Effect of Single and Double Moment Microphysics Schemes and Change in Cloud Condensation Nuclei, Latent Heating Rate Structure Associated with Severe Convective System over Korean Peninsula †
Abstract
:1. Introduction
2. Case Description and Synoptic Features
3. Numerical Model Configuration
4. Brief Description of Single Vs. Double Moment Scheme
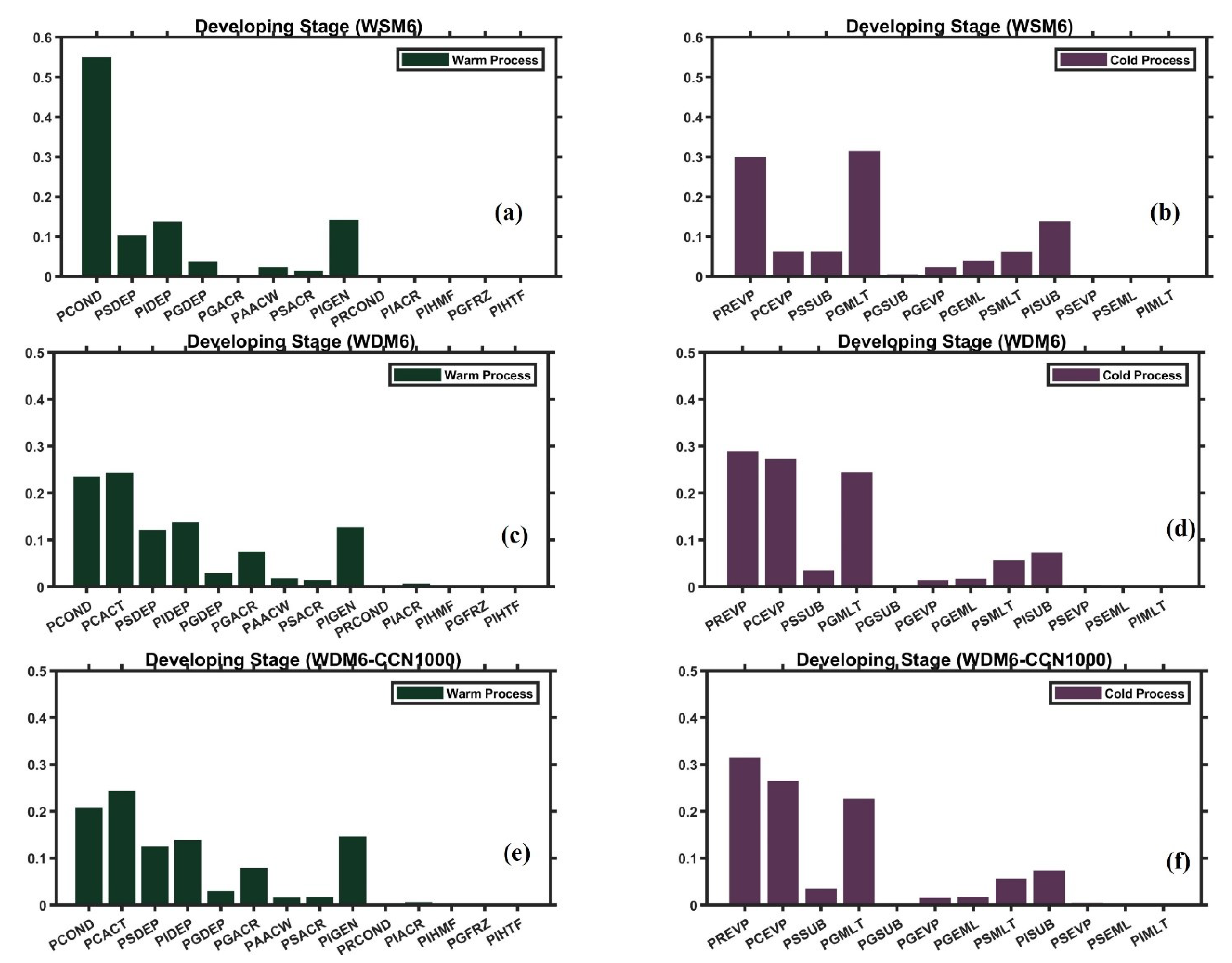
Computation of Latent Heating Rate from Microphysical Process
5. Results and Discussion
5.1. Spatial Distribution of Rainfall in the Innermost Domain
5.2. Assessing the Rain Number Concentration
5.3. Impact of Change in CCN
5.4. Evaluation of Simulated Net Latent Heating Rate with Diabatic Heating Rate Terms from ERA5 Analysis
6. Conclusions
Author Contributions
Funding
Institutional Review Board Statement
Informed Consent Statement
Data Availability Statement
Acknowledgments
Conflicts of Interest
Appendix A
| Abbreviation | Description of Production Rates of Microphysical Transformation Terms (Lim and Hong, 2010) [60] |
| Pr_cond | condensation/evaporation rate of cloud water |
| Pr_cact | Activation of cloud condensation nuclie |
| Pr_raut | autoconversion of cloud water into rain |
| Pr_saut | autoconversion of cloud ice into snow |
| Pr_gaut | autoconversion of snow into graupel |
| Pr_revp | evaporation-condensation rate of rain |
| Pr_sevp | evaporation of melting snow |
| Pr_gevp | evaporation of melting graupel |
| Pr_idep | deposition-sublimation rate of ice |
| Pr_sdep | deposition-sublimation rate of snow |
| Pr_gdep | deposition/sublimation rate of graupel |
| Pr_imlt | instantaneous melting of cloud ice |
| Pr_smlt | melting of snow |
| Pr_gmlt | melting of graupel |
| Pr_seml | enhanced melting of snow |
| Pr_geml | enhanced melting rate of graupel |
| Pr_racw | accretion of cloud water by rain |
| Pr_sacw | accretion of cloud water by snow |
| Pr_gacw | accretion of cloud water by graupel |
| Pr_gacr | accretion of rain by graupel |
| Pr_sacr | accretion of rain by snow |
| Pr_iacr | accretion of rain by cloud ice |
| Pr_racs | accretion of snow by rain |
| Pr_gacs | accretion of cloud ice by graupel |
| Pr_raci | accretion of cloud ice by rain |
| Pr_gaci | accretion of cloud ice by graupel |
| Pr_saci | accretion of cloud ice by snow |
| Pr_igen | generation (nucleation) of ice from vapor |
References
- Waliser, D.E.; Li, J.-L.F.; Woods, C.P.; Austin, R.T.; Bacmeister, J.; Chern, J.; Del Genio, A.; Jiang, J.H.; Kuang, Z.; Meng, H.; et al. Cloud ice: A climate model challenge with signs and expectations of progress. J. Geophys. Res. 2009, 114, D00A21. [Google Scholar] [CrossRef]
- Dudhia, J. Numerical study of convection observed during the winter monsoon experiment using a mesoscale two-dimensional model. J. Atmos. Sci. 1989, 46, 3077–3107. [Google Scholar] [CrossRef]
- Seifert, A.; Beheng, K.D. A two-moment cloud microphysics parameterization for mixed-phase clouds. Part 1: Model description. Meteorol. Atmos. Phys. 2006, 92, 45–66. [Google Scholar] [CrossRef]
- Choudhury, A.D.; Krishnan, R. Dynamical response of the South Asian monsoon trough to latent heating from stratiform and convective precipitation. J. Atmos. Sci. 2011, 68, 1347–1363. [Google Scholar] [CrossRef]
- Hazra, A.; Goswami, B.N.; Chen, J.-P. Role of interactions between aerosol radiative effect, dynamics and cloud microphysics on transitions of monsoon intraseasonal oscillations. J. Atmos. Sci. 2013, 70, 2073–2087. [Google Scholar] [CrossRef]
- Hazra, A.; Chaudhari, H.S.; Pokhrel, S.; Saha Subodh, K. Indian summer monsoon precipitating clouds: Role of microphysical process rates. Clim. Dyn. 2016, 46, 2551–2571. [Google Scholar] [CrossRef]
- Hong, S.Y.; Noh, Y.; Dudhia, J. A new vertical diffusion package with an explicit treatment of entrainment processes. Mon. Weather Rev. 2006, 134, 2318–2341. [Google Scholar] [CrossRef]
- Madhulatha, A.; Rajeevan, M. Impact of different parameterization schemes on simulation of mesoscale convective system over south-east India. Meteorol. Atmos. Phys. 2018, 130, 49–65. [Google Scholar] [CrossRef]
- Madhulatha, A.; Dudhia, J.; Park, R.S.; Rajeevan, M. Simulation of latent heating rate from the microphysical process associated with Mesoscale Convective System over Korean Peninsula. Earth Space Sci. 2022, 9, e2022EA002419. [Google Scholar] [CrossRef]
- Osuri, K.K.; Mohanty, U.C.; Routray, A.; Niyogi, D. Improved prediction of Bay of Bengal tropical cyclones through assimilation of Doppler weather radar observations. Mon. Weather Rev. 2015, 143, 4533–4560. [Google Scholar] [CrossRef]
- Pattanaik, D.R.; Kumar, A.; Rao, Y.R.; Mukhopadhyay, B. Simulation of monsoon depression over India using high resolution WRF Model—Sensitivity to convective parameterization schemes. Mausam 2011, 62, 305–320. [Google Scholar] [CrossRef]
- Rajeevan, M.; Kesarkar, A.; Thampi, S.B.; Rao, T.N.; Radhakrishna, B.; Rajasekhar, M. Sensitivity of WRF cloud microphysics to simulations of a severe thunderstorm event over Southeast India. Ann. Geophys. 2010, 28, 603–619. [Google Scholar] [CrossRef]
- Rajeevan, M.; Rohini, P.; Niranjan Kumar, K.; Srinivasan, J.; Unnikrishnan, C.K. A study of vertical cloud structure of the Indian summer monsoon using CloudSat data. Clim. Dyn. 2013, 40, 637–650. [Google Scholar] [CrossRef]
- Tao, W.K.; Lang, S.; Zeng, X.; Shige, S.; Takayabu, Y. Relating convective and stratiform rain to latent heating. J. Clim. 2010, 23, 1874–1893. [Google Scholar] [CrossRef]
- Gilmore, M.S.; Straka, J.M.; Rasmussen, E.N. Precipitation uncertainty due to variations in precipitation particle parameters within a simple microphysics scheme. Mon. Weather Rev. 2004, 132, 2610–2627. [Google Scholar] [CrossRef]
- Putnam, B.J.; Xue, M.; Jung, Y.; Zhang, G.; Kong, F. Simulation of polarimetric radar variables from 2013 CAPS spring experiment storm-scale ensemble forecasts and evaluation of microphysics schemes. Mon. Weather Rev. 2017, 145, 49–73. [Google Scholar] [CrossRef]
- Grabowski, W.W.; Morrison, H.; Shima, S.I.; Abade, G.C.; Dziekan, P.; Pawlowska, H. Modeling of cloud microphysics: Can we do better. Bull. Am. Meteorol. Soc. 2019, 100, 655–672. [Google Scholar] [CrossRef]
- Morrison, H.; Thompson, G.; Tatarskii, V. Impact of cloud microphysics on the development of trailing stratiform precipitation in a simulated squall line: Comparison of one and two-moment schemes. Mon. Weather Rev. 2009, 137, 991–1007. [Google Scholar] [CrossRef]
- Ulbrich, C.W. Natural variations in the analytical form of the raindrop size distribution. J. Clim. Appl. Meteorol. 1983, 22, 1764–1775. [Google Scholar] [CrossRef]
- Milbrandt, J.A.; Yau, M.K. A multimoment bulk microphysics parameterization. Part II: A proposed three-moment closure and scheme description. J. Atmos. Sci. 2005, 62, 3065–3081. [Google Scholar] [CrossRef]
- Dawson, D.T.; Xue, M.; Milbrandt, J.A.; Yau, M.K. Comparison of evaporation and cold pool development between single-moment and multimoment bulk microphysics schemes in idealized simulations of tornadic thunderstorms. Mon. Weather Rev. 2010, 138, 1152–1171. [Google Scholar] [CrossRef]
- Khain, A.P.; BenMoshe, N.; Pokrovsky, A. Factors determining the impact of aerosols on surface precipitation from clouds: An attempt at classification. J. Atmos. Sci. 2008, 65, 1721–1748. [Google Scholar] [CrossRef]
- Ming, Y.; Ramaswamy, V.; Donner, L.J.; Phillips, V.T.J.; Klein, S.A.; Ginoux, P.A.; Horowitz, L.W. Modeling the interactions between aerosols and liquid water clouds with a self-consistent cloud scheme in a general circulation model. J. Atmos. Sci. 2007, 64, 1189–1209. [Google Scholar] [CrossRef]
- Wang, C. A modeling study of the response of tropical deep convection to the increase of cloud condensation nuclei concentration: 1. Dynamics and microphysics. J. Geophys. Res. Atmos. 2005, 110, D21211. [Google Scholar] [CrossRef]
- Cohard, J.M.; Pinty, J.P. A comprehensive two-moment warm microphysical bulk scheme. I: Description and tests. Q. J. R. Meteorol. Soc. 2000, 126, 1815–1842. [Google Scholar]
- Morrison, H.C.J.A.; Curry, J.A.; Khvorostyanov, V.I. A new double-moment microphysics parameterization for application in cloud and climate models. Part I: Description. J. Atmos. Sci. 2005, 62, 1665–1677. [Google Scholar] [CrossRef]
- Zhang, J.; Sun, J.; Deng, W.; Ma, Y. Newly developed multiparameter bulk cloud schemes. Part I: A new triple-moment condensation scheme and tests. J. Atmos. Sci. 2022, 79, 2645–2684. [Google Scholar] [CrossRef]
- Khairoutdinov, M.; Kogan, Y. A new cloud physics parameterization in a large-eddy simulation model of marine stratocumulus. Mon. Weather. Rev. 2000, 128, 229–243. [Google Scholar] [CrossRef]
- Heymsfield, A.J.; Kramer, M.; Luebke, A.; Brown, P.; Cziczo, D.J.; Franklin, C.; Lawson, P.; Lohmann, U.; McFarquhar, G.; Ulanowski, Z.; et al. Cirrus clouds. Meteorol. Monogr. 2017, 58, 2.1–2.26. [Google Scholar] [CrossRef]
- Phillips, V.T.; Donner, L.J.; Garner, S.T. Nucleation processes in deep convection simulated by a cloud-system-resolving model with double-moment bulk microphysics. J. Atmos. Sci. 2007, 64, 738–761. [Google Scholar] [CrossRef]
- Tölle, M.H.; Krueger, S.K. Effects of entrainment and mixing on droplet size distributions in warm cumulus clouds. J. Adv. Model. Earth Syst. 2014, 6, 281–299. [Google Scholar]
- Weisman, M.L.; Klemp, J.B.; Rotunno, R. Structure and evolution of numerically simulated squall lines. J. Atmos. Sci. 1988, 45, 1990–2013. [Google Scholar] [CrossRef]
- Morrison, H.; Milbrandt, J.A. Comparison of two-moment bulk microphysics schemes in idealized supercell thunderstorm simulations. Mon. Weather Rev. 2011, 139, 1103–1130. [Google Scholar] [CrossRef]
- Ramanathan, V.C.P.J.; Crutzen, P.J.; Kiehl, J.T.; Rosenfeld, D. Aerosols, climate, and the hydrological cycle. Science 2001, 294, 2119–2124. [Google Scholar] [CrossRef]
- Reisner, J.; Rasmussen, R.M.; Bruintjes, R.T. Explicit forecasting of supercooled liquid water in winter storms using the MM5 mesoscale model. Q. J. R. Meteorol. Soc. 1998, 124, 1071–1107. [Google Scholar] [CrossRef]
- Kumar, B.; Götzfried, P.; Suresh, N.; Schumacher, J.; Shaw, R.A. Scale dependence of cloud microphysical response to turbulent entrainment and mixing. J. Adv. Model. Earth Syst. 2018, 10, 2777–2785. [Google Scholar] [CrossRef]
- Xu, X.; Lu, C.; Liu, Y.; Luo, S.; Zhou, X.; Endo, S.; Wang, Y. Influences of an entrainment–mixing parameterization on numerical simulations of cumulus and stratocumulus clouds. Atmos. Chem. Phys. 2022, 22, 5459–5475. [Google Scholar] [CrossRef]
- Zhu, L.; Lu, C.; Xu, X.; He, X.; Li, J.; Luo, S.; Wang, Y.; Wang, F. The Probability Density Function Related to Shallow Cumulus Entrainment Rate and Its Influencing Factors in a Large-Eddy Simulation. Adv. Atmos. Sci. 2023, 1–15. [Google Scholar] [CrossRef]
- Byun, U.Y.; Hong, J.; Hong, S.Y.; Shin, H.H. Numerical simulations of heavy rainfall over central Korea on 21 September 2010 using the WRF model. Adv. Atmos. Sci. 2015, 32, 855–869. [Google Scholar] [CrossRef]
- Flaounas, E.; Bastin, S.; Janicot, S. Regional climate modelling of the 2006 West African monsoon: Sensitivity to convection and planetary boundary layer parameterisation using WRF. Clim. Dyn. 2011, 36, 1083–1105. [Google Scholar] [CrossRef]
- Hong, S.-Y.; Lim, J.-O.J. The WRF single-moment 6-class microphysics scheme (WSM6). J. Korean Meteorol. Soc. 2006, 42, 129–151. [Google Scholar]
- Wang, J.J.; Li, X.; Carey, L.D. Evolution, structure, cloud microphysical, and surface rainfall processes of monsoon convection during the South China Sea Monsoon Experiment. J. Atmos. Sci. 2007, 64, 360–380. [Google Scholar] [CrossRef]
- Rosenfeld, D.; Lohmann, U.; Raga, G.B.; O’Dowd, C.D.; Kulmala, M.; Fuzzi, S.; Reissell, A.; Andreae, M.O. Flood or drought: How do aerosols affect precipitation? Science 2008, 321, 1309–1313. [Google Scholar] [CrossRef] [PubMed]
- Bhat, G.S.; Chakraborty, A.; Nanjundiah, R.S.; Srinivasan, J. Vertical thermal structure of the atmosphere during active and weak phases of convection over the North Bay of Bengal: Observation and model results. Curr. Sci. 2002, 83, 296–302. [Google Scholar]
- Yanai, M.; Esbensen, S.; Chu, J.H. Determination of bulk properties of tropical cloud clusters from largescale heat and moisture budgets. J. Atmos. Sci. 1973, 30, 611–627. [Google Scholar] [CrossRef]
- Hong, S.Y.; Sunny Lim, K.S.; Kim, J.H.; Jade Lim, J.O.; Dudhia, J. Sensitivity study of cloud-resolving convective simulations with WRF using two bulk microphysical parameterizations: Ice-phase microphysics versus sedimentation effects. J. Appl. Meteorol. Climatol. 2009, 48, 61–76. [Google Scholar] [CrossRef]
- Madhulatha, A.; Dudhia, J. Effect of single and double moment microphysics schemes and change in CCN, latent heating rate structure associated with severe convective system over Korean Peninsula. AGU Fall Meet. Abstr. 2022, 2020, A045-08. [Google Scholar]
- Bhaskar Rao, D.V.; Hari Prasad, D. Sensitivity of tropical cyclone intensification to boundary layer and convective processes. Nat. Hazards 2007, 41, 429–445. [Google Scholar] [CrossRef]
- Lee, S.S.; Donner, L.J. Effects of cloud parameterization on radiation and precipitation: A comparison between single-moment microphysics and double-moment microphysics. TAO Terr. Atmos. Ocean. Sci. 2011, 22, 4. [Google Scholar] [CrossRef]
- Mukhopadhyay, P.; Mahakur, M.; Singh, H.A.K. Interaction of large scale and mesoscale environment leading to formation of intense thunderstorms over Kolkata. Part I: Doppler radar and satellite observations. J. Earth Syst. Sci. 2009, 118, 441–466. [Google Scholar] [CrossRef]
- Prabha, T.V.; Khain, A.; Maheshkumar, R.S.; Pandithurai, G.; Kulkarni, J.R.; Konwar, M.; Goswami, B.N. Microphysics of Premonsoon and monsoon clouds as seen from in situ measurements during the cloud aerosol interaction and precipitation enhancement experiment (CAIPEEX). J. Atmos. Sci. 2011, 68, 1882–1901. [Google Scholar] [CrossRef]
- Chen, S.J.; Lee, D.K.; Tao, Z.Y.; Kuo, Y.H. Mesoscale convective system over the yellow sea—A numerical case study. Meteorol. Atmos. Phys. 1999, 70, 185–199. [Google Scholar] [CrossRef]
- Madhulatha, A.; Choi, S.J.; Han, J.Y.; Hong, S.Y. Impact of different nesting methods on the simulation of a severe convective event over South Korea using the Weather Research and Forecasting Model. J. Geophys. Res. Atmos. 2021, 126, e2020JD033084. [Google Scholar] [CrossRef]
- Skamarock, W.C.; Klemp, J.B.; Dudhia, J.; Gill, D.O.; Barker, D.M.; Duda, M.; Huang, X.Y.; Wang, W.; Powers, J.G. A Description of the Advanced Research WRF Version 3; NCAR Technical Note NCAR/TN-468+STR; University Corporation for Atmospheric Research: Boulder, CO, USA, 2008; p. 123. [Google Scholar]
- Hong, S.-Y.; Kwon, Y.C.; Kim, T.-H.; Kim, J.-E.E.; Choi, S.-J.; Kwon, I.-H.; Kim, J.; Lee, E.-H.; Park, R.-S.; Kim, D.-I. The Korean Integrated Model (KIM) System for global weather forecasting. Asia-Pac. J. Atmos. Sci. 2018, 54 (Suppl. S1), 267–292. [Google Scholar] [CrossRef]
- Han, J.Y.; Hong, S.Y.; Sunny Lim, K.S.; Han, J. Sensitivity of a cumulus parameterization scheme to precipitation production representation and its impact on a heavy rain event over Korea. Mon. Weather Rev. 2016, 144, 2125–2135. [Google Scholar] [CrossRef]
- Kwon, Y.C.; Hong, S.Y. A mass-flux cumulus parameterization scheme across gray-zone resolutions. Mon. Weather Rev. 2017, 145, 583–598. [Google Scholar] [CrossRef]
- Baek, S. A revised radiation package of G-packed McICA and two-stream approximation: Performance evaluation in a global weather forecasting model. J. Adv. Model. Earth Syst. 2017, 9, 1628–1640. [Google Scholar] [CrossRef]
- Shin, H.; Hong, S.Y. Representation of the subgrid-scale turbulent transport in convective boundary layers at gray-zone resolutions. Mon. Weather Rev. 2015, 143, 250–271. [Google Scholar] [CrossRef]
- Lim, K.S.S.; Hong, S.Y. Development of an effective double-moment cloud microphysics scheme with prognostic cloud condensation nuclei (CCN) for weather and climate models. Mon. Weather Rev. 2010, 138, 1587–1612. [Google Scholar] [CrossRef]
- Hong, S.Y.; Lim, K.S.S.; Lee, Y.H.; Ha, J.C.; Kim, H.W.; Ham, S.J.; Dudhia, J. Evaluation of the WRF double-moment 6-class microphysics scheme for precipitating convection. Adv. Meteorol. 2010, 2010, 707253. [Google Scholar] [CrossRef]
- Park, S.Y.; Lim, K.S.S. Implementation of Prognostic Cloud Ice Number Concentrations for the Weather Research and Forecasting (WRF) Double-Moment 6-Class (WDM6) Microphysics Scheme. J. Adv. Model. Earth Syst. 2023, 15, e2022MS003009. [Google Scholar] [CrossRef]
- Lin, Y.-L.; Farley, R.D.; Orville, H.D. Bulk parameterization of the snow field in a cloud model. J. Clim. Appl. Meteor. 1983, 22, 1065–1092. [Google Scholar] [CrossRef]
- Houze, R.A., Jr. Cloud and precipitation structure of mesoscale systems in GATE. In Impact of GATE on Large-Scale Numerical Modeling of the Atmosphere and Ocean; National Academy of Sciences: Woods Hole, MA, USA, 1979; pp. 100–108. [Google Scholar]
- Twomey, S. The nuclei of natural cloud formation part II: The supersaturation in natural clouds and the variation of cloud droplet concentration. Geofis. Pura Appl. 1959, 43, 243–249. [Google Scholar] [CrossRef]
- Khain, A.; Rosenfeld, D.; Pokrovsky, A. Aerosol impact on the dynamics and microphysics of deep convective clouds. Q. J. R. Meteorol. Soc. J. Atmos. Sci. Appl. Meteorol. Phys. Oceanogr. 2005, 131, 2639–2663. [Google Scholar] [CrossRef]
- Hong, S.Y.; Dudhia, J.; Chen, S.H. A revised approach to ice microphysical processes for the bulk parameterization of clouds and precipitation. Mon. Weather Rev. 2004, 132, 103–120. [Google Scholar] [CrossRef]
- Guo, C.W.; Xiao, H.; Yang, H.L.; Qi, T. Simulation of the microphysical processes and effect of latent heat on a heavy rainfall event in Beijing. Atmos. Oceanogr. 2014, 7, 521526. [Google Scholar] [CrossRef]
- Hjelmfelt, M.R.; Roberts, R.D.; Orville, H.D.; Chen, J.P.; Kopp, F.J. Observational and numerical study of a microburst line-producing storm. J. Atmos. Sci. 1989, 46, 2731–2744. [Google Scholar] [CrossRef]
- Dudhia, J.; Hong, S.Y.; Lim, K.S. A new method for representing mixed-phase particle fall speeds in bulk microphysics parameterizations. J. Meteor. Soc. Jpn. 2008, 86A, 33–44. [Google Scholar] [CrossRef]
- Madhulatha, A.; Rajeevan, M.; Mohan, T.S.; Thampi, S.B. Observational aspects of tropical mesoscale convective systems over southeast India. J. Earth Syst. Sci. 2020, 129, 65. [Google Scholar] [CrossRef]
- Rauniyar, S.P.; Protat, A.; Kanamori, H. Uncertainties in TRMM-Era multisatellite-based tropical rainfall estimates over the Maritime Continent. Earth Space Sci. 2017, 4, 275–302. [Google Scholar] [CrossRef]
- Madhulatha, A.; George, J.P.; Rajagopal, E.N. All-sky radiance simulation of Megha-Tropiques SAPHIR microwave sensor using multiple scattering radiative transfer model for data assimilation applications. J. Earth Syst. Sci. 2017, 126, 24. [Google Scholar] [CrossRef]
- Madhulatha, A.; Park, R.S.; Kang, J.Y.; Kim, T.H.; Hong, S.Y. Evaluation of cloud hydrometers from Korean Integrated Model (KIM) using multi reanalysis products and satellite observations. AGU Fall Meet. Abstr. 2019, 2019, 2856. [Google Scholar]
- Wu, D.; Dong, X.; Xi, B.; Feng, Z.; Kennedy, A.; Mullendore, G.; Gilmore, M.; Tao, W.K. Impacts of microphysical scheme on convective and stratiform characteristics in two high precipitation squall line events. J. Geophys. Res. Atmos. 2013, 118, 11119–11135. [Google Scholar] [CrossRef]
- Madhulatha, A.; Rajeevan, M.; Venkat Ratnam, M.; Bhate, J.; Naidu, C.V. Nowcasting severe convective activity over southeast India using ground-based microwave radiometer observations. J. Geophys. Res. Atmos. 2013, 118, 1–13. [Google Scholar] [CrossRef]














| Nr Size Distribution | WSM6/WDM6 | NRλR exp[−(λRDR)] NRλR2 exp[−(λRDR)] |
| Nc size Distribution | WSM6/WDM6 | Constant value with Nc = 3 × 108 m−3 nc(Dc) = 3Ncλc3D2cexp[−(λcDc)3] |
Disclaimer/Publisher’s Note: The statements, opinions and data contained in all publications are solely those of the individual author(s) and contributor(s) and not of MDPI and/or the editor(s). MDPI and/or the editor(s) disclaim responsibility for any injury to people or property resulting from any ideas, methods, instructions or products referred to in the content. |
© 2023 by the authors. Licensee MDPI, Basel, Switzerland. This article is an open access article distributed under the terms and conditions of the Creative Commons Attribution (CC BY) license (https://creativecommons.org/licenses/by/4.0/).
Share and Cite
Madhulatha, A.; Dudhia, J.; Park, R.-S.; Bhan, S.C.; Mohapatra, M. Effect of Single and Double Moment Microphysics Schemes and Change in Cloud Condensation Nuclei, Latent Heating Rate Structure Associated with Severe Convective System over Korean Peninsula. Atmosphere 2023, 14, 1680. https://doi.org/10.3390/atmos14111680
Madhulatha A, Dudhia J, Park R-S, Bhan SC, Mohapatra M. Effect of Single and Double Moment Microphysics Schemes and Change in Cloud Condensation Nuclei, Latent Heating Rate Structure Associated with Severe Convective System over Korean Peninsula. Atmosphere. 2023; 14(11):1680. https://doi.org/10.3390/atmos14111680
Chicago/Turabian StyleMadhulatha, A., Jimy Dudhia, Rae-Seol Park, Subhash Chander Bhan, and Mrutyunjay Mohapatra. 2023. "Effect of Single and Double Moment Microphysics Schemes and Change in Cloud Condensation Nuclei, Latent Heating Rate Structure Associated with Severe Convective System over Korean Peninsula" Atmosphere 14, no. 11: 1680. https://doi.org/10.3390/atmos14111680
APA StyleMadhulatha, A., Dudhia, J., Park, R.-S., Bhan, S. C., & Mohapatra, M. (2023). Effect of Single and Double Moment Microphysics Schemes and Change in Cloud Condensation Nuclei, Latent Heating Rate Structure Associated with Severe Convective System over Korean Peninsula. Atmosphere, 14(11), 1680. https://doi.org/10.3390/atmos14111680

