Atmospheric Observation of Fluorinated Greenhouse Gases around Four Chemical Plants in China
Abstract
1. Introduction
2. Materials and Methods
2.1. Sampling Sites
2.2. Sampling and Chemical Analysis
3. Results and Discussion
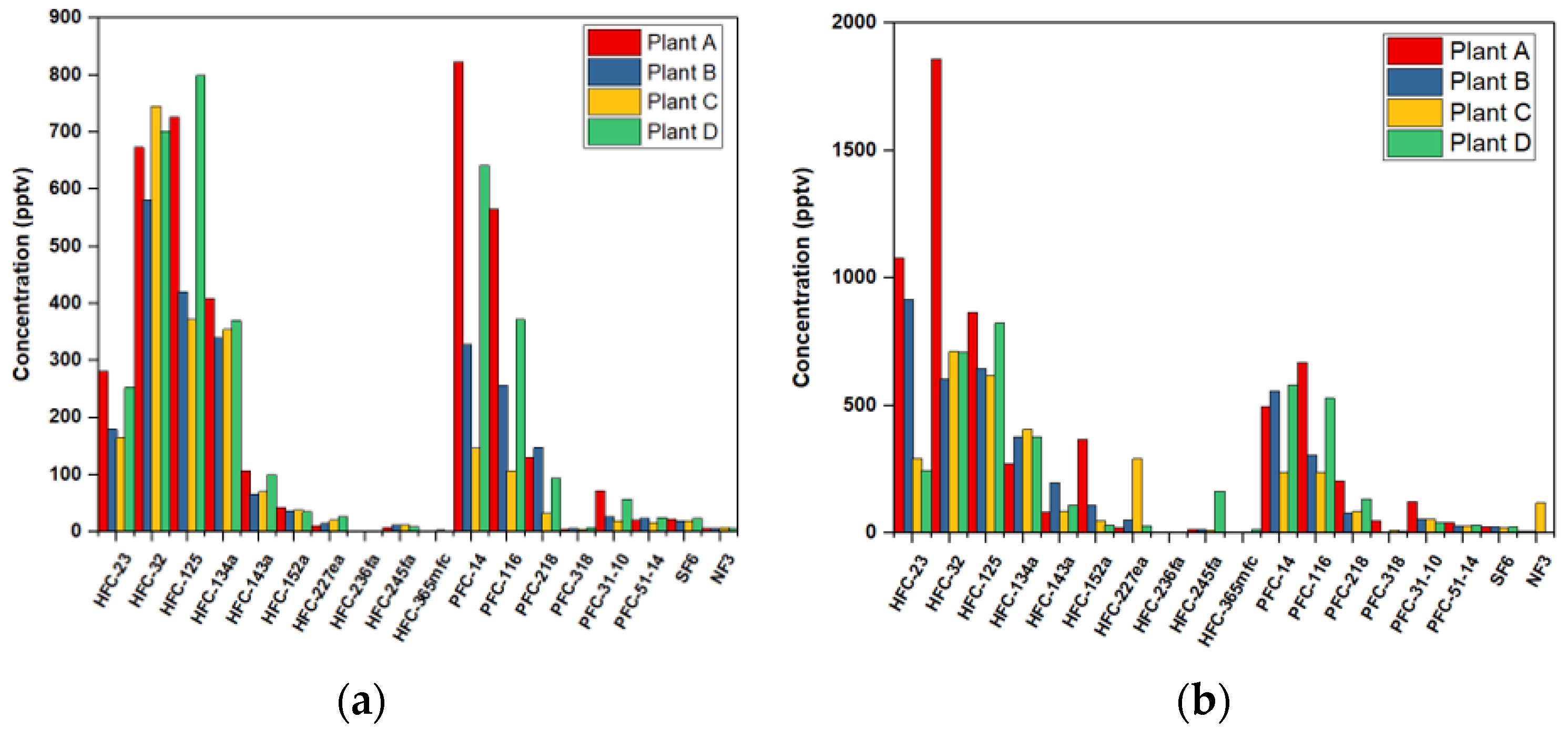
3.1. Concentrations of F-Gases at the Upwind Sites
3.2. Concentrations of F-Gases at the Downwind Sites
3.3. Concentration Difference and the Enhanced Ratio of F-Gases between Upwind and Downwind Sites
3.4. Toxicity and Environmental Impact of the F-Gases
4. Conclusions
Supplementary Materials
Author Contributions
Funding
Institutional Review Board Statement
Informed Consent Statement
Data Availability Statement
Conflicts of Interest
References
- Zhang, J.; Kuang, S.; Hu, S. Environmental Science; Chemical Industry Press: Beijing, China, 2016; p. 111. [Google Scholar]
- United Nations Framework Convention on Climate Change (UNFCCC). 2012. Available online: https://enb.iisd.org/negotiations/un-framework-convention-climate-change-unfccc (accessed on 10 February 2023).
- Intergovernmental Panel on Climate Change (IPCC). Guidelines for National Greenhouse Gas Inventories Volume 3 Industrial Processes and Product Use—Chapter 3; IGES: Kanagawa, Japan, 2006. [Google Scholar]
- Intergovernmental Panel on Climate Change (IPCC). 2019 Refinement to the 2006 IPCC Guidelines for National Green-house Gas Inventories Volume 3 Industrial Processes and Product Use—Chapter 3; IPCC: Interlaken, Switzerland, 2019. [Google Scholar]
- Forster, P.M.; Storelvmo, T.; Armour, K. Chapter 7: The Earth’s Energy Budget, Climate Feedbacks, and Climate Sensitivity, in Climate Change 2021: The Physical Science Basis. Contribution of Working Group I to the Sixth Assessment Report of the Intergovernmental Panel on Climate Change, Oxford, UK, in Press. 2021. Available online: https://openaccess.wgtn.ac.nz/articles/chapter/Chapter_7_The_Earth_s_energy_budget_climate_feedbacks_and_climate_sensitivity/16869671 (accessed on 10 February 2023).
- Friedlingstein, P.; Matthew, W.J.; Michael, O.S.; Robbie, M.A.; Bakker, D.C.E.; Judith, H.; Corinne, L.Q.; Glen, P.P.; Wouter, P.; Julia Pongratz, S.S.J.G.; et al. Global Carbon Budget 2021. Earth Syst. Sci. Data 2021, 14, 1917–2005. [Google Scholar]
- Friedlingstein, P. Global carbon budgets: Determining limits on fossil fuel emissions. Weather 2020, 75, 210–211. [Google Scholar] [CrossRef]
- Intergovernmental Panel on Climate Change. Synthesis Report. Contribution of Working Groups I, II and III to the Fourth Assessment Report of the Intergovernmental Panel on Climate Change. In Core Writing Team; Pachauri, R.K., Reisinger, A., Eds.; IPCC: Geneva, Switzerland, 2007; p. 104. [Google Scholar]
- Minx, J.C.; William, F.L.; Robbie, M.A.; Josep, G.C.; Monica, C.; Döbbeling, N.; Piers, M.F.; Diego, G.; Jos, O.; Glen, P.P.; et al. Andrew A comprehensive and synthetic dataset for global, regional, and national greenhouse gas emissions by sector 1970–2018 with an extension to 2019. Earth Syst. Sci. Data 2021, 13, 5213–5252. [Google Scholar] [CrossRef]
- United Nations Environment Programme (UNEP). Scientific Assessment of Ozone Depletion; United Nations Environment Programme: Nairobi, Kenya, 2022. [Google Scholar]
- Wang, J.; Fu, H.-Z.; Xu, J.; Wu, D.; Yang, Y.; Zhu, X.; Wu, J. Trends of Studies on Controlled Halogenated Gases under International Conventions during 1999–2018 Using Bibliometric Analysis: A Global Perspective. Sustainability 2022, 14, 806. [Google Scholar] [CrossRef]
- Andersen, M.P.S.; Nielsen, O.J. Atmospheric chemistry of a cyclic hydrofluorocarbon: Kinetics and mechanisms of gas-phase reactions of 1-trifluoromethy l-1,2,2-trifluorocyclobutane with Cl atoms, OH radicals, and O3. Phys. Chem. Chem. Phys. 2019, 21, 1497–1505. [Google Scholar] [CrossRef] [PubMed]
- Sterstrm, F.F.; Andersen, S.T.; Slling, T.I.; Nielsen, O.J.; Andersen, M.P.S. Atmospheric chemistry of Z- and E-CF3CH=CHCF3. Phys. Chem. Chem. Phys. 2017, 19, 735–750. [Google Scholar] [CrossRef]
- Gour, N.K.; Paul, S.; Deka, R.C. Atmospheric Impact of Z-and E-Isomers of CF3CHCHC2F5 Molecule Initiated by OH Radi-cals: Reaction Mechanism, Kinetics and Global Warming Potential. Int. J. Refrig. 2019, 101, 167–177. [Google Scholar] [CrossRef]
- Zhang, N.; Chen, L.; Mizukado, J.; Quan, H.; Suda, H. Rate constants for the gas-phase reactions of (Z)-CF3CHCHF and (E)-CF3CHCHF with OH radicals at 253–328 K. Chem. Phys. Lett. 2015, 621, 78–84. [Google Scholar] [CrossRef]
- Castro, P.J.; Redondo, A.E.; Sosa, J.E.; Zakrzewska, M.E.; Nunes, A.V.M.; Araújo, J.M.M.; Pereiro, A.B. Absorption of Fluorinated Greenhouse Gases in Deep Eutectic Solvents. Ind. Eng. Chem. Res. 2020, 59, 13246–13259. [Google Scholar] [CrossRef]
- Sosa, J.E.; Ribeiro, R.P.P.L.; Castro, P.J.; Mota, J.P.B.; Araújo, J.M.M.; Pereiro, A.B. Absorption of Fluorinated Greenhouse Gases Using Fluorinated Ionic Liquids. Ind. Eng. Chem. Res. 2019, 58, 20769–20778. [Google Scholar] [CrossRef]
- Yang, H.; Wu, S.; Chen, Z.; Li, L.; Wang, H.; Liu, B.; Tang, H.; Li, Y.; Chen, A.; Han, W. Catalytic Performance for the Con-version of Potent Fluorinated Greenhouse Gases by Aluminium Fluorides with Different Morphology. Catal. Lett. 2020, 151, 2065–2074. [Google Scholar] [CrossRef]
- Kopylov, S.N.; Kopylov, P.S.; Eltyshev, I.P.; Kopylov, N.P.; Begishev, I.R. Highly Effective Fire Extinguishing Mixtures of Iodinated and Fluorinated Hydrocarbons as a Way to Reduce Greenhouse Gas Emissions into the Atmosphere. IOP Conf. Series Earth Environ. Sci. 2021, 666, 022011. [Google Scholar] [CrossRef]
- Sosa, J.E.; Ribeiro, R.P.; Castro, P.J.; Mota, J.P.; Pereiro, A.B.; Araújo, J.M. Sorption of fluorinated greenhouse gases in silica-supported fluorinated ionic liquids. J. Environ. Chem. Eng. 2022, 10, 108580. [Google Scholar] [CrossRef]
- Wei, X.; Yang, H.; Liu, B.; Yu, H.; Wang, C.; Wu, S.; Jia, Z.; Han, W. Synthesis of titanium oxyfluoride with oxygen vacancy as novel catalysts for pyrolysis of fluorinated greenhouse gasses to hydrofluoroolefins. J. Taiwan Inst. Chem. Eng. 2021, 129, 189–196. [Google Scholar] [CrossRef]
- Stankuniene, G.; Streimikiene, D.; Kyriakopoulos, G.L. Systematic Literature Review on Behavioral Barriers of Climate Change Mitigation in Households. Sustainability 2020, 12, 7369. [Google Scholar] [CrossRef]
- Daviran, S.; Kasaeian, A.; Golzari, S.; Mahian, O.; Nasirivatan, S.; Wongwises, S. A comparative study on the performance of HFO-1234yf and HFC-134a as an alternative in automotive air conditioning systems. Appl. Therm. Eng. 2017, 110, 1091–1100. [Google Scholar] [CrossRef]
- Prabakaran, R.; Sidney, S.; Iyyappan, R.; Lal, D.M. Experimental studies on the performance of mobile air conditioning system using environmental friendly HFO-123yf as a refrigerant. Proc. Inst. Mech. Eng. Part E J. Process Mech. Eng. 2021, 235, 731–742. [Google Scholar]
- Ha, A.; Bf, A.; Mb, B.; Sa, C.; Gp, D. Overview of low GWP mixtures for the replacement of HFC refrigerants: R134a, R404A and R410A—ScienceDirect. Int. J. Refrig. 2020, 111, 113–123. [Google Scholar]
- Tsai, W.-T. An overview of environmental hazards and exposure risk of hydrofluorocarbons (HFCs). Chemosphere 2005, 61, 1539–1547. [Google Scholar] [CrossRef]
- Sabik, L.; Abbas, R.A.; Ismail, M.M.; El-Refaei, S. Cardiotoxicity of Freon among refrigeration services workers: Compara-tive cross-sectional study. Environ. Health A Glob. Access Sci. Source 2009, 8, 31. [Google Scholar] [CrossRef]
- Alonso, M.L.; Alonso, R.M.; Lombraña, J.I.; Izcara, J.; Izagirre, J. Exploring the Decomposition Products of 1,3,3,3-Tetrafluoropropene and Perfluoro-(3-methylbutan-2-one) Gas Mixtures in Medium-Voltage Electrical Switchgear as Alternatives to SF6. ACS Omega 2021, 6, 21534–21542. [Google Scholar] [CrossRef] [PubMed]
- Ema, M.; Naya, M.; Yoshida, K.; Nagaosa, R. Reproductive and developmental toxicity of hydrofluorocarbons used as re-frigerants. Reprod Toxicol. 2010, 29, 125–131. [Google Scholar] [CrossRef] [PubMed]
- Gaku, I.; Yu, X.; Junzoh, K.; Nobuyuki, A.; Toshihiko, K.; Hisakazu, I.; Eiji, S.; Tetsuya, Y.; Wang, H.; Xie, Z. Reproductive toxicity of 1-bromopropane, a newly introduced alternative to ozone layer depleting solvents, in male rats. Toxicol. Sci. 2000, 54, 416–423. [Google Scholar]
- Rusch, G.M.; Tveit, A.; Muijser, H.; Tegelenbosch-Schouten, M.M.; Hoffman, G.M. The acute, genetic, developmental and inhalation toxicology of trans-1,3,3,3-tetrafluoropropene (HFO-1234ze). Drug Chem. Toxicol. 2012, 36, 170–180. [Google Scholar] [CrossRef] [PubMed]
- Kim, J.; Li, S.; Muhle, J.; Fang, X.; Manning, A.J.; Arnold, T.; Park, S.; Park, M.; Saito, T.; Yokouchi, Y. in Emissions of Tetra-fluoromethane (CF4) and Hexafluoroethane (C2F6) from East Asian Aluminum and Semiconductor Industries. Agu. Fall Meet. 2013, 126, e2021JD034888. [Google Scholar]
- Li-Ying, Y.; Zhang, Z.-Y.; An, M.-D.; Gao, D.; Yi, L.-Y.; Hu, J.-X. The estimated schedule and mitigation potential for hydrofluorocarbons phase-down in China. Adv. Clim. Chang. Res. 2019, 10, 174–180. [Google Scholar] [CrossRef]
- Ruckstuhl, A.F.; Henne, S.; Reimann, S.; Steinbacher, M.; Vollmer, M.K.; O’Doherty, S.; Buchmann, B.; Hueglin, C. Robust extraction of baseline signal of atmospheric trace species using local regression. Atmos. Meas. Tech. 2012, 5, 2613–2624. [Google Scholar] [CrossRef]
- Weiss, R.F.; Mühle, J.; Salameh, P.K.; Harth, C.M. Nitrogen trifluoride in the global atmosphere. Geophys. Res. Lett. 2008, 35, 57. [Google Scholar] [CrossRef]
- Levin, I.; Naegler, T.; Heinz, R.; Osusko, D.; Cuevas, E.; Engel, A.; Ilmberger, J.; Langenfelds, R.L.; Neininger, B.; Rohden, C.V.; et al. The global SF6 source inferred from long-term high precision atmospheric measurements and its comparison with emission inventories. Atmos. Chem. Phys. 2010, 10, 2655–2662. [Google Scholar] [CrossRef]
- Vollmer, M.K.; Miller, B.R.; Rigby, M.; Reimann, S.; Mühle, J.; Krummel, P.B.; O’Doherty, S.; Kim, J.; Rhee, T.S.; Weiss, R.F.; et al. Atmospheric histories and global emissions of the anthropogenic hydrofluorocarbons HFC-365mfc, HFC-245fa, HFC-227ea, and HFC-236fa. J. Geophys. Res. Atmos. 2011, 116, 701. [Google Scholar] [CrossRef]
- Simmonds, P.G.; Rigby, M.; Manning, A.J.; Lunt, M.F.; O’Doherty, S.; McCulloch, A.; Fraser, P.J.; Henne, S.; Vollmer, M.K.; Mühle, J.; et al. Global and regional emissions estimates of 1,1-difluoroethane (HFC-152a, CH3CHF2) from in situ and air archive observations. Atmos. Chem. Phys. 2016, 16, 365–382. [Google Scholar] [CrossRef]
- O’Doherty, S.; Rigby, M.; Mühle, J.; Ivy, D.J.; Miller, B.R.; Young, D.; Simmonds, P.G.; Reimann, S.; Vollmer, M.K.; Krummel, P.B.; et al. Global emissions of HFC-143a (CH3CF3) and HFC-32 (CH2F2) from in situ and air archive atmospheric observations. Atmos. Chem. Phys. 2014, 14, 9249–9258. [Google Scholar]
- Simmonds, P.G.; Matthew, R.; Alistair, J.M.; Sunyoung, P.; Kieran, M.S.; McCulloch, A.; Stephan, H.; Francesco, G.M.M.J.; Vollmer, M.K.; Jens, M.; et al. The increasing atmospheric burden of the greenhouse gas sulfur hexafluoride (SF6). Atmos. Chem. Phys. 2020, 20, 7271–7290. [Google Scholar] [CrossRef]
- Flerlage, H.; Velders, G.J.; de Boer, J. A review of bottom-up and top-down emission estimates of hydrofluorocarbons (HFCs) in different parts of the world. Chemosphere 2021, 283, 131208. [Google Scholar] [CrossRef] [PubMed]
- Graziosi, F.; Arduini, J.; Furlani, F.; Giostra, U.; Cristofanelli, P.; Fang, X.; Hermanssen, O.; Lunder, C.; Maenhout, G.; O’Doherty, S.; et al. European emissions of the powerful greenhouse gases hydrofluorocarbons inferred from atmospheric measurements and their comparison with annual national reports to UNFCCC. Atmos. Environ. 2017, 158, 85–97. [Google Scholar] [CrossRef]
- Manning, A.J.; Alison, L.R.; Daniel, S.; Simon, O.D.; Dickon, Y.; Simmonds, P.G.; Martin, K.V.; Jens, M.; Jgor, A.; Gerard, S.; et al. Evidence of a recent decline in UK emissions of hydrofluorocarbons determined by the InTEM inverse model and at-mospheric measurements. Atmos. Chem. Phys. 2021, 21, 12739–12755. [Google Scholar] [CrossRef]
- Jooil Kim, R.T.; Hyeri, P.; Stephanie, B.; Jens, M.; Park, M.; Yeaseul, K.; Christina, M.H.; Peter, K.S.; Schmidt, R.; Deborah, O.; et al. Emissions of Tetrafluoromethane (CF4) and Hexafluoroethane (C2F6) From East Asia: 2008 to 2019. J. Geophys. Res.-Atmos. 2021, 126, e2021JD034888. [Google Scholar]
- Zhang, B.; Zhang, Y.; Xueli, Z.; Meng, J. Non-CO2 Greenhouse Gas Emissions in China 2012: Inventory and Supply Chain Analy-sis. Earth’s Future 2018, 6, 103–116. [Google Scholar]
- Rust, D. Assessing National Halocarbon Emissions Using Regional Atmospheric Measurements. Chimia 2022, 76, 331. [Google Scholar] [CrossRef]
- Rust, D.; Katharopoulos, I.; Vollmer, M.K.; Henne, S.; O’Doherty, S.; Say, D.; Emmenegger, L.; Zenobi, R.; Reimann, S. Swiss halocarbon emissions for 2019 to 2020 assessed from regional atmospheric observations. Atmos. Chem. Phys. 2022, 22, 2447–2466. [Google Scholar] [CrossRef]
- Wu, J.; Fang, X.; Jonathan, W.M.; Zihan, Z.; Shenshen, S.; Xia, H.; Jiarui, H.; Sihua, L.; Wang, C.; Jianbo, Z.; et al. Estimated emissions of chlorofluorocarbons, hydrochlorofluorocarbons, and hydrofluorocarbons based on an interspecies correlation method in the Pearl River Delta region, China. Sci. Total Environ. 2014, 470, 829–834. [Google Scholar] [CrossRef] [PubMed]
- Wu, J.; Fang, X.; Xu, W.; Wan, D.; Shi, Y.; Su, S.; Hu, J.; Zhang, J. Chlorofluorocarbons, hydrochlorofluorocarbons, and hy-drofluorocarbons in the atmosphere of four Chinese cities. Atmos. Environ. 2013, 75, 83–91. [Google Scholar] [CrossRef]
- Fang, X.; Wu, J.; Su, S.; Zhang, J.; Hu, J. Estimates of major anthropogenic halocarbon emissions from China based on inter-species correlations. Atmos. Environ. 2012, 62, 26–33. [Google Scholar] [CrossRef]
- Yi, L.; Wu, J.; An, M.; Weiguang, X.; Xuekun, F.; Bo, Y.; Yixi, L.; Gao, D.; Xingchen, Z.; Jianxin, H. The atmospheric concentra-tions and emissions of major halocarbons in China during 2009–2019. Environ. Pollut. 2021, 284, 117–190. [Google Scholar] [CrossRef]
- Bie, P.; Fang, X.; Li, Z.; Wang, Z.; Hu, J. Emissions estimates of carbon tetrachloride for 1992–2014 in China. Environ. Pollut. 2017, 224, 670–678. [Google Scholar] [CrossRef]
- World Bank Database: Indicators, Climate Change. 2017. Available online: https://data.worldbank.org.cn/ (accessed on 10 February 2023).
- Lingbo, L.; Long, L.; Mengting, C.; Xiangchen, F.; Alistair, J. Manning. Current status and future developments in monitor-ing of fugitive VOC emissions from petroleum refining and petrochemical industry. Chem. Ind. Eng. Prog. 2020, 39, 1196–1208. [Google Scholar] [CrossRef]
- Liping, C.; Jingtao, C.; Juncheng, J.; Guangfa, D. Effect of turbulence induced by wind velocity on volatile pollutants mass transfer. J. Hohai Univ. (Nat. Sci.) 2012, 40, 610–614. [Google Scholar] [CrossRef]
- Fang, X.; Wu, J.; Xu, J.; Huang, D.; Shi, Y.; Wan, D.; Wu, H.; Shao, M.; Hu, J. Ambient mixing ratios of chlorofluorocarbons, hydrochlorofluorocarbons and hydrofluorocarbons in 46 Chinese cities. Atmos. Environ. 2012, 54, 387–392. [Google Scholar] [CrossRef]
- Mühle, J.; Trudinger, C.M.; Rigby, M.; Western, L.M.; Weiss, R.F. Perfluorocyclobutane (PFC-318, c-C4F8) in the global at-mosphere. Atmos. Chem. Phys. 2019, 19, 10335–10359. [Google Scholar] [CrossRef]
- The People’s Republic of China Second Biennial Update Report on Climate Change. 2018. Available online: https://unfccc.int/sites/default/files/resource/China%202BUR_English.pdf (accessed on 24 April 2023).
- United Nations Framework Convention on Climate Change (UNFCCC). 2005. Available online: https://unfccc.int/resource/docs/convkp/conveng.pdf (accessed on 24 April 2023).
- Yao, B.; Fang, X.; Vollmer, M.K.; Reimann, S.; Chen, L.; Fang, S.; Prinn, R.G. China’s Hydrofluorocarbon Emissions for 2011–2017 Inferred from Atmospheric Measurements. Environ. Sci. Technol. Lett. 2019, 6, 479–486. [Google Scholar] [CrossRef]
- Ashford, P.; Clodic, D.; McCulloch, A.; Kuijpers, L. Emission profiles from the foam and refrigeration sectors comparison with atmospheric concen-trations. Part 2: Results and discussion. Int. J. Refrig. 2004, 27, 701–716. [Google Scholar] [CrossRef]
- Bai, H.-X.; Wei, W.; Wang, Y.-T.; Ren, Y.-T.; Zang, J.-X.; Cheng, S.-Y. Characteristics of VOCs Emitted from the Rubber Tire Manufacturing Industry Based on the Inverse-Dispersion Calculation Method. Huan Jing ke Xue= Huanjing Kexue 2019, 40, 2994–3000. [Google Scholar] [PubMed]
- Lv, Z.; Wei, W.; Yang, G.; Cheng, S. Inversion research in VOCs source emission of a petroleum refinery. China Env.-Tal Sci. 2015, 35, 2958–2963. [Google Scholar]
- Wei, W.; Wang, Y.; Yang, G.; Yue, L.; Cheng, S. Speciated VOCs emission estimate for a typical petrochemical manufacturing plant in China using inverse-dispersion calculation method. Environ. Monit. Assess. 2018, 190, 451. [Google Scholar] [CrossRef]
- Wei, W.; Lv, Z.; Yang, G.; Cheng, S.; Li, Y.; Wang, L. VOCs emission rate estimate for complicated industrial area source using an inverse-dispersion calculation method: A case study on a petroleum refinery in Northern China. Environ. Pollut. 2016, 218, 681–688. [Google Scholar] [CrossRef]
- Zhang, X.; Li, Y.; Xiao, S.; Tang, J.; Tian, S.; Deng, Z. Decomposition Mechanism of C5F10O: An Environmentally Friendly Insulation Medium. Environ. Sci. Technol. 2017, 51, 10127–10136. [Google Scholar] [CrossRef]
- Tsai, W.-T. Environmental and health risk analysis of nitrogen trifluoride (NF3), a toxic and potent greenhouse gas. J. Hazard. Mater. 2008, 159, 257–263. [Google Scholar] [CrossRef]
- Sekiya, A.; Misaki, S. The potential of hydrofuoroethers to replace CFCs, HCFCs and PFCs. J. Fluorine Chem. 2000, 101, 215–221. [Google Scholar] [CrossRef]
- Wang, Y.-F.; Shih, M.; Tsai, C.-H.; Tsai, P.-J. Total toxicity equivalents emissions of SF6, CHF3, and CCl2F2 decomposed in a RF plasma environment. Chemosphere 2006, 62, 1681–1688. [Google Scholar] [CrossRef]





| Substance | Molecular Formula | LOD (pptv) | Precision (%) | Accuracy (%) |
|---|---|---|---|---|
| PFC-14 | CF4 | 1.79 | 0.80 | / |
| PFC-116 | C2F6 | 0.17 | 1.20 | 0.67 |
| PFC-218 | C3F8 | 0.09 | 4.61 | 3.02 |
| PFC-318 | C4F8 | 0.10 | 4.61 | 3.02 |
| PFC-31-10 | C4F10 | 0.08 | 13.22 | 34.29 |
| PFC-51-14 | C6F14 | 0.06 | 7.58 | 2.92 |
| SF6 | SF6 | 0.42 | 1.48 | 0.59 |
| NF3 | NF3 | 0.18 | 2.00 | / |
| HFC-23 | CHF3 | 1.16 | 0.46 | 0.05 |
| HFC-32 | CH2F2 | 1.39 | 1.39 | 2.64 |
| HFC-125 | CHF2CF3 | 0.96 | 0.90 | 0.98 |
| HFC-134a | CH2FCH3 | 2.72 | 0.80 | 0.08 |
| HFC-143a | CH3CF3 | 0.67 | 0.91 | 0.74 |
| HFC-152a | C2H4F2 | 0.32 | 1.20 | 0.80 |
| HFC-227ea | CF3CHFCF3 | 0.15 | 2.56 | 0.05 |
| HFC-236fa | CF3CH2CF3 | 0.06 | 7.46 | 6.63 |
| HFC-245fa | CF3CH2CHF2 | 0.30 | 3.03 | 1.35 |
| HFC-365mfc | CF3CH2CH3CF2 | 0.14 | 4.08 | 0.30 |
| Substance | Plant A | Plant B | Plant C | Plant D |
|---|---|---|---|---|
| PFC-14 | −38% | 70% | 62% | −9% |
| PFC-116 | 25% | 19% | 119% | 42% |
| PFC-218 | 64% | −48% | 157% | 41% |
| PFC-318 | 871% | −41% | 117% | 4% |
| PFC-31-10 | 84% | 108% | 172% | −31% |
| PFC-51-14 | 96% | 10% | 56% | 16% |
| SF6 | −2% | 24% | 3% | −8% |
| NF3 | 0% | −1% | 1576% | −6% |
| HFC-23 | 382% | 409% | 77% | −3% |
| HFC-32 | 176% | 4% | −5% | 1% |
| HFC-125 | 125% | 53% | 66% | 3% |
| HFC-134a | −34% | 10% | 15% | 2% |
| HFC-143a | −25% | 200% | 21% | 10% |
| HFC-152a | 1322% | 195% | 24% | −8% |
| HFC-227ea | 104% | 229% | 1306% | 5% |
| HFC-236fa | 98% | 7% | 10% | 31% |
| HFC-245fa | 81% | 3% | −4% | 1592% |
| HFC-365mfc | −17% | 144% | 43% | 470% |
| Substance | CAS | Exposure Limits (ppm) a | LC50 (ppm/4H) b | Gwp 100-Year | References |
|---|---|---|---|---|---|
| PFC-14 | 75−73−0 | / c | 895,000 d | 6630 | [28,66] |
| PFC-116 | 76−16−4 | / c | 40,000 | 6630 | [28,66] |
| PFC-218 | 116−15−4 | / c | / | 8900 | [28,66] |
| PFC-318 | 76−19−7 | / c | 81 | 9540 | [66] |
| PFC-31-10 | 354−92−7 | / c | / | 9200 | [66] |
| PFC-51-14 | 354−96−1 | / c | / | 7910 | [66] |
| SF6 | 2551−62−4 | 1000 | >500,000 | 22,800 | [66,69] |
| NF3 | 7783–54–2 | 1000 | / c | 17,400 | [67] |
| HFC-23 | 75–46–7 | 1000 | 663,000 | 14,600 | [26] |
| HFC-32 | 75–10–5 | 1000 | 520,000 | 771 | [29] |
| HFC-125 | 354–33–6 | 1000 | 800,000 | 3740 | [29] |
| HFC-134a | 811–97–2 | 1000 | 500,000 | 1530 | [29] |
| HFC-143a | 420–46–2 | 1000 | 540,000 | 5810 | [29] |
| HFC-152a | 75–37–6 | 1000 | 383,000 | 124 | [29] |
| HFC-227ea | 431–89–0 | 1000 | 789,000 | 3600 | [26] |
| HFC-236fa | 690–39–1 | 1000 | 457,000 | 8690 | [26] |
| HFC-245fa | 460–73–1 | 300 | 200,000 | 962 | [29] |
| HFC-365mfc | 406–58–6 | 1000 | 100,000 | 914 | [26] |
Disclaimer/Publisher’s Note: The statements, opinions and data contained in all publications are solely those of the individual author(s) and contributor(s) and not of MDPI and/or the editor(s). MDPI and/or the editor(s) disclaim responsibility for any injury to people or property resulting from any ideas, methods, instructions or products referred to in the content. |
© 2023 by the authors. Licensee MDPI, Basel, Switzerland. This article is an open access article distributed under the terms and conditions of the Creative Commons Attribution (CC BY) license (https://creativecommons.org/licenses/by/4.0/).
Share and Cite
Ma, T.; Wu, J.; Hu, D.; Ye, T.; Li, M.; Wang, T.; Zhang, Y.; Yuan, M. Atmospheric Observation of Fluorinated Greenhouse Gases around Four Chemical Plants in China. Atmosphere 2023, 14, 817. https://doi.org/10.3390/atmos14050817
Ma T, Wu J, Hu D, Ye T, Li M, Wang T, Zhang Y, Yuan M. Atmospheric Observation of Fluorinated Greenhouse Gases around Four Chemical Plants in China. Atmosphere. 2023; 14(5):817. https://doi.org/10.3390/atmos14050817
Chicago/Turabian StyleMa, Tengfei, Jing Wu, Dongmei Hu, Tong Ye, Mingzhu Li, Tong Wang, Yueling Zhang, and Mao Yuan. 2023. "Atmospheric Observation of Fluorinated Greenhouse Gases around Four Chemical Plants in China" Atmosphere 14, no. 5: 817. https://doi.org/10.3390/atmos14050817
APA StyleMa, T., Wu, J., Hu, D., Ye, T., Li, M., Wang, T., Zhang, Y., & Yuan, M. (2023). Atmospheric Observation of Fluorinated Greenhouse Gases around Four Chemical Plants in China. Atmosphere, 14(5), 817. https://doi.org/10.3390/atmos14050817

