Dust-Associated Bacterial and Fungal Communities in Indoor Multiple-Use and Public Transportation Facilities
Abstract
:1. Introduction
2. Materials and Methods
2.1. Study Sites and Sampling
2.2. DNA Extraction and Amplicon Sequencing
2.3. 16S rRNA and ITS rDNA Data Analysis
2.4. Statistical Analyses
3. Results and Discussion
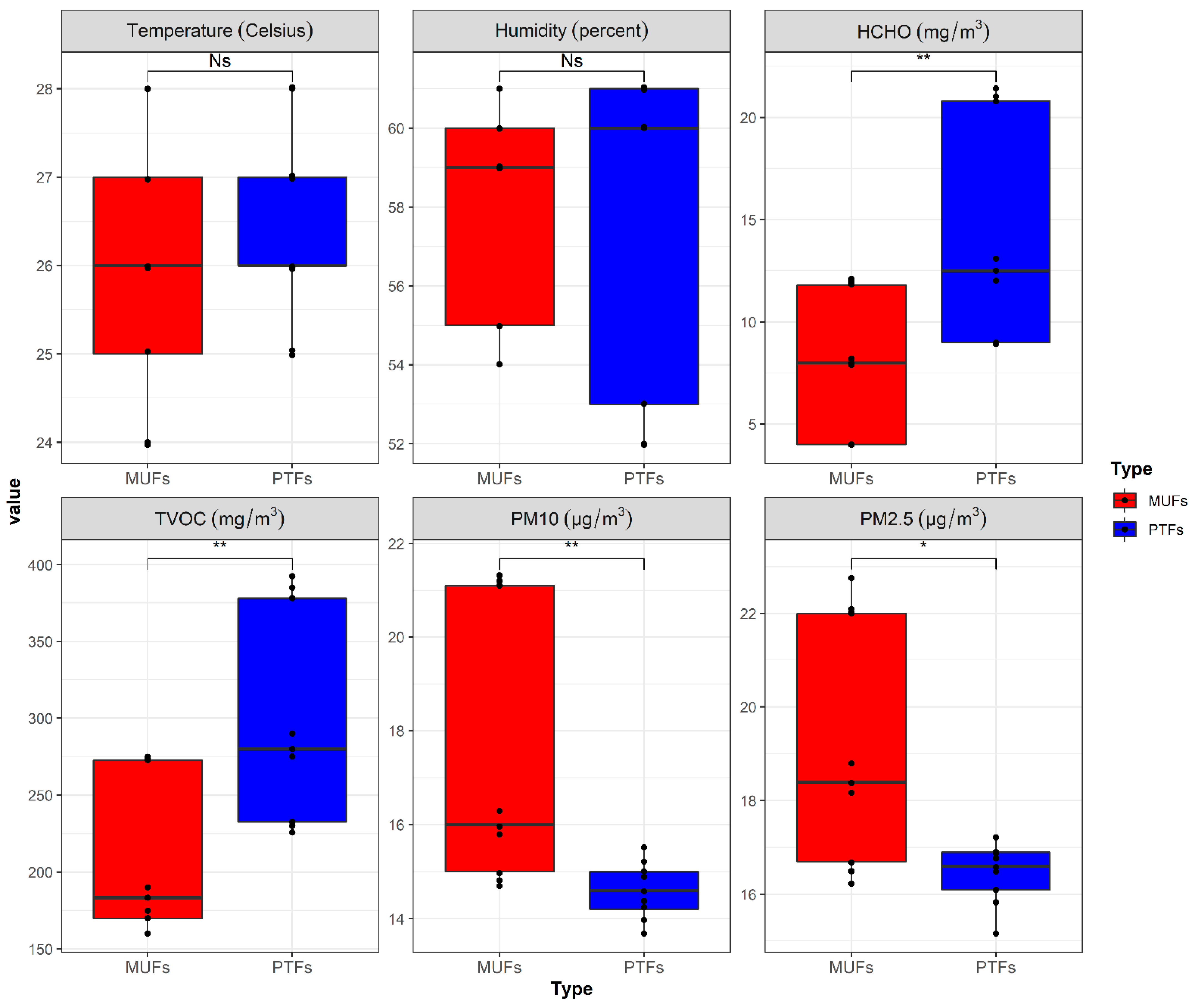
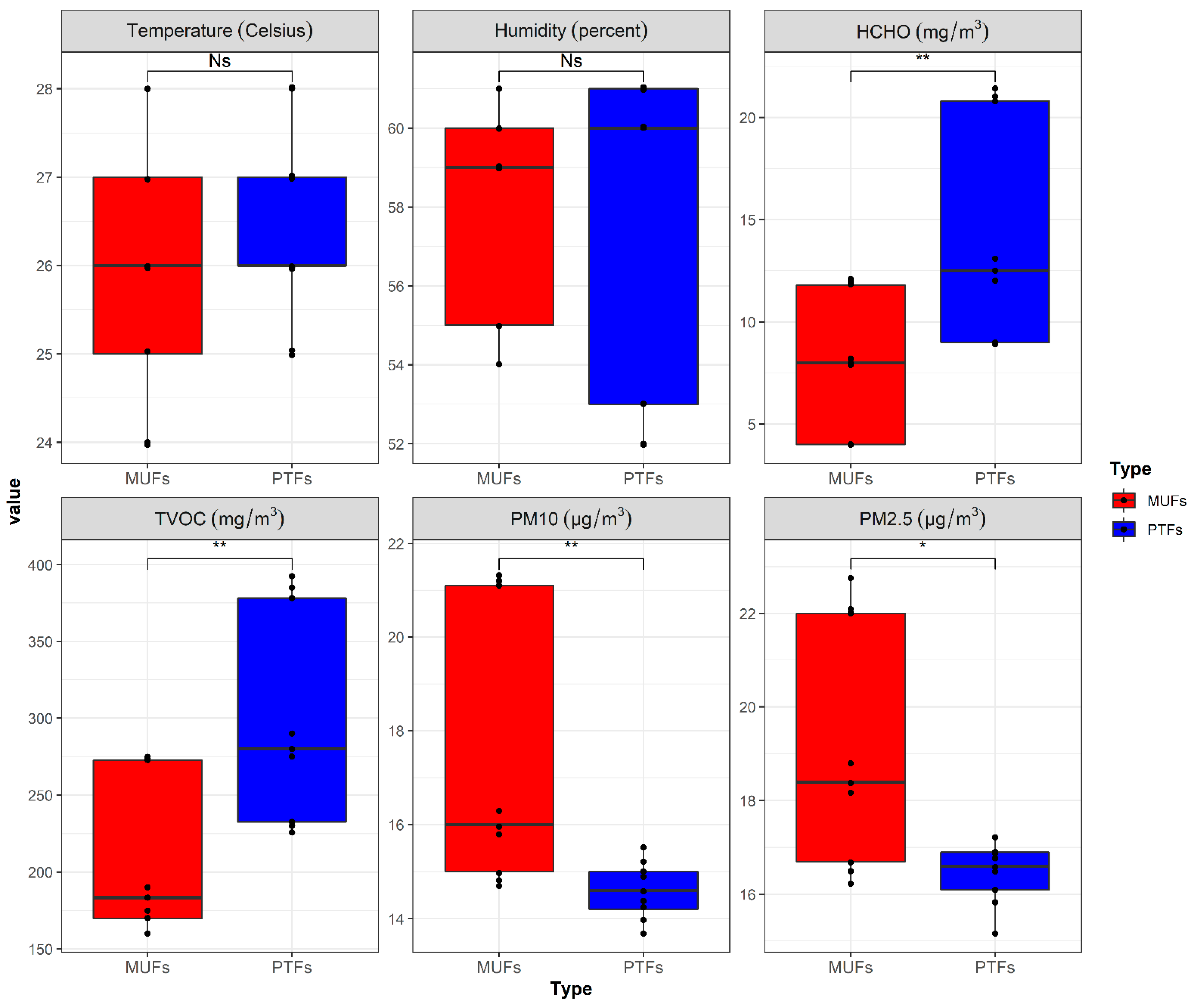
3.1. Indoor Air Parameter Characteristics of the MUFs and PTFs
3.2. Bacterial and Fungal Community Diversity and Composition
4. Conclusions
Author Contributions
Funding
Institutional Review Board Statement
Informed Consent Statement
Data Availability Statement
Conflicts of Interest
References
- Douwes, J.; Thorne, P.; Pearce, N.; Heederik, D. Bioaerosol health effects and exposure assessment: Progress and prospects. Ann. Occup. Hyg. 2003, 47, 187–200. [Google Scholar]
 - Yoo, K.; Lee, T.K.; Choi, E.J.; Yang, J.; Shukla, S.K.; Hwang, S.-I.; Park, J. Molecular approaches for the detection and monitoring of microbial communities in bioaerosols: A review. J. Environ. Sci. 2017, 51, 234–247. [Google Scholar] [CrossRef] [PubMed]
 - Klepeis, N.E.; Nelson, W.C.; Ott, W.R.; Robinson, J.P.; Tsang, A.M.; Switzer, P.; Behar, J.V.; Hern, S.C.; Engelmann, W.H. The National Human Activity Pattern Survey (NHAPS): A resource for assessing exposure to environmental pollutants. J. Expo. Sci. Environ. Epidemiol. 2001, 11, 231–252. [Google Scholar] [CrossRef] [PubMed]
 - Ott, W.R. Human Activity Patterns: A Review of the Literature for Estimating Time Spent Indoors, Outdoors, and in Transit; US Environmental Protection Agency: Las Vegas, NV, USA, 1988.
 - Wallace, L.A. The Total Exposure Assessment Methodology (TEAM) Study: Summary and Analysis; Office of Research and Development, US Environmental Protection Agency: Washington, DC, USA, 1987; Volume 1.
 - Karottki, D.G.; Spilak, M.; Frederiksen, M.; Jovanovic Andersen, Z.; Madsen, A.M.; Ketzel, M.; Massling, A.; Gunnarsen, L.; Møller, P.; Loft, S. Indoor and outdoor exposure to ultrafine, fine and microbiologically derived particulate matter related to cardiovascular and respiratory effects in a panel of elderly urban citizens. Int. J. Environ. Res. Public Health 2015, 12, 1667–1686. [Google Scholar] [CrossRef] [PubMed]
 - Mack, S.M.; Madl, A.K.; Pinkerton, K.E. Respiratory Health Effects of Exposure to Ambient Particulate Matter and Bioaerosols. Compr. Physiol. 2019, 10, 1–20. [Google Scholar] [CrossRef] [PubMed]
 - World Health Organization. Guidelines for Concentration and Exposure-Response Measurement of Fine and Ultra Fine Particulate Matter for Use in Epidemiological Studies; World Health Organization: Geneva, Switzerland, 2002.
 - Ross, M.; Curtis, L.; Scheff, P.; Hryhorczuk, D.; Ramakrishnan, V.; Wadden, R.; Persky, V. Association of asthma symptoms and severity with indoor bioaerosols. Allergy 2000, 55, 705–711. [Google Scholar] [CrossRef]
 - Walser, S.M.; Gerstner, D.G.; Brenner, B.; Bünger, J.; Eikmann, T.; Janssen, B.; Kolb, S.; Kolk, A.; Nowak, D.; Raulf, M. Evaluation of exposure–response relationships for health effects of microbial bioaerosols–a systematic review. Int. J. Hyg. Environ. Health 2015, 218, 577–589. [Google Scholar] [CrossRef]
 - Lee, G.; Yoo, K. A review of the emergence of antibiotic resistance in bioaerosols and its monitoring methods. Rev. Environ. Sci. Bio/Technol. 2022, 21, 799–827. [Google Scholar] [CrossRef]
 - Gohli, J.; Bøifot, K.O.; Moen, L.V.; Pastuszek, P.; Skogan, G.; Udekwu, K.I.; Dybwad, M. The subway microbiome: Seasonal dynamics and direct comparison of air and surface bacterial communities. Microbiome 2019, 7, 160. [Google Scholar] [CrossRef]
 - Grydaki, N.; Colbeck, I.; Mendes, L.; Eleftheriadis, K.; Whitby, C. Bioaerosols in the Athens Metro: Metagenetic insights into the PM10 microbiome in a naturally ventilated subway station. Environ. Int. 2021, 146, 106186. [Google Scholar] [CrossRef]
 - Hernández, A.M.; Vargas-Robles, D.; Alcaraz, L.D.; Peimbert, M. Station and train surface microbiomes of Mexico City’s metro (subway/underground). Sci. Rep. 2020, 10, 8798. [Google Scholar] [CrossRef] [PubMed]
 - Kim, M.-S.; Lee, Y.-M.; Kim, S.-K.; Seo, J.-H.; Ji, K.-H.; Oh, J.-Y.; Ko, K.-D.; Ko, G.-P. Investigation of microbial contamination of public bath in Jongno-gu, Seoul. J. Environ. Health Sci. 2009, 35, 162–168. [Google Scholar] [CrossRef]
 - Zhang, Z.-F.; Zhang, X.; Zhang, X.-M.; Liu, L.-Y.; Li, Y.-F.; Sun, W. Indoor occurrence and health risk of formaldehyde, toluene, xylene and total volatile organic compounds derived from an extensive monitoring campaign in Harbin, a megacity of China. Chemosphere 2020, 250, 126324. [Google Scholar] [CrossRef]
 - El-Sharkawy, M.F.; Javed, W. Study of indoor air quality level in various restaurants in Saudi Arabia. Environ. Prog. Sustain. Energy 2018, 37, 1713–1721. [Google Scholar] [CrossRef]
 - Kabir, E.; Kim, K.-H. An investigation on hazardous and odorous pollutant emission during cooking activities. J. Hazard. Mater. 2011, 188, 443–454. [Google Scholar] [CrossRef]
 - Lee, S.C.; Li, W.-M.; Chan, L.Y. Indoor air quality at restaurants with different styles of cooking in metropolitan Hong Kong. Sci. Total Environ. 2001, 279, 181–193. [Google Scholar] [CrossRef]
 - Vimalanathan, K.; Babu, T.R. The effect of indoor office environment on the work performance, health and well-being of office workers. J. Environ. Health Sci. Eng. 2014, 12, 113. [Google Scholar] [CrossRef]
 - Forthomme, A.; Joubert, A.; Andrès, Y.; Simon, X.; Duquenne, P.; Bemer, D.; Le Coq, L. Microbial aerosol filtration: Growth and release of a bacteria–fungi consortium collected by fibrous filters in different operating conditions. J. Aerosol Sci. 2014, 72, 32–46. [Google Scholar] [CrossRef]
 - Hyvärinen, A.; Meklin, T.; Vepsäläinen, A.; Nevalainen, A. Fungi and actinobacteria in moisture-damaged building materials—concentrations and diversity. Int. Biodeterior. Biodegrad. 2002, 49, 27–37. [Google Scholar] [CrossRef]
 - Rintala, H.; Pitkäranta, M.; Täubel, M. Microbial communities associated with house dust. In Advances in Applied Microbiology; Elsevier: Amsterdam, The Netherlands, 2012; Volume 78, pp. 75–120. [Google Scholar]
 - Karbowska-Berent, J.; Górny, R.L.; Strzelczyk, A.B.; Wlazło, A. Airborne and dust borne microorganisms in selected Polish libraries and archives. Build. Environ. 2011, 46, 1872–1879. [Google Scholar] [CrossRef]
 - Gangneux, J.-P.; Sassi, M.; Lemire, P.; Le Cann, P. Metagenomic characterization of indoor dust bacterial and fungal microbiota in homes of asthma and non-asthma patients using next generation sequencing. Front. Microbiol. 2020, 11, 1671. [Google Scholar] [CrossRef] [PubMed]
 - Ministry of Environment. 2019 Indoor Air Quality Inspection Result Report. Available online: http://www.me.go.kr/home/web/policy_data/read.do?menuId=10276&seq=7601 (accessed on 22 August 2022).
 - Heo, S.; Kwoun, Y.; Lee, T.J.; Jo, Y.M. Characterization and source identification of fine dust in Seoul elementary school classrooms. J. Hazard. Mater. 2021, 414, 125531. [Google Scholar] [CrossRef] [PubMed]
 - Jung, H.-J.; Kim, B.; Malek, M.A.; Koo, Y.S.; Jung, J.H.; Son, Y.-S.; Kim, J.-C.; Kim, H.; Ro, C.-U. Chemical speciation of size-segregated floor dusts and airborne magnetic particles collected at underground subway stations in Seoul, Korea. J. Hazard. Mater. 2012, 213, 331–340. [Google Scholar] [CrossRef]
 - Maskey, S.; Kang, T.; Jung, H.J.; Ro, C.U. Single-particle characterization of indoor aerosol particles collected at an underground shopping area in Seoul, Korea. Indoor Air 2011, 21, 12–24. [Google Scholar] [CrossRef]
 - Fan, H.; Li, X.; Deng, J.; Da, G.; Gehin, E.; Yao, M. Time-dependent size-resolved bacterial and fungal aerosols in Beijing subway. Aerosol Air Qual. Res. 2017, 17, 799–809. [Google Scholar] [CrossRef]
 - Hwang, S.H.; Park, W.M. Concentrations of PM 10 and airborne bacteria in daycare centers in Seoul relative to indoor environmental factors and daycare center characteristics. Air Qual. Atmos. Health 2017, 10, 139–145. [Google Scholar] [CrossRef]
 - Guo, K.; Qian, H.; Zhao, D.; Ye, J.; Zhang, Y.; Kan, H.; Zhao, Z.; Deng, F.; Huang, C.; Zhao, B.; et al. Indoor exposure levels of bacteria and fungi in residences, schools, and offices in China: A systematic review. Indoor Air 2020, 30, 1147–1165. [Google Scholar] [CrossRef]
 - Lee, B.G.; Yang, J.I.; Kim, E.; Geum, S.W.; Park, J.H.; Yeo, M.K. Investigation of bacterial and fungal communities in indoor and outdoor air of elementary school classrooms by 16S rRNA gene and ITS region sequencing. Indoor Air 2021, 31, 1553–1562. [Google Scholar] [CrossRef]
 - Zhou, W.; Xu, W.; Kim, H.; Zhang, Q.; Fu, P.; Worsnop, D.R.; Sun, Y. A review of aerosol chemistry in Asia: Insights from aerosol mass spectrometer measurements. Environ. Sci. Processes Impacts 2020, 22, 1616–1653. [Google Scholar] [CrossRef]
 - Busan Transportation Corporation. Busan Transportation Corporation_Number of Passengers Per Time Slot. Available online: https://www.data.go.kr/data/3057229/fileData.do (accessed on 17 January 2022).
 - Korea Airports Corporation. Korea Airports Corporation_Transportation Performance Statistics. Available online: https://www.data.go.kr/data/15002638/fileData.do (accessed on 17 January 2022).
 - Jansson, L.; Akel, Y.; Eriksson, R.; Lavander, M.; Hedman, J. Impact of swab material on microbial surface sampling. J. Microbiol. Methods 2020, 176, 106006. [Google Scholar] [CrossRef]
 - Flores, G.E.; Bates, S.T.; Knights, D.; Lauber, C.L.; Stombaugh, J.; Knight, R.; Fierer, N. Microbial biogeography of public restroom surfaces. PLoS ONE 2011, 6, e28132. [Google Scholar] [CrossRef] [PubMed]
 - Andrews, S.; Krueger, F.; Segonds-Pichon, A.; Biggins, L.; Krueger, C.; Wingett, S. FastQC: A Quality Control Tool for High Throughput Sequence Data. Available online: http://www.bioinformatics.babraham.ac.uk/projects/fastqc/ (accessed on 22 August 2022).
 - Bolger, A.M.; Lohse, M.; Usadel, B. Trimmomatic: A flexible trimmer for Illumina sequence data. Bioinformatics 2014, 30, 2114–2120. [Google Scholar] [CrossRef] [PubMed]
 - Schloss, P.D.; Westcott, S.L.; Ryabin, T.; Hall, J.R.; Hartmann, M.; Hollister, E.B.; Lesniewski, R.A.; Oakley, B.B.; Parks, D.H.; Robinson, C.J. Introducing mothur: Open-source, platform-independent, community-supported software for describing and comparing microbial communities. Appl. Environ. Microbiol. 2009, 75, 7537–7541. [Google Scholar] [CrossRef] [PubMed]
 - Kozich, J.J.; Westcott, S.L.; Baxter, N.T.; Highlander, S.K.; Schloss, P.D. Development of a dual-index sequencing strategy and curation pipeline for analyzing amplicon sequence data on the MiSeq Illumina sequencing platform. Appl. Environ. Microbiol. 2013, 79, 5112–5120. [Google Scholar] [CrossRef]
 - Quast, C.; Pruesse, E.; Yilmaz, P.; Gerken, J.; Schweer, T.; Yarza, P.; Peplies, J.; Glöckner, F.O. The SILVA ribosomal RNA gene database project: Improved data processing and web-based tools. Nucleic Acids Res. 2012, 41, D590–D596. [Google Scholar] [CrossRef]
 - Edgar, R.C.; Haas, B.J.; Clemente, J.C.; Quince, C.; Knight, R. UCHIME improves sensitivity and speed of chimera detection. Bioinformatics 2011, 27, 2194–2200. [Google Scholar] [CrossRef] [PubMed]
 - Rognes, T.; Flouri, T.; Nichols, B.; Quince, C.; Mahé, F. VSEARCH: A versatile open source tool for metagenomics. PeerJ 2016, 4, e2584. [Google Scholar] [CrossRef]
 - Yarza, P.; Yilmaz, P.; Pruesse, E.; Glöckner, F.O.; Ludwig, W.; Schleifer, K.-H.; Whitman, W.B.; Euzéby, J.; Amann, R.; Rosselló-Móra, R. Uniting the classification of cultured and uncultured bacteria and archaea using 16S rRNA gene sequences. Nat. Rev. Microbiol. 2014, 12, 635–645. [Google Scholar] [CrossRef]
 - Abarenkov, K.; Henrik Nilsson, R.; Larsson, K.H.; Alexander, I.J.; Eberhardt, U.; Erland, S.; Høiland, K.; Kjøller, R.; Larsson, E.; Pennanen, T. The UNITE database for molecular identification of fungi–recent updates and future perspectives. New Phytol. 2010, 186, 281–285. [Google Scholar] [CrossRef]
 - Rideout, J.R.; He, Y.; Navas-Molina, J.A.; Walters, W.A.; Ursell, L.K.; Gibbons, S.M.; Chase, J.H.; McDonald, D.; Gonzalez, A.; Robbins-Pianka, A. Consistent, comprehensive and computationally efficient OTU definitions. PeerJ Prepr. 2014, 2, e411v2. [Google Scholar]
 - R Core Team. R: A Language and Environment for Statistical Computing, 4.0.3; R Foundation for Statistical Computing: Vienna, Austria, 2020. [Google Scholar]
 - Wickham, H. Elegant graphics for data analysis. Media 2009, 35, 10–1007. [Google Scholar]
 - Cheng, M.-D.; Gao, N.; Hopke, P.K. Source apportionment study of nitrogen species measured in southern California in 1987. J. Environ. Eng. 1996, 122, 183–190. [Google Scholar] [CrossRef]
 - Jung, C.-C.; Wu, P.-C.; Tseng, C.-H.; Su, H.-J. Indoor air quality varies with ventilation types and working areas in hospitals. Build. Environ. 2015, 85, 190–195. [Google Scholar] [CrossRef]
 - Zhu, Y.-D.; Li, X.; Fan, L.; Li, L.; Wang, J.; Yang, W.-J.; Wang, L.; Yao, X.-Y.; Wang, X.-L. Indoor air quality in the primary school of China—results from CIEHS 2018 study. Environ. Pollut. 2021, 291, 118094. [Google Scholar] [CrossRef]
 - Tao, H.; Fan, Y.; Li, X.; Zhang, Z.; Hou, W. Investigation of formaldehyde and TVOC in underground malls in Xi’an, China: Concentrations, sources, and affecting factors. Build. Environ. 2015, 85, 85–93. [Google Scholar] [CrossRef]
 - Mokalled, T. The impact of Beirut Rafic Hariri International Airport’s Activities on the AIR quality of Beirut & Its Suburbs: Measurements and Modelling of VOCs and NO2. Ph.D. Thesis, Université de Strasbourg, Beirut, Lebanon, 2016. [Google Scholar]
 - Mokalled, T.; Gérard, J.A.; Abboud, M.; Liaud, C.; Nassreddine, R.; Le Calvé, S. An assessment of indoor air quality in the maintenance room at Beirut-Rafic Hariri International Airport. Atmos. Pollut. Res. 2019, 10, 701–711. [Google Scholar] [CrossRef]
 - Mokalled, T.; Le Calvé, S.; Badaro-Saliba, N.; Abboud, M.; Zaarour, R.; Farah, W.; Adjizian-Gérard, J. Identifying the impact of Beirut Airport’s activities on local air quality-Part I: Emissions inventory of NO2 and VOCs. Atmos. Environ. 2018, 187, 435–444. [Google Scholar] [CrossRef]
 - Adams, R.I.; Miletto, M.; Lindow, S.E.; Taylor, J.W.; Bruns, T.D. Airborne bacterial communities in residences: Similarities and differences with fungi. PLoS ONE 2014, 9, e91283. [Google Scholar] [CrossRef]
 - Gong, J.; Qi, J.; Beibei, E.; Yin, Y.; Gao, D. Concentration, viability and size distribution of bacteria in atmospheric bioaerosols under different types of pollution. Environ. Pollut. 2020, 257, 113485. [Google Scholar] [CrossRef]
 - Goudarzi, G.; Shirmardi, M.; Khodarahmi, F.; Hashemi-Shahraki, A.; Alavi, N.; Ankali, K.A.; Babaei, A.A.; Soleimani, Z.; Marzouni, M.B. Particulate matter and bacteria characteristics of the Middle East Dust (MED) storms over Ahvaz, Iran. Aerobiologia 2014, 30, 345–356. [Google Scholar] [CrossRef]
 - Martins, V.; Moreno, T.; Mendes, L.; Eleftheriadis, K.; Diapouli, E.; Alves, C.A.; Duarte, M.; de Miguel, E.; Capdevila, M.; Querol, X. Factors controlling air quality in different European subway systems. Environ. Res. 2016, 146, 35–46. [Google Scholar] [CrossRef]
 - Prussin, A.J.; Marr, L.C. Sources of airborne microorganisms in the built environment. Microbiome 2015, 3, 78. [Google Scholar] [CrossRef] [PubMed]
 - Kembel, S.W.; Meadow, J.F.; O’Connor, T.K.; Mhuireach, G.; Northcutt, D.; Kline, J.; Moriyama, M.; Brown, G.; Bohannan, B.J.; Green, J.L. Architectural design drives the biogeography of indoor bacterial communities. PLoS ONE 2014, 9, e87093. [Google Scholar] [CrossRef] [PubMed]
 - Kalogerakis, N.; Paschali, D.; Lekaditis, V.; Pantidou, A.; Eleftheriadis, K.; Lazaridis, M. Indoor air quality—bioaerosol measurements in domestic and office premises. J. Aerosol Sci 2005, 36, 751–761. [Google Scholar] [CrossRef]
 - Kulkarni, P.; Baron, P.A.; Willeke, K. Aerosol Measurement: Principles, Techniques, and Applications; John Wiley & Sons: Hoboken, NJ, USA, 2011. [Google Scholar]
 - Shin, S.-K.; Kim, J.; Ha, S.-m.; Oh, H.-S.; Chun, J.; Sohn, J.; Yi, H. Metagenomic insights into the bioaerosols in the indoor and outdoor environments of childcare facilities. PLoS ONE 2015, 10, e0126960. [Google Scholar]
 - Adhikari, A.; Kettleson, E.M.; Vesper, S.; Kumar, S.; Popham, D.L.; Schaffer, C.; Indugula, R.; Chatterjee, K.; Allam, K.K.; Grinshpun, S.A. Dustborne and airborne Gram-positive and Gram-negative bacteria in high versus low ERMI homes. Sci. Total Environ. 2014, 482, 92–99. [Google Scholar] [CrossRef]
 - Yoo, K.; Han, I.; Ko, K.S.; Lee, T.K.; Yoo, H.; Khan, M.I.; Tiedje, J.M.; Park, J. Bacillus-dominant airborne bacterial communities identified during Asian dust events. Microb. Ecol. 2019, 78, 677–687. [Google Scholar] [CrossRef]
 - Adams, R.I.; Miletto, M.; Taylor, J.W.; Bruns, T.D. Dispersal in microbes: Fungi in indoor air are dominated by outdoor air and show dispersal limitation at short distances. ISME J. 2013, 7, 1262–1273. [Google Scholar] [CrossRef]
 - Hospodsky, D.; Qian, J.; Nazaroff, W.W.; Yamamoto, N.; Bibby, K.; Rismani-Yazdi, H.; Peccia, J. Human occupancy as a source of indoor airborne bacteria. PLoS ONE 2012, 7, e34867. [Google Scholar] [CrossRef]
 - Qian, J.; Hospodsky, D.; Yamamoto, N.; Nazaroff, W.W.; Peccia, J. Size-resolved emission rates of airborne bacteria and fungi in an occupied classroom. Indoor Air 2012, 22, 339–351. [Google Scholar] [CrossRef]
 - Gołofit-Szymczak, M.; Górny, R.L. Microbiological air quality in office buildings equipped with dventilation systems. Indoor Air 2018, 28, 792–805. [Google Scholar] [CrossRef] [PubMed]
 - Zhai, Y.; Li, X.; Wang, T.; Wang, B.; Li, C.; Zeng, G. A review on airborne microorganisms in particulate matters: Composition, characteristics and influence factors. Environ. Int. 2018, 113, 74–90. [Google Scholar] [CrossRef] [PubMed]
 - Triadó-Margarit, X.; Veillette, M.; Duchaine, C.; Talbot, M.; Amato, F.; Minguillón, M.C.; Martins, V.; de Miguel, E.; Casamayor, E.O.; Moreno, T. Bioaerosols in the Barcelona subway system. Indoor Air 2017, 27, 564–575. [Google Scholar] [CrossRef] [PubMed]
 - Rajasekar, A.; Balasubramanian, R. Assessment of airborne bacteria and fungi in food courts. Build. Environ. 2011, 46, 2081–2087. [Google Scholar] [CrossRef]
 - Krijgsheld, P.; Bleichrodt, R.V.; Van Veluw, G.; Wang, F.; Müller, W.; Dijksterhuis, J.; Wösten, H. Development in aspergillus. Stud. Mycol. 2008, 60, 1–66. [Google Scholar] [CrossRef]
 - Teertstra, W.R.; Tegelaar, M.; Dijksterhuis, J.; Golovina, E.A.; Ohm, R.A.; Wösten, H.A. Maturation of conidia on conidiophores of Aspergillus niger. Fungal Genet. Biol. 2017, 98, 61–70. [Google Scholar] [CrossRef]
 - Barberán, A.; Ladau, J.; Leff, J.W.; Pollard, K.S.; Menninger, H.L.; Dunn, R.R.; Fierer, N. Continental-scale distributions of dust-associated bacteria and fungi. Proc. Natl. Acad. Sci. USA 2015, 112, 5756–5761. [Google Scholar] [CrossRef]
 - Adams, R.I.; Miletto, M.; Taylor, J.W.; Bruns, T.D. The diversity and distribution of fungi on residential surfaces. PLoS ONE 2013, 8, e78866. [Google Scholar] [CrossRef]
 - Vishwakarma, V. Impact of environmental biofilms: Industrial components and its remediation. J. Basic Microbiol. 2020, 60, 198–206. [Google Scholar] [CrossRef]
 - Amend, A.S.; Seifert, K.A.; Samson, R.; Bruns, T.D. Indoor fungal composition is geographically patterned and more diverse in temperate zones than in the tropics. Proc. Natl. Acad. Sci. USA 2010, 107, 13748–13753. [Google Scholar] [CrossRef] [Green Version]
 




| Site Name | Setting | Location | Number of Users (per Day) | Surface Type | |
|---|---|---|---|---|---|
| MUF | MUF1 | Bathhouse | 35.16925 128.98113  | <100 | stainless steel or plastics | 
| MUF2 | Urban office | 35.15986 129.17491  | <100 | stainless steel or plastics  | |
| MUF3 | Food court | 35.15686 129.05665  | <300 | stainless steel or plastics | |
| PTF | PTF1 | Subway station | 35.11526 129.04225  | >10,000 | stainless steel or plastics | 
| PTF2 | Subway station | 35.15797 129.05916  | >10,000 | stainless steel or plastics | |
| PTF3 | Airport | 35.17281 128.94699  | >400,000 | stainless steel or plastics | |
| Type | Primer | Sequence | 
|---|---|---|
| 16S rRNA | 341F | 5′-CCT ACG GGN GGC WGC AG-3′ | 
| 805R | 5′-GAC TAC HVG GGT ATC TAA TCC-3′ | |
| ITS | ITS1 | 5′-CTT GGT CAT TTA GAG GAA GTA A-3′ | 
| ITS2 | 5′-GCT GCG TTC TTC ATC GAT GC-3′ | 
| Type | Shannon | Simpson | ACE | Chao | ||
|---|---|---|---|---|---|---|
| Bacteria | MUF | MUF1 | 6.9 | 0.99 | 52,864.23 | 47,967.24 | 
| MUF2 | 7.33 | 0.99 | 97,715.79 | 85,289.78 | ||
| MUF3 | 5.62 | 0.99 | 4578.77 | 7049.09 | ||
| PTF | PTF1 | 5.27 | 0.97 | 6055.05 | 7741.195 | |
| PTF2 | 5.4 | 0.98 | 15,709.04 | 16,551.88 | ||
| PTF3 | 5.72 | 0.98 | 22,388.45 | 22,961.41 | ||
| Fungi | MUF | MUF1 | 1.8 | 0.52 | 1372.28 | 1298.68 | 
| MUF2 | 1.97 | 0.18 | 235.06 | 194.03 | ||
| MUF3 | 1.08 | 0.52 | 956.61 | 862.45 | ||
| PTF | PTF1 | 3.56 | 0.02 | 2100.89 | 2023.63 | |
| PTF2 | 2.64 | 0.04 | 1535.19 | 1462.68 | ||
| PTF3 | 3.62 | 0.02 | 2319.36 | 2194.92 | ||
Publisher’s Note: MDPI stays neutral with regard to jurisdictional claims in published maps and institutional affiliations.  | 
© 2022 by the authors. Licensee MDPI, Basel, Switzerland. This article is an open access article distributed under the terms and conditions of the Creative Commons Attribution (CC BY) license (https://creativecommons.org/licenses/by/4.0/).
Share and Cite
Kim, J.; Han, S.J.; Yoo, K. Dust-Associated Bacterial and Fungal Communities in Indoor Multiple-Use and Public Transportation Facilities. Atmosphere 2022, 13, 1373. https://doi.org/10.3390/atmos13091373
Kim J, Han SJ, Yoo K. Dust-Associated Bacterial and Fungal Communities in Indoor Multiple-Use and Public Transportation Facilities. Atmosphere. 2022; 13(9):1373. https://doi.org/10.3390/atmos13091373
Chicago/Turabian StyleKim, Jeongwon, Sang Jun Han, and Keunje Yoo. 2022. "Dust-Associated Bacterial and Fungal Communities in Indoor Multiple-Use and Public Transportation Facilities" Atmosphere 13, no. 9: 1373. https://doi.org/10.3390/atmos13091373
APA StyleKim, J., Han, S. J., & Yoo, K. (2022). Dust-Associated Bacterial and Fungal Communities in Indoor Multiple-Use and Public Transportation Facilities. Atmosphere, 13(9), 1373. https://doi.org/10.3390/atmos13091373
        
