Simulating Heavy Rainfall Associated with Tropical Cyclones and Atmospheric Disturbances in Thailand Using the Coupled WRF-ROMS Model—Sensitivity Analysis of Microphysics and Cumulus Parameterization Schemes
Abstract
:1. Introduction
2. Materials and Methods
2.1. Observed Rainfall Data
2.2. Model Configurations and Experiment Designs
2.2.1. Model Description
2.2.2. Selection of Heavy Rainfall Events
2.2.3. Combinations of CU and MP
2.2.4. Modeling Domains
2.3. Statistical Evaluation Metrics
- Hits refer to the number of correctly detected events.
- Misses refer to the number of events that were present but went undetected.
- False Alarms refer to the number of incorrect detections or false positives.
3. Results
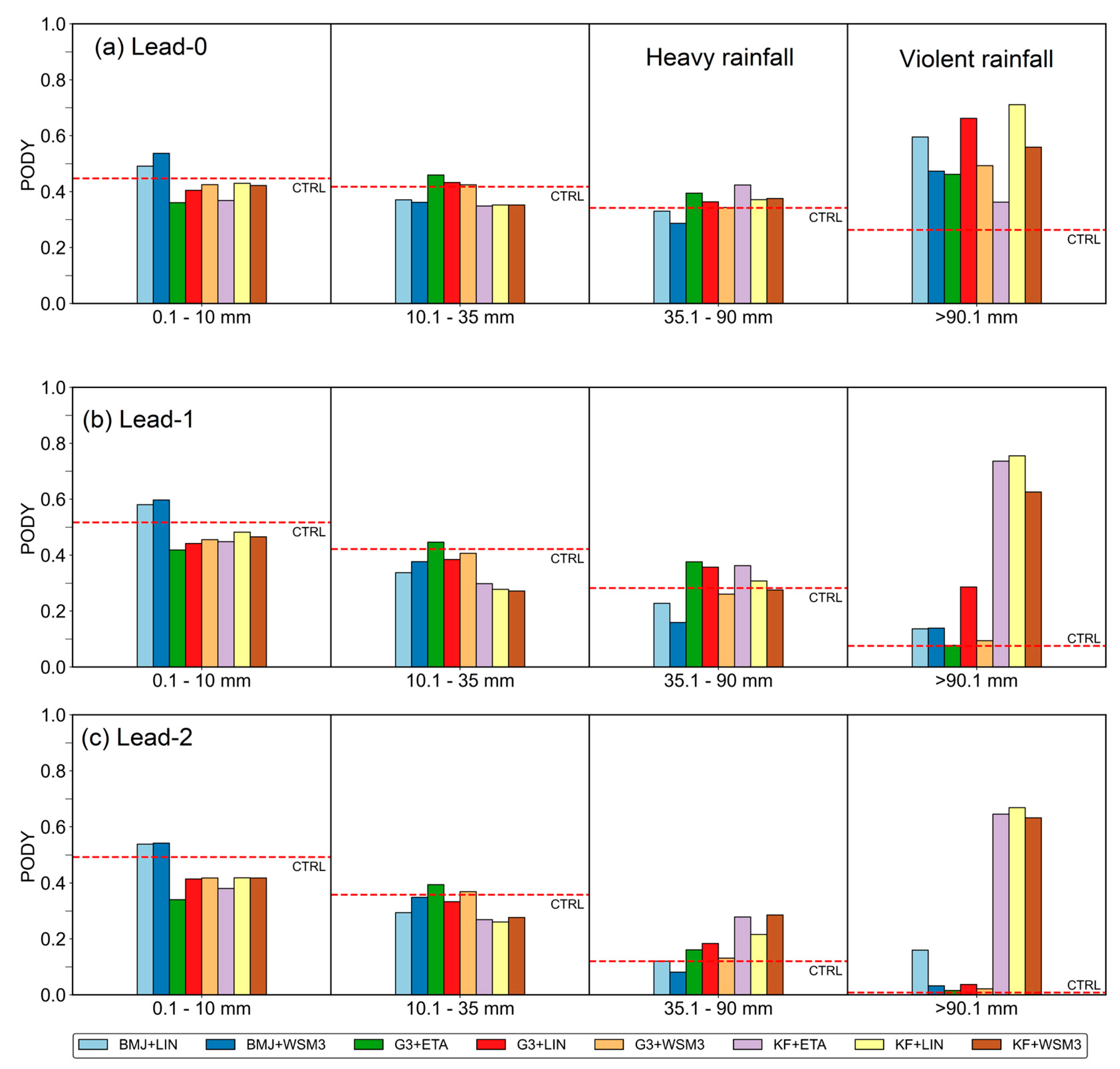
3.1. Probability of Detection (POD) of Rainfall Forecast over Thailand during the Selected Events
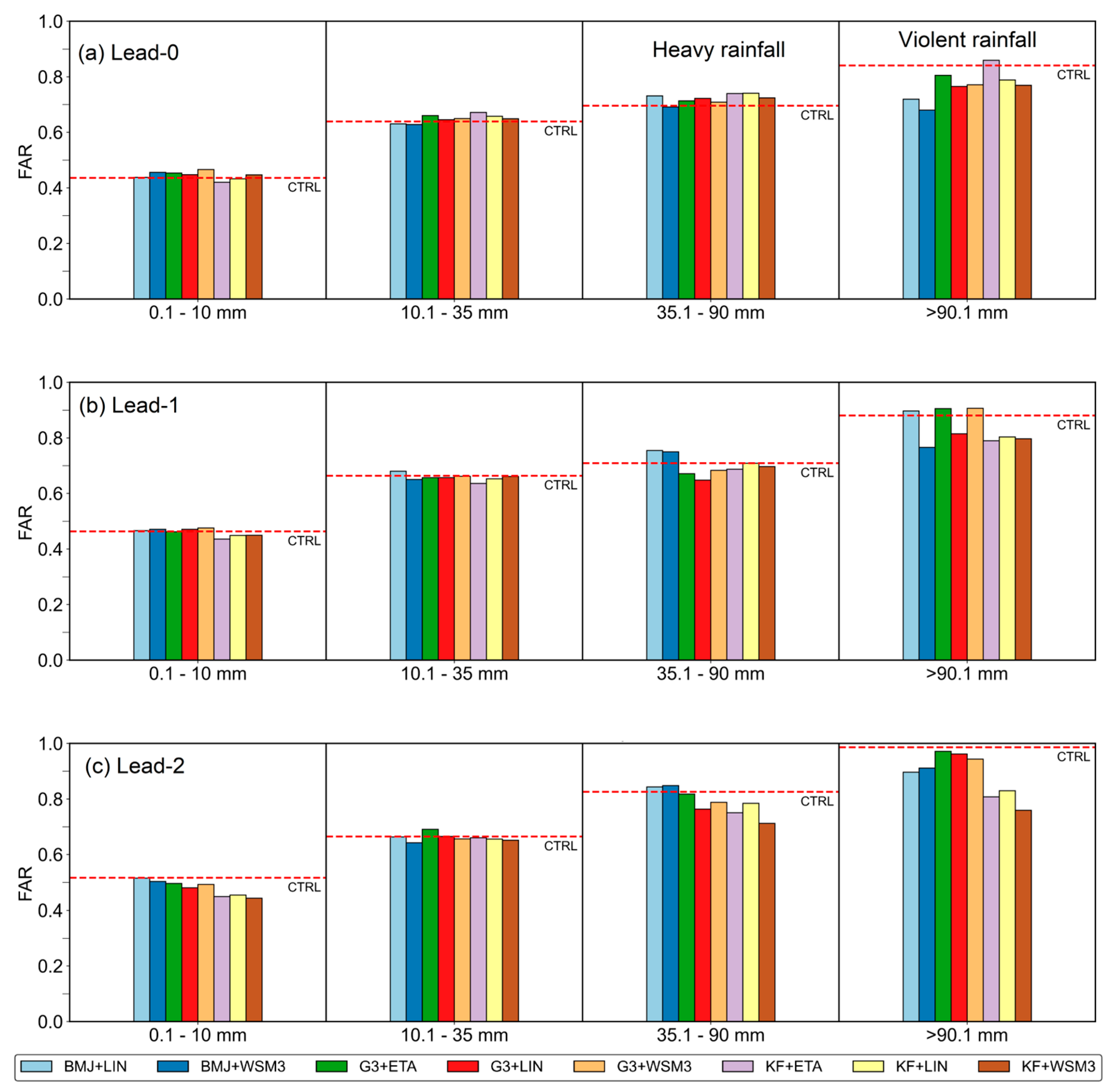
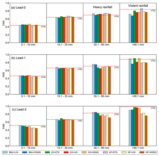
3.2. False Alarm Ratio (FAR) of Rainfall Forecast over Thailand during the Selected Events
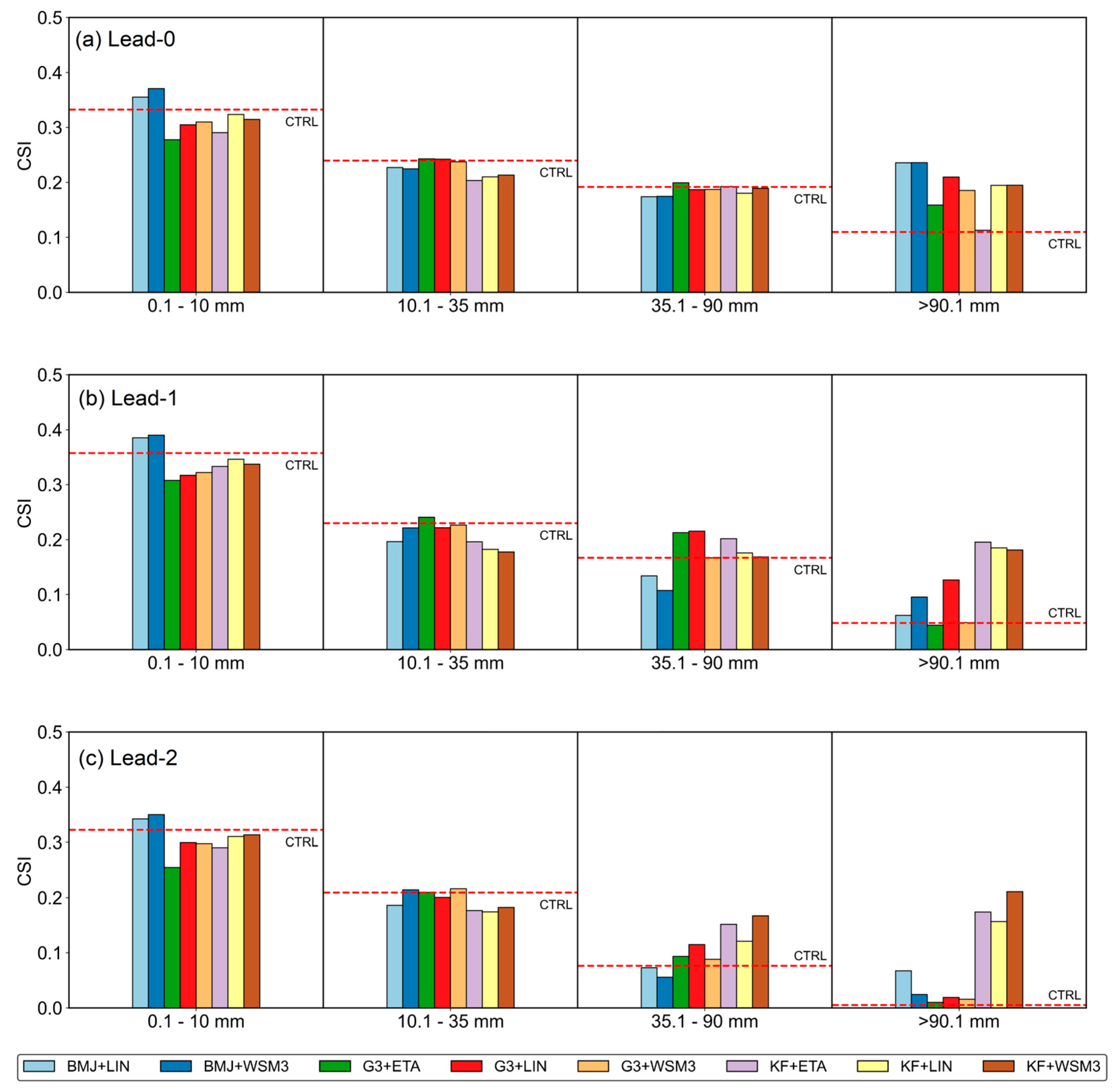
3.3. Critical Success Index (CSI) of Rainfall Forecast over Thailand during the Selected Events
3.4. Probability Distribution Function (PDF) of Daily Rainfall over Thailand during the Selected Events
4. Discussion
5. Conclusions
Author Contributions
Funding
Institutional Review Board Statement
Informed Consent Statement
Data Availability Statement
Acknowledgments
Conflicts of Interest
References
- Gray, W.M. Global view of the origin of tropical disturbances and storms. Mon. Weather Rev. 1968, 96, 669–700. [Google Scholar] [CrossRef]
- Bruyère, C.L.; Holland, G.J.; Towler, E. Investigating the Use of a Genesis Potential Index for Tropical Cyclones in the North Atlantic Basin. J. Clim. 2012, 25, 8611–8626. [Google Scholar] [CrossRef]
- Byers, H. Atmospheric Turbulence and the Wind Structure Near the Surface of the Earthin General Meteorology; McGraw-Hill Book Company Inc.: New York, NY, USA, 1944; Chapter XXIV. [Google Scholar]
- Emanuel, K.A. An Air-Sea Interaction Theory for Tropical Cyclones. Part I: Steady-State Maintenance. J. Atmos. Sci. 1986, 43, 585–605. [Google Scholar] [CrossRef]
- Krishnamurti, T.N.; Molinari, J.; Pan, H.-l.; Wong, V. Downstream Amplification and Formation of Monsoon Disturbances. Mon. Weather Rev. 1977, 105, 1281–1297. [Google Scholar] [CrossRef]
- Saha, K.; Sanders, F.; Shukla, J. Westward Propagating Predecessors of Monsoon Depressions. Mon. Weather Rev. 1981, 109, 330–343. [Google Scholar] [CrossRef]
- Chen, T.-C.; Chen, J.-M. The 10–20-Day Mode of the 1979 Indian Monsoon: Its Relation with the Time Variation of Monsoon Rainfall. Mon. Weather Rev. 1993, 121, 2465–2482. [Google Scholar] [CrossRef]
- Takahashi, H.G.; Yasunari, T. Decreasing Trend in Rainfall over Indochina during the Late Summer Monsoon: Impact of Tropical Cyclones. J. Meteorol. Soc. Jpn. Ser. II 2008, 86, 429–438. [Google Scholar] [CrossRef]
- Takahashi, H.G.; Fujinami, H.; Yasunari, T.; Matsumoto, J.; Baimoung, S. Role of Tropical Cyclones along the Monsoon Trough in the 2011 Thai Flood and Interannual Variability. J. Clim. 2015, 28, 1465–1476. [Google Scholar] [CrossRef]
- Li, H.; Hu, A.; Meehl, G.A. Role of Tropical Cyclones in Determining ENSO Characteristics. Geophys. Res. Lett. 2023, 50, e2022GL101814. [Google Scholar] [CrossRef]
- Shariful, F.; Sedrati, M.; Ariffin, E.H.; Shubri, S.M.; Akhir, M.F. Impact of 2019 Tropical Storm (Pabuk) on Beach Morphology, Terengganu Coast (Malaysia). J. Coast. Res. 2020, 95, 346–350. [Google Scholar] [CrossRef]
- Gale Emma, L.; Saunders Mark, A. The 2011 Thailand flood: Climate causes and return periods. Weather 2013, 68, 233–237. [Google Scholar] [CrossRef]
- Lim Han, S.; Boochabun, K. Flood generation during the SW monsoon season in northern Thailand. Geol. Soc. Lond. Spec. Publ. 2012, 361, 7–20. [Google Scholar] [CrossRef]
- Benfield, A. 2011 Thailand Floods Event Recap Report: Report of Impact Forecasting-March 2012; Impact Forecasting LLC, Aon Benfield Corporation: Chicago, IL, USA, 2012; pp. 7–10. [Google Scholar]
- Hydro-Informatics Institute. Record Water Events. Available online: https://www.thaiwater.net/report#flood (accessed on 16 May 2023).
- Islam, T.; Srivastava, P.K.; Rico-Ramirez, M.A.; Dai, Q.; Gupta, M.; Singh, S.K. Tracking a tropical cyclone through WRF–ARW simulation and sensitivity of model physics. Nat. Hazards 2015, 76, 1473–1495. [Google Scholar] [CrossRef]
- Potty, J.; Oo, S.M.; Raju, P.V.S.; Mohanty, U.C. Performance of nested WRF model in typhoon simulations over West Pacific and South China Sea. Nat. Hazards 2012, 63, 1451–1470. [Google Scholar] [CrossRef]
- Wu, Z.; Alshdaifat, N.M. Simulation of Marine Weather during an Extreme Rainfall Event: A Case Study of a Tropical Cyclone. Hydrology 2019, 6, 42. [Google Scholar] [CrossRef]
- Sivaprasad, P.; Samah, A.A.; Babu, C.A.; Fang, Y.; Mohd Nor, M.F.F.; Chenoli, S.N.; Cheah, W.; Mazuki, M.Y.A. Simulation of the atmospheric parameters during passage of a tropical storm over the South China Sea: A comparison with MetOcean buoy and ERA-Interim data. Meteorol. Appl. 2020, 27, e1895. [Google Scholar] [CrossRef]
- Benedetti, A.; Reid, J.S.; Knippertz, P.; Marsham, J.H.; Di Giuseppe, F.; Rémy, S.; Basart, S.; Boucher, O.; Brooks, I.M.; Menut, L.; et al. Status and future of numerical atmospheric aerosol prediction with a focus on data requirements. Atmos. Chem. Phys. 2018, 18, 10615–10643. [Google Scholar] [CrossRef]
- Doblas-Reyes, F.J.; García-Serrano, J.; Lienert, F.; Biescas, A.P.; Rodrigues, L.R.L. Seasonal climate predictability and forecasting: Status and prospects. WIREs Clim. Change 2013, 4, 245–268. [Google Scholar] [CrossRef]
- Monteiro, M.J.; Couto, F.T.; Bernardino, M.; Cardoso, R.M.; Carvalho, D.; Martins, J.P.A.; Santos, J.A.; Argain, J.L.; Salgado, R. A Review on the Current Status of Numerical Weather Prediction in Portugal 2021: Surface-Atmosphere Interactions. Atmosphere 2022, 13, 1356. [Google Scholar] [CrossRef]
- Linardakis, L.; Stemmler, I.; Hanke, M.; Ramme, L.; Chegini, F.; Ilyina, T.E.; Korn, P. Improving scalability of Earth system models through coarse-grained component concurrency—A case study with the ICON v2.6.5 modelling system. Geosci. Model Dev. 2022, 15, 9157–9176. [Google Scholar] [CrossRef]
- Baklanov, A.; Baldasano, J.M.; Bouchet, V.; Brunner, D.; Yang, Z. Coupled Chemistry-Meteorology/Climate Modelling (CCMM): Status and Relevance for Numerical Weather Prediction, Atmospheric Pollution and Climate Research Final GAW 226 10 May; WMO GAW Report; WMO: Geneva, Switzerland, 2016. [Google Scholar]
- Yesubabu, V.; Kattamanchi, V.K.; Vissa, N.K.; Dasari, H.P.; Sarangam, V.B.R. Impact of ocean mixed-layer depth initialization on the simulation of tropical cyclones over the Bay of Bengal using the WRF-ARW model. Meteorol. Appl. 2020, 27, e1862. [Google Scholar] [CrossRef]
- Srinivas, C.V.; Mohan, G.M.; Naidu, C.V.; Baskaran, R.; Venkatraman, B. Impact of air-sea coupling on the simulation of tropical cyclones in the North Indian Ocean using a simple 3-D ocean model coupled to ARW. J. Geophys. Res. Atmos. 2016, 121, 9400–9421. [Google Scholar] [CrossRef]
- Rajeswari, J.R.; Srinivas, C.V.; Mohan, P.R.; Venkatraman, B. Impact of Boundary Layer Physics on Tropical Cyclone Simulations in the Bay of Bengal Using the WRF Model. Pure Appl. Geophys. 2020, 177, 5523–5550. [Google Scholar] [CrossRef]
- Koh, T.-Y.; Fonseca, R. Subgrid-scale cloud–radiation feedback for the Betts–Miller–Janjić convection scheme. Q. J. R. Meteorol. Soc. 2016, 142, 989–1006. [Google Scholar] [CrossRef]
- Zhang, C.; Wang, Y. Why is the simulated climatology of tropical cyclones so sensitive to the choice of cumulus parameterization scheme in the WRF model? Clim. Dyn. 2018, 51, 3613–3633. [Google Scholar] [CrossRef]
- Efstathiou, G.A.; Zoumakis, N.M.; Melas, D.; Lolis, C.J.; Kassomenos, P. Sensitivity of WRF to boundary layer parameterizations in simulating a heavy rainfall event using different microphysical schemes. Effect on large-scale processes. Atmos. Res. 2013, 132–133, 125–143. [Google Scholar] [CrossRef]
- Hong, S.-Y.; Sunny Lim, K.-S.; Kim, J.-H.; Jade Lim, J.-O.; Dudhia, J. Sensitivity Study of Cloud-Resolving Convective Simulations with WRF Using Two Bulk Microphysical Parameterizations: Ice-Phase Microphysics versus Sedimentation Effects. J. Appl. Meteorol. Climatol. 2009, 48, 61–76. [Google Scholar] [CrossRef]
- Podeti, S.R.; Ramakrishna, S.S.V.S.; Viswanadhapalli, Y.; Dasari, H.; Nellipudi, N.R.; Rao, B.R.S. Sensitivity of Cloud Microphysics on the Simulation of a Monsoon Depression Over the Bay of Bengal. Pure Appl. Geophys. 2020, 177, 5487–5505. [Google Scholar] [CrossRef]
- Mohan, P.R.; Srinivas, C.V.; Yesubabu, V.; Baskaran, R.; Venkatraman, B. Tropical cyclone simulations over Bay of Bengal with ARW model: Sensitivity to cloud microphysics schemes. Atmos. Res. 2019, 230, 104651. [Google Scholar] [CrossRef]
- Sun, Y.; Zhong, Z.; Lu, W. Sensitivity of Tropical Cyclone Feedback on the Intensity of the Western Pacific Subtropical High to Microphysics Schemes. J. Atmos. Sci. 2015, 72, 1346–1368. [Google Scholar] [CrossRef]
- Maw, K.W.; Min, J. Impacts of Microphysics Schemes and Topography on the Prediction of the Heavy Rainfall in Western Myanmar Associated with Tropical Cyclone ROANU (2016). Adv. Meteorol. 2017, 2017, 3252503. [Google Scholar] [CrossRef]
- Lok, C.C.F.; Chan, J.C.L.; Toumi, R. Importance of Air-Sea Coupling in Simulating Tropical Cyclone Intensity at Landfall. Adv. Atmos. Sci. 2022, 39, 1777–1786. [Google Scholar] [CrossRef]
- Warner, J.C.; Armstrong, B.; He, R.; Zambon, J.B. Development of a Coupled Ocean–Atmosphere–Wave–Sediment Transport (COAWST) Modeling System. Ocean Model. 2010, 35, 230–244. [Google Scholar] [CrossRef]
- Warner, J.C.; Sherwood, C.R.; Signell, R.P.; Harris, C.K.; Arango, H.G. Development of a three-dimensional, regional, coupled wave, current, and sediment-transport model. Comput. Geosci. 2008, 34, 1284–1306. [Google Scholar] [CrossRef]
- Shchepetkin, A.F.; McWilliams, J.C. The regional oceanic modeling system (ROMS): A split-explicit, free-surface, topography-following-coordinate oceanic model. Ocean Model. 2005, 9, 347–404. [Google Scholar] [CrossRef]
- Haidvogel, D.B.; Arango, H.G.; Budgell, W.P.; Cornuelle, B.D.; Curchitser, E.N.; Lorenzo, E.D.; Fennel, K.; Geyer, W.R.; Hermann, A.J.; Lanerolle, L.; et al. Ocean forecasting in terrain-following coordinates: Formulation and skill assessment of the Regional Ocean Modeling System. J. Comput. Phys. 2008, 227, 3595–3624. [Google Scholar] [CrossRef]
- Skamarock, C.; Klemp, B.; Dudhia, J.; Gill, O.; Barker, D.M.; Duda, G.; Huang, X.; Wang, W.; Powers, G. A Description of the Advanced Research WRF Version 3. NCAR Tech. Note 2008, 475, 113. [Google Scholar]
- Spero, T.L.; Nolte, C.G.; Bowden, J.H.; Mallard, M.S.; Herwehe, J.A. The Impact of Incongruous Lake Temperatures on Regional Climate Extremes Downscaled from the CMIP5 Archive Using the WRF Model. J. Clim. 2016, 29, 839–853. [Google Scholar] [CrossRef]
- Zhang, Z.; Colle, B.A. Impact of Dynamically Downscaling Two CMIP5 Models on the Historical and Future Changes in Winter Extratropical Cyclones along the East Coast of North America. J. Clim. 2018, 31, 8499–8525. [Google Scholar] [CrossRef]
- Umer, Y.; Jetten, V.G.; Ettema, J.; Lombardo, L. Application of the WRF model rainfall product for the localized flood hazard modeling in a data-scarce environment. Nat. Hazards 2022, 111, 1813–1844. [Google Scholar] [CrossRef]
- D’Isidoro, M.; Briganti, G.; Vitali, L.; Righini, G.; Adani, M.; Guarnieri, G.; Moretti, L.; Raliselo, M.; Mahahabisa, M.; Ciancarella, L.; et al. Estimation of solar and wind energy resources over Lesotho and their complementarity by means of WRF yearly simulation at high resolution. Renew. Energy 2020, 158, 114–129. [Google Scholar] [CrossRef]
- Institute, H.-I. Weather Situation. Available online: https://www.thaiwater.net/weather/ (accessed on 24 May 2023).
- Hydro-Informatics Institute. Weather Situation: WRF-ROMS Rainfall Forecast. Available online: https://www.thaiwater.net/weather/rainfall (accessed on 11 May 2023).
- Torsri, K.; Wannawong, W.; Sarinnapakorn, K.; Boonya-Aroonnet, S.; Chitdon, R. An application of air-sea model components in the Coupled Ocean-Atmosphere-Wave-Sediment Transport (COAWST) Modeling System over an Indochina Peninsular sub-region: Impact of high spatiotemporal SST on WRF model in precipitation prediction. In Proceedings of the 2014 Asia Oceania Geosciences Society (2014 AOGS), Sapporo, Japan, 28 July–1 August 2014. [Google Scholar]
- Thai Meteorological Department (TMD). Daily Rainfall. Available online: http://www.arcims.tmd.go.th/dailydata/DetailDailyRain.html (accessed on 29 May 2023).
- TMD. The Tropical Cyclone That Occurred in the Covered Area in the Year 2020 (in Thai). Available online: http://climate.tmd.go.th/content/file/1917 (accessed on 7 July 2023).
- Baki, H.; Chinta, S.; Balaji, C.; Srinivasan, B. A sensitivity study of WRF model microphysics and cumulus parameterization schemes for the simulation of tropical cyclones using GPM radar data. J. Earth Syst. Sci. 2021, 130, 1–30. [Google Scholar] [CrossRef]
- Guo, Z.; Fang, J.; Sun, X.; Yang, Y.; Tang, J. Sensitivity of Summer Precipitation Simulation to Microphysics Parameterization Over Eastern China: Convection-Permitting Regional Climate Simulation. J. Geophys. Res. Atmos. 2019, 124, 9183–9204. [Google Scholar] [CrossRef]
- Janjic, Z.I. The Step-Mountain Eta Coordinate Model: Further Developments of the Convection, Viscous Sublayer, and Turbulence Closure Schemes. Mon. Weather Rev. 1994, 122, 927–945. [Google Scholar] [CrossRef]
- Zhao, Q.; Carr, F.H. A Prognostic Cloud Scheme for Operational NWP Models. Mon. Weather Rev. 1997, 125, 1931–1953. [Google Scholar] [CrossRef]
- Chen, S.-H.; Sun, W.-Y. A One-dimensional Time Dependent Cloud Model. J. Meteorol. Soc. Jpn. 2002, 80, 99–118. [Google Scholar] [CrossRef]
- Hong, S.Y.; Dudhia, J.; Chen, S.H. A Revised Approach to Ice Microphysical Processes for the Bulk Parameterization of Clouds and Precipitation. Mon. Weather Rev. 2004, 132, 103–120. [Google Scholar] [CrossRef]
- Grell, G.A.; Dévényi, D. A generalized approach to parameterizing convection combining ensemble and data assimilation techniques. Geophys. Res. Lett. 2002, 29, 38-1–38-4. [Google Scholar] [CrossRef]
- Kain, J.S. The Kain–Fritsch Convective Parameterization: An Update. J. Appl. Meteorol. 2004, 43, 170–181. [Google Scholar] [CrossRef]
- Raju, P.V.S.; Potty, J.; Mohanty, U.C. Sensitivity of physical parameterizations on prediction of tropical cyclone Nargis over the Bay of Bengal using WRF model. Meteorol. Atmos. Phys. 2011, 113, 125–137. [Google Scholar] [CrossRef]
- Rodrigo, C.; Kim, S.; Jung, I.H. Sensitivity Study of WRF Numerical Modeling for Forecasting Heavy Rainfall in Sri Lanka. Atmosphere 2018, 9, 378. [Google Scholar] [CrossRef]
- Raktham, C.; Bruyère, C.; Kreasuwun, J.; Done, J.; Thongbai, C.; Promnopas, W. Simulation sensitivities of the major weather regimes of the Southeast Asia region. Clim. Dyn. 2015, 44, 1403–1417. [Google Scholar] [CrossRef]
- Chotamonsak, C.; Salathé, E.; Kreasuwan, J.; Chantara, S. Evaluation of Precipitation Simulations over Thailand using a WRF Regional Climate Model. Chiang Mai J. Sci. 2012, 39, 623–628. [Google Scholar]
- University Corporation for Atmospheric Research. WRF-ARW V4: User’s Guide. Available online: https://www2.mmm.ucar.edu/wrf/users/docs/user_guide_v4/v4.2/WRFUsersGuide_v42.pdf (accessed on 25 May 2023).
- Nasrollahi, N.; Aghakouchak, A.; Li, J.; Gao, X.; Hsu, K.-l.; Sorooshian, S. Assessing the Impacts of Different WRF Precipitation Physics in Hurricane Simulations. Weather Forecast. 2012, 27, 1003–1016. [Google Scholar] [CrossRef]
- Venkata Rao, G.; Venkata Reddy, K.; Sridhar, V. Sensitivity of Microphysical Schemes on the Simulation of Post-Monsoon Tropical Cyclones over the North Indian Ocean. Atmosphere 2020, 11, 1297. [Google Scholar] [CrossRef]
- Penny, A.B.; Harr, P.A.; Doyle, J.D. Sensitivity to the Representation of Microphysical Processes in Numerical Simulations during Tropical Storm Formation. Mon. Weather Rev. 2016, 144, 3611–3630. [Google Scholar] [CrossRef]
- National Oceanic and Atmospheric Administration. The Global Forecast System (GFS). Available online: https://www.emc.ncep.noaa.gov/emc/pages/numerical_forecast_systems/gfs.php (accessed on 10 July 2023).
- Consortium for Data Assimilative Modeling. GOFS 3.1: 41-Layer HYCOM + NCODA Global 1/12° Analysis. Available online: https://www.hycom.org/dataserver/gofs-3pt1/analysis (accessed on 10 July 2023).
- Ricchi, A.; Miglietta, M.M.; Barbariol, F.; Benetazzo, A.; Bergamasco, A.; Bonaldo, D.; Cassardo, C.; Falcieri, F.M.; Modugno, G.; Russo, A.; et al. Sensitivity of a Mediterranean Tropical-Like Cyclone to Different Model Configurations and Coupling Strategies. Atmosphere 2017, 8, 92. [Google Scholar] [CrossRef]
- Kirtsaeng, S.; Kreasuwun, J.; Chantara, S.; Kirtsaeng, S.; Sukthawee, P.; Masthawee, F. The Weather Research and Forecasting (WRF) Model Performance for a Simulation of the 5 November 2009 Heavy Rainfall over Southeast of Thailand. Chiang Mai J. Sci. 2011, 39, 511–523. [Google Scholar]







| Event No. | Heay Rainfall Event (Target Date) * | During Storm | Model Initial Date at 00 UTC | ||
|---|---|---|---|---|---|
| Lead-0 (24 h) | Lead-1 (48 h) | Lead-2 (72 h) | |||
| Event 1 | 14 June | TD Nuri | 14 June | 13 June | 12 June |
| Event 2 | 1 August | TD Sinlaku | 1 August | 31 July | 30 July |
| Event 3 | 18 September | TS Noul | 18 September | 17 September | 16 September |
| Event 4 | 16 October | TD | 16 October | 15 October | 14 October |
| Event 5 | 12 November | sTS Vamco | 12 November | 11 November | 10 November |
| Event 6 | 26 November | TC Nivar | 26 November | 25 November | 24 November |
| Event 7 | 1 December | TD | 1 December | 30 November | 29 November |
| EXP | CU | Reference | MP | Reference |
|---|---|---|---|---|
| CTRL * | BMJ | Janjic [53] | ETA | Zhao and Carr [54] |
| EXP-01 | BMJ | LIN | Chen and Sun [55] | |
| EXP-02 | BMJ | WSM3 | Hong et al. [56] | |
| EXP-03 | G3 | Grell and Dévényi [57] | ETA | |
| EXP-04 | G3 | LIN | ||
| EXP-05 | G3 | WSM3 | ||
| EXP-06 | KF | Kain [58] | ETA | |
| EXP-07 | KF | LIN | ||
| EXP-08 | KF | WSM3 |
| CU Scheme | Moisture Tendencies | Momentum Tendencies | Shallow Convection |
| BMJ | - | No | Yes |
| G3 | Qc, Qi | No | Yes |
| KF | Qc, Qr, Qi, Qs | No | Yes |
| MP Scheme | Mass Variables | ||
| ETA | Qc, Qr, Qs (Qt*) | ||
| LIN | Qc, Qr, Qi, Qs, Qg | ||
| WSM3 | Qc, Qr | ||
Disclaimer/Publisher’s Note: The statements, opinions and data contained in all publications are solely those of the individual author(s) and contributor(s) and not of MDPI and/or the editor(s). MDPI and/or the editor(s) disclaim responsibility for any injury to people or property resulting from any ideas, methods, instructions or products referred to in the content. |
© 2023 by the authors. Licensee MDPI, Basel, Switzerland. This article is an open access article distributed under the terms and conditions of the Creative Commons Attribution (CC BY) license (https://creativecommons.org/licenses/by/4.0/).
Share and Cite
Torsri, K.; Faikrua, A.; Peangta, P.; Sawangwattanaphaibun, R.; Akaranee, J.; Sarinnapakorn, K. Simulating Heavy Rainfall Associated with Tropical Cyclones and Atmospheric Disturbances in Thailand Using the Coupled WRF-ROMS Model—Sensitivity Analysis of Microphysics and Cumulus Parameterization Schemes. Atmosphere 2023, 14, 1574. https://doi.org/10.3390/atmos14101574
Torsri K, Faikrua A, Peangta P, Sawangwattanaphaibun R, Akaranee J, Sarinnapakorn K. Simulating Heavy Rainfall Associated with Tropical Cyclones and Atmospheric Disturbances in Thailand Using the Coupled WRF-ROMS Model—Sensitivity Analysis of Microphysics and Cumulus Parameterization Schemes. Atmosphere. 2023; 14(10):1574. https://doi.org/10.3390/atmos14101574
Chicago/Turabian StyleTorsri, Kritanai, Apiwat Faikrua, Pattarapoom Peangta, Rati Sawangwattanaphaibun, Jakrapop Akaranee, and Kanoksri Sarinnapakorn. 2023. "Simulating Heavy Rainfall Associated with Tropical Cyclones and Atmospheric Disturbances in Thailand Using the Coupled WRF-ROMS Model—Sensitivity Analysis of Microphysics and Cumulus Parameterization Schemes" Atmosphere 14, no. 10: 1574. https://doi.org/10.3390/atmos14101574
APA StyleTorsri, K., Faikrua, A., Peangta, P., Sawangwattanaphaibun, R., Akaranee, J., & Sarinnapakorn, K. (2023). Simulating Heavy Rainfall Associated with Tropical Cyclones and Atmospheric Disturbances in Thailand Using the Coupled WRF-ROMS Model—Sensitivity Analysis of Microphysics and Cumulus Parameterization Schemes. Atmosphere, 14(10), 1574. https://doi.org/10.3390/atmos14101574

