Estimation and Assessment of the Root Zone Soil Moisture from Near-Surface Measurements over Huai River Basin
Abstract
:1. Introduction
2. Materials and Methods
2.1. Study Area
2.2. Datasets
2.2.1. In Situ Measurements
2.2.2. RF_SMAP_L3_P Surface Soil Moisture
2.2.3. SMAP L4 SSM and RZSM Products
2.2.4. SMOS L3 and L4 Products
2.3. Methodology
2.3.1. The Recursive Exponential Filter
2.3.2. Calculation of Profile Soil Moisture (RZSM) Values
2.3.3. Precipitation-Based
3. Results
3.1. The Spatial–Temporal Variability of Soil Moisture
3.2. Cross Correlation Analysis
3.2.1. Cross-Correlation Coefficient Calculations
3.2.2. Controls on the Coupling Strength
3.3. Analysis of
3.4. Controlling Factors on
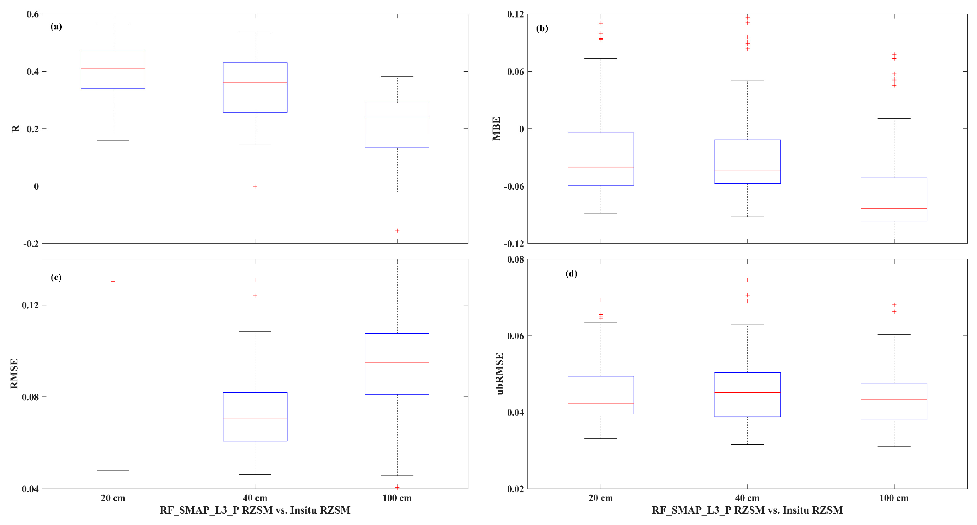
3.5. Evaluation of RF_SMAP_L3_P SSM Product
3.6. Estimation and Evaluation of RZSM from RF_SMAP_L3_P SSM
4. Conclusions
- (1)
- The coupling strength between SSM and RZSM was strong and correlated negatively with precipitation and air temperature for the pivotal role of soil moisture in land–atmosphere interactions.
- (2)
- There exists a hysteresis pattern between CV of spatial soil moisture and mean spatial soil moisture. The root zone soil moisture leads to a slight increase in the occurrence of hysteresis comparing with surface soil moisture. In general, a low precipitation event would mask the hysteresis pattern comparing with a high precipitation event.
- (3)
- The ExpF could be used to estimate RZSM from SSM (satellite-derived or model data) with reasonable accuracy at the watershed scale, but its utility declined with soil depth. And it performed better in wetter weather conditions than dry weather conditions. Precipitation-based significantly improved the accuracy of the exponential filter at a basin scale when it was applied to grid units, but it was subject to the accuracy of precipitation. However, gridded precipitation used to obtain was generally provided by reanalysis products or satellite-based retrievals, which had relatively large uncertainty to gauge-based observations and affected the acquisition of accurate in this study.
- (4)
- The ExpF might not be suitable for application in mountainous regions. Steep slope is more conductive to the quick formation of surface runoff than flat plain and less precipitation infiltrates into the soil. In addition, the water infiltrating into the soil could be hindered by the relatively impermeable layer (rock formation) and form subsurface runoff. Both mentioned above reduce the response of transfer of water in the soil to precipitation.
- (5)
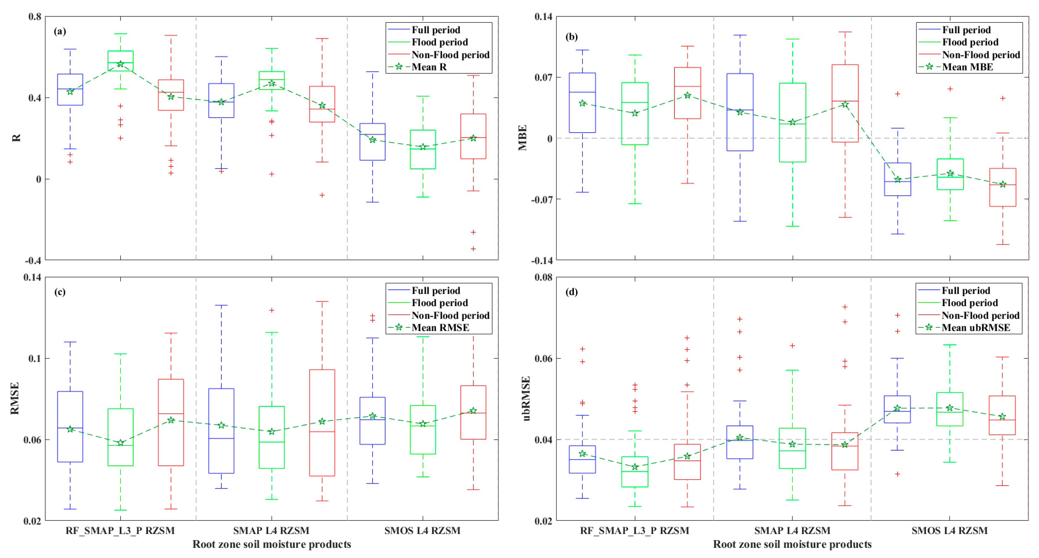
- Among the three research periods, RF_SMAP_L3_P and SMAP L4 RZSM had better performance during the flood period, but SMOS L4 RZSM performed better in the non-flood period. Among all of the RZSM products, RF_SMAP_L3_P RZSM captured the temporal variation of in situ soil moisture best and SMAP L4 RZSM had the lowest MBE.
Supplementary Materials
Author Contributions
Funding
Institutional Review Board Statement
Informed Consent Statement
Data Availability Statement
Acknowledgments
Conflicts of Interest
References
- Legates, D.R.; Mahmood, R.; Levia, D.F.; DeLiberty, T.L.; Quiring, S.M.; Houser, C.; Nelson, F.E. Soil moisture: A central and unifying theme in physical geography. Prog. Phys. Geogr. 2010, 35, 65–86. [Google Scholar] [CrossRef]
- Tian, J.; Han, Z.; Bogena, H.R.; Huisman, J.A.; He, C. Estimation of subsurface soil moisture from surface soil moisture in cold mountainous areas. Hydrol. Earth Syst. Sci. Discuss. 2020, 24, 4659–4674. [Google Scholar] [CrossRef]
- Alemohammad, S.H.; Kolassa, J.; Prigent, C.; Aires, F.; Gentine, P. Global Downscaling of Remotely-Sensed Soil Moisture using Neural Networks. Hydrol. Earth Syst. Sci. Discuss. 2018, 22, 5341–5356. [Google Scholar] [CrossRef] [Green Version]
- Babaeian, E.; Sadeghi, M.; Jones, S.B.; Montzka, C.; Vereecken, H.; Tuller, M. Ground, Proximal, and Satellite Remote Sensing of Soil Moisture. Rev. Geophys. 2019, 57, 530–616. [Google Scholar] [CrossRef] [Green Version]
- Dobriyal, P.; Qureshi, A.; Badola, R.; Hussain, S.A. A review of the methods available for estimating soil moisture and its implications for water resource management. J. Hydrol. 2012, 458, 110–117. [Google Scholar] [CrossRef]
- Brocca, L.; Melone, F.; Moramarco, T.; Wagner, W.; Naeimi, V.; Bartalis, Z.; Hasenauer, S. Improving runoff prediction through the assimilation of the ASCAT soil moisture product. Hydrol. Earth Syst. Sci. 2010, 14, 1881–1893. [Google Scholar] [CrossRef] [Green Version]
- Brocca, L.; Melone, F.; Moramarco, T. Soil Moisture Monitoring at Different Scales for Rainfall-Runoff Modelling. In Proceedings of the 4th International Congress on Environmental Modelling and Software, Barcelona, Spain, 7–10 July 2008; pp. 407–414. Available online: http://scholarsarchive.byu.edu/iemssconference/2008/all/63 (accessed on 1 January 2023).
- Srivastava, A.; Saco, P.M.; Rodriguez, J.F.; Kumari, N.; Chun, K.P.; Yetemen, O. The role of landscape morphology on soil moisture variability in semi-arid ecosystems. Hydrol. Process. 2020, 35, e13990. [Google Scholar] [CrossRef]
- Teuling, A.J.; Hupet, F.; Uijlenhoet, R.; Troch, P.A. Climate variability effects on spatial soil moisture dynamics. Geophys. Res. Lett. 2007, 34, L06406. [Google Scholar] [CrossRef]
- Fatichi, S.; Katul, G.G.; Ivanov, V.Y.; Pappas, C.; Paschalis, A.; Consolo, A.; Kim, J.; Burlando, P. Abiotic and biotic controls of soil moisture spatiotemporal variability and the occurrence of hysteresis. Water Resour. Res. 2015, 51, 3505–3524. [Google Scholar] [CrossRef]
- Tobin, K.J.; Crow, W.T.; Dong, J.; Bennett, M.E. Validation of a New Root-Zone Soil Moisture Product: Soil MERGE. IEEE J. Sel. Top. Appl. Earth Obs. Remote Sens. 2019, 12, 3351–3365. [Google Scholar] [CrossRef]
- Collow, T.W.; Robock, A.; Basara, J.B.; Illston, B.G. Evaluation of SMOS retrievals of soil moisture over the central United States with currently available in situ observations. J. Geophys. Res. Atmos. 2012, 117, D09113. [Google Scholar] [CrossRef] [Green Version]
- Pablos, M.; González-Zamora, Á.; Sánchez, N.; Martínez-Fernández, J. Assessment of Root Zone Soil Moisture Estimations from SMAP, SMOS and MODIS Observations. Remote Sens. 2018, 10, 981. [Google Scholar] [CrossRef] [Green Version]
- Abolafia-Rosenzweig, R.; Livneh, B.; Small, E.E.; Kumar, S.V. Soil Moisture Data Assimilation to Estimate Irrigation Water Use. J. Adv. Model. Earth. Syst. 2019, 11, 3670–3690. [Google Scholar] [CrossRef] [Green Version]
- Jalilvand, E.; Abolafia-Rosenzweig, R.; Tajrishy, M.; Das, N. Evaluation of SMAP/Sentinel 1 High-Resolution Soil Moisture Data to Detect Irrigation Over Agricultural Domain. IEEE J. Sel. Top. Appl. Earth Obs. Remote Sens. 2021, 14, 10733–10747. [Google Scholar] [CrossRef]
- Brocca, L.; Ciabatta, L.; Massari, C.; Moramarco, T.; Hahn, S.; Hasenauer, S.; Kidd, R.; Dorigo, W.; Wagner, W.; Levizzani, V. Soil as a natural rain gauge: Estimating global rainfall from satellite soil moisture data. J. Geophys. Res. Atmos. 2014, 119, 5128–5141. [Google Scholar] [CrossRef]
- Boé, J. Modulation of soil moisture–precipitation interactions over France by large scale circulation. Clim. Dyn. 2012, 40, 875–892. [Google Scholar] [CrossRef]
- McColl, K.A.; Alemohammad, S.H.; Akbar, R.; Konings, A.G.; Yueh, S.; Entekhabi, D. The global distribution and dynamics of surface soil moisture. Nat. Geosci. 2017, 10, 100–104. [Google Scholar] [CrossRef]
- Tuttle, S.; Salvucci, G. Empirical evidence of contrasting soil moisture-precipitation feedbacks across the United States. Science 2016, 352, 825–828. [Google Scholar] [CrossRef] [Green Version]
- Kędzior, M.; Zawadzki, J. SMOS data as a source of the agricultural drought information: Case study of the Vistula catchment, Poland. Geoderma 2017, 306, 167–182. [Google Scholar] [CrossRef]
- Baldwin, D.; Manfreda, S.; Keller, K.; Smithwick, E.A.H. Predicting root zone soil moisture with soil properties and satellite near-surface moisture data across the conterminous United States. J. Hydrol. 2017, 546, 393–404. [Google Scholar] [CrossRef]
- Mahmood, R.; Hubbard, K.G. Relationship between soil moisture of near surface and multiple depths of the root zone under heterogeneous land uses and varying hydroclimatic conditions. Hydrol. Process. 2007, 21, 3449–3462. [Google Scholar] [CrossRef]
- Calvet, J.C.; Noilhan, J. From Near-Surface to Root-Zone Soil Moisture Using Year-Round Data. J. Hydrometeorol. 2000, 1, 393–411. [Google Scholar] [CrossRef]
- Martinez, C.; Hancock, G.R.; Kalma, J.D.; Wells, T. Spatio-temporal distribution of near-surface and root zone soil moisture at the catchment scale. Hydrol. Process. 2008, 22, 2699–2714. [Google Scholar] [CrossRef]
- Mahmood, R.; Littell, A.; Hubbard, K.G.; You, J. Observed data-based assessment of relationships among soil moisture at various depths, precipitation, and temperature. Appl. Geogr. 2012, 34, 255–264. [Google Scholar] [CrossRef]
- Camps, A.; Gourrion, J.; Tarongi, J.M.; Vall Llossera, M.; Gutierrez, A.; Barbosa, J.; Castro, R. Radio-Frequency Interference Detection and Mitigation Algorithms for Synthetic Aperture Radiometers. Algorithms 2011, 4, 155–182. [Google Scholar] [CrossRef] [Green Version]
- Wang, X.; Lü, H.; Crow, W.; Zhu, Y.; Wang, Q.; Su, J.; Zheng, J.; Gou, Q.; Wang, X.; Liu, E. Potential Feasibility of NASA-derived products in Filling SMAP Soil Moisture Gaps by Random Forest: A case in a humid and sub-humid basin. J. Hydrol. 2022; under review. Available online: https://pan.baidu.com/s/1AYM1EcmiBvLOAfXZQae1LQ?pwd=od5m(accessed on 1 January 2023).
- Gao, X.; Zhao, X.; Brocca, L.; Pan, D.; Wu, P. Testing of observation operators designed to estimate profile soil moisture from surface measurements. Hydrol. Process. 2019, 33, 575–584. [Google Scholar] [CrossRef]
- Zhang, N.; Quiring, S.; Ochsner, T.; Ford, T. Comparison of Three Methods for Vertical Extrapolation of Soil Moisture in Oklahoma. Vadose Zone J. 2017, 16, 1–19. [Google Scholar] [CrossRef] [Green Version]
- Prasad, R.; Deo, R.C.; Li, Y.; Maraseni, T. Soil moisture forecasting by a hybrid machine learning technique: ELM integrated with ensemble empirical mode decomposition. Geoderma 2018, 330, 136–161. [Google Scholar] [CrossRef]
- Carranza, C.; Nolet, C.; Pezij, M.; van der Ploeg, M. Root zone soil moisture estimation with Random Forest. J. Hydrol. 2021, 593, 125840. [Google Scholar] [CrossRef]
- Kornelsen, K.C.; Coulibaly, P. Root-zone soil moisture estimation using data-driven methods. Water Resour. Res. 2014, 50, 2946–2962. [Google Scholar] [CrossRef]
- Albergel, C.; Rüdiger, C.; Pellarin, T.; Calvet, J.C.; Fritz, N.; Froissard, F.; Suquia, D.; Petitpa, A.; Piguet, B.; Martin, E. From near-surface to root-zone soil moisture using an exponential filter: An assessment of the method based on in-situ observations and model simulations. Hydrol. Earth Syst. Sci. 2008, 12, 1323–1337. [Google Scholar] [CrossRef] [Green Version]
- Wagner, W.; Lemoine, G.; Rott, H. A Method for Estimating Soil Moisture from ERS Scatterometer and Soil Data. Remote Sens. Environ. 1999, 70, 191–207. [Google Scholar] [CrossRef]
- Cho, E.; Choi, M.; Wagner, W. An assessment of remotely sensed surface and root zone soil moisture through active and passive sensors in northeast Asia. Remote Sens. Environ. 2015, 160, 166–179. [Google Scholar] [CrossRef]
- Dumedah, G.; Walker, J.P.; Merlin, O. Root-zone soil moisture estimation from assimilation of downscaled Soil Moisture and Ocean Salinity data. Adv. Water Resour. 2015, 84, 14–22. [Google Scholar] [CrossRef]
- Rouf, T.; Maggioni, V.; Mei, Y.; Houser, P. Towards hyper-resolution land-surface modeling of surface and root zone soil moisture. J. Hydrol. 2021, 594, 125945. [Google Scholar] [CrossRef]
- Wyatt, B.M.; Ochsner, T.E.; Zou, C.B. Estimating root zone soil moisture across diverse land cover types by integrating in-situ and remotely sensed data. Agric. For. Meteorol. 2021, 307, 108471. [Google Scholar] [CrossRef]
- Karandish, F.; Šimůnek, J. A comparison of numerical and machine-learning modeling of soil water content with limited input data. J. Hydrol. 2016, 543, 892–909. [Google Scholar] [CrossRef] [Green Version]
- Ford, T.W.; Harris, E.; Quiring, S.M. Estimating root zone soil moisture using near-surface observations from SMOS. Hydrol. Earth Syst. Sci. 2014, 18, 139–154. [Google Scholar] [CrossRef] [Green Version]
- Wang, T.; Franz, T.E.; You, J.; Shulski, M.D.; Ray, C. Evaluating controls of soil properties and climatic conditions on the use of an exponential filter for converting near surface to root zone soil moisture contents. J. Hydrol. 2017, 548, 683–696. [Google Scholar] [CrossRef] [Green Version]
- Wang, X.; Lü, H.; Crow, W.T.; Zhu, Y.; Wang, Q.; Su, J.; Zheng, J.; Gou, Q. Assessment of SMOS and SMAP soil moisture products against new estimates combining physical model, a statistical model, and in-situ observations: A case study over the Huai River Basin, China. J. Hydrol. 2021, 598, 126468. [Google Scholar] [CrossRef]
- Gou, Q.; Zhu, Y.; Horton, R.; Lü, H.; Wang, Z.; Su, J.; Cui, C.; Zhang, H.; Wang, X.; Zheng, J.; et al. Effect of climate change on the contribution of groundwater to the root zone of winter wheat in the Huaibei Plain of China. Agric. Water Manag. 2020, 240, 106292. [Google Scholar] [CrossRef]
- Su, J.; Lü, H.; Zhu, Y.; Cui, Y.; Wang, X. Evaluating the hydrological utility of latest IMERG products over the Upper Huaihe River Basin, China. Atmos. Res. 2019, 225, 17–29. [Google Scholar] [CrossRef]
- Yin, Y.; Chen, H.; Zhai, P.; Xu, C.-Y.; Ma, H. Characteristics of summer extreme precipitation in the Huai River basin and their relationship with East Asia summer monsoon during 1960–2014. Int. J. Climatol. 2019, 39, 1555–1570. [Google Scholar] [CrossRef]
- CMA Evaluation of Chinese Ground-Based Precipitation Grid Dataset (V 2.0). 2012. Available online: http://image.data.cma.cn/static/subject/doc/SURF_CLI_CHN_PRE_MON_GRID_0.5_ASSESSMENT.pdf (accessed on 1 October 2015). (In Chinese).
- CMA Evaluation of Chinese Ground-Based Air Temperature Grid Dataset (V 2.0). 2012. Available online: https://www.ckcest.cn/default/es3/detail/4004/dw_dataset/cccc30b0dcc368d608cd0c9db2dd5647 (accessed on 1 October 2015). (In Chinese).
- Shangguan, W.; Dai, Y.J.; Liu, B.Y.; Zhu, A.X.; Duan, Q.Y.; Wu, L.Z.; Ji, D.Y.; Ye, A.Z.; Yuan, H.; Zhang, Q. A China data set of soil properties for land surface modeling. J. Adv. Model. Earth Syst. 2013, 5, 212–224. [Google Scholar] [CrossRef]
- Reichle, R.H.; Liu, Q.; Koster, R.D.; Crow, W.T.; De Lannoy, G.J.M.; Kimball, J.S.; Ardizzone, J.V.; Bosch, D.; Colliander, A.; Cosh, M.; et al. Version 4 of the SMAP Level-4 Soil Moisture Algorithm and Data Product. J. Adv. Model. Earth Syst. 2019, 11, 3106–3130. [Google Scholar] [CrossRef] [Green Version]
- Albergel, C.; Rüdiger, C.; Carrer, D.; Calvet, J.C.; Fritz, N.; Naeimi, V.; Bartalis, Z.; Hasenauer, S. An evaluation of ASCAT surface soil moisture products with in-situ observations in Southwestern France. Hydrol. Earth Syst. Sci. Discuss. 2009, 13, 115–124. [Google Scholar] [CrossRef] [Green Version]
- Stroud, P.D. A Recursive Exponential Filter for Time-Sensitive Data; Los Alamos National Laboratory: Los Alamos, NM, USA, 1999; LAUR-99-5573; Available online: https://www.researchgate.net/publication/242230998_A_Recursive_Exponential_Filter_For_Time-Sensitive_Data (accessed on 3 January 2023).
- Wang, T.; Franz, T.E.; Zlotnik, V.A. Controls of soil hydraulic characteristics on modeling groundwater recharge under different climatic conditions. J. Hydrol. 2014, 521, 470–481. [Google Scholar] [CrossRef]
- Brocca, L.; Hasenauer, S.; Lacava, T.; Melone, F.; Moramarco, T.; Wagner, W.; Dorigo, W.; Matgen, P.; Martínez-Fernández, J.; Llorens, P.; et al. Soil moisture estimation through ASCAT and AMSR-E sensors: An intercomparison and validation study across Europe. Remote Sens. Environ. 2011, 115, 3390–3408. [Google Scholar] [CrossRef]
- Xing, Z.; Fan, L.; Zhao, L.; De Lannoy, G.; Frappart, F.; Peng, J.; Li, X.; Zeng, J.; Al-Yaari, A.; Yang, K.; et al. A first assessment of satellite and reanalysis estimates of surface and root-zone soil moisture over the permafrost region of Qinghai-Tibet Plateau. Remote Sens. Environ. 2021, 265, 112666. [Google Scholar] [CrossRef]
- Taylor, C.M.; de Jeu, R.A.; Guichard, F.; Harris, P.P.; Dorigo, W.A. Afternoon rain more likely over drier soils. Nature 2012, 489, 423–426. [Google Scholar] [CrossRef]
- Shukla, J.; Mintz, Y. Influence of Land-Surface Evapotranspiration on the Earth’s Climate. Science 1982, 215, 1498–1501. [Google Scholar] [CrossRef] [PubMed]
- Findell, K.L.; Eltahir, E. Atmospheric Controls on Soil Moisture–Boundary Layer Interactions. Part II: Feedbacks within the Continental United States. J. Hydrometeorol. 2003, 4, 570–583. [Google Scholar] [CrossRef]
- Taylor, C.M.; Parker, D.J.; Harris, P.P. An observational case study of mesoscale atmospheric circulations induced by soil moisture. Geophys. Res. Lett. 2007, 34, L15801. [Google Scholar] [CrossRef] [Green Version]
- Zha, L.; Wu, K.; Li, L.; Cheng, J.; Ju, B. The Cultivation Obstacle Factors of Lime Concretion Black Soil Genuses in Henan. Chin. J. Soil Sci. 2013, 46, 280–286. [Google Scholar] [CrossRef]
- Ceballos, A.; Scipal, K.; Wagner, W.; Martínez-Fernández, J. Validation of ERS scatterometer-derived soil moisture data in the central part of the Duero Basin, Spain. Hydrol. Process. 2005, 19, 1549–1566. [Google Scholar] [CrossRef]
- Reichle, R.H.; De Lannoy, G.J.M.; Liu, Q.; Ardizzone, J.V.; Colliander, A.; Conaty, A.; Crow, W.; Jackson, T.J.; Jones, L.A.; Kimball, J.S.; et al. Assessment of the SMAP Level-4 Surface and Root-Zone Soil Moisture Product Using In Situ Measurements. J. Hydrometeorol. 2017, 18, 2621–2645. [Google Scholar] [CrossRef]













| Source | Depth | NSE | Mean of NSE | ||
|---|---|---|---|---|---|
| This article (5 cm) | 20 cm | 1–25 | 4 | 0.14–0.94 | 0.57 |
| 40 cm | 1–60 | 8 | 0.04–0.82 | 0.55 | |
| 100 cm | 2–60 | 36 | −0.74–0.71 | 0.31 | |
| soil profile | 1–60 | 11 | −0.39–0.92 | 0.50 | |
| [2] (5 cm) | 15 cm | 1–6 | 2.48 | 0.27–0.99 | 0.63 |
| 25 cm | 1–24 | 7.29 | −0.09–0.91 | 0.41 | |
| 40 cm | 1–48 | 12.37 | −0.23–0.71 | 0.24 | |
| 60 cm | 1–60 | 18.93 | −0.64–0.64 | −0.03 | |
| soil profile | 1–11 | 4.32 | 0.32–0.96 | 0.64 | |
| (10 cm) [41] (5 cm) | 25 cm | 2–58 | 10.47 | 0.03–0.86 | 0.59 |
| 50 cm | 4–60 | 29.78 | −1.24–0.68 | 0.24 | |
| soil profile | 1–22 | 4.81 | 0.33–0.91 | 0.76 | |
| 10 cm | 1–60 | 4.90 | −3.57–0.94 | 0.57 | |
| 20 cm | 1–60 | 15.83 | −6.66–0.92 | 0.05 | |
| 50 cm | 1–60 | 31.71 | −5.86–0.77 | −0.50 | |
| soil profile | 1–60 | 9.98 | −3.58–0.91 | 0.42 | |
| [40] (5 and 10 cm) | 25 cm | 2–22 | 8 | 0.07–0.84 | 0.63 |
| 25 cm | 3–20 | 9 | 0.08–0.83 | 0.64 | |
| [33] (5 cm) | 30 cm | 3–11 | 6 | 0.56–0.94 | 0.85 |
| [60] (5 cm) | 25 cm | 20–60 | 40 | 0.62–0.77 | 0.67 |
| (50~100) cm | 50–60 | 60 | 0.41–0.74 | 0.62 | |
| 100 cm | 40–60 | 50 | 0.57–0.75 | 0.69 | |
| [34] (5 cm) | 20 cm | 15–30 | 15 | / | / |
| 100 cm | 15–30 | 20 | / | / |
| Depth | Statics | (Days) | NSE | RMSE | MBE | |||
|---|---|---|---|---|---|---|---|---|
| Stations-Averaged T | Precipitation-Based T | Stations-Averaged T | Precipitation-Based T | Stations-Averaged T | Precipitation-Based T | |||
| 20 cm | Range | 1–25 | 0.03–0.89 | 0.37–0.94 | 0.10–0.21 | 0.06–0.16 | −0.15–0.15 | −0.09–0.06 |
| Average | 4 | 0.53 | 0.63 | 0.15 | 0.11 | 0.00 | 0.00 | |
| SD | 8.26 | 0.27 | 0.2 | 0.04 | 0.03 | 0.07 | 0.04 | |
| 40 cm | Range | 1–60 | −0.01–0.81 | 0.24–0.82 | 0.11–0.25 | 0.08–0.16 | −0.16–0.17 | −0.11–0.09 |
| Average | 8 | 0.46 | 0.59 | 0.17 | 0.12 | 0.01 | 0.00 | |
| SD | 16.44 | 0.29 | 0.24 | 0.04 | 0.03 | 0.09 | 0.05 | |
| 100 cm | Range | 2–60 | −1.26–0.6 | −0.74–0.71 | 0.12–0.29 | 0.09–0.22 | −0.28–0.12 | −0.19–0.11 |
| Average | 36 | 0.19 | 0.32 | 0.20 | 0.16 | −0.04 | −0.03 | |
| SD | 23.62 | 0.42 | 0.32 | 0.05 | 0.04 | 0.12 | 0.09 | |
| Profile | Range | 1–60 | −0.67–0.84 | −0.38–0.84 | 0.10–0.25 | 0.08–0.21 | −0.21–0.13 | −0.13–0.09 |
| Average | 11 | 0.42 | 0.55 | 0.17 | 0.13 | −0.01 | −0.01 | |
| SD | 15.71 | 0.33 | 0.22 | 0.05 | 0.04 | 0.10 | 0.06 | |
| Depth | Statistics | R | MBE | RMSE | ubRMSE |
|---|---|---|---|---|---|
| 20 cm | Range | 0.19–0.59 | −0.08–0.02 | 0.08–0.13 | 0.03–0.07 |
| Mean | 0.40 | −0.02 | 0.07 | 0.04 | |
| 40 cm | Range | 0–0.54 | −0.11–0.11 | 0.05–0.13 | 0.03–0.07 |
| Mean | 0.35 | −0.03 | 0.08 | 0.05 | |
| 100 cm | Range | −0.15–0.39 | −0.13–0.32 | 0.04–0.33 | 0.02–0.07 |
| Mean | 0.20 | 0 | 0.12 | 0.04 |
Disclaimer/Publisher’s Note: The statements, opinions and data contained in all publications are solely those of the individual author(s) and contributor(s) and not of MDPI and/or the editor(s). MDPI and/or the editor(s) disclaim responsibility for any injury to people or property resulting from any ideas, methods, instructions or products referred to in the content. |
© 2023 by the authors. Licensee MDPI, Basel, Switzerland. This article is an open access article distributed under the terms and conditions of the Creative Commons Attribution (CC BY) license (https://creativecommons.org/licenses/by/4.0/).
Share and Cite
Liu, E.; Zhu, Y.; Lü, H.; Horton, R.; Gou, Q.; Wang, X.; Ding, Z.; Xu, H.; Pan, Y. Estimation and Assessment of the Root Zone Soil Moisture from Near-Surface Measurements over Huai River Basin. Atmosphere 2023, 14, 124. https://doi.org/10.3390/atmos14010124
Liu E, Zhu Y, Lü H, Horton R, Gou Q, Wang X, Ding Z, Xu H, Pan Y. Estimation and Assessment of the Root Zone Soil Moisture from Near-Surface Measurements over Huai River Basin. Atmosphere. 2023; 14(1):124. https://doi.org/10.3390/atmos14010124
Chicago/Turabian StyleLiu, En, Yonghua Zhu, Haishen Lü, Robert Horton, Qiqi Gou, Xiaoyi Wang, Zhenzhou Ding, Haiting Xu, and Ying Pan. 2023. "Estimation and Assessment of the Root Zone Soil Moisture from Near-Surface Measurements over Huai River Basin" Atmosphere 14, no. 1: 124. https://doi.org/10.3390/atmos14010124
APA StyleLiu, E., Zhu, Y., Lü, H., Horton, R., Gou, Q., Wang, X., Ding, Z., Xu, H., & Pan, Y. (2023). Estimation and Assessment of the Root Zone Soil Moisture from Near-Surface Measurements over Huai River Basin. Atmosphere, 14(1), 124. https://doi.org/10.3390/atmos14010124
