the Kessler-type parameterizations. J. Atmos. Sci. 2004, 61, 1539–1548. [Google Scholar] [CrossRef]
- Liu, Y.G.; Daum, P.H.; McGraw, R.L.; Wood, R. Parameterization of the autoconversion process. Part II: Generalization of Sundqvist-type parameterizations. J. Atmos. Sci. 2006, 63, 1103–1109. [Google Scholar] [CrossRef]
- Li, G.C.; Xu, H.Y. The studies of autoconversion rate form cloud water to hydrometeor water in the rain forming process of warm cumulus cloud. Acta Meteorol. Sin. 1988, 3, 376–380. (In Chinese) [Google Scholar]
- Xie, X.N.; Liu, X.D. Effects of spectral dispersion on clouds and precipitation in mesoscale convective systems. J. Geophys. Res. Atmos. 2011, 116, D06202. [Google Scholar] [CrossRef]
- Xie, X.N.; Liu, X.D. Analytical studies of the cloud droplet spectral dispersion influence on the first indirect aerosol effect. Adv. Atmos. Sci. 2013, 30, 1313–1319. [Google Scholar] [CrossRef]
- Jing, X.W.; Suzuki, K. The impact of process-based warm rain constraints on the aerosol indirect effect. Geophys. Res. Lett. 2018, 45, 10–729. [Google Scholar] [CrossRef]
- Jing, X.W.; Suzuki, K.; Michibata, T. The key role of warm rain parameterization in determining the aerosol indirect effect in a global climate model. J. Clim. 2019, 32, 4409–4430. [Google Scholar] [CrossRef]
- Xie, X.N.; Liu, X.D. Aerosol-cloud-precipitation interactions in WRF model: Sensitivity to autoconversion parameterization. J. Meteorol. Res. 2015, 29, 72–81. [Google Scholar] [CrossRef]
- Zhu, S.C.; Yuan, Y.; Wu, Y.; Zhang, Y. Cloud vertical structure of stratiform clouds with embedded convections occurring in the Mei-Yu Front. Atmosphere 2022, 13, 1088. [Google Scholar] [CrossRef]
- Luo, Y.L.; Gong, Y.; Zhang, D.L.D. Initiation and organizational modes of an extreme-rain-producing mesoscale convective system along a mei-yu front in East China. Mon. Weather Rev. 2014, 142, 203–221. [Google Scholar] [CrossRef]
- Ding, Y.H. The major advances and development process of the theory of heavy rainfalls in China. Torr. Rain Dis 2019, 38, 395–406. (In Chinese) [Google Scholar]
- Luo, Y.L.; Wang, Y.J.; Wang, H.Y.; Zheng, Y.J.; Morrison, H. Modeling convective-stratiform precipitation processes on a Mei-Yu front with the Weather Research and Forecasting model: Comparison with observations and sensitivity to cloud microphysics parameterizations. J. Geophys. Res. Atmos. 2010, 115, D18117. [Google Scholar] [CrossRef]
- Liu, L.; Lin, C.Z.; Bai, Y.Q.; He, D.X. Assessing the effects of microphysical scheme on convective and stratiform characteristics in a mei-yu rainfall combining WRF simulation and field campaign observations. Adv. Meteorol. 2020, 2020, 8231320. [Google Scholar] [CrossRef]
- Yang, J.; Zhao, K.; Zheng, Y.Y.; Chen, H.N.; Chen, G. Microphysical Structure of Thunderstorms and Their Lightning Activity During the mei-yu and Post-mei-yu Periods Over Nanjing, Yangtze River Delta. Geophys. Res. Lett. 2022, 49, e2022GL100952. [Google Scholar] [CrossRef]
- Morrison, H.; Thompson, G.; Tatarskii, V. Impact of cloud microphysics on the development of trailing stratiform precipitation in a simulated squall line: Comparison of one-and two-moment schemes. Mon. Weather Rev. 2009, 137, 991–1007. [Google Scholar] [CrossRef]
- Griffin, B.M.; Larson, V.E. Analytic upscaling of a local microphysics scheme. Part II: Simulations. Q. J. Roy. Meteor. Soc. 2013, 139, 58–69. [Google Scholar] [CrossRef]
- Yin, J.F.; Liang, X.D.; Wang, H.; Xue, H.L. Representation of the autoconversion from cloud to rain using a weighted ensemble approach: A case study using WRF v4. 1.3. Geosci. Model Dev. 2022, 15, 771–786. [Google Scholar] [CrossRef]
- McGraw, R.; Liu, Y.G. Kinetic potential and barrier crossing: A model for warm cloud drizzle formation. Phys. Rev. Lett. 2003, 90, 018501. [Google Scholar] [CrossRef]
- Beydoun, H.; Caldwell, P.M.; Stein, E.V.; Wharton, S. Tracing the rain formation pathways in numerical simulations of deep convection. J. Adv. Model. Earth Syst. 2023, 15, e2022MS003413. [Google Scholar] [CrossRef]














| Simulation Design | ||
|---|---|---|
| Model (Version) | WRF (V4.1.1) | |
| Domains | D01 | D02 |
| Grid points (x, y) | 601 × 481 | 526 × 391 |
| Grid spacing (km) | 9 | 3 |
| Vertical layers | 51 | |
| Sigma values | 1.0000, 0.9980, 0.9940, 0.9870, 0.9750, 0.9590, 0.9390, 0.9160, 0.8920, 0.8650, 0.8350, 0.8020, 0.7660, 0.7270, 0.6850, 0.6400, 0.5920, 0.5420, 0.4970, 0.4565, 0.4205, 0.3877, 0.3582, 0.3317, 0.3078, 0.2863, 0.2670, 0.2496, 0.2329, 0.2188, 0.2047, 0.1906, 0.1765, 0.1624, 0.1483, 0.1342, 0.1201, 0.1060, 0.0919, 0.0778, 0.0657, 0.0568, 0.0486, 0.0409, 0.0337, 0.0271, 0.0209, 0.0151, 0.0097, 0.0047, 0 | |
| Cumulus convection | Kain–Fritsch | Turned off |
| Planetary boundary layer | ACM2 | |
| Land surface | Unified Noah land surface | |
| Surface layer physics | Revised MM5 Monin–Obukhov | |
| Longwave radiation | RRTM | |
| Shortwave radiation | Dudhia | |
| Microphysics | Morrison-2 | |
Disclaimer/Publisher’s Note: The statements, opinions and data contained in all publications are solely those of the individual author(s) and contributor(s) and not of MDPI and/or the editor(s). MDPI and/or the editor(s) disclaim responsibility for any injury to people or property resulting from any ideas, methods, instructions or products referred to in the content. |
© 2023 by the authors. Licensee MDPI, Basel, Switzerland. This article is an open access article distributed under the terms and conditions of the Creative Commons Attribution (CC BY) license (https://creativecommons.org/licenses/by/4.0/).
Share and Cite
Kang, Z.; Zhou, Z.; Sun, Y.; Hu, Y.; He, D. The Impact of Autoconversion Parameterizations of Cloud Droplet to Raindrop on Numerical Simulations of a Meiyu Front Heavy Rainfall Event. Atmosphere 2023, 14, 1001. https://doi.org/10.3390/atmos14061001
Kang Z, Zhou Z, Sun Y, Hu Y, He D. The Impact of Autoconversion Parameterizations of Cloud Droplet to Raindrop on Numerical Simulations of a Meiyu Front Heavy Rainfall Event. Atmosphere. 2023; 14(6):1001. https://doi.org/10.3390/atmos14061001
Chicago/Turabian StyleKang, Zhaoping, Zhimin Zhou, Yuting Sun, Yang Hu, and Dengxin He. 2023. "The Impact of Autoconversion Parameterizations of Cloud Droplet to Raindrop on Numerical Simulations of a Meiyu Front Heavy Rainfall Event" Atmosphere 14, no. 6: 1001. https://doi.org/10.3390/atmos14061001
APA StyleKang, Z., Zhou, Z., Sun, Y., Hu, Y., & He, D. (2023). The Impact of Autoconversion Parameterizations of Cloud Droplet to Raindrop on Numerical Simulations of a Meiyu Front Heavy Rainfall Event. Atmosphere, 14(6), 1001. https://doi.org/10.3390/atmos14061001

