The Spatio–Temporal Variation of Spring Frost in Xinjiang from 1971 to 2020
Abstract
:1. Introduction
2. Materials and Methods
2.1. Study Area
2.2. Meteorological Data
2.3. Spring Frost Criteria
2.4. Statistical Analysis
2.4.1. Mann–Kendall (M–K) Test
2.4.2. Wavelet Analysis
3. Results
3.1. Spatial Distribution of Spring Frost
3.2. Temporal Characteristics of Spring Frost
3.2.1. Spring Frost Occurrence Month
3.2.2. Interannual Variation of Spring Frost
3.3. Periodic Variation and Change Point Detection
3.3.1. Change Point Detection


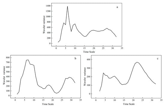
3.3.2. Periodic Cycle
4. Discussion
4.1. About the Definition of Spring Frost in Xinjiang
4.2. Historical Event Verification
4.3. Environmental Background of Spring Frost
5. Conclusions
- (1)
- Spatially, the frequency of spring frost in Xinjiang gradually increased from south to north, with the characteristic that the frequency in Northern Xinjiang is higher than that in Southern Xinjiang. Meanwhile, moderate and severe spring frost events occurred mainly in Northern Xinjiang.
- (2)
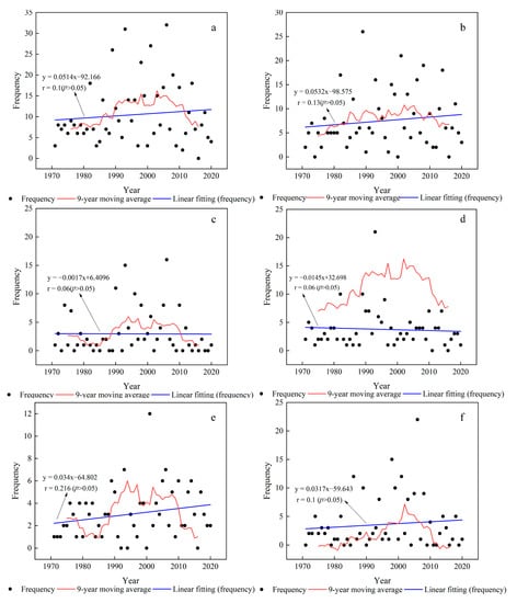
- In terms of time, spring frost occurred most frequently in April in Northern Xinjiang and in March in Southern Xinjiang. In terms of interannual trends, the frequency of spring frost events in the whole and Northern Xinjiang showed a nonsignificant increasing trend with a growth rate of 0.5 times/10 a, whereas Southern Xinjiang showed a nonsignificant decreasing trend at −0.02 times/10 a. For the three degrees of spring frost events, the overall frequency of mild spring frost events decreased with a rate of 0.0145 times/10 a, whereas medium and severe spring frost events showed a nonsignificant increasing trend at 0.034 and 0.032 times/10 a, respectively.
- (3)
- For mutability, the M–K test was used to analyze the mutation years of the frequency in the study area. Different degrees of mutation were found in all three regions, and there were more mutation years. Specifically, the mutation years in the whole territory were mainly between 1971 and 1988 and 2020. The frequency of spring frost in Northern Xinjiang was relatively stable, and the mutation years were mainly from 1972 to 1980. In Southern Xinjiang, the abrupt changes were mainly concentrated in 1990–1992, 2008, 2010, and 2012.
- (4)
- With regard to periodicity, a significant quasi-15-year cycle turbulence in the frequency of spring frost occurrence existed in the whole territory in the past 50 years, and there was a 20-year cycle turbulence in the northern territory and a 15-year cycle turbulence in the southern territory. On multiple time scales, the periodicity was more pronounced in the whole Xinjiang and Northern Xinjiang, whereas the periodicity was weaker in Southern Xinjiang without a significant main cycle of oscillation. The time scales of 4, 7, and 22 years were the first main cycles for the whole, Northern, and Southern Xinjiang, respectively. The analysis revealed that all three study areas are currently in a period of low frequency of spring frost occurrence, and the results are consistent with the results of linear trend analysis.
Author Contributions
Funding
Data Availability Statement
Conflicts of Interest
References
- Liu, X.F.; Zhu, X.F.; Pan, Y.Z.; Zhao, A.Z.; Li, Y.Z. Spatiotemporal changes of cold surges in Inner Mongolia between 1960 and 2012. J. Geogr. Sci. 2015, 25, 259–273. [Google Scholar] [CrossRef]
- Noh, I.; Lee, S.-J.; Lee, S.; Kim, S.-J.; Yang, S.-D. A High-Resolution (20 m) Simulation of Nighttime Low Temperature Inducing Agricultural Crop Damage with the WRF–LES Modeling System. Atmosphere 2021, 12, 1562. [Google Scholar] [CrossRef]
- Hartmann, D.L.; Tank, A.M.K.; Rusticucci, M.; Alexander, L.V.; Brönnimann, S.; Charabi, Y.A.R.; Dentener, F.J.; Dlugokencky, E.J.; Easterling, D.R.; Kaplan, A. Observations: Atmosphere and surface. In Climate Change 2013 the Physical Science Basis: Working Group I Contribution to the Fifth Assessment Report of the Intergovernmental Panel on Climate Change; Cambridge University Press: Cambridge, UK, 2013; pp. 159–254. [Google Scholar]
- Valjarević, A.; Filipović, D.; Valjarević, D.; Milanović, M.; Milošević, S.; Živić, N.; Lukić, T. GIS and remote sensing techniques for the estimation of dew volume in the Republic of Serbia. Meteorol. Appl. 2020, 27, e1930. [Google Scholar] [CrossRef]
- Liu, L.S. Study on Time Symmetry of Meteorological Disasters in Xinjiang. Master’s Thesis, Shanxi Normal University, Xi’an, China, 2014. [Google Scholar]
- Sang, J.; Hao, L. Spatio-temporal patterns of typical agro-meteorological disasters in China in past 30 years. Chin. J. Eco-Agric. 2018, 26, 1302–1314. [Google Scholar]
- Zhu, Y.L.; Wang, H.; Wang, T.; Guo, D. Extreme spring cold spells in North China during 1961–2014 and the evolving processed. Atmos. Ocean. Sci. Lett. 2018, 11, 432–437. [Google Scholar]
- You, H.; Zhou, H.; Yang, H.; Jiang, Y. Analysis on the Late Spring Coldness Processes in Yunnan. Meteorol. Mon. 2013, 39, 738–748. [Google Scholar]
- Vitasse, Y.; Rebetez, M. Unprecedented risk of spring frost damage in Switzerland and Germany in 2017. Clim. Chang. 2018, 149, 233–246. [Google Scholar] [CrossRef]
- Wang, S.; Chen, J.; Rao, Y.H.; Liu, L.C.; Wang, W.Q.; Dong, Q. Response of winter wheat to spring frost from a remote sensing perspective: Damage estimation and influential factors. ISPRS J. Photogramm. Remote Sens. 2020, 168, 221–235. [Google Scholar] [CrossRef]
- Peterson, A.G.; Abatzoglou, J.T. Observed changes in false springs over the contiguous United States. Geophys. Res. Lett. 2014, 41, 2156–2162. [Google Scholar] [CrossRef]
- Leolini, L.; Moriondo, M.; Fila, G.; Costafreda-Aumedes, S.; Ferrise, R.; Bindi, M. Late spring frost impacts on future grapevine distribution in Europe. Field Crops Res. 2018, 222, 197–208. [Google Scholar] [CrossRef]
- Vitasse, Y.; Bottero, A.; Cailleret, M.; Bigler, C.; Fonti, P.; Gessler, A.; Levesque, M.; Rohner, B.; Weber, P.; Rigling, A.; et al. Contrasting resistance and resilience to extreme drought and late spring frost in five major European tree species. Glob. Chang. Biol. 2019, 25, 3781–3792. [Google Scholar] [CrossRef] [PubMed]
- Ma, Q.; Huang, J.G.; Hanninen, H.; Berninger, F. Divergent trends in the risk of spring frost damage to trees in Europe with recent warming. Glob. Chang. Biol. 2019, 25, 351–360. [Google Scholar] [CrossRef] [PubMed] [Green Version]
- Eccel, E.; Rea, R.; Caffarra, A.; Crisci, A. Risk of spring frost to apple production under future climate scenarios: The role of phenological acclimation. Int. J. Biometeorol. 2009, 53, 273–286. [Google Scholar] [CrossRef] [PubMed]
- Qiang, Y.H.; Gao, Y.; Lu, Z. Characteristics of the Late Spring Coldness and Its Cause Analysis in Lishui. Meteorol. Environ. Sci. 2011, 34, 62–64. [Google Scholar]
- Lu, Y.; Shen, Y.; Yang, Q.Q.; Jiang, L. Meteorological Indexes of Late Spring Cold in Jiangsu Province. J. Henan Sci. 2021, 39, 1333–1339. [Google Scholar]
- Yang, W.G.; Huang, Y.X.; Liu, K.Q.; Fan, J.J.; Meng, C.L. Study on the Meteorological Index and Grading of Late Spring Coldness. Hubei Agric. Sci. 2018, 57, 49–53. [Google Scholar]
- Xu, Y.Y.; Chang, J. Spatial and temporal Distribution Analysis of Late Spring Cold in Henan Province based on EEMD Method. Meteorol. Environ. Sci. 2017, 40, 28–32. [Google Scholar]
- Gao, C.; Xing, L.Z.; Zhang, F.M.; Wen, C.; Liu, Q.; Li, L.X. Spatio-temporal distribution characteristics of late spring cold in Shandong Province. Jiangsu Agric. Sci. 2020, 48, 238–245. [Google Scholar]
- Zhao, G. The Spatial-Temporal Dynamics of Late Spring Coldness in Jiangsu and It Influence on Agriculture and Forestry. Master’s Thesis, Nanjing University of Information Science & Technology, Nan’jing, China, 2018. [Google Scholar]
- Li, D.P.; Zhang, K.J.; Zhang, L.; Dong, H.Y.; Guo, L.N.; Liu, X.G. Spatial and temporal characteristics and meteorological indexes of late spring coldness in Qingdao. Chin. J. Eco-Agric. 2020, 28, 1673–1681. [Google Scholar]
- Ci, H.; Zhang, Q.; Singh, V.P.; Xiao, M.; Liu, L. Spatiotemporal properties of growing season indices during 1961–2010 and possible association with agroclimatological regionalization of dominant crops in Xinjiang, China. Meteorol. Atmos. Phys. 2016, 128, 513–524. [Google Scholar] [CrossRef]
- Luo, J.; Dai, J.M.; Yang, H.; Qu, L.L.; Zhao, X. Climatic Characteristics of Cold Wave in Xinjiang during the Period of 1971–2014. Arid. Zone Res. 2017, 34, 309–315. [Google Scholar]
- Sun, S.F.; Zhang, G.X.; Li, M. Evolution features of frontal structure on the 22nd april 2014 cold wave process in Xinjiang. Desert Oasis Meteorol. 2018, 12, 40–48. [Google Scholar]
- Zhang, L.M.; Zhuang, X.C.; Hu, L. Analysis of a strong cold wave process in Aletai Area. J. Arid. Meteorol. 2010, 28, 71–75. [Google Scholar]
- Chen, H.W.; Ma, Y.; Wang, Y.; Yang, L.X. Climatic Characteristics of Hail Weather in Xinjiang. Meteorol. Mon. 2003, 11, 25–28. [Google Scholar]
- Abul, R.; Niu, S.J.; Wang, H.Y. Spatial temporal distribution characteristics of hail in Xinjiang. J. Nat. Disasters 2013, 22, 158–164. [Google Scholar]
- Shi, L.M.; Zhao, Z.P.; Wang, X. The temporal and spatial distribution features of hail disaster in Xinjiang from 1961 to 2014. J. Glaciol. Geocryol. 2015, 37, 898–904. [Google Scholar]
- Chen, Y.; Ma, Y. Spatial and temporal characteristics of flood and rainstorm disaster in Xinjiang. Arid. Land Geogr. 2021, 44, 1515–1524. [Google Scholar]
- Wang, N.; Cui, C.X.; Liu, Y. Temporal-spatial characteristics and the influencing factors of rainstorm-flood disasters in Xinjiang. Arid. Zone Res. 2020, 37, 325–330. [Google Scholar]
- China Meteorological Administration. Meteorological Industry Standard of the People’s Republic of China: Division of Climate and Seasons QX/T 152—2012; Meteorological Press: Beijing, China, 2012.
- Fu, W.D. The Influence of Latest Frost and Microthermal Damage in Spring on the Cotton’s Seeding Time. J. Arid. Land Resour. Environ. 2001, 02, 38–43. [Google Scholar]
- Zhang, X.W.; Zhang, J.B. Xinjiang Meteorological Manual; China Meteorological Press: Beijing, China, 2006; p. 204. [Google Scholar]
- Yu, X.J. Study on cold damage in spring in Xinjiang. Xinjiang Meteorol. 1993, 04, 42–48. [Google Scholar]
- Nyikadzino, B.; Chitakira, M.; Muchuru, S. Rainfall and runoff trend analysis in the Limpopo river basin using the Mann Kendall statistic. Phys. Chem. Earth 2020, 117, 102870. [Google Scholar] [CrossRef]
- Chen, X.; Li, F.-W.; Feng, P. Spatiotemporal variation of hydrological drought based on the Optimal Standardized Streamflow Index in Luanhe River basin, China. Nat. Hazards 2018, 91, 155–178. [Google Scholar] [CrossRef]
- Rigby, J.R.; Porporato, A. Spring frost risk in a changing climate. Geophys. Res. Lett. 2008, 35, L12703. [Google Scholar] [CrossRef]
- Chen, H.Y.; Qiu, B.J.; Zuo, D.K. Xinjiang Climate and Its Relationship with Agriculture; China Science Press: Beijing, China, 1963; pp. 177–178. [Google Scholar]
- Xu, D.Y. Agroclimatic Resources and Regionalization in Xinjiang; China Science Press: Beijing, China, 1989; pp. 91–92. [Google Scholar]
- Xu, D.Y.; Sang, X.C. Xinjiang Agricultural Climate; Xinjiang People ’s Publishing House: Urumqi, China, 1981; pp. 13–16. [Google Scholar]
- Zhang, S.H. The Circulation Background of Spring Coldness in Fujian. Meteorol. Mon. 1996, 03, 51–53. [Google Scholar]
- Shi, Y.G.; Wen, K.G. Annals of Meteorological Disasters in China (Xinjiang Volume) (Zhong Guo Qi Xiang Zai Hai Da Dian(Xinjiang Juan) Reference Pinyin); China Meteorological Press: Beijing, China, 2006; pp. 169–197. [Google Scholar]
- Han, R.Q.; Chen, L.J.; Li, W.J.; Zhang, P.Q. The spatial and temporal characteristics of China continuous cold rain weather and South Cold damage from february to may. J. Appl. Meteorol. 2009, 20, 312–320. [Google Scholar]
- Zohner, C.M.; Mo, L.; Renner, S.S.; Svenning, J.C.; Vitasse, Y.; Benito, B.M.; Alejandro, O.; Frederik, B.; Jean-François, B.; Veronica, S.; et al. Late-spring frost risk between 1959 and 2017 decreased in North America but increased in Europe and Asia. Proc. Natl. Acad. Sci. USA 2020, 117, 12192–12200. [Google Scholar] [CrossRef]




| Station | Observation Height (m) | Latitude (°) | Longitude (°) |
|---|---|---|---|
| Hami | 737.2 | 42.82 | 93.52 |
| Yiwu | 1728.6 | 43.27 | 94.70 |
| Naomaohu | 479.0 | 43.75 | 94.98 |
| Balikun | 1679.4 | 43.60 | 93.05 |
| Yutian | 1422.0 | 36.87 | 81.68 |
| Qiemo | 1247.2 | 38.15 | 85.55 |
| Minfeng | 1409.5 | 37.07 | 82.72 |
| Hotan | 1375.0 | 37.13 | 79.93 |
| Pishan | 1375.4 | 37.62 | 78.28 |
| Yarkant | 1231.2 | 38.43 | 77.27 |
| Makit | 1178.2 | 38.92 | 77.63 |
| Tieganlike | 846.0 | 40.63 | 87.70 |
| Alaer | 1012.2 | 40.50 | 81.05 |
| Kalpin | 1161.8 | 40.50 | 79.05 |
| Kashgar | 1385.6 | 39.47 | 75.98 |
| Wuqia | 2175.7 | 39.70 | 75.20 |
| Atushi | 1267.6 | 39.72 | 76.17 |
| Kuerle | 899.8 | 41.75 | 86.13 |
| Shaya | 982.5 | 41.23 | 82.78 |
| Aksu | 1107.1 | 41.17 | 80.23 |
| Turpan | 39.3 | 42.93 | 89.20 |
| Yanqi | 1055.3 | 42.08 | 86.57 |
| Bayinbuluk | 2458.0 | 43.03 | 84.15 |
| Kumishi | 922.4 | 42.23 | 88.22 |
| Dabancheng | 1103.5 | 43.35 | 88.32 |
| Tianchi | 1942.5 | 43.88 | 88.12 |
| Hutubi | 575.1 | 44.13 | 86.82 |
| Jinghe | 329.2 | 44.62 | 82.90 |
| Karamay | 450.3 | 45.60 | 84.85 |
| Toli | 1094.2 | 45.93 | 83.60 |
| Bole | 820.4 | 44.90 | 82.07 |
| Alashankou | 369.8 | 45.18 | 82.58 |
| Hefeng | 1322.1 | 46.78 | 85.72 |
| Tarbagatay | 534.9 | 46.73 | 83.00 |
| Fuyun | 860.4 | 46.98 | 89.50 |
| Altay | 735.3 | 47.73 | 88.08 |
| Fuhai | 497.0 | 47.12 | 87.50 |
| Buerjin | 473.9 | 47.70 | 86.87 |
| Habahe | 532.6 | 48.05 | 86.35 |
| Hongliuhe | 1573.8 | 41.53 | 94.67 |
| Region | D (Days) | |||||
|---|---|---|---|---|---|---|
| Mild | Moderate | Severe | Mild | Moderate | Severe | |
| Northern Xinjiang | D ≤ 3 | 4 ≤ D ≤ 5 | D ≥ 6 | ≥ 4.9 | ≤ 4.8 | ≤ 3.7 |
| Southern Xinjiang | D ≤ 3 | 4 ≤ D ≤ 6 | D ≥ 7 | ≥ 5.3 | ≤ 5.2 | ≤ 4.2 |
| D (Days) | ||||
|---|---|---|---|---|
| Mild | Moderate | Severe | ||
| (°C) | Mild | Mild | Mild | Moderate |
| Moderate | Mild | Moderate | Severe | |
| Severe | Moderate | Severe | Severe | |
| Region | Number of Spring Events (Times) | |||
|---|---|---|---|---|
| March | April | May | June | |
| Northern Xinjiang | 11 | 261 | 97 | 6 |
| Southern Xinjiang | 74 | 43 | 16 | 15 |
| Xinjiang | 85 | 304 | 114 | 21 |
Publisher’s Note: MDPI stays neutral with regard to jurisdictional claims in published maps and institutional affiliations. |
© 2022 by the authors. Licensee MDPI, Basel, Switzerland. This article is an open access article distributed under the terms and conditions of the Creative Commons Attribution (CC BY) license (https://creativecommons.org/licenses/by/4.0/).
Share and Cite
Yue, Z.; Xu, Z.; Wang, Y. The Spatio–Temporal Variation of Spring Frost in Xinjiang from 1971 to 2020. Atmosphere 2022, 13, 1087. https://doi.org/10.3390/atmos13071087
Yue Z, Xu Z, Wang Y. The Spatio–Temporal Variation of Spring Frost in Xinjiang from 1971 to 2020. Atmosphere. 2022; 13(7):1087. https://doi.org/10.3390/atmos13071087
Chicago/Turabian StyleYue, Zhiyang, Zhonglin Xu, and Yao Wang. 2022. "The Spatio–Temporal Variation of Spring Frost in Xinjiang from 1971 to 2020" Atmosphere 13, no. 7: 1087. https://doi.org/10.3390/atmos13071087
APA StyleYue, Z., Xu, Z., & Wang, Y. (2022). The Spatio–Temporal Variation of Spring Frost in Xinjiang from 1971 to 2020. Atmosphere, 13(7), 1087. https://doi.org/10.3390/atmos13071087
