Monitoring the Influence of Industrialization and Urbanization on Spatiotemporal Variations of AQI and PM2.5 in Three Provinces, China
Abstract
:1. Introduction
2. Materials and Methods
2.1. Data
2.1.1. Research Region
2.1.2. Data Sources
2.1.3. Indicators System
2.2. The Hybrid SC-RS-XGBoost Model
2.2.1. The Principle of SC
2.2.2. The Principle of RS
2.2.3. The Principle of XGBoost
| Algorithm1: SC-RS-XGBoost |
| Input:= {(Xi)} (Xi, i = 1, 2, …, n), original data with n samples and m feature variables |
| Output: = {(Xi)} (Xi, i = 1, 2, …, n), using SC to screen correlation coefficients greater than 0.3 based on (l < n) |
| Input: Objective function of RS, f(X,Y) = g(X) h(Y) |
| Set default values and value ranges of parameters to be optimized Set the threshold of mean squared error (MSE) |
| Output: Every parameter value when f(X,Y) reaches the maximum value |
| Input: = {(Xi)} (Xi, i = 1, 2, …, n) I, instance set of current node d, feature dimension |
| Gain0 |
| G, H for k = 1 to T do |
| GL0, HL0 for j in sorted(I, by ) do |
| GLGL gj, HLHL hj GRG GL, HRH HL |
| score max (score, ) |
| end |
| end |
| Output: Split with max score |
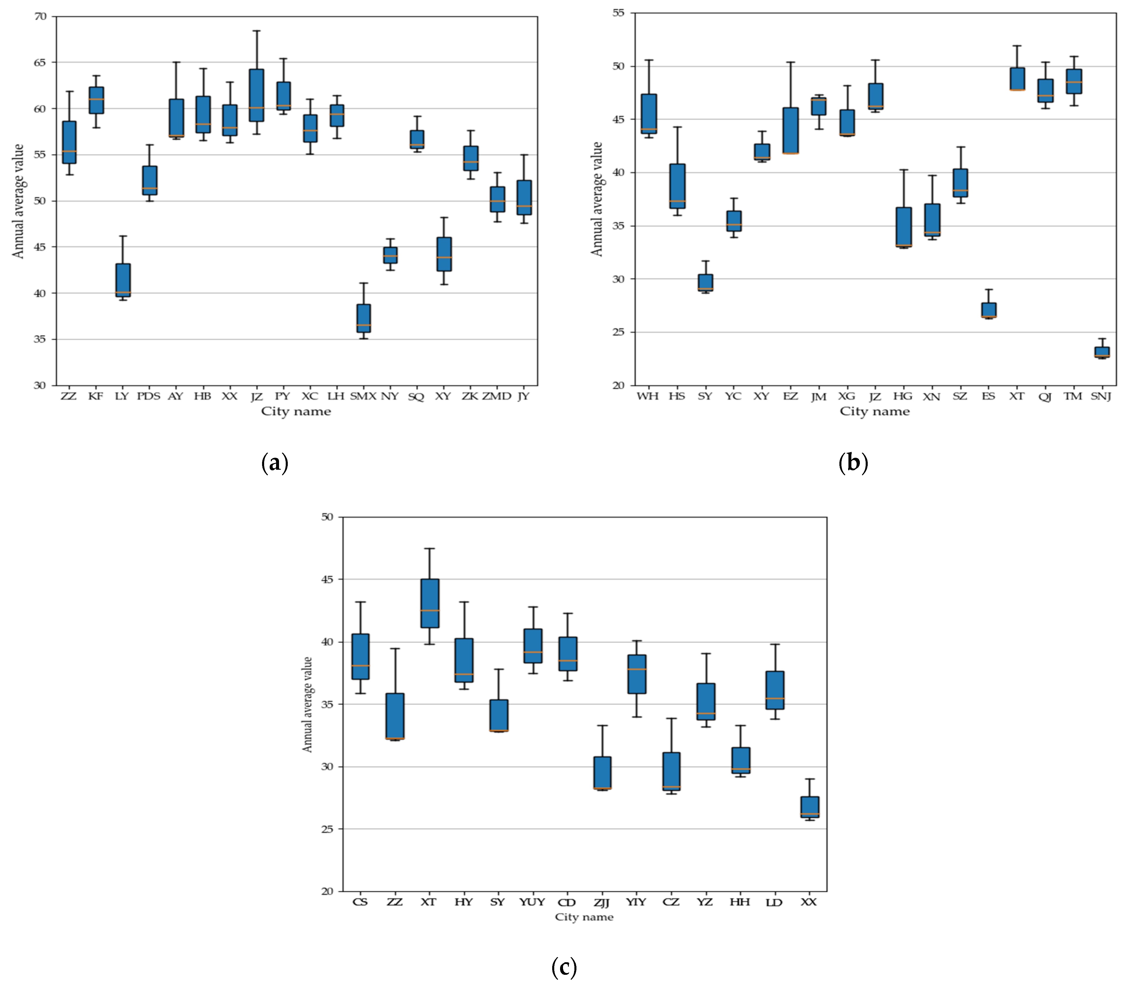
3. Analytical Results of APIIU
4. Discussion
4.1. Evaluation Indicator
4.2. Result Analysis Based on SC-RS-XGBoost
5. Conclusions
Supplementary Materials
Author Contributions
Funding
Institutional Review Board Statement
Informed Consent Statement
Data Availability Statement
Conflicts of Interest
Appendix A


References
- Lelieveld, J.; Evans, J.S.; Fnais, M.; Giannadaki, D.; Pozzer, A. The contribution of outdoor air pollution sources to premature mortality on a global scale. Nature 2015, 525, 367–371. [Google Scholar] [CrossRef]
- Huang, F.F.; Pan, B.; Wu, J.; Chen, E.G.; Chen, L.Y. Relationship between exposure to PM2.5 and lung cancer incidence and mortality: A meta-analysis. Oncotarget 2017, 8, 43322–43331. [Google Scholar] [CrossRef] [PubMed]
- Bilal, M.; Nichol, J.; Nazeer, M.; Shi, Y.; Wang, L.C.; Kumar, K.; Ho, H.; Mazhar, U.; Bleiweiss, M.; Qiu, Z.F.; et al. Characteristics of fine particulate matter (PM2.5) over urban, suburban and rural areas of Hong Kong. Atmosphere 2019, 10, 496. [Google Scholar] [CrossRef]
- Georgieva, E.; Syrakov, D.; Prodanova, M.; Etropolska, I.; Slavov, K. Evaluating the performance of WRF-CMAQ air quality modelling system in Bulgaria by means of the DELTA tool. Int. J. Environ. Pollut. 2015, 57, 272–284. [Google Scholar] [CrossRef]
- Robichaud, A. Surface data assimilation of chemical compounds over North America and its impact on air quality and Air Quality Health Index (AQHI) forecasts. Air. Qual. Atmos. Health 2017, 10, 955–970. [Google Scholar] [CrossRef]
- Xu, Y.N.; Liu, H.; Duan, Z. A novel hybrid model for multi-step daily AQI forecasting driven by air pollution big data. Air. Qual. Atmos. Health 2020, 13, 197–207. [Google Scholar] [CrossRef]
- Loomis, D.; Grosse, Y.; Lauby-Secretan, B.; El Ghissassi, F.; Bouvard, V.; Benbrahim-Tallaa, L.; Guha, N.; Baan, R.; Mattock, H.; Straif, K.; et al. The carcinogenicity of outdoor air pollution. Lancet. Oncol. 2013, 14, 1262–1263. [Google Scholar] [CrossRef]
- Balmes, J.R. Household air pollution from domestic combustion of solid fuels and health. J. Allergy. Clin. Immul. 2019, 143, 1979–1987. [Google Scholar] [CrossRef]
- Du, W.; Zhuo, S.J.; Wang, J.Z.; Luo, Z.H.; Chen, Y.C.; Wang, Z.L.; Lin, N.; Cheng, H.F.; Shen, G.F.; Tao, S. Substantial leakage into indoor air from on-site solid fuel combustion in chimney stoves. Environ. Pollut. 2021, 291, 118138. [Google Scholar] [CrossRef]
- European Environment Agency. Air Quality in Europe—2017 Report, EEA Report No 13/2017. Available online: https://www.eea.europa.eu/publications/air-quality-in-europe-2017 (accessed on 8 May 2022).
- European Environment Agency. Air Quality in Europe—2021 Report, EEA Report No 8/2021. Available online: https://www.eea.europa.eu//publications/air-quality-in-europe-2021 (accessed on 8 May 2022).
- Chen, R.J.; Kan, H.D.; Chen, B.H.; Huang, W.; Bai, Z.P.; Song, G.X.; Pan, G.W. Association of particulate air pollution with daily mortality: The China air pollution and health effects study. Epidemiology 2012, 175, 1173–1181. [Google Scholar] [CrossRef] [Green Version]
- Ding, Y.H.; Liu, Y.J. Analysis of long-term variations of fog and haze in China in recent 50 years and their relations with atmospheric humidity. Sci. China-Earth Sci. 2014, 57, 36–46. [Google Scholar] [CrossRef]
- Zheng, B.; Tong, D.; Li, M.; Liu, F.; Hong, C.P.; Geng, G.N.; Li, H.Y.; Li, X.; Peng, L.Q.; Qi, J.; et al. Trends in China’s anthropogenic emissions since 2010 as the consequence of clean air actions. Atmos. Chem. Phys. 2018, 18, 14095–14111. [Google Scholar] [CrossRef]
- Xu, P.; Chen, Y.F.; Ye, X.J. Haze, Air Pollution, and Health in China. Lancet 2013, 382, 2067. [Google Scholar] [CrossRef]
- Li, X.; Zhang, Q.; Zhang, Y.; Zheng, B.; Wang, K.; Chen, Y.; Wallington, T.J.; Han, W.; Shen, W.; Zhang, X.Y.; et al. Source contributions of urban PM2.5 in the Beijing–Tianjin–Hebei Region: Changes between 2006 and 2013 and relative impacts of emissions and meteorology. Atmos. Environ. 2015, 123, 229–239. [Google Scholar] [CrossRef]
- GBD 2016 Risk Factors Collaborators. Global, regional, and national comparative risk assessment of 84 behavioral, environmental and occupational, and metabolic risks or clusters of risks, 1990-2016: A systematic analysis for the Global Burden of Disease Study 2016. Lancet 2017, 390, 1345–1422. [Google Scholar] [CrossRef]
- Zhang, X.Y.; Wang, Y.Q.; Niu, T.; Zhang, X.C.; Gong, S.L.; Zhang, Y.M.; Sun, J.Y. Atmospheric aerosol compositions in China: Spatial/temporal variability, chemical signature, regional haze distribution and comparisons with global aerosols. Atmos. Chem. Phys. 2012, 12, 779–799. [Google Scholar] [CrossRef]
- Wang, X.X.; Wang, L.Q.; Liu, Y.Y.; Hu, S.G.; Liu, X.Z.; Dong, Z.Z. A data-driven air quality assessment method based on unsupervised machine learning and median statistical analysis: The case of China. J. Clean. Prod. 2021, 328, 129531. [Google Scholar] [CrossRef]
- Du, X.H.; Chen, R.J.; Meng, X.; Liu, C.; Niu, Y.; Wang, W.D.; Li, S.Q.; Kan, H.D.; Zhou, M.G. The establishment of national air quality health index in China. Environ. Int. 2020, 138, 105594. [Google Scholar] [CrossRef]
- Feng, L.; Liao, W.J. Legislation, plans, and policies for prevention and control of air pollution in China: Achievements, challenges and improvements. J. Clean. Prod. 2016, 112, 1549–1558. [Google Scholar] [CrossRef]
- Bo, M.; Salizzoni, P.; Clerico, M.; Buccolieri, R. Assessment of indoor-outdoor particulate matter air pollution: A Review. Atmosphere 2017, 8, 136. [Google Scholar] [CrossRef] [Green Version]
- Kayes, I.; Shahriar, S.A.; Hasan, K.; Akhter, M.; Kabir, M.M.; Salam, M.A. The relationships between meteorological parameters and air pollutants in an urban environment. Glob. J. Environ. Sci. Manag. 2019, 5, 265–278. [Google Scholar]
- Islam, M.; Sharmin, M.; Ahmed, F. Predicting air quality of Dhaka and Sylhet divisions in Bangladesh: A time series modeling approach. Air. Qual. Atmos. Health 2020, 13, 607–615. [Google Scholar] [CrossRef]
- Su, Y.; Yu, Y.Q. Dynamic early warning of regional atmospheric environmental carrying capacity. Sci. Total Environ. 2020, 714, 136684. [Google Scholar] [CrossRef] [PubMed]
- Bao, J.M.; Li, H.; Wu, Z.H.; Zhang, X.; Zhang, H.; Li, Y.F.; Qian, J.; Chen, J.H.; Deng, L.Q. Atmospheric carbonyls in a heavy ozone pollution episode at a metropolis in Southwest China: Characteristics, health risk assessment, sources analysis. J. Environ. Sci. 2022, 113, 40–54. [Google Scholar] [CrossRef]
- Wang, S.P.; Li, K.Q.; Liang, S.K.; Zhang, P.; Lin, G.H.; Wang, X.L. An integrated method for the control factor identification of resources and environmental carrying capacity in coastal zones: A case study in Qingdao, China. Ocean. Coast. Manag. 2017, 142, 90–97. [Google Scholar] [CrossRef]
- Su, Y.; Yu, Y.Q. Spatial association effect of regional pollution control. J. Clean. Prod. 2019, 213, 540–552. [Google Scholar] [CrossRef]
- Zhai, B.X.; Chen, J.G. Development of a stacked ensemble model for forecasting and analyzing daily average PM2.5 concentrations in Beijing, China. Sci. Total Environ. 2018, 635, 644–658. [Google Scholar] [CrossRef]
- Liu, H.; Jin, K.R.; Duan, Z. Air PM2.5 concentration multi-step forecasting using a new hybrid modeling method: Comparing cases for four cities in China. Atmos. Pollut. Res. 2019, 10, 1588–1600. [Google Scholar] [CrossRef]
- Zafra, C.; Angel, Y.; Torres, E. ARIMA analysis of the effect of land surface coverage on PM10 concentrations in a high-altitude megacity. Atmos. Pollut. Res. 2017, 8, 660–668. [Google Scholar] [CrossRef]
- Liu, P.G. Simulation of the daily average PM10 concentrations at Ta-Liao with Box–Jenkins time series models and multivariate analysis. Atmos. Environ. 2009, 43, 2104–2113. [Google Scholar] [CrossRef]
- Zhang, Y.; Bocquet, M.; Mallet, V.; Seigneur, C.; Baklanov, A. Real-time air quality forecasting, part I: History, techniques and current status. Atmos. Environ. 2012, 60, 632–655. [Google Scholar] [CrossRef]
- Munawar, S.; Hamid, M.; Khan, M.S.; Ahmed, A.; Hameed, N. Health monitoring considering air quality index prediction using Neuro-Fuzzy Inference Model: A case study of Lahore, Pakistan. J. Basic Appl. 2017, 13, 123–132. [Google Scholar] [CrossRef]
- Wang, D.Y.; Wei, S.; Luo, H.Y.; Yue, C.Q.; Grunder, O. A novel hybrid model for air quality index forecasting based on two-phase decomposition technique and modified extreme learning machine. Sci. Total Environ. 2017, 580, 719–733. [Google Scholar] [CrossRef]
- Li, H.M.; Wang, J.Z.; Yang, H.F. A novel dynamic ensemble air quality index forecasting system. Atmos. Pollut. Res. 2020, 11, 1258–1270. [Google Scholar] [CrossRef]
- Phruksahiran, N. Improvement of air quality index prediction using geographically weighted predictor methodology. Urban. Clim. 2021, 38, 100890. [Google Scholar] [CrossRef]
- Du, Z.J.; Heng, J.N.; Niu, M.F.; Sun, S.L. An innovative ensemble learning air pollution early-warning system for China based on incremental extreme learning machine. Atmos. Pollut. Res. 2021, 12, 101153. [Google Scholar] [CrossRef]
- Li, Y.Y.; Huang, S.; Yin, C.X.; Sun, G.H.; Ge, C. Construction and countermeasure discussion on government performance evaluation model of air pollution control: A case study from Beijing-Tianjin-Hebei region. J. Clean. Prod. 2020, 254, 120072. [Google Scholar] [CrossRef]
- Guo, J.M.; Zhao, M.J.; Xue, P.; Liang, X.; Fan, G.T.; Ding, B.H.; Liu, J.J.; Liu, J.P. New indicators for air quality and distribution characteristics of pollutants in China. Build. Environ. 2020, 172, 106723. [Google Scholar] [CrossRef]
- Olstrup, H.; Johansson, C.; Forsberg, B.; Tornevi, A.; Ekebom, A.; Meister, K. A multi-pollutant air quality health index (AQHI) based on short-term respiratory effects in Stockholm, Sweden. Int. J. Environ. Res. Publ. Health 2019, 16, 105. [Google Scholar] [CrossRef]
- Pozzer, A.; Bacer, S.; Sappadina, S.D.Z.; Predicatori, F.; Caleffi, A. Long-term concentrations of fine particulate matter and impact on human health in Verona. Atmos. Pollut. Res. 2019, 10, 731–738. [Google Scholar] [CrossRef]
- Feng, R.; Zheng, H.J.; Gao, H.; Zhang, A.R.; Huang, C.; Zhang, J.X.; Luo, K.; Fan, J.R. Recurrent neural network and random forest for analysis and accurate forecast of atmospheric pollutants: A case study in Hangzhou, China. J. Clean. Prod. 2019, 231, 1005–1015. [Google Scholar] [CrossRef]
- Franceschi, F.; Cobo, M.; Figueredo, M. Discovering relationships and forecasting PM10 and PM2.5 concentrations in Bogotá, Colombia, using artificial neural networks, principal component analysis, and k-means clustering. Atmos. Pollut. Res. 2018, 9, 912–922. [Google Scholar] [CrossRef]
- Gao, M.; Yin, L.T.; Ning, J.C. Artificial neural network model for ozone concentration estimation and Monte Carlo analysis. Atmos. Environ. 2018, 184, 129–139. [Google Scholar] [CrossRef]
- Li, X.; Peng, L.; Yao, X.J.; Cui, S.L.; Hu, Y.; You, C.Z.; Chi, T.H. Long short-term memory neural network for air pollutant concentration predictions: Method development and evaluation. Environ. Pollut. 2017, 231, 997–1004. [Google Scholar] [CrossRef] [PubMed]
- Liu, H.; Chen, C. Prediction of outdoor PM2.5 concentrations based on a three-stage hybrid neural network model. Atmos. Pollut. Res. 2020, 11, 469–481. [Google Scholar] [CrossRef]
- Pak, U.; Kim, C.; Ryu, U.; Sok, K.; Pak, S. A hybrid model based on convolutional neural networks and long short-term memory for ozone concentration prediction. Air. Qual. Atmos. Health 2018, 11, 883–895. [Google Scholar] [CrossRef]
- Zhou, Y.T.; Zhao, X.Y.; Lin, K.P.; Wang, C.H.; Li, L.L. A Gaussian process mixture model-based hard-cut iterative learning algorithm for air quality prediction. Appl. Soft. Comput. 2019, 85, 105789. [Google Scholar] [CrossRef]
- Yu, H.Y.; Gao, M.M.; Zhang, H.F.; Chen, Y. Dynamic modeling for SO2-NOx emission concentration of circulating fluidized bed units based on quantum genetic algorithm-Extreme learning machine. J. Clean. Prod. 2021, 324, 129170. [Google Scholar] [CrossRef]
- Middya, A.I.; Roy, S. Pollutant specific optimal deep learning and statistical model building for air quality forecasting. Environ. Pollut. 2022, 301, 118972. [Google Scholar] [CrossRef]
- Sun, W.; Li, Z.Q. Hourly PM2.5 concentration forecasting based on feature extraction and stacking-driven ensemble model for the winter of the Beijing-Tianjin-Hebei area. Atmos. Pollut. Res. 2020, 11, 110–121. [Google Scholar] [CrossRef]
- Ribeiro, V.M. Sulfur dioxide emissions in Portugal: Prediction, estimation and air quality regulation using machine learning. J. Clean. Prod. 2021, 317, 128358. [Google Scholar] [CrossRef]
- Han, G.X.; Shi, Y.J.; Lu, Y.L.; Liu, C.F.; Cui, H.T.; Zhang, M. Coupling relation between urbanization and ecological risk of PAHs on coastal terrestrial ecosystem around the Bohai and Yellow Sea. Environ. Pollut. 2021, 268, 115680. [Google Scholar] [CrossRef] [PubMed]
- Yan, D.; Ren, X.H.; Zhang, W.L.; Li, Y.Y.; Miao, Y. Exploring the real contribution of socioeconomic variation to urban PM2.5 pollution: New evidence from spatial heteroscedasticity. Sci. Total Environ. 2022, 806, 150929. [Google Scholar] [CrossRef] [PubMed]
- Bilal, M.; Mhawish, A.; Nichol, J.E.; Qiu, Z.F.; Nazeer, M.; Ali, M.A.; Leeuw, G.D.; Levy, R.C.; Wang, Y.; Chen, Y.; et al. Air pollution scenario over Pakistan: Characterization and ranking of extremely polluted cities using long-term concentrations of aerosols and trace gases. Remote. Sens. Environ. 2021, 264, 112617. [Google Scholar] [CrossRef]
- Liu, M.M.; Huang, Y.N.; Jin, Z.; Ma, Z.W.; Liu, X.Y.; Zhang, B.; Liu, Y.; Yu, Y.; Wang, J.N.; Bi, J.; et al. The nexus between urbanization and PM2.5 related mortality in China. Environ. Pollut. 2017, 227, 15–23. [Google Scholar] [CrossRef] [PubMed]
- Shi, Y.; Bilal, M.; Ho, H.C.; Omar, A. Urbanization and regional air pollution across South Asian developing countries—A nationwide land use regression for ambient PM2.5 assessment in Pakistan. Environ. Pollut. 2020, 266, 115145. [Google Scholar] [CrossRef]
- Chen, H.X. Fix-and-optimize and variable neighborhood search approaches for multi-level capacitated lot sizing problems. Omega 2015, 56, 25–36. [Google Scholar] [CrossRef]
- Gansterer, M.; Födermayr, P.; Hartl, R.F. The capacitated multi-level lot-sizing problem with distributed agents. Int. J. Prod. Econ. 2021, 235, 108090. [Google Scholar] [CrossRef]
- Dunke, F.; Nickel, S. A general modeling approach to online optimization with lookahead. Omega 2016, 63, 134–153. [Google Scholar] [CrossRef]
- Hu, L.Y.; Wang, C.; Ye, Z.R.; Wang, S. Estimating gaseous pollutants from bus emissions: A hybrid model based on GRU and XGBoost. Sci. Total Environ. 2021, 783, 146870. [Google Scholar] [CrossRef]
- Ma, M.H.; Zhao, G.; He, B.H.; Li, Q.; Dong, H.Y.; Wang, S.G.; Wang, Z.L. XGBoost-based method for flash flood risk assessment. J. Hydrol. 2021, 598, 126382. [Google Scholar] [CrossRef]
- Dong, W.; Huang, Y.M.; Lehane, B.; Ma, G.W. XGBoost algorithm-based prediction of concrete electrical resistivity for structural health monitoring. Automat. Constr. 2020, 114, 103155. [Google Scholar] [CrossRef]
- Ma, J.; Cheng, J.C.P.; Xu, Z.R.; Chen, K.Y.; Lin, C.Q.; Jiang, F.F. Identification of the most influential areas for air pollution control using XGBoost and Grid Importance Rank. J. Clean. Prod. 2020, 274, 122835. [Google Scholar] [CrossRef]
- Wang, Z.S.; Lv, J.G.; Tan, Y.F.; Guo, M.; Gu, Y.Y.; Xu, S.; Zhou, Y.H. Temporospatial variations and Spearman correlation analysis of ozone concentrations to nitrogen dioxide, sulfur dioxide, particulate matters and carbon monoxide in ambient air, China. Atmos. Pollut. Res. 2019, 10, 1203–1210. [Google Scholar] [CrossRef]
- Zhou, Y.; Li, S.J. BP neural network modeling with sensitivity analysis on monotonicity based on Spearman coefficient. Chem. Intell. Lab. 2020, 200, 103977. [Google Scholar] [CrossRef]
- Zhi, Y.J.; Jin, Z.H.; Lu, L.; Yang, T.; Zhou, D.Y.; Pei, Z.B.; Wu, D.Q.; Fu, D.M.; Zhang, D.W.; Li, X.G. Improving atmospheric corrosion prediction through key environmental factor identification by random forest-based model. Corros. Sci. 2021, 178, 109084. [Google Scholar] [CrossRef]
- Rupakheti, D.; Yin, X.F.; Rupakheti, M.; Zhang, Q.G.; Li, P.; Rai, M.; Kang, S.C. Spatio-temporal characteristics of air pollutants over Xinjiang, northwestern China. Environ. Pollut. 2021, 268, 115907. [Google Scholar] [CrossRef]
- Kim, Y.; Lee, I.; Farquhar, J.; Kang, J.; Villa, I.M.; Kim, H. Multi isotope systematics of precipitation to trace the sources of air pollutants in Seoul, Korea. Environ. Pollut. 2021, 286, 117548. [Google Scholar] [CrossRef]
- Sanchez, G.M.; Nejadhashemi, A.P.; Zhang, Z.; Marquart-Pyatt, S.; Habron, G.; Shortridge, A. Linking watershed-scale stream health and socioeconomic indicators with spatial clustering and structural equation modeling. Environ. Modell. Softw. 2015, 70, 113–127. [Google Scholar] [CrossRef]
- Angelini, M.E.; Heuvelink, G.B.M. Including spatial correlation in structural equation modelling of soil properties. Spat. Stat. 2018, 25, 35–51. [Google Scholar] [CrossRef]








| Primary Indicators | Secondary Indicators | Reference Source |
|---|---|---|
| Industrialization indicators | X1: Regional GDP (CNY 100 million) | [1,2,4,54,57] |
| X2: Regional GDP of secondary industry (CNY 100 million) | ||
| X3: Proportion of secondary industry (%) | [1,2,4,54,57] | |
| X4: Square of proportion of secondary industry (%) | ||
| X5: Coal consumption (100 million ton) | ||
| X6: Coal consumption per land area (100 million ton/km2) | ||
| X7: Square of coal consumption per land area (100 million ton/km2) | ||
| X8: Exhaust emissions (ton) | ||
| X9: Density of exhaust emissions (ton/km2) | ||
| X10: Square of density of secondary industry (ton/km2) | ||
| Urbanization indicators | X11: Population of city jurisdiction (10 million people) | [1,12,33,58,68] |
| X12: Total city population (10 million people) | ||
| X13: Proportion of population (%) | ||
| X14: Square of proportion of population (%) | ||
| X15: City jurisdiction areas (km2) | ||
| X16: Density of population (10 million people/km2) | ||
| X17: Square of density of population (10 million people/km2) | ||
| X18: Per capita GDP (CNY 10,000/people) | ||
| X19: Administrative land areas (km2) | ||
| Meteorological indicators | X20: Annual average relative humidity (%) | [45,46,48,58,59,60,61,62,63,64,65,66] |
| X21: Annual average temperature (℃) | ||
| Meteorological indicators | X22: Annual average rainfall (mm) | [45,46,48,58,59,60,61,62,63,64,65,66] |
| X23: Time length of sunshine (hour) | ||
| X24: Wind speed (m/s: Annual average wind speed at 70 m–80 m altitude) | ||
| Type of APIIU | X25: APIIU of AQI | [22,23,24,35,36,37,52] |
| X26: APIIU of PM2.5 |
| Parameter Name | Parameter Type | Parameter Definition | Parameter Default Value | Value Range |
|---|---|---|---|---|
| P1: max_depth | Booster | Maximum depth of tree | 5 | [1,20] |
| P2: learning_rate | Booster | Learning rate | 0.2 | [0,1] |
| P3: reg_gamma | Booster | Adjusting the penalty term, specifying the minimum loss function decreases when the node is divided | 0.01 | [0,0.5] |
| P4: reg_alpha | Booster | Regularization coefficient used to adjust L1 | 0.01 | [0,1] |
| P5: reg_lambda | Booster | Regularization coefficient used to adjust L2 | 0.1 | [0,2] |
| P6: min_child_weight | Booster | Minimum leaf node weight | 1 | [1,10] |
| P7: subsample | Booster | The sampling scale used for the training set | 1 | [0,1] |
| P8: colsample_bytree | Booster | The random sampling ratio of features used to construct each tree | 1 | [0,1] |
| P9: n_estimators | Learning Task | Controlling the number of trees | 70 | [30,200] |
| Iteration Number | P1 | P2 | P3 | P4 | P5 | P6 | P7 | P8 | P9 | MSE |
|---|---|---|---|---|---|---|---|---|---|---|
| 1 | 5 | 0.2 | 0.01 | 0.01 | 0.1 | 1 | 1 | 1 | 70 | 2.54 |
| 2 | 12 | 0.009 | 0.526 | 0.635 | 0.137 | 6.23 | 0.972 | 0.892 | 102 | 2.23 |
| 3 | 9 | 0.417 | 0.391 | 0.172 | 0.935 | 5.33 | 0.391 | 0.913 | 61 | 1.78 |
| 4 | 16 | 0.103 | 0.153 | 0.229 | 0.182 | 6.19 | 0.672 | 0.992 | 94 | 1.52 |
| 5 | 8 | 0.319 | 0.203 | 0.381 | 0.286 | 4.27 | 0.259 | 0.715 | 105 | 0.936 |
| 10 | 11 | 0.821 | 0.337 | 0.156 | 0.107 | 8.31 | 0.113 | 0.836 | 82 | 0.783 |
| 16 | 7 | 0.113 | 0.082 | 0.096 | 0.132 | 4.92 | 0.463 | 0.651 | 103 | 0.497 |
| 22 | 10 | 0.016 | 0.128 | 0.193 | 0.092 | 1.37 | 0.991 | 0.192 | 75 | 0.585 |
| 50 | 3 | 0.432 | 0.11 | 0.308 | 0.087 | 1.86 | 0.723 | 0.274 | 91 | 0.647 |
| Variable | SC-RS-XGBoost | SC-XGBoost | ||||
| R2 | RMSE | MAPE | R2 | RMSE | MAPE | |
| APIIU-AQI | 0.945 | 0.103 | 4.25% | 0.886 | 0.149 | 6.08% |
| APIIU-PM2.5 | 0.897 | 0.205 | 4.84% | 0.515 | 0.443 | 6.34% |
| Variable | RS-XGBoost | XGBoost | ||||
| R2 | RMSE | MAPE | R2 | RMSE | MAPE | |
| APIIU-AQI | 0.856 | 0.167 | 6.36% | 0.753 | 0.218 | 13.7% |
| APIIU-PM2.5 | 0.823 | 0.269 | 5.74% | 0.366 | 0.646 | 16.8% |
| Variable | SC-RS-SVR | SC-SVR | ||||
| R2 | RMSE | MAPE | R2 | RMSE | MAPE | |
| APIIU-AQI | 0.503 | 0.285 | 7.13% | 0.377 | 0.514 | 8.83% |
| APIIU-PM2.5 | 0.419 | 0.912 | 10.7% | 0.283 | 2.63 | 14.6% |
| Variable | RS-SVR | SVR | ||||
| R2 | RMSE | MAPE | R2 | RMSE | MAPE | |
| APIIU-AQI | 0.412 | 0.393 | 13.5% | 0.461 | 0.427 | 17.2% |
| APIIU-PM2.5 | 0.318 | 1.51 | 7.32% | 0.252 | 2.74 | 16.6% |
Publisher’s Note: MDPI stays neutral with regard to jurisdictional claims in published maps and institutional affiliations. |
© 2022 by the authors. Licensee MDPI, Basel, Switzerland. This article is an open access article distributed under the terms and conditions of the Creative Commons Attribution (CC BY) license (https://creativecommons.org/licenses/by/4.0/).
Share and Cite
Chen, H.; Deng, G.; Liu, Y. Monitoring the Influence of Industrialization and Urbanization on Spatiotemporal Variations of AQI and PM2.5 in Three Provinces, China. Atmosphere 2022, 13, 1377. https://doi.org/10.3390/atmos13091377
Chen H, Deng G, Liu Y. Monitoring the Influence of Industrialization and Urbanization on Spatiotemporal Variations of AQI and PM2.5 in Three Provinces, China. Atmosphere. 2022; 13(9):1377. https://doi.org/10.3390/atmos13091377
Chicago/Turabian StyleChen, Hu, Guoqu Deng, and Yiwen Liu. 2022. "Monitoring the Influence of Industrialization and Urbanization on Spatiotemporal Variations of AQI and PM2.5 in Three Provinces, China" Atmosphere 13, no. 9: 1377. https://doi.org/10.3390/atmos13091377
APA StyleChen, H., Deng, G., & Liu, Y. (2022). Monitoring the Influence of Industrialization and Urbanization on Spatiotemporal Variations of AQI and PM2.5 in Three Provinces, China. Atmosphere, 13(9), 1377. https://doi.org/10.3390/atmos13091377

