Semiempirical Models of Speedup Effect for Downburst Wind Field over 3-D Hills
Abstract
1. Introduction
2. Numerical Simulations
2.1. Flowchart for Numerical Simulations
2.2. RANS Models
2.3. Computational Settings
2.4. Verification of Numerical Simulations
2.5. Arrangement of Different Hill Models
3. Semiempirical Model of Speedup Effect for Downburst over the Hill
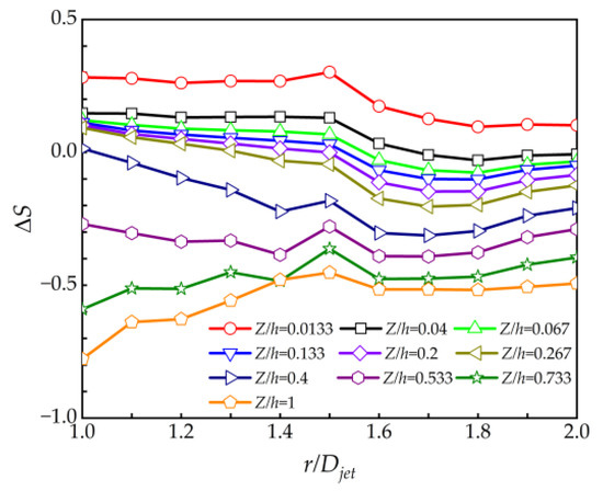
3.1. Modeling Based on the Radial Position of the Hill
3.2. Modeling Based on the Hill Slopes
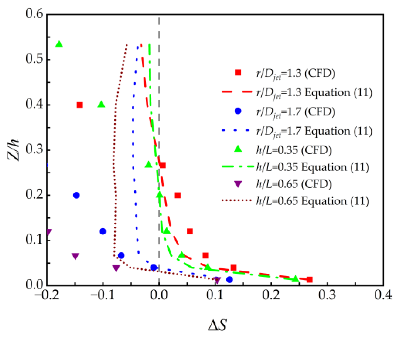
3.3. Modeling Based on the Height of the Hill above the Ground
3.4. Verification of the Semiempirical Model
4. Conclusions
- By comparing the numerical simulation results for the wind field over the hill from three turbulence models with the average experimental wind speed, it was found that the accuracy of the REA k-ε model in the RANS model was higher than that of the other models.
- When using the same hill model at various radial locations, the maximum speedup ratio is observed at the windward side, typically occurring between 0.7h to 0.9h. The distribution of speedup ratios at each radial location has the same trend. The values of speedup ratios distributed along the hill model at each radial location can be obtained when the hilltop speedup ratio at each location can be predicted. The speedup ratio model of hilly terrain was validated for different radial distances, and the results showed that the model has high accuracy.
- By changing different slopes, the model of speedup ratio distributed along the hill model was constructed. The trend of the speedup ratio distribution on the windward side was consistent, while on the leeward side it showed a linear decay. The model’s accuracy was confirmed through further validation, demonstrating its capability for predicting the speedup ratio on the windward side of the hill. Numerical simulations showed good agreement with the model, and the conservative prediction of the speedup ratio near the hilltop was confirmed. However, further improvement is necessary to consider the deceleration effect on the leeward side of the hill.
- The speedup ratio near the ground at the hilltop can be obtained from the above study. To establish a complete model, the distribution of the speedup ratio along the height of the hill is considered. Through this study, it was found that the speedup effect typically occurs at heights of 0.5h or greater. As a result, the model focuses on this range for predicting speedup ratios. Further validation along the height direction confirms the model’s accuracy in predicting speedup ratios at locations near the ground.
Author Contributions
Funding
Data Availability Statement
Conflicts of Interest
References
- Fujita, T.T. Tornadoes and downbursts in the context of generalized planetary scales. J. Atmos. Sci. 1981, 38, 1511–1534. [Google Scholar] [CrossRef]
- Elawady, A.; Aboshosha, H.; El Damatty, A.; Bitsuamlak, G.; Hangan, H.; Elatar, A. Aero-elastic testing of multi-spanned transmission line subjected to downbursts. J. Wind Eng. Ind. Aerodyn. 2017, 169, 194–216. [Google Scholar] [CrossRef]
- Holmes, J.D.; Hangan, H.M.; Schroeder, J.L.; Letchford, C.W.; Orwig, K.D. A forensic study of the Lubbock-Reese downdraft of 2002. Wind Struct. 2008, 11, 137–152. [Google Scholar] [CrossRef]
- Solari, G.; De Gaetano, P.; Repetto, M.P. Thunderstorm response spectrum: Fundamentals and case study. J. Wind Eng. Ind. Aerodyn. 2015, 143, 62–77. [Google Scholar] [CrossRef]
- Ministry of Housing and Urban-Rural Development of the People’s Republic of China. Load Code for the Design of Building Structures; China Architecture & Building Press: Beijing, China, 2012. [Google Scholar]
- Homar, V.; Gaya, M.; Romero, R.; Ramis, C.; Alonso, S. Tornadoes over complex terrain: An analysis of the 28th August 1999 tornadic event in eastern Spain. Atmos. Res. 2003, 67, 301–317. [Google Scholar] [CrossRef]
- Wang, Q.; Luo, K.; Wu, C.; Mu, Y.; Tan, J.; Fan, J. Diurnal impact of atmospheric stability on inter-farm wake and power generation efficiency at neighboring onshore wind farms in complex terrain. Energy Convers. Manag. 2022, 267, 115897. [Google Scholar] [CrossRef]
- Wang, Q.; Luo, K.; Wu, C.; Zhu, Z.; Fan, J. Mesoscale simulations of a real onshore wind power base in complex terrain: Wind farm wake behavior and power production. Energy 2022, 241, 122873. [Google Scholar] [CrossRef]
- Wang, Q.; Luo, K.; Yuan, R.; Zhang, S.; Fan, J. Wake and performance interference between adjacent wind farms: Case study of Xinjiang in China by means of mesoscale simulations. Energy 2019, 166, 1168–1180. [Google Scholar] [CrossRef]
- Selvam, R.P.; Holmes, J.D. Numerical simulation of thunderstorm downdrafts. J. Wind Eng. Ind. Aerodyn. 1992, 44, 2817–2825. [Google Scholar] [CrossRef]
- Letchford, C.W.; Illidge, G.C. Turbulence and Topographic Effects in Simulated Thunderstorm Downdrafts by Wind Tunnel Jet; Wind Engineering into the 21th Century: Copenhagan, Denmark, 1999; pp. 1907–1912. [Google Scholar]
- Mason, M.S.; Wood, G.S.; Fletcher, D.F. Impinging jet simulation of stationary downburst flow over topography. Wind Struct. 2007, 10, 437–462. [Google Scholar] [CrossRef]
- Abd-Elaal, E.S.; Mills, J.E.; Ma, X. Numerical simulation of downburst wind flow over real topography. J. Wind Eng. Ind. Aerodyn. 2018, 172, 85–95. [Google Scholar] [CrossRef]
- Huang, G.Q.; Jiang, Y.; Peng, L.L.; Solari, G.; Liao, H.L.; Li, M.S. Characteristics of intense winds in mountain area based on field measurement: Focusing on thunderstorm winds. J. Wind Eng. Ind. Aerodyn. 2019, 190, 166–182. [Google Scholar] [CrossRef]
- Burlando, M.; Romanić, D.; Solari, G.; Hangan, H.; Zhang, S. Field data analysis and weather scenario of a downburst event in Livorno, Italy, on 1 October 2012. Mon. Weather Rev. 2017, 145, 3507–3527. [Google Scholar] [CrossRef]
- Canepa, F.; Burlando, M.; Solari, G. Vertical profile characteristics of thunderstorm outflows. J. Wind Eng. Ind. Aerodyn. 2020, 206, 104332. [Google Scholar] [CrossRef]
- Jackson, P.S.; Hunt, J. Turbulent wind flow over a low hill. Q. J. R. Meteorol. Soc. 1975, 101, 929–955. [Google Scholar] [CrossRef]
- Taylor, P.A. Turbulent boundary-layer flow over low and moderate slope hills. J. Wind Eng. Ind. Aerodyn. 1998, 74, 25–47. [Google Scholar] [CrossRef]
- Weng, W.; Taylor, P.A.; Walmsley, J.L. Guidelines for airflow over complex terrain: Model developments. J. Wind Eng. Ind. Aerodyn. 2000, 86, 169–186. [Google Scholar] [CrossRef]
- Oseguera, R.M.; Bowles, R.L. A Simple, Analytical 3-Dimentional Downburst Model Based on Boundary Layer Stagnation Flow; No. NASA-TM-100632; NASA: Hampton, VA, USA, 1988. [Google Scholar]
- Vicroy, D.D. Assessment of microburst models for downdraft estimation. J. Aircr. 1992, 29, 1781–1787. [Google Scholar] [CrossRef]
- Holmes, J.D.; Oliver, S.E. An empirical model of a downburst. Eng. Struct. 2000, 22, 1167–1172. [Google Scholar] [CrossRef]
- Li, C.; Li, Q.S.; Xiao, Y.Q.; Ou, J.P. A revised empirical model and CFD simulations for 3D axisymmetric steady-state flows of downbursts and impinging jets. J. Wind. Eng. Ind. Aerodyn. 2012, 102, 48–60. [Google Scholar] [CrossRef]
- Hjelmfelt, M.R. Structure and Life Cycle of Microburst Outflows Observed in Colorado. J. Appl. Meteorol. 1988, 27, 900–927. [Google Scholar] [CrossRef]
- Boussinesq, J. Essai sur la théorie des eaux courantes; Imprimerie Nationale: Paris, France, 1877. [Google Scholar]
- Yakhot, V.; Orszag, S.A. Renormalization group analysis of turbulence. I. Basic theory. J. Sci. Comput. 1986, 1, 3–51. [Google Scholar] [CrossRef]
- Tsan-Hsing, S.; William, W.L.; Aamir, S. A new k-ε eddy viscosity model for high Reynolds number turbulent flows: Model development and validation. Comput. Fluids 1995, 24, 30. [Google Scholar]
- Menter, F.R. Two-equation eddy-viscosity turbulence models for engineering applications. AIAA J. 1994, 32, 1598–1605. [Google Scholar] [CrossRef]
- Kari, E.; Kratzer, S.; Beltrán-Abaunza, J.M.; Harvey, E.T.; Vaičiūtė, D. Retrieval of suspended particulate matter from turbidity–model development, validation, and application to MERIS data over the Baltic Sea. Int. J. Remote Sens. 2017, 38, 1983–2003. [Google Scholar] [CrossRef]




















| Error | Realizable k-ε | SST k-ω | RNG k-ε |
|---|---|---|---|
| 10% | 57.14% | 38.57% | 40% |
| 20% | 75.71% | 54.29% | 70% |
| 30% | 85.71% | 71.43% | 81.43% |
| MNB | 2.04% | 2.95% | 5.94% |
| Model Number | h (mm) | L (mm) | (Slope) |
|---|---|---|---|
| Quad-L500-H075 | 75 | 500 | 0.15 (8.53°) |
| Quad-L375-H075 | 75 | 375 | 0.2 (11.3°) |
| Quad-L225-H075 | 75 | 225 | 0.3 (16.7°) |
| Quad-L187-H075 | 75 | 187.5 | 0.4 (26.6°) |
| Quad-L150-H075 | 75 | 150 | 0.5 (8.53°) |
| Quad-L125-H075 | 75 | 125 | 0.6 (31°) |
| Quad-L107-H075 | 75 | 107.5 | 0.7 (35°) |
| Quad-L088-H075 | 75 | 88 | 0.85 (40.36°) |
| 1.3 Djet | 1.7 Djet | |||
|---|---|---|---|---|
| Hilltop | Maximum | Hilltop | Maximum | |
| CFD | 0.2684 | 0.3498 | 0.1259 | 0.2433 |
| Model Prediction | 0.2625 | 0.3313 | 0.1290 | 0.1905 |
| 0.35 | 0.65 | |||
|---|---|---|---|---|
| Hilltop | Maximum | Hilltop | Maximum | |
| CFD | 0.2427 | 0.3184 | 0.1036 | 0.2628 |
| Model Prediction | 0.2232 | 0.3015 | 0.1353 | 0.1972 |
Disclaimer/Publisher’s Note: The statements, opinions and data contained in all publications are solely those of the individual author(s) and contributor(s) and not of MDPI and/or the editor(s). MDPI and/or the editor(s) disclaim responsibility for any injury to people or property resulting from any ideas, methods, instructions or products referred to in the content. |
© 2023 by the authors. Licensee MDPI, Basel, Switzerland. This article is an open access article distributed under the terms and conditions of the Creative Commons Attribution (CC BY) license (https://creativecommons.org/licenses/by/4.0/).
Share and Cite
Yan, B.; He, Y.; Ma, C.; Cheng, X. Semiempirical Models of Speedup Effect for Downburst Wind Field over 3-D Hills. Atmosphere 2023, 14, 694. https://doi.org/10.3390/atmos14040694
Yan B, He Y, Ma C, Cheng X. Semiempirical Models of Speedup Effect for Downburst Wind Field over 3-D Hills. Atmosphere. 2023; 14(4):694. https://doi.org/10.3390/atmos14040694
Chicago/Turabian StyleYan, Bowen, Yini He, Chenyan Ma, and Xu Cheng. 2023. "Semiempirical Models of Speedup Effect for Downburst Wind Field over 3-D Hills" Atmosphere 14, no. 4: 694. https://doi.org/10.3390/atmos14040694
APA StyleYan, B., He, Y., Ma, C., & Cheng, X. (2023). Semiempirical Models of Speedup Effect for Downburst Wind Field over 3-D Hills. Atmosphere, 14(4), 694. https://doi.org/10.3390/atmos14040694

