Review on Source Profiles of Volatile Organic Compounds (VOCs) in Typical Industries in China
Abstract
1. Introduction
2. The Establishment of VOC Source Profile
2.1. Measurements of VOC Source Profile
2.1.1. Sample Collection
2.1.2. Analysis Method
| Analysis Methods | Category | Detectors | Advantages | Disadvantages |
|---|---|---|---|---|
| Offline monitoring | / | GC (e.g., GC, HP-7890A; MSD, HP-5975C; FID, G3431. Agilent Inc., Santa Clara, CA, USA) [53,54] | High sensitivity; wide range; low detection limit | Complex preprocess; expensive equipment |
| / | HPLC (e.g.,HPLC 1100, Agilent Inc.) [39,55] | Ability to analyze OVOCs | High difficulty for low concentrations of aldehydes and ketones. | |
| Online monitoring | Online automatic monitoring | Online GC-MS/FID (e.g., GC, HP-7890A; MSD, HP-5975C; FID, G3431. Agilent Inc.) [39] | Low detection limit (5 × 10−12–7.5 × 10−11); high time resolution; and comprehensive species | Susceptibility to wall effects; high cost of operation and maintenance |
| PTR-MS (e.g., TOFWERK.; Thun, Switzerland) [56,57] | High temporal resolution; high sensitivity; low detection limit (10–11) | Low distinction of isomers; limited number of species | ||
| TOFMS (e.g., Waters GCT Premier Mass Spectrometer, Waters, Milford, MA, USA) [47] | Fast speed of detection; wide range of molecular weight | Low detection resolution; sensitive reaction | ||
| FTIR (e.g., LOPGP-FTIR, VERTEX 70v, Bruker, Mannheim, Germany) [48,49] | Fast speed of detection; high resolution | Expensive and bulky equipment | ||
| On-site portable monitoring | GC-MS (e.g., GC, HP-7890A; MSD, HP-5975C. Agilent Inc.) [38,58] | Small size; high sensitivity; good effect of gas separation | Poor stability | |
| FTIR (e.g., LOPGP-FTIR, VERTEX 70v, Bruker, Mannheim, Germany) [58] | Small size; wide spectral range | High detection limit; poor gas separation; susceptibility to moisture and carbon dioxide |
2.2. Merging of VOC Source Profiles
3. Source Profiles by Sectors
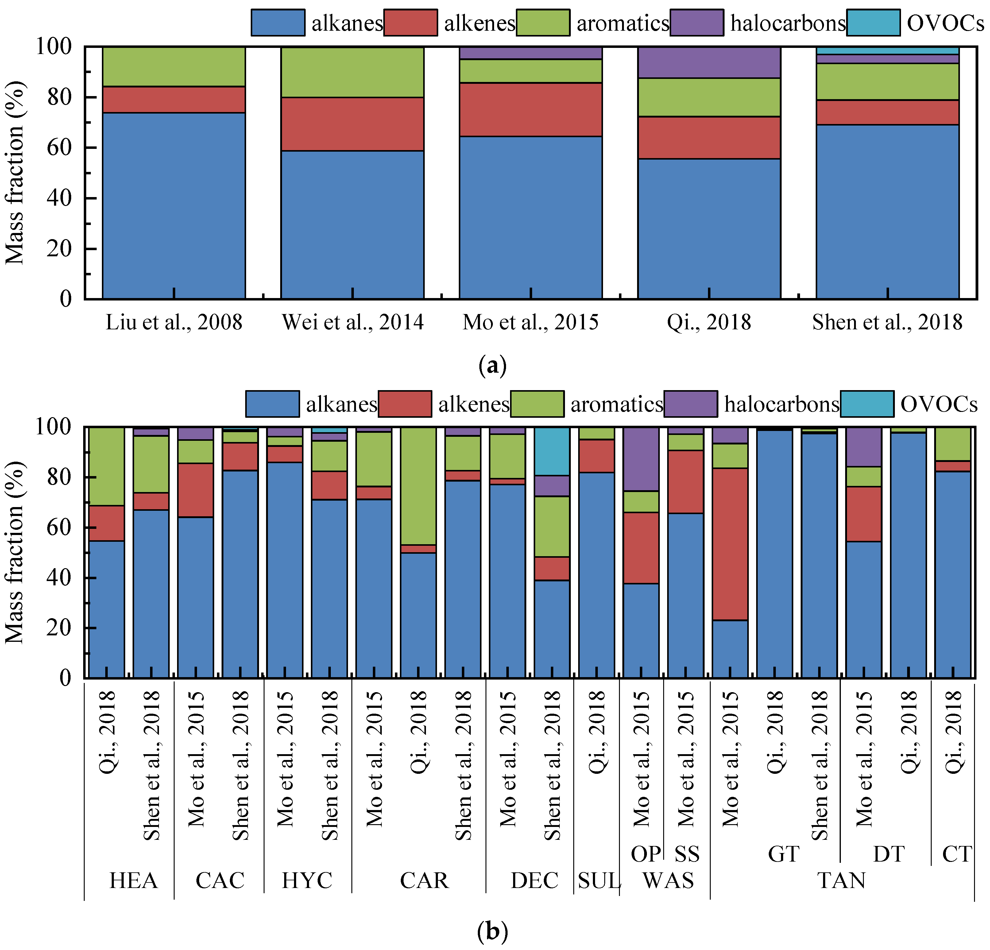
3.1. Petrochemical Industry
3.1.1. Overview of VOCs Profiles
3.1.2. Merging of VOC Profiles Based on Previous Studies
3.2. Industrial Solvent Use Industry
3.2.1. Overview of VOC Profile
3.2.2. Merging of VOC Profiles Based on Previous Studies
3.3. Chemical Industry
3.3.1. Overview of VOC Profiles
3.3.2. Merging of VOC Profiles Based on Previous Studies
4. Conclusions and Outlook
Supplementary Materials
Author Contributions
Funding
Institutional Review Board Statement
Informed Consent Statement
Data Availability Statement
Acknowledgments
Conflicts of Interest
References
- Peter, E.; Steven, B.; James, R.; Ravan, A.; Robert, B.; Joost, d.; William, D.; Robert, F.; James, F.; Jessica, G.; et al. High winter ozone pollution from carbonyl photolysis in an oil and gas basin. Nature 2014, 514, 351–354. [Google Scholar]
- Huang, R.; Zhang, Y.; Carlo, B.; Ho, K.; Cao, J.-J.; Han, Y.; Kaspar, D.; Jay, S.; Stephen, P.; Francesco, C. High secondary aerosol contribution to particulate pollution during haze events in China. Nature 2014, 514, 218–222. [Google Scholar] [CrossRef]
- Bray, C.D.; Strum, M.; Simon, H.; Riddick, L.; Kosusko, M.; Menetrez, M.; Hays, M.D.; Rao, V. An Assessment of Important Speciate Profiles in the Epa Emissions Modeling Platform and Current Data Gaps. Agric. Week 2019, 207, 93–104. [Google Scholar] [CrossRef]
- Ou, J.; Zheng, J.; Li, R.; Huang, X.; Zhong, Z.; Zhong, L.; Lin, H. Speciated OVOC and VOC emission inventories and their implications for reactivity-based ozone control strategy in the Pearl River Delta region, China. Sci. Total Environ. 2015, 530, 393–402. [Google Scholar] [CrossRef]
- Alastair, L.; Jim, H.; David, C.; Jacqueline, H. An increasing role for solvent emissions and implications for future measurements of volatile organic compounds. Philos. Trans. Ser. A Math. Phys. Eng. Sci. 2020, 378, 20190328. [Google Scholar]
- Wang, M.; Li, S.; Zhu, R.; Zhang, R.; Zu, L.; Wang, Y.; Bao, X. On-road tailpipe emission characteristics and ozone formation potentials of VOCs from gasoline, diesel and liquefied petroleum gas fueled vehicles. Atmos. Environ. 2020, 223, 117294. [Google Scholar] [CrossRef]
- Zhong, Z.; Sha, Q.; Zheng, J.; Yuan, Z.; Gao, Z.; Ou, J.; Zheng, Z.; Li, C.; Huang, Z. Sector-based VOCs emission factors and source profiles for the surface coating industry in the Pearl River Delta region of China. Sci. Total Environ. 2017, 583, 19–28. [Google Scholar] [CrossRef]
- Niu, Z.-Z.; Kong, S.-F.; Yan, Q.; Zheng, S.-R.; Zheng, H.; Zeng, X.; Yao, L.-Q.; Wu, J.; Zhang, Y.; Wu, F.-Q.; et al. Profile Characteristics of VOCs from Wood and Economic Crop Burning. Huan Jing Ke Xue Huanjing Kexue 2020, 41, 1107–1115. [Google Scholar] [PubMed]
- He, W.; Shi, A.; Shao, X.; Nie, L.; Wang, T.; Li, G. Insights into the comprehensive characteristics of volatile organic compounds from multiple cooking emissions and aftertreatment control technologies application. Atmos. Environ. 2020, 240, 804. [Google Scholar] [CrossRef]
- Shen, L.; Xiang, P.; Liang, S.; Chen, W.; Wang, M.; Lu, S.; Wang, Z. Sources Profiles of Volatile Organic Compounds (VOCs) Measured in a Typical Industrial Process in Wuhan, Central China. Atmosphere 2018, 9, 297. [Google Scholar] [CrossRef]
- Sun, W.; Shao, M.; Granier, C.; Liu, Y.; Ye, C.S.; Zheng, J.Y. Long-Term Trends of Anthropogenic SO2, NOx, CO, and NMVOCs Emissions in China. Earths Future 2018, 6, 1112–1133. [Google Scholar] [CrossRef]
- Wu, R.; Bo, Y.; Li, J.; Li, L.; Li, Y.; Xie, S. Method to establish the emission inventory of anthropogenic volatile organic compounds in China and its application in the period 2008–2012. Atmos. Environ. 2016, 127, 244–254. [Google Scholar] [CrossRef]
- Simayi, M.; Hao, Y.; Li, J.; Wu, R.; Shi, Y.; Xi, Z.; Zhou, Y.; Xie, S. Establishment of county-level emission inventory for industrial NMVOCs in China and spatial-temporal characteristics for 2010–2016. Atmos. Environ. 2019, 211, 194–203. [Google Scholar] [CrossRef]
- Zhao, Y.; Mao, P.; Zhou, Y.; Yang, Y.; Zhang, J.; Wang, S.; Dong, Y.; Xie, F.; Yu, Y.; Li, W. Improved provincial emission inventory and speciation profiles of anthropogenic non-methane volatile organic compounds: A case study for Jiangsu, China. Atmos. Chem. Phys. 2017, 17, 7733–7756. [Google Scholar] [CrossRef]
- Wei, W.; Cheng, S.; Li, G.; Wang, G.; Wang, H. Characteristics of volatile organic compounds (VOCs) emitted from a petroleum refinery in Beijing, China. Atmos. Environ. 2014, 89, 358–366. [Google Scholar] [CrossRef]
- Zhang, L.; Zhu, X.; Wang, Z.; Zhang, J.; Liu, X.; Zhao, Y. Improved speciation profiles and estimation methodology for VOCs emissions: A case study in two chemical plants in eastern China. Environ. Pollut. 2021, 291, 118192. [Google Scholar] [CrossRef]
- Mo, Z.; Shao, M.; Lu, S.; Qu, H.; Zhou, M.; Sun, J.; Gou, B. Process-specific emission characteristics of volatile organic compounds (VOCs) from petrochemical facilities in the Yangtze River Delta, China. Sci. Total Environ. 2015, 533, 422–431. [Google Scholar] [CrossRef]
- Zhou, Z.; Deng, Y.; Zhou, X.; Wu, K.; Tan, Q.; Yin, D.; Song, D.; Chen, Q.; Zeng, W. Source Profiles of Industrial Emission-Based VOCs in Chengdu. Huan Jing Ke Xue Huanjing Kexue 2020, 41, 3042–3055. [Google Scholar]
- Zheng, J.; Yu, Y.; Mo, Z.; Zhang, Z.; Wang, X.; Yin, S.; Peng, K.; Yang, Y.; Feng, X.; Cai, H. Industrial sector-based volatile organic compound (VOC) source profiles measured in manufacturing facilities in the Pearl River Delta, China. Sci. Total Environ. 2013, 456–457, 127–136. [Google Scholar] [CrossRef]
- Mo, Z.; Shao, M.; Lu, S. Review on volatile organic compounds (VOCs) source profiles measured in China. Acta Sci. Circumstantiae 2014, 34, 2179–2189. [Google Scholar]
- Xu, H.; Tian, M.S.; Wei, W.; Song, C.; Liu, Y.R. Progress in the study of volatile organic compound composition of petrochemical industry in China. Pet. Process. Petrochmicals 2022, 53, 9–16. [Google Scholar]
- Pang, X.; Mu, Y.; Yuan, J.; He, H. Carbonyls emission from ethanol-blended gasoline and biodiesel-ethanol-diesel used in engines. Atmos. Environ. 2008, 42, 1349–1358. [Google Scholar] [CrossRef]
- Liu, Y.; Shao, M.; Fu, L.; Lu, S.; Zeng, L.; Tang, D. Source profiles of volatile organic compounds (VOCs) measured in China: Part I. Atmos. Environ. 2008, 42, 6247–6260. [Google Scholar] [CrossRef]
- Li, M.; Zhang, Q.; Streets, D.G.; He, K.B.; Cheng, Y.F.; Emmons, L.K.; Huo, H.; Kang, S.C.; Lu, Z.; Shao, M.; et al. Mapping Asian anthropogenic emissions of non-methane volatile organic compounds to multiple chemical mechanisms. Atmos. Chem. Phys. 2014, 14, 5617–5638. [Google Scholar] [CrossRef]
- Simon, H.; Beck, L.; Bhave, P.V.; Divita, F.; Hsu, Y.; Luecken, D.; Mobley, J.D.; Pouliot, G.A.; Reff, A.; Sarwar, G.; et al. The development and uses of EPA’s SPECIATE database. Atmos. Pollut. Res. 2010, 1, 196–206. [Google Scholar] [CrossRef]
- Wang, L.; Wang, L.; Zhang, W. Science and Technology Progress on Air Pollution Prevention and Control in Recent Ten Years and Future Prospect in China. Clim. Environ. Res. 2022, 27, 787–794. [Google Scholar]
- Cheng, N.; Jing, D.; Zhang, C.; Chen, Z.; Li, W.; Li, S.; Wang, Q. Process-based VOCs source profiles and contributions to ozone formation and carcinogenic risk in a typical chemical synthesis pharmaceutical industry in China. Sci. Total Environ. 2021, 752, 141899. [Google Scholar] [CrossRef]
- Mo, Z.; Niu, H.; Lu, S.; Shao, M.; Gou, B. Process-based Emission Characteristics of Volatile Organic Compounds (VOCs) from Paint Industry in the Yangtze River Delta, China. Huanjing Kexue 2015, 36, 1944–1951. [Google Scholar]
- Wang, H.; Xiang, Z.; Wang, L.; Jing, S.; Lou, S.; Tao, S.; Liu, J.; Yu, M.; Li, L.; Lin, L.; et al. Emissions of volatile organic compounds (VOCs) from cooking and their speciation: A case study for Shanghai with implications for China. Sci. Total Environ. 2018, 621, 1300–1309. [Google Scholar] [CrossRef]
- Yuan, B.; Shao, M.; Lu, S.; Wang, B. Source profiles of volatile organic compounds associated with solvent use in Beijing, China. Atmos. Environ. 2010, 44, 1919–1926. [Google Scholar] [CrossRef]
- Pandya, G.H.; Gavane, A.G.; Bhanarkar, A.D.; Kondawar, V.K. Concentrations of volatile organic compounds (VOCs) at an oil refinery. Int. J. Environ. Stud. 2006, 63, 337–351. [Google Scholar] [CrossRef]
- Huang, Y.Y.; Xiu, G.; Lu, Y.; Gao, S.; Li, L.; Chen, L.; Huang, Q.; Yang, Y.; Che, X.; Chen, X.; et al. Application of an emission profile-based method to trace the sources of volatile organic compounds in a chemical industrial park. Sci. Total Environ. 2021, 768, 144694. [Google Scholar] [CrossRef]
- Ma, Y.; Fu, S.; Gao, S.; Zhang, S.; Che, X.; Wang, Q.; Jiao, Z. Update on volatile organic compound (VOC) source profiles and ozone formation potential in synthetic resins industry in China. Environ. Pollut. 2021, 291, 118253. [Google Scholar] [CrossRef] [PubMed]
- Fang, L.; Liu, W.-w.; Chen, D.-n.; Li, G.H.; Wang, D.; Shao, X.; Nie, L. Source Profiles of Volatile Organic Compounds (VOCs) from Typical Solvent-based Industries in Beijing. Environ. Sci. 2019, 40, 4395–4403. [Google Scholar]
- He, M.; Wang, N.; Chen, Y.; Wu, Z.; Chen, J.D.; Fan, Y.L.; Ye, D.Q. Emission characteristics of volatile organic compounds (VOCs) from electronic manufacturing factory of Guangdong Province. Acta Sci. Circumstantiae 2016, 36, 1581–1588. [Google Scholar]
- Xie, Y.; Zheng, X.; Liu, C. Source Profiles and Ozone Formation Potental of Volatile Organic Compounds from Printing Industry in Nanjing. Environ. Sci. Technol. 2018, 31, 64–67. [Google Scholar]
- Bao, Y.; Wang, B.; Deng, Y.; Zhou, Z. Source profiles and ozone formation potential of VOCs emitted from typical industries using organic solvents in Chengdu. Acta Sci. Circumstantiae 2020, 40, 76–82. [Google Scholar]
- Wang, Y. Exploration of monitoring technology of volatile organic compounds in fixed source exhaust gas. New Technol. New Prod. China 2020, 4, 32–133. [Google Scholar]
- Han, C.; Zhao, X.; Shan, Y.; Zhang, X.; Yin, T.; Zhang, C.; Lin, Y. A Review of Researches on Atmospheric VOCs Monitoring Technique and Pollution Characteristics in China. J. Ecol. Rural. Environ. 2018, 34, 114–123. [Google Scholar]
- Tan, P.; Lian, J.; Li, X. Stability of volatile organic compounds in three sampling devices. Chin. J. Anal. Chem. 2006, S1, 187–191. [Google Scholar]
- Ma, Y.; Gao, S.; Wang, Q.; Cui, H.; Wu, S.; Fu, Q.; Duan, Y.; Wu, J.; Jiao, Z. Source profiles and impact of volatile organic compounds in the synthetic resin industry. China Environ. Sci. 2020, 40, 3268–3274. [Google Scholar]
- Esselin, N.; Portolan, F.; Domloge, N.; Clark, R.B.; Musa, O.M.; Pilard, J.-F. Offline Monitoring of Hydroxyethyl Methacrylate and 3-Dimethylaminopropyl Methacrylamide Copolymerization: Correlation Between FTIR and GC Quantifications. Spectrosc. Lett. 2015, 48, 53–58. [Google Scholar] [CrossRef]
- William, A.J.; Royston, G. An introduction to liquid chromatography-mass spectrometry instrumentation applied in plant metabolomic analyses. Phytochem. Anal. PCA 2010, 21, 33–47. [Google Scholar]
- Sha, Q.e.; Zhu, M.; Huang, H.; Wang, Y.; Huang, Z.; Zhang, X.; Tang, M.; Lu, M.; Chen, C.; Shi, B.; et al. A newly integrated dataset of volatile organic compounds (VOCs) source profiles and implications for the future development of VOCs profiles in China. Sci. Total Environ. 2021, 793, 148348. [Google Scholar] [CrossRef] [PubMed]
- Wang, M.; Zeng, L.; Lu, S.; Min, S.; Xinglong, L.; Xuena, Y.; Wentai, C.; Bin, Y.; Qian, Z.; Min, H.; et al. Development and validation of a cryogen-free automatic gas chromatograph system (GC-MS/FID) for online measurements of volatile organic compounds. Anal. Methods 2014, 6, 9424–9434. [Google Scholar] [CrossRef]
- Maleknia, S.D.; Bell, T.L.; Adams, M.A. PTR-MS analysis of reference and plant-emitted volatile organic compounds. Int. J. Mass Spectrom. 2006, 262, 203–210. [Google Scholar] [CrossRef]
- Tanimoto, H.; Aoki, N.; Inomata, S.; Hirokawa, J.; Sadanaga, Y. Development of a PTR-TOFMS instrument for real-time measurements of volatile organic compounds in air. Int. J. Mass Spectrom. 2007, 263, 1–11. [Google Scholar] [CrossRef]
- Ketola, R.A.; Kiuru, J.T.; Tarkiainen, V.; Kokkonen, J.T.; Räsänen, J.; Kotiaho, T. Detection of volatile organic compounds by temperature-programmed desorption combined with mass spectrometry and Fourier transform infrared spectroscopy. Anal. Chim. Acta 2006, 562, 245–251. [Google Scholar] [CrossRef]
- HJ 919-2017; Ambient Air-Determination of Volatile Organic Compounds-Portable Fourier Infrared Spectrometer Method. Ministry of Ecology and Environment of the People’s Republic of China: Beijing, China, 2017.
- HJ 1010-2018; Specifications and Test Procedures for Ambient Air Quality Continuous Monitoring System with Gas Chromatography for Volatile Organic Compounds. Ministry of Ecology and Environment of the People’s Republic of China: Beijing, China, 2018.
- Zhou, G.; Wang, Q.; Zhong, Q.; Zhao, J.; Yang, K. Iop: Status and Needs Research for On-line Monitoring of VOCs Emissions from Stationary Sources. In Proceedings of the 3rd International Conference on Environmental Science and Material Application (ESMA), Seoul, Republic of Korea, 24–26 October 2022. [Google Scholar]
- Ge, M.; Han, G.; Ding, J.; Zhang, D.; Wang, X.; Zhang, S.; Liu, Z. Effects of Injection Methods of VOCs On-line Monitoring on the Determination of Non-methane Hydrocarbons. Environ. Monit. China 2020, 36, 146–152. [Google Scholar]
- Budiman, H.; Nuryatini; Zuas, O. Comparison between GC-TCD and GC-FID for the determination of propane in gas mixture. Int. Symp. Appl. Chem. 2015, 16, 465–472. [Google Scholar] [CrossRef]
- Xian, Y. Comparison of International Standards Methods for Determination of Volatile Organic Compounds in Coating and Research Progress of Application of GC-MS to Determination of Volatile Organic Compounds. Phys. Test. Chem. Anal. Part B Chem. Anal. 2019, 55, 483–488. [Google Scholar]
- HJ 1154-2020; Ambient Air-Determination of Aldehyde and Ketone Compounds-Solution Absorption-High Performance Liquid Chromatography. Ministry of Ecology and Environment of the People’s Republic of China: Beijing, China, 2020.
- Cui, L.; Zhang, Z.; Huang, Y.; Lee, S.C.; Blake, D.R.; Ho, K.F.; Wang, B.; Gao, Y.; Wang, X.M.; Louie, P.K.K. Measuring OVOCs and VOCs by PTR-MS in an urban roadside microenvironment of Hong Kong: Relative humidity and temperature dependence, and field intercomparisons. Atmos. Meas. Tech. 2016, 9, 5763–5779. [Google Scholar] [CrossRef]
- Dunne, E.; Galbally, I.E.; Cheng, M.; Selleck, P.; Molloy, S.B.; Lawson, S.J. Comparison of VOC measurements made by PTR-MS, adsorbent tubes–GC-FID-MS and DNPH derivatization–HPLC during the Sydney Particle Study, 2012: A contribution to the assessment of uncertainty in routine atmospheric VOC measurements. Atmos. Meas. Tech. 2018, 11, 141–159. [Google Scholar] [CrossRef]
- Zhang, J.; Cao, J.; Niu, Q.; Qiu, Y. Research on Comparison of Portable GC-MS and Portable FTIR Detecting Gaseous Pollutants in Environmental Emergency Mon. Guangdong Chem. Ind. 2016, 43, 217, 257–258. [Google Scholar]
- Zhang, X.; Sha, Q.; Lu, M.; Wang, Y.; Rao, S.; Ming, G.; Li, Q.; Wu, S.; Zheng, J. Volatile Organic Compound Emission Characteristics and Influences Assessment of a Petrochemical Industrial Park in the Pearl River Delta Region. Huan Jing Ke Xue Huanjing Kexue 2022, 43, 1766–1776. [Google Scholar]
- Liang, Z.F.; He, J.; Zeng, B.; Zhou, X.X.; Liang, S.W.; Xiong, X.Y.; Liu, Q.Y. Advances in source profiles of volatile organic compounds (VOCs) in petrochemical industry of China. Shandong Chem. Ind. 2018, 47, 53–54, 56. [Google Scholar]
- Ke, J.; Sun, H.; Zhao, D.; Li, S.; Sun, L.; Tian, X. VOCs Emissions from Several Typical Units in Different Refineries with LDAR Technology. Acta Pet. Sin. Pet. Process. Sect. 2019, 35, 534–539. [Google Scholar]
- MEE. Comprehensive remediation plan for volatile organic compounds in the petrochemical industry. Chem. Saf. Environ. 2014, 27, 3–4. [Google Scholar]
- MEE. Comprehensive treatment plan for volatile organic compounds in key industries. Environ. Pollut. Control. 2019, 41, 870. [Google Scholar]
- Yen, C.; Horng, J. Volatile organic compounds (VOCs) emission characteristics and control strategies for a petrochemical industrial area in middle Taiwan. J. Environ. Sci. Health Part A-Toxic/Hazard. Subst. Environ. Eng. 2009, 44, 1424–1429. [Google Scholar] [CrossRef]
- Lu, J. A study on VOCs emission inventory of typical petrochemical plant and its local emission factor. Environ. Pollut. Control 2017, 39, 604–609. [Google Scholar]
- Qi, Y. Emission Characteristic and Environmental Impact Analysis of Volatile Organic Compounds (VOCs) in Petrochemical Industry. Master’s Thesis, Shandong University, Shandong, China, 2018. [Google Scholar]
- Kalabokas, P.D.; Hatzianestis, J.; Bartzis, J.G.; Papagiannakopoulos, P. Atmospheric concentrations of saturated and aromatic hydrocarbons around a Creek oil refinery. Atmos. Environ. 2001, 35, 2545–2555. [Google Scholar] [CrossRef]
- Cetin, E.; Odabasi, M.; Seyfioglu, R. Ambient volatile organic compound (VOC) concentrations around a petrochemical complex and a petroleum refinery. Sci. Total Environ. 2003, 312, 103–112. [Google Scholar] [CrossRef] [PubMed]
- Mo, Z.; Shao, M.; Lu, S. Compilation of a source profile database for hydrocarbon and OVOC emissions in China. Atmos. Environ. 2016, 143, 209–217. [Google Scholar] [CrossRef]
- Zhou, Z.; Tan, Q.; Deng, Y.; Song, D.; Wu, K.; Zhou, X.; Huang, F.; Zeng, W.; Lu, C. Compilation of emission inventory and source profile database for volatile organic compounds: A case study for Sichuan, China. Atmos. Pollut. Res. 2020, 11, 105–116. [Google Scholar] [CrossRef]
- Jiang, P.; Chen, X.; Li, Q.; Mo, H.; Li, L. High-resolution emission inventory of gaseous and particulate pollutants in Shandong Province, eastern China. J. Clean. Prod. 2020, 259, 120806. [Google Scholar] [CrossRef]
- Huang, H.; Sha, Q.; Zhu, M.; Wang, Y.; Lu, M.; Zhang, X.; Tang, M.; Huang, Z.; Shi, B.; Bai, L.; et al. Evolution of emission characteristics and species of industrial VOCs emission in Pearl River Delta Region, 2010~2017. China Environ. Sci. 2020, 40, 4641–4651. [Google Scholar]
- CNCIA. Interpretation of Recent Coatings and Coatings Application Policies and Regulations. China Coat. 2021, 36, 9–17. [Google Scholar]
- Wang, H.; Qiao, Y.; Chen, C.; Lu, J.; Dai, H.; Qiao, L.; Lou, S.; Huang, C.; Li, L.; Jing, S. Source Profiles and Chemical Reactivity of Volatile Organic Compounds from Solvent Use in Shanghai, China. Aerosol Air Qual. Res. 2014, 14, 301–310. [Google Scholar] [CrossRef]
- Mo, Z.; Lu, S.; Li, Y.; Shao, M.; Qu, H. Emission characteristics of volatile organic compounds (VOCs) from typical solvent use factories in Beijing. China Environ. Sci. 2015, 35, 374–380. [Google Scholar]
- Wu, K.; Duan, M.; Zhou, J.; Zhou, Z.; Tan, Q.; Song, D.; Lu, C.; Deng, Y. Sources Profiles of Anthropogenic Volatile Organic Compounds from Typical Solvent Used in Chengdu, China. J. Environ. Eng. 2020, 146, 05020006. [Google Scholar] [CrossRef]
- Zhang, Y.; Li, C.; Yan, Q.; Han, S.; Zhao, Q.; Yang, L.; Liu, Y.; Zhang, R. Typical industrial sector-based volatile organic compounds source profiles and ozone formation potentials in Zhengzhou, China. Atmos. Pollut. Res. 2020, 11, 841–850. [Google Scholar] [CrossRef]
- Yang, Y.; Yang, J.; Yin, S.; Yu, Y.; Zheng, J.; Mo, Z. Speciated VOCs Emission Inventory and Key Species from Printing Industry in the Pearl River Delta Region. Res. Environ. Sci. 2013, 26, 326–333. [Google Scholar]
- Liang, X.; Sun, X.; Xu, J.; Ye, D. Improved emissions inventory and VOCs speciation for industrial OFP estimation in China. Sci. Total Environ. 2020, 745, 473. [Google Scholar] [CrossRef]
- Gao, Z. Source Characteristics of VOC Emissions from Typical Industrial Painting Sources. Master’s Thesis, South China University of Technology Guangzhou, Guangzhou, China, 2015. [Google Scholar]
- Wu, R.; Xie, S. Spatial Distribution of Secondary Organic Aerosol Formation Potential in China Derived from Speciated Anthropogenic Volatile Organic Compound Emissions. Environ. Sci. Technol. 2018, 52, 8146–8156. [Google Scholar] [CrossRef]
- Li, Z.; Li, W.; Zhou, R.; Miao, X.; Lu, J.; Wang, Z.; Yang, Z.; Wu, J. Process-based VOCs Source Profiles and Contributions to Ozone Formation in Typical Organic Solvent-used Industries in Hangzhou. Aerosol Air Qual. Res. 2021, 21, 1–14. [Google Scholar] [CrossRef]
- Seila, R.L.; Main, H.H.; Arriaga, J.L.; Martínez, G.; Ramadan, A.B. Atmospheric volatile organic compound measurements during the 1996 Paso del Norte Ozone Study. Sci. Total Environ. 2001, 276, 153–169. [Google Scholar] [CrossRef]
- Zhai, Z.; Meng, H.; Wang, H.; Zhai, Y.C.; Cao, Y.; Zou, K.H. Emission Characteristics and Characteristic Substance Identification of Volatile Odorous Organic Compounds in Industries Using Organic Solvents. Huanjing Kexue 2018, 39, 3557–3562. [Google Scholar] [PubMed]
- MEE. 2014. Available online: https://www.mee.gov.cn/gkml/hbb/bgg/201408/W020140828351293705457.pdf (accessed on 19 August 2014).
- Zheng, C.; Shen, J.; Zhang, Y.; Zhu, X.; Wu, X.; Chen, L.; Gao, X. Atmospheric Emission Characteristics and Control Policies of Anthropogenic VOCs from Industrial Sources in Yangtze River Delta Region, China. Aerosol Air Qual. Res. 2017, 17, 2263–2275. [Google Scholar] [CrossRef]
- Ke, Y.; Sun, Y.; Cheng, H.; Liu, R.Y.; Huang, H.M.; Fan, Y.L.; Dai-Qi, Y. Characteristics of Volatile Organic Compounds in Wood Coatings and Automotive Coatings in China. Huanjing Kexue 2020, 41, 4446–4454. [Google Scholar] [PubMed]
- Wu, J.; Gao, S.; Chen, X.; Yang, Y.; Fu, Q.Y.; Che, X.; Jiao, Z. Source Profiles and Impact of Volatile Organic Compounds in the Coating Manufacturing Industry. Huanjing Kexue 2020, 41, 1582–1588. [Google Scholar] [PubMed]
- Zhou, Z.; Deng, Y.; Wu, K.; Tan, Q.W.; Zhou, X.L.; Song, D.L.; Huang, F.X.; Zeng, W.H. Source profiles of VOCs associated with typical industrial processes in Chengdu. Huanjing Kexue 2019, 40, 3949–3961. [Google Scholar] [PubMed]
- Yang, X.N.; Ren, X.L.; Yan, X.Q.; Wu, Z.Q.; Yang, G.D. A review on VOCs adsorption by activated carbon. Mater. Rep. 2021, 35, 17111–17124. [Google Scholar]
- Wang, J.; Jin, D.; Gu, Z.; Lu, J.H.; Ye, Z.P.; Dong, S.B. The VOCs emission characteristics ofmetal surface coating industryand its emission factors. China Environ. Sci. 2020, 40, 1940–1945. [Google Scholar]
- Teng, F.; Miu, X.; Xiong, M.; Zhao, N.; Jin, D.J.; He, L.; Zhang, Q.Y.; Dong, S.B. Component characteristics and emission coefficient of VOCs from ship manufacturing and repairing industry in Zhenjiang Province. Environ. Pollut. Control 2022, 44, 476–480+505. [Google Scholar]
- Wang, R.; Yuan, Z.; Zheng, J.; Li, C.; Huang, Z.; Li, W.; Xie, Y.; Wang, Y.; Yu, K.; Duan, L. Characterization of VOC emissions from construction machinery and river. J. Environ. Sci. 2020, 96, 138–150. [Google Scholar] [CrossRef]








| No. | Sources | Location, Time | Source Category | Sample Location | Sampling Methods (No. Samples) | Analysis Method and Analytical Components (No. Species) |
|---|---|---|---|---|---|---|
| 1 | Petrochemical industry | The Pearl River Delta, 2005 [23] | Petrochemical industry | Workshop sampling and environmental sample collection | - (4) | GC–MS/FID: alkanes, alkenes, aromatics, and halocarbons (92) |
| 2 | Beijing [15] | Petroleum refinery | Workshop sampling and environmental sample collection | SUMMA canister (101) | GC–MS/FID: alkanes, alkenes, aromatics, and halocarbons (56) | |
| 3 | The Yangtze River Delta [17] | Petrochemical industry | Outlet sampling and workshop sampling | SUMMA canister (-) | GC–MS/FID: alkanes, alkenes, aromatics, and halocarbons (-) | |
| 4 | Wuhan, 2016–2017 [10] | Petrochemical industry | Outlet sampling and workshop sampling | Stainless-steel canister (35) | GC–MS/FID: alkanes, alkenes, aromatics, halocarbons, and OVOCs (86) | |
| 5 | Solvent-used industry | The Pearl River Delta [19] | Printing, wood furniture coating, shoemaking, and metal surface coating | Outlet sampling and workshop sampling | Stainless-steel canister (72) | GC–MS; DNPH–HPLC: alkanes, alkenes, aromatics, halocarbons, and OVOCs (102) |
| 6 | The Pearl River Delta [7] | Shipbuilding, wood furniture, metal surface, plastic surface, automobile, and fabric surface coating industry | - | SUMMA canister (116) | GC–MS: alkanes, alkenes, aromatics, and OVOCs (-) | |
| 7 | Beijing [34] | Automobile coating, wood furniture coating, and printing industry | Workshop sampling | - (39) | GC–MS/FID: alkanes, alkenes, aromatics, halocarbons, and OVOCs (106) | |
| 8 | Guangdong Province [35] | Electronic equipment manufacturing | Outlet sampling and workshop sampling | Tenax tube (-) | GC–MS: alkanes, alkenes, aromatics, halocarbons, and OVOCs (17) | |
| 9 | Nanjing [36] | Printing | Outlet sampling | Teflon bag (-) | GC–MS: alkanes, alkenes, aromatics, halocarbons, and OVOCs (47) | |
| 10 | Chengdu, 2018 [37] | Packaging/printing, wood-based panel manufacturing, furniture manufacturing, and shoemaking | Outlet sampling and workshop sampling | Tedlar bag (-) | GC–MS: alkanes, alkenes, aromatics, halocarbons, and OVOCs (65) | |
| 11 | Chemical industry | Shanghai, 2019 [33] | Synthetic resins industry | Outlet sampling | SUMMA canister (52) | GC–MS/FID: alkanes, alkenes, aromatics, halocarbons, and OVOCs (106) |
| 12 | The Yangtze River Delta, 2018–2019 [32] | Chemical industry | Outlet sampling and workshop sampling | SUMMA canister (148) | GC–MS/FID: alkanes, alkenes, aromatics, halocarbons, and OVOCs (107) |
| Sampling Methods | Category | Advantages | Disadvantages |
|---|---|---|---|
| Solid-phase sorbent tube sampling | Adsorption tubes [35,38] | Small size; long-distance transportation; high reusability | Unsuitability for highly volatile compounds; susceptibility to particulate matter and moisture |
| Container sampling | Air bags [36,37] | Low cost; large sampling volume; high reusability | Low stability for samples |
| Canisters [17,32,34] | High stability for samples | High cost; high demand for gas dilution and canister cleaning |
Disclaimer/Publisher’s Note: The statements, opinions and data contained in all publications are solely those of the individual author(s) and contributor(s) and not of MDPI and/or the editor(s). MDPI and/or the editor(s) disclaim responsibility for any injury to people or property resulting from any ideas, methods, instructions or products referred to in the content. |
© 2023 by the authors. Licensee MDPI, Basel, Switzerland. This article is an open access article distributed under the terms and conditions of the Creative Commons Attribution (CC BY) license (https://creativecommons.org/licenses/by/4.0/).
Share and Cite
Wang, S.; Zhang, J.; Zhang, Y.; Wang, L.; Sun, Z.; Wang, H. Review on Source Profiles of Volatile Organic Compounds (VOCs) in Typical Industries in China. Atmosphere 2023, 14, 878. https://doi.org/10.3390/atmos14050878
Wang S, Zhang J, Zhang Y, Wang L, Sun Z, Wang H. Review on Source Profiles of Volatile Organic Compounds (VOCs) in Typical Industries in China. Atmosphere. 2023; 14(5):878. https://doi.org/10.3390/atmos14050878
Chicago/Turabian StyleWang, Shuangshuang, Jie Zhang, Yan Zhang, Liwei Wang, Zhongxue Sun, and Hailing Wang. 2023. "Review on Source Profiles of Volatile Organic Compounds (VOCs) in Typical Industries in China" Atmosphere 14, no. 5: 878. https://doi.org/10.3390/atmos14050878
APA StyleWang, S., Zhang, J., Zhang, Y., Wang, L., Sun, Z., & Wang, H. (2023). Review on Source Profiles of Volatile Organic Compounds (VOCs) in Typical Industries in China. Atmosphere, 14(5), 878. https://doi.org/10.3390/atmos14050878
