Wind Energy Resources at Antarctic Stations Based on ERA5
Abstract
:1. Introduction
2. Data and Methods
2.1. Data
2.2. Method
3. Monthly Variation Characteristics of Wind Energy Resources
3.1. Wind Power Density
3.2. Effective Wind Speed Occurrence
3.3. Energy Level Occurrence
3.4. Stability
3.5. Wind Rose
4. Interdecadal Variation Characteristics of Wind Energy Resources
4.1. Wind Power Density
4.2. Effective Wind Speed Occurrence
4.3. Energy Level Occurrence
4.4. Stability
5. Discussion
6. Conclusions
Author Contributions
Funding
Institutional Review Board Statement
Informed Consent Statement
Data Availability Statement
Acknowledgments
Conflicts of Interest
References
- Conti, J. In Search of the Zero-Emission Continent. Eng. Technol. 2009, 4, 46–49. [Google Scholar] [CrossRef]
- Lucci, J.; Alegre, M.; Vigna, L. Renewables in Antarctica: An Assessment of Progress to Decarbonize the Energy Matrix of Research Facilities. Antarct. Sci. 2022, 34, 374–388. [Google Scholar] [CrossRef]
- Güğül, G. Site Selection of the Antarctic Research Stations in Aspect of Required Optimum Hybrid Renewable System Capacity. Int. J. Energy Stud. 2023, 8, 215–235. [Google Scholar] [CrossRef]
- Romanova, N.; Romanov, P. Antarctic wind intensification as inferred from the NCEP/NCAR reanalysis data. J. Oceanol. Res. 2020, 48, 96–108. [Google Scholar] [CrossRef] [PubMed]
- Zhang, L.; Dou, Y. Study of Wind-Solar Complementary Power System in Zhongshan Station of Antarctic. IOP Conf. Ser. Mater. Sci. Eng. 2019, 631, 042016. [Google Scholar] [CrossRef]
- Guichard, A.; Magill, P.; Godon, P.; Lyons, D.; Brown, C. Potential for significant wind power generation at Antarctic stations. In Proceedings of the Seventh Symposium on Antarctic and Logistics Operations (SCALOP), Cambridge, UK, 6–7 August 1996. [Google Scholar]
- Henryson, M.; Svensson, M. Renewable Power for the Swedish Antarctic Station Wasa; U.S. Department of Energy Office of Scientific and Technical Information: Oak Ridge, TN, USA, 2023.
- Petrenko, K.; Ivanchenko, І.; Karmazin, O. Prospects for the Use of Wind Energy Resources at the Akademik Vernadsky Station. Ukr. Antarct. J. 2021, 2, 117–126. [Google Scholar] [CrossRef]
- Boccaletti, C.; Felice, P.; Santini, E. Designing Wind Plants for Extreme Ambient Conditions. In Proceedings of the XIX International Conference on Electrical Machines-ICEM 2010, Rome, Italy, 6–8 September 2010. [Google Scholar]
- Dou, Y.; Zuo, G.; Chang, X.; Chen, Y. A Study of a Standalone Renewable Energy System of the Chinese Zhongshan Station in Antarctica. Appl. Sci. 2019, 9, 1968. [Google Scholar] [CrossRef]
- Messmer, T.; Ran, X.; Benifla, V.; Lutz, M.; Adam, F.; Bachynski-Polić, E.; Hölling, M. Overview of the Potential of Floating Wind in Europe Based on Met-Ocean Data Derived from the ERA5-Dataset. J. Phys. Conf. Ser. 2023, 2626, 012021. [Google Scholar] [CrossRef]
- Yu, Y.; Wang, Y.-T.; Yang, R.-P.; Li, C.-X.; Liu, H.-Y.; Wei, D.-J.; Li, W. Wind Climate Analysis in the Yellow Sea and Bohai Sea Based on ERA5 Reanalysis Data. In Environmental Pollution Governance and Ecological Remediation Technology; Springer: Berlin/Heidelberg, Germany, 2023; pp. 65–77. ISBN 978-3-031-25283-9. [Google Scholar]
- McErlich, C.; McDonald, A.; Renwick, J.; Schuddeboom, A. An Assessment of Southern Hemisphere Extratropical Cyclones in ERA5 Using WindSat. J. Geophys. Res. Atmos. 2023, 128. [Google Scholar] [CrossRef]
- Zhai, R.; Huang, C.; Yang, W.; Tang, L.; Zhang, W. Applicability Evaluation of ERA5 Wind and Wave Reanalysis Data in the South China Sea. J. Oceanol. Limnol. 2023, 41, 495–517. [Google Scholar] [CrossRef]
- Cavaiola, M.; Tuju, P.E.; Ferrari, F.; Casciaro, G.; Mazzino, A. Ensemble Machine Learning Greatly Improves ERA5 Skills for Wind Energy Applications. Energy AI 2023, 13, 100269. [Google Scholar] [CrossRef]
- Dai, A. The Diurnal Cycle from Observations and ERA5 in Surface Pressure, Temperature, Humidity, and Winds. Clim. Dyn. 2023, 61, 2965–2990. [Google Scholar] [CrossRef]
- Deng, X.; He, D.; Zhang, G.; Zhu, S.; Dai, R.; Jin, X.; Fu, W.; Shen, W.; Chen, J.; Fan, Y.; et al. Comparison of Horizontal Wind Observed by Wind Profiler Radars with ERA5 Reanalysis Data in Anhui, China. Theor. Appl. Climatol. 2022, 150, 1745–1760. [Google Scholar] [CrossRef]
- Gualtieri, G. Reliability of ERA5 Reanalysis Data for Wind Resource Assessment: A Comparison against Tall Towers. Energies 2021, 14, 4169. [Google Scholar] [CrossRef]
- Jiang, Y.; Han, S.; Shi, C.; Gao, T.; Zhen, H.; Liu, X. Evaluation of HRCLDAS and ERA5 Datasets for Near-Surface Wind over Hainan Island and South China Sea. Atmosphere 2021, 12, 766. [Google Scholar] [CrossRef]
- Çalışır, E.; Soran, M.; Akpinar, A. Quality of the ERA5 and CFSR Winds and Their Contribution to Wave Modelling Performance in a Semi-Closed Sea. J. Oper. Oceanogr. 2021, 16, 106–130. [Google Scholar] [CrossRef]
- Molina, M.O.; Gutiérrez, C.; Sanchez, E. Comparison of ERA5 Surface Wind Speed Climatologies over Europe with Observations from the HadISD Dataset. Int. J. Climatol. 2021, 41, 4864–4878. [Google Scholar] [CrossRef]
- Olauson, J. ERA5: The New Champion of Wind Power Modelling? Renew. Energy 2018, 126, 322–331. [Google Scholar] [CrossRef]
- Herrmannsdörfer, L.; Müller, M.; Shupe, M.; Rostosky, P. Surface Temperature Comparison of the Arctic Winter MOSAiC Observations, ERA5 Reanalysis, and MODIS Satellite Retrieval. Elem. Sci. Anthr. 2023, 11, 1–17. [Google Scholar] [CrossRef]
- Wang, C.; Graham, R.; Wang, K.; Gerland, S.; Granskog, M. Comparison of ERA5 and ERA-Interim near Surface Air Temperature, Snowfall and Precipitation over Arctic Sea Ice: Effects on Sea Ice Thermodynamics and Evolution. Cryosphere 2019, 13, 1661–1679. [Google Scholar] [CrossRef]
- Yu, C.; Li, Z.; Blewitt, G. Global Comparisons of ERA5 and the Operational HRES Tropospheric Delay and Water Vapor Products with GPS and MODIS. Earth Space Sci. 2021, 8, e2020EA001417. [Google Scholar] [CrossRef]
- Kanwal, A.; Tahir, Z.R.; Asim, M.; Hayat, N.; Farooq, M.; Abdullah, M.; Azhar, M. Evaluation of Reanalysis and Analysis Datasets against Measured Wind Data for Wind Resource Assessment. Energy Environ. 2022, 34, 1258–1284. [Google Scholar] [CrossRef]
- Tahir, Z.R.; Abdullah, M.; Ahmad, S.; Kanwal, A.; Farhan, M.; Saeed, U.B.; Ali, T.; Amin, I. An Approach to Assess Offshore Wind Power Potential Using Bathymetry and Near-Hub-Height Reanalysis Data. Ocean. Eng. 2023, 280, 114458. [Google Scholar] [CrossRef]
- Hersbach, H.; Bell, B.; Berrisford, P.; Hirahara, S.; Horányi, A.; Muñoz-Sabater, J.; Nicolas, J.; Peubey, C.; Radu, R.; Schepers, D.; et al. The ERA5 Global Reanalysis. Q. J. R. Meteorol. Soc. 2020, 146, 1999–2049. [Google Scholar] [CrossRef]
- Zheng, C.W. Temporal-spatial characteristics dataset of offshore wind energy resource for the 21st Century Maritime Silk Road. China Sci. Data 2020, 5, 106–119. [Google Scholar]
- Bian, L.; Ma, Y.; Lu, C.; Lu, L. Climate characteristics of precipitation and wind as well pressure and cloud amount at the great wall station (1985–2008) and zhongshan station (1989–2008), Antarctic. Adv. Polar Sci. 2010, 22, 321–333. [Google Scholar] [CrossRef]
- Ma, Q.; Wang, Y.; Zhang, C.; He, Y.; Guo, G. Analysis of the characteristics of temperature, wind, and precipitation changes at the Great Wall Station in Antarctica. J. Shaanxi Meteorol. 2016, 25–28. [Google Scholar]
- Huang, Y.; Xu, C.; Yin, T.; Zhang, H. Analysis of pressure and Windd field at great wall station, Ant-Arctic. Adv. Polar Sci. 2000, 129–136. [Google Scholar]
- Sun, Q.; Zhang, L.; Zhang, Z.; Yang, Q. Numerical Simulation of Summer Katabatic Wind at Zhongshan Station, Antarctica: A Case Study. Acta Oceanologica Sinica. 2016, 38, 71–81. [Google Scholar] [CrossRef]
- Ma, Y.; Bian, L.; Xiao, C.; Allison, I.; Zhou, X. Near Surface Climate of the Traverse Route from Zhongshan Station to Dome A, East Antarctica. Antarct. Sci. 2010, 22, 443–459. [Google Scholar] [CrossRef]

















| Station | Longitude | Latitude |
|---|---|---|
| Great Wall Station | 58°57′52″ W | 62°12′59″ S |
| Zhongshan Station | 76°22′40″ E | 69°22′24″ S |
| Kunlun Station | 77°06′58″ E | 80°25′01″ S |
| Taishan Station | 76°58′00″ E | 73°51′00″ S |
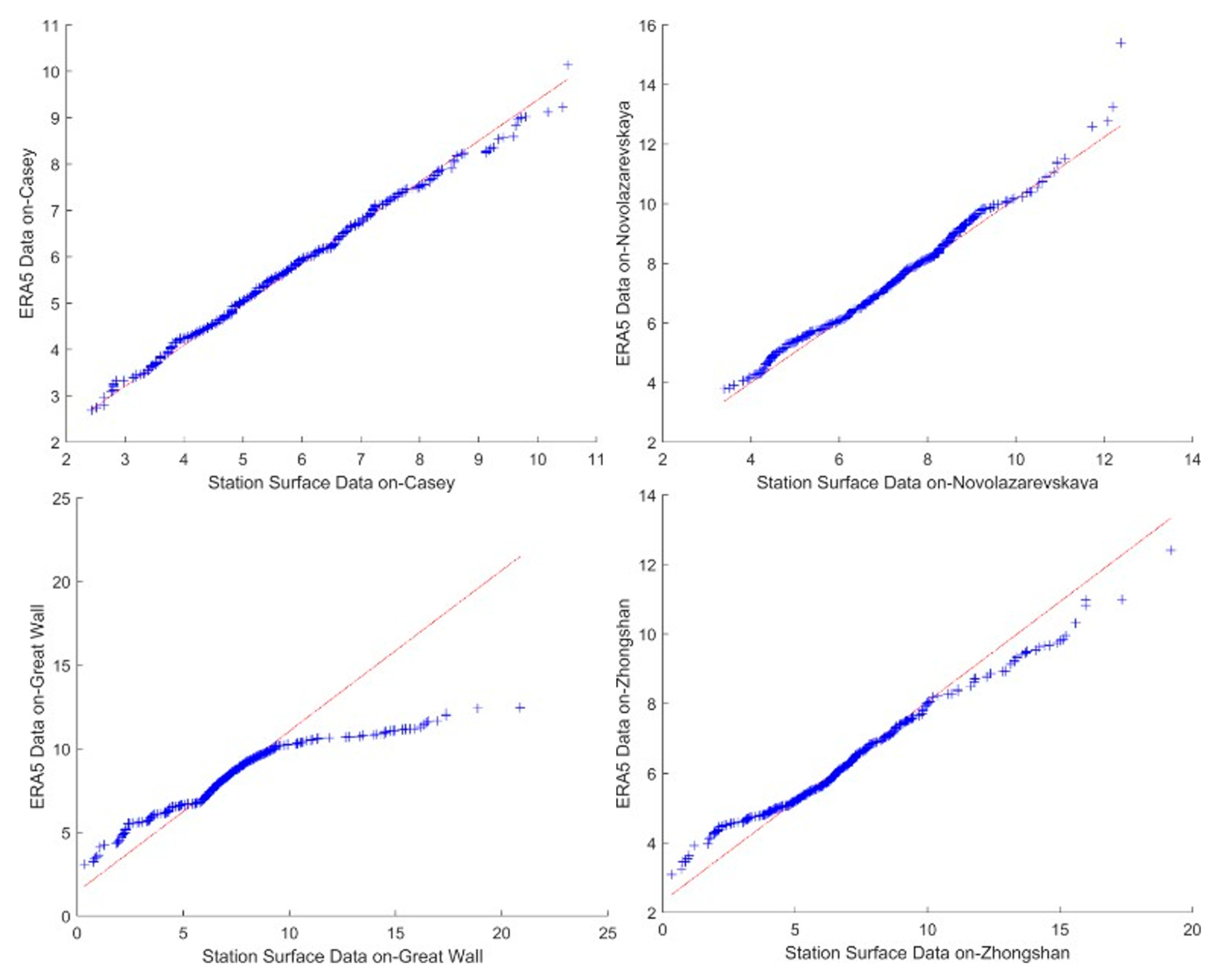
| Station | r | RMSE |
|---|---|---|
| Novolazarevskaya | 0.8721 | 0.8320 |
| Casey | 0.9161 | 0.6371 |
| Great Wall | 0.666 | 2.2856 |
| Zhongshan | 0.7807 | 1.9547 |
| Great Wall Station | Zhongshan Station | Kunlun Station | Taishan Station | |
|---|---|---|---|---|
| ALO | ||||
| Advantage Month | 4–9 | 5–9 | 4–9 | 3–10 |
| Peak frequency | 90% | 70% | 60% | 100% |
| RLO | ||||
| Advantage Month | 4–9 | 6–8 | 4–9 | 3–10 |
| Peak frequency | 80% | 50% | 30% | 90% |
| SLO | ||||
| Advantage Month | 4–9 | 6–8 | 4–9 | 4–9 |
| Peak frequency | 70% | 30% | 10% | 80% |
Disclaimer/Publisher’s Note: The statements, opinions and data contained in all publications are solely those of the individual author(s) and contributor(s) and not of MDPI and/or the editor(s). MDPI and/or the editor(s) disclaim responsibility for any injury to people or property resulting from any ideas, methods, instructions or products referred to in the content. |
© 2023 by the authors. Licensee MDPI, Basel, Switzerland. This article is an open access article distributed under the terms and conditions of the Creative Commons Attribution (CC BY) license (https://creativecommons.org/licenses/by/4.0/).
Share and Cite
Wang, K.; Wu, D.; Wu, J.; Li, S.; Zhao, X.; Zheng, C.; Yu, Y.; Wu, K. Wind Energy Resources at Antarctic Stations Based on ERA5. Atmosphere 2023, 14, 1732. https://doi.org/10.3390/atmos14121732
Wang K, Wu D, Wu J, Li S, Zhao X, Zheng C, Yu Y, Wu K. Wind Energy Resources at Antarctic Stations Based on ERA5. Atmosphere. 2023; 14(12):1732. https://doi.org/10.3390/atmos14121732
Chicago/Turabian StyleWang, Kaishan, Di Wu, Jinping Wu, Shuang Li, Xinye Zhao, Chongwei Zheng, Yue Yu, and Kai Wu. 2023. "Wind Energy Resources at Antarctic Stations Based on ERA5" Atmosphere 14, no. 12: 1732. https://doi.org/10.3390/atmos14121732
APA StyleWang, K., Wu, D., Wu, J., Li, S., Zhao, X., Zheng, C., Yu, Y., & Wu, K. (2023). Wind Energy Resources at Antarctic Stations Based on ERA5. Atmosphere, 14(12), 1732. https://doi.org/10.3390/atmos14121732

