Assessment of Natural Radioactivity and Radon Exhalation in Peruvian Gold Mine Tailings to Produce a Geopolymer Cement
Abstract
1. Introduction
2. Materials and Methods
2.1. Sample Collection and Preparation
2.2. Gamma Spectrometry Analysis
2.3. Radon Exhalation Rate Measurement
2.4. Evaluation of Activity Indexes and Radiological Hazard Parameters
2.4.1. Gamma Index (Iγ)
2.4.2. Alpha Index (Iα)
2.4.3. External Hazard Index (Hex)
2.4.4. Radium Equivalent Activity (Raeq)
3. Results and Discussion
3.1. Granulometric and Mineralogical Analysis
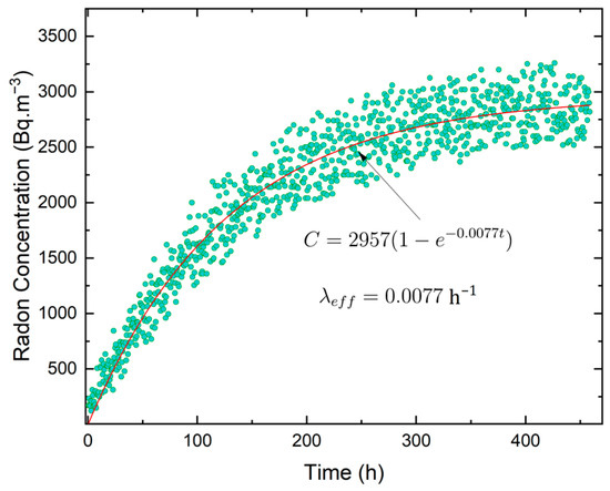
3.2. Assesment of Radon Leakage from the Stainless-Steel Accumulation Chamber
3.3. Activity Concentrations of 226Ra, 232Th, and 40K
3.4. Radon Mass Exhalation Rate
3.5. Activity Indexes and Radiological Hazard Parameters
4. Conclusions
Author Contributions
Funding
Institutional Review Board Statement
Informed Consent Statement
Data Availability Statement
Acknowledgments
Conflicts of Interest
References
- Gayana, B.C.; Chandar, K.R. Sustainable Use of Mine Waste and Tailings with Suitable Admixture as Aggregates in Concrete Pavements—A Review. Adv. Concr. Constr. 2018, 6, 221–243. [Google Scholar] [CrossRef]
- Onuaguluchi, O.; Eren, O. Rheology, strength and durability properties of mortars containing copper tailings as a cement re-placement material. Eur. J. Environ. Civ. Eng. 2013, 17, 19–31. [Google Scholar] [CrossRef]
- Qaidi, S.M.A.; Tayeh, B.A.; Zeyad, A.M.; Azevedo, A.R.G.; Ahmed, H.U.; Emad, W. Recycling of mine tailings for the geopolymers production: A systematic review. Case Stud. Constr. Mater. 2022, 16, e00933. [Google Scholar] [CrossRef]
- Phillip, E.; Choo, T.F.; Khairuddin, N.W.A.; Abdel Rahman, R.O. On the Sustainable Utilization of Geopolymers for Safe Management of Radioactive Waste: A Review. Sustainability 2023, 15, 1117. [Google Scholar] [CrossRef]
- Kamunda, C.; Mathuthu, M.; Madhuku, M. An assessment of radiological hazards from gold mine tailings in the province of Gauteng in South Africa. Int. J. Environ. Res. Public Health 2016, 13, 138. [Google Scholar] [CrossRef]
- Rabuku, A.T.; Malik, A.Q. Natural radioactivity measurement of gold mine tailings in Vatukoula, Fiji Islands. Renew. Energy Environ. Sustain. 2020, 5, 10. [Google Scholar] [CrossRef]
- Ahmari, S.; Zhang, L. Production of eco-friendly bricks from copper mine tailing through geopolimerization. Constr. Build. Mater. 2012, 29, 323–331. [Google Scholar] [CrossRef]
- Nikvar-Hassani, A.; Vashaghian, H.; Hodges, R.; Zhang, L. Production of green bricks from low-reactive copper mine tailings: Chemical and mechanical aspects. Constr. Build. Mater. 2022, 324, 126695. [Google Scholar] [CrossRef]
- Wang, W.; Gan, Y.; Kang, X. Synthesis and characterization of sustainable eco-friendly unburned bricks from slate tailings. J. Mater. Res. Technol. 2021, 14, 1697–1708. [Google Scholar] [CrossRef]
- Wei, Z.; Zhao, J.; Wang, W.; Yang, Y.; Zhuang, S.; Lu, T.; Hou, Z. Utilizing gold mine tailings to produce sintered bricks. Constr. Build. Mater. 2021, 282, 122655. [Google Scholar] [CrossRef]
- Roy, S.; Adhikari, G.R. Use of gold mill tailings in making bricks: A feasibility study. Waste Manag. Res. 2007, 25, 475–482. [Google Scholar] [CrossRef] [PubMed]
- Valdez, J.; Aguilar, J.; Sanchez, L. Diseño e implementación de un proceso alternativo para la fabricación de ladrillos a partir de relaves mineros de Oro. Ingeniare. Rev. Chil. Ing. 2020, 28, 268–276. [Google Scholar] [CrossRef]
- Li, R.; Zhou, Y.; Li, C.; Li, S.; Huang, Z. Recycling of industrial waste iron tailings in porous bricks with low thermal conductivity. Constr. Build. Mater. 2019, 213, 43–50. [Google Scholar] [CrossRef]
- Zhang, N.; Tang, B.; Liu, X. Cementitious activity of iron ore tailing and its utilization in cementitious materials, bricks and concrete. Constr. Build. Mater. 2021, 288, 123022. [Google Scholar] [CrossRef]
- Kuranchie, F.A.; Shukla, S.K.; Habibi, D. Utilisation of iron ore mine tailings for the production of geopolymer bricks. Int. J. Min. Reclam. Environ. 2016, 30, 92–114. [Google Scholar] [CrossRef]
- Thejas, H.K.; Hossiney, N. A short review on environmental impacts and application of iron ore tailings in development of sustainable eco-friendly bricks. Mater. Today Proc. 2022, 61, 327–331. [Google Scholar] [CrossRef]
- Sajedi, F.; Razak, H.A. Hamidreza Nejati, Utilization of copper mine tailings as a partial substitute for cement in concrete construction. Constr. Build. Mater. 2022, 317, 125921. [Google Scholar] [CrossRef]
- Feng, R.; Qi, L. Geopolymerization and its potential application in mine tailings consolidation: A review. Miner. Process. Extr. Metall. Rev. 2015, 36, 399–409. [Google Scholar] [CrossRef]
- Zhao, S.; Fan, J.; Sun, W. Utilization of iron ore tailings as fine aggregate in ultrahigh performance concrete. Constr. Build. Mater. 2014, 50, 540–548. [Google Scholar] [CrossRef]
- Yen, C.-L.; Tseng, D.-H.; Lin, T.-T. Characterization of eco-cement paste produced from waste sludges. Chemosphere 2011, 84, 220–226. [Google Scholar] [CrossRef]
- Paiva, I.; Marques, R.; Santos, M.; Reis, M.; Prudêncio, M.I.; Waerenborgh, J.C.; Pinto, R. Naturally occurring radioactive material and risk assessment of tailings of polymetallic and Ra/U mines from legacy sites. Chemosphere 2019, 223, 171–179. [Google Scholar] [CrossRef]
- Araujo, F.S.; Taborda-Llano, I.; Nunes, E.B.; Santos, R.M. Recycling and reuse of mine tailings: A review of advancements and their implications. Geosciences 2022, 12, 319. [Google Scholar] [CrossRef]
- Xu, D.M.; Zhan, C.L.; Liu, H.X.; Lin, H.Z. A critical review on environmental implications, recycling strategies, and ecological remediation for mine tailings. Env. Sci. Pollut. Res. 2019, 26, 35657–35669. [Google Scholar] [CrossRef]
- Garcia-Troncoso, N.; Baykara, H.; Cornejo, M.H.; Riofrio, A.; Tinoco-Hidalgo, M.; Flores-Rada, J. Comparative mechanical properties of conventional concrete mixture and concrete incorporating mining tailings sands. Case Stud. Constr. Mater. 2022, 16, e01031. [Google Scholar] [CrossRef]
- Kinnunen, P.; Karhu, M.; Yli-Rantala, E.; Kivikytö-Reponen, P.; Mäkinen, J. A review of circular economy strategies for mine tailings. Clean. Eng. Technol. 2022, 8, 100499. [Google Scholar] [CrossRef]
- ICRP. Lung Cancer Risk from Exposures to Radon Daughters; ICRP Publication: London, UK, 1987. [Google Scholar]
- Ishimori, Y.; Lange, K.; Martin, P.; Mayya, Y.S.; Phaneuf, M. Measurement and Calculation of Radon Releases from NORM Residues; U.S. Department of Energy Office of Scientific and Technical Information: Washington, DC, USA, 2013.
- Nazaroff, W.W.; Nero, A.V. Radon and Its Decay Products in Indoor Air; U.S. Department of Energy Office of Scientific and Technical Information: Washington, DC, USA, 1988.
- Morawska, L.; Phillips, C.R. Dependence of the radon emanation coefficient on radium distribution and internal structure of the material. Geochim. Cosmochim. Acta 1993, 57, 1783–1797. [Google Scholar] [CrossRef]
- Bala, P.; Kumar, V.; Mehra, R. Measurement of radon exhalation rate in various building materials and soil samples. J. Earth Syst. Sci. 2017, 126, 31. [Google Scholar] [CrossRef]
- Kobeissi, M.A.; El-Samad, O.; Rachidi, I. Health assessment of natural radioactivity and radon exhalation rate in granites used as building materials in Lebanon. Radiat. Prot. Dosim. 2013, 153, 342–351. [Google Scholar] [CrossRef] [PubMed]
- Bavarnegin, E.; Fathabadi, N.; Moghaddam, M.V.; Farahani, M.V.; Moradi, M.; Babakhni, A. Radon exhalation rate and natural radionuclide content in building materials of high background areas of Ramsar, Iran. J. Environ. Radioact. 2013, 117, 36–40. [Google Scholar] [CrossRef] [PubMed]
- Turhan, Ş.; Gündüz, L. Determination of specific activity of 226Ra, 232Th and 40K for assessment of radiation hazards from Turkish pumice samples. J. Environ. Radioact. 2008, 99, 332–342. [Google Scholar] [CrossRef]
- Cook, E.M.; DuMont, D. Process Drying Practice; McGraw-Hill: New York, NY, USA, 1991. [Google Scholar]
- ASTM C 136—01; Standard Test Method for Sieve Analysis of Fine and Coarse Aggregates. ASTM International: West Conshohocken, PA, USA, 2020.
- Vidmar, T.; Vodenik, B. Extended relative method of activity determination. Appl. Radiat. Isot. 2010, 68, 2421–2424. [Google Scholar] [CrossRef]
- Lépy, M.C.; Bé, M.M.; Piton, F. ETNA (Efficiency Transfer for Nuclide activity measurement): Software for efficiency transfer and coincidence summing corrections in gamma-ray spectrometry. Note Tech. LNHB 2004, 1, 1–48. [Google Scholar]
- Gilmore, G. Practical Gamma-Ray Spectroscopy; John Wiley & Sons: Hoboken, NJ, USA, 2008. [Google Scholar]
- Tuccimei, P.; Castelluccio, M.; Soligo, M.; Moroni, M. Radon exhalation rates of building materials: Experimental, analytical protocol and classification criteria. In Building Materials; Nova Science Publishers: Hauppauge, NY, USA, 2009; pp. 259–274. [Google Scholar]
- Stajic, J.M.; Nikezic, D. "Measurement of radon exhalation rates from some building materials used in Serbian construction. J. Radioanal. Nucl. Chem. 2015, 303, 1943–1947. [Google Scholar] [CrossRef]
- Kovler, K.; Perevalov, A.; Steiner, V.; Metzger, L.A. Radon exhalation of cementitious materials made with coal fly ash: Part 1—Scientific background and testing of the cement and fly ash emanation. J. Environ. Radioact. 2005, 82, 321–334. [Google Scholar] [CrossRef]
- Lehmann, B.E.; Ihly, B.; Salzmann, S.; Conen, F.; Simon, E. An automatic static chamber for continuous 220Rn and 222Rn flux measurements from soil. Radiat. Meas. 2004, 38, 43–50. [Google Scholar] [CrossRef]
- Tan, Y.; Xiao, D.; Yuan, H.; Tang, Q.; Liu, X. Revision for measuring radon exhalation rate in open loop. J. Instrum. 2013, 8, T01004. [Google Scholar] [CrossRef]
- Gutiérrez-Álvarez, I.; Martín, J.E.; Adame, J.A.; Grossi, C.; Vargas, A.; Bolívar, J.P. Applicability of the closed-circuit ac-cumulation chamber technique to measure radon surface exhalation rate under laboratory conditions. Radiat. Meas. 2020, 133, 106284. [Google Scholar] [CrossRef]
- López-Coto, I.; Mas, J.L.; Bolivar, J.P.; García-Tenorio, R. A short-time method to measure the radon potential of porous materials. Appl. Radiat. Isot. 2009, 67, 133–138. [Google Scholar] [CrossRef] [PubMed]
- Cosma, C.; Cucoş-Dinu, A.; Papp, B.; Begy, R.; Sainz, C. Soil and building material as main sources of indoor radon in Băiţa-Ştei radon prone area (Romania). J. Environ. Radioact. 2013, 116, 174–179. [Google Scholar] [CrossRef] [PubMed]
- European Commission. Radiological Protection Principles Concerning the Natural Radioactivity of Building Materials. In Radiation Protection 112; Directorate General Environment, Nuclear Safety and Civil Protection: Luxembourg, 1999. [Google Scholar]
- Council Directive 2013/59/Euratom of 5 December 2013 Laying down Basic Safety Standards for Protection against the Dangers Arising from Exposure to Ionising Radiation, and Repealing Directives 89/618/Euratom, 90/641/Euratom, 96/29/Euratom, 97/43/Euratom and 2003/122/Euratom. Off. J. L 2014, 13, 1–73. Available online: https://eur-lex.europa.eu/eli/dir/2013/59/oj (accessed on 15 January 2023).
- Papadopoulos, A.; Christofides, G.; Koroneos, A.; Papadopoulou, L.; Papastefanou, C.; Stoulos, S. Natural radioactivity and radiation index of the major plutonic bodies in Greece. J. Environ. Radioact. 2013, 124, 227–238. [Google Scholar] [CrossRef]
- Bochicchio, F. Protection from radon exposure at home and at work in the directive 2013/59/Euratom. Radiat. Prot. Dosim. 2014, 160, 8–13. [Google Scholar] [CrossRef] [PubMed]
- Beretka, J.; Mathew, P.J. Natural radioactivity of Australian building materials, industrial wastes and by-products. Health Phys. 1985, 48, 87–95. [Google Scholar] [CrossRef]
- Raghu, Y.; Ravisankar, R.; Chandrasekaran, A.; Vijayagopal, P.; Venkatraman, B. Assessment of natural radioactivity and radiological hazards in building materials used in the Tiruvannamalai District, Tamilnadu, India, using a statistical approach. J. Taibah Univ. Sci. 2017, 11, 523–533. [Google Scholar] [CrossRef]
- Gutiérrez-Álvarez, I.; Guerrero, J.L.; Martín, J.E.; Adame, J.A.; Bolívar, J.P. Influence of the accumulation chamber insertion depth to measure surface radon exhalation rates. J. Hazard. Mater. 2020, 393, 122344. [Google Scholar] [CrossRef] [PubMed]
- Rábago, D.; Quindós, L.; Vargas, A.; Sainz, C.; Radulescu, I.; Ioan, M.R.; Grossi, C. Intercomparison of radon flux monitors at low and at high radium content areas under field conditions. Int. J. Environ. Res. Public Health 2022, 19, 4213. [Google Scholar] [CrossRef] [PubMed]
- UNSCEAR. Sources and Effects of Ionizing Radiation; United Nation Scientific Committee on the Effect of Atomic Radiation, United Nation: New York, NY, USA, 2000. [Google Scholar]



| Samples | Grain Size (µm) |
|---|---|
| REL-1 | (10–50) |
| REL-2 | (78–135) |
| REL-3 | (25–134) |
| REL-4 | (27–125) |
| REL-5 | (134–192) |
| Samples | REL-1 | REL-2 | REL-3 | REL-4 | REL-5 |
|---|---|---|---|---|---|
| Quartz | 74.5 | 79.4 | 21.5 | 29.6 | 81.0 |
| Pyrite | 8.0 | 2.0 | 16.3 | 14.9 | 2.7 |
| Muscovite | 0.9 | 1.5 | 11.2 | 11.6 | 1.5 |
| Kaolinite | 0.8 | 1.1 | 9.9 | 9.2 | 1.0 |
| Others | 15.8 | 16.0 | 41.1 | 34.7 | 13.8 |
| Samples | Activity Concentrations in Bq kg−1 | ||
|---|---|---|---|
| CK40 (Bq kg−1) | CRa226 (Bq kg−1) | CTh232 (Bq kg−1) | |
| REL-1 REL-2 | 183 ± 9 229 ± 11 | BDL BDL | BDL BDL |
| REL-3 REL-4 | 461 ± 22 771 ± 37 | 9.1 ± 1.4 15.4 ± 2.4 | 5.5 ± 2.2 8.9 ± 3.6 |
| REL-5 | 752 ± 36 | 9.9 ± 0.5 | 11.9 ± 1.2 |
| Samples | m + ∆m [Bq m−3 h−1] | ER + ∆ER [mBq kg−1 h−1] |
|---|---|---|
| REL-1 | 0.97 ± 0.07 | 4.40 ± 0.39 |
| REL-2 | 0.98 ± 0.07 | 2.80 ± 0.34 |
| REL-3 | 1.02 ± 0.07 | 5.90 ± 0.53 |
| REL-4 | 1.11 ± 0.08 | 7.20 ± 0.65 |
| REL-5 | 1.04 ± 0.07 | 6.30 ± 0.55 |
| Sample | Iγ | Iα | Hex | Raeq |
|---|---|---|---|---|
| REL-1 | 0.08 | 0.02 | 0.05 | 19.93 |
| REL-2 | 0.10 | 0.02 | 0.06 | 23.52 |
| REL-3 | 0.21 | 0.05 | 0.14 | 52.42 |
| REL-4 | 0.35 | 0.08 | 0.24 | 87.48 |
| REL-5 | 0.34 | 0.05 | 0.23 | 84.85 |
Disclaimer/Publisher’s Note: The statements, opinions and data contained in all publications are solely those of the individual author(s) and contributor(s) and not of MDPI and/or the editor(s). MDPI and/or the editor(s) disclaim responsibility for any injury to people or property resulting from any ideas, methods, instructions or products referred to in the content. |
© 2023 by the authors. Licensee MDPI, Basel, Switzerland. This article is an open access article distributed under the terms and conditions of the Creative Commons Attribution (CC BY) license (https://creativecommons.org/licenses/by/4.0/).
Share and Cite
Liza, R.; Pereyra, P.; Rau, J.; Guzman, M.; Sajo-Bohus, L.; Palacios, D. Assessment of Natural Radioactivity and Radon Exhalation in Peruvian Gold Mine Tailings to Produce a Geopolymer Cement. Atmosphere 2023, 14, 588. https://doi.org/10.3390/atmos14030588
Liza R, Pereyra P, Rau J, Guzman M, Sajo-Bohus L, Palacios D. Assessment of Natural Radioactivity and Radon Exhalation in Peruvian Gold Mine Tailings to Produce a Geopolymer Cement. Atmosphere. 2023; 14(3):588. https://doi.org/10.3390/atmos14030588
Chicago/Turabian StyleLiza, Rafael, Patrizia Pereyra, Jose Rau, Maribel Guzman, Laszlo Sajo-Bohus, and Daniel Palacios. 2023. "Assessment of Natural Radioactivity and Radon Exhalation in Peruvian Gold Mine Tailings to Produce a Geopolymer Cement" Atmosphere 14, no. 3: 588. https://doi.org/10.3390/atmos14030588
APA StyleLiza, R., Pereyra, P., Rau, J., Guzman, M., Sajo-Bohus, L., & Palacios, D. (2023). Assessment of Natural Radioactivity and Radon Exhalation in Peruvian Gold Mine Tailings to Produce a Geopolymer Cement. Atmosphere, 14(3), 588. https://doi.org/10.3390/atmos14030588

