Abstract
Exposure to natural environments has a range of health benefits, including enhancing psychological restoration and cognitive development. While there are various explanations on the causes for the benefits of the natural exposure, such as less air pollution and noise, more physical activity, stronger social interactions, or even more diverse microbial community, etc., this study has zeroed in on the air quality of the natural environment. In addition to low-level pollution, what makes the natural air superior remains unclear. To this end, we conducted a series of psychological evaluation and cognitive tests on a couple of subjects in a national forest park in southwest China. Based on the results, we built an artificial chamber where selected air parameters can be independently manipulated and carried out similar tests in the chamber. We came to the following conclusion. (1) Exposure to real natural environment demonstrated tangible benefits for cognitive performances and mental states and the benefits can be obtained to some extent in the artificial environment by creating air qualities similar to the air in the natural environment. (2) Scents in natural environments may be one of the key beneficial factors. (3) Adopting proper cognitive test is critical for distinguishing the differences made by the natural exposure. Working memory showed marked responses to the natural exposure.
1. Introduction
It is well recognized that exposure to nature, such as living near green space or engaging in activities in natural environment, is beneficial to human health because it is associated with less air pollution and noise, more physical activity, stronger social interactions, or more diverse microbial community [1,2,3,4]. Some studies have found exposure to nature is associated with mood improvement (e.g., reduce anger and anxiety) while others reported better cognitive performance, such as working memory, executive function, and attention, after the exposure [5,6,7,8,9,10,11,12]. For example, Bratman et al. [5] found the subjects’ working memory and mood states were improved after a 50-min walk in an urban park. The attention restoration theory (ART) [13] and stress reduction theory (SRT) [13,14] are the leading theories that explain the benefits of the natural exposure.
Forest is one of the most studied natural environments due to its physical, psychological and cognitive benefits [15]. The Japan Ministry of Agriculture has proposed and promoted the idea of Shinrin-yoku, also known as forest bathing, i.e., walking in the woods [15,16]. Forest is the chosen natural environment in present study.
Among the various beneficial factors, superior air quality and its associated benefits in the natural environment have not been fully explored. Most studies on air quality focus on the concentrations of key pollutants, such as particulate matter (PM), NOx, and CO2, while few have targeted the good aspects of the air in natural environment [17]. Negative air ion (NAI) is one of the few beneficial air parameters that have been studied and it is reportedly associated with psychological improvement [18].
Previous studies exploring the benefits of natural environments can be categorized in two groups: (1) epidemiological analysis of the psychological and cognitive effects of natural exposure for the residents living near the green space [19,20]; and (2) controlled trials of comparing psychological and cognitive scores of the subjects before and after the natural exposure. The natural exposure can either be real [5,21,22] or virtual (e.g., employing Virtual Reality devices) [23,24,25,26,27].
Aiming for a better understanding of the critical features that make the “good air” in the natural environment, we performed a series of tests including subjective assessment (for environmental quality), psychological, and cognitive tests in a remote forest located in a national park, which is the chosen natural environment, before and after the exposure. Based on the results, we built a chamber in the lab where various air parameters are independently controlled. Similar tests were conducted in the chamber to verify the results obtained in the field study.
2. Materials and Methods
2.1. Design
The experiments were conducted in both natural and artificial environments. The field (primitive forest) test was conducted first to explore the possible benefits and the air quality advantages of the natural environment. At this stage, subjects were asked to take a series of subjective assessment (for air quality), psychological, and cognitive tests indoors before and after natural exposure. Mood states were used to measure the psychological changes. Among the cognitive abilities, not only attention, working memory, and executive function as reported in the literature, but also abilities such as reaction time were tested [9,10,11,12]. The relevant details are described in Section 2.2. Air quality in the fields were recorded during the tests.
Based on the results of the field experiments, we built an artificial chamber where selected parameters that reflect the natural environment can be independently controlled. Then the subjects were asked to take the same tests in the chamber to identify which parameters provide the most benefits. To measure the baseline blank test was conducted in ordinary rooms. To minimize the effects of time lapse, all blank tests were conducted within one month of field and chamber tests.
2.2. Type of Test
2.2.1. Cognitive Test
Attention Network Task (ANT) and Quantified Mind platforms were chosen to measure subjects’ cognitive abilities in reference to other studies on natural benefits [28,29,30]. The ANT was developed by Fan et al. [31] to measure three attentional functions: alerting, orienting and executive attention. The subjects carried out the ANT test via the E-Prime software 1.3.0 (Psychology Software Tools, Pittsburgh, PA, USA) on laptops. Quantified Mind is a cognitive testing platform (www.quantified-mind.com, accessed on 31 March 2022) which provides a variety of cognitive tests covering executive function, working memory, reaction time, etc. Working memory refers to the memory for immediate cognitive processing, storage, and manipulation of information [32]. Reaction time is the time lapse between a stimulus and a production of a simple behavior. The executive function refers to a range of loosely related cognitive abilities associated with high-level processing including inhibition control, planning, inference, organization, self-regulation, and initiation of behavior [33]. Visual perception and cognition skills are involved with the perception of visual information and the ability to process and manipulate visual images. The corresponding tests for these cognitive abilities are shown in the Table 1. Since there is no standardized test at present [34], the scores should be taken with caution when compared to the results of other studies.
Table 1.
Cognitive abilities and their tests.
2.2.2. Subjective and Psychological Evaluation
The subjects were asked to assess the perceived air quality in different environments via the 3-point scale where 3, 2, and 1 refer to good, neutral, and bad air quality, respectively.
The Profile of Mood States (POMS) scale can be used to investigate the psychological distress after natural exposure [37]. The POMS scale consists of 40 descriptors that assess the mood status of the subjects from seven dimensions: tension-anxiety (T), depression-dejection (D), anger-hostility (A), fatigue-inertia (F), vigor-activity (V), confusion-bewilderment (C), and self-esteem (S), where V and C represent positive moods, and the rest represent negative moods. To make sure the subjects sufficiently understand the descriptors, we used a proved Chinese version of the POMS [38].
2.3. Subjects
The subjects were non-smoking students without any known medical condition from Chongqing University. We chose the college students from the same university as subjects to avoid the bias caused by different education levels. 18 subjects (21.3 ± 1.7 years old; 61% female) took part in the field experiment while 15 subjects (22.5 ± 1.7 years old; 33% female) took part in the chamber experiment.
2.4. Field Test
2.4.1. Natural Environment
The Simian Mountain National Forest Park, located in the southwest China, was the chosen natural environment. The Park covers an area of 213.37 km2 with a 96% forest coverage and it is far away from the urban area (106 km from downtown Chongqing). Metasequoia is the dominant species in this subtropical moist broadleaf forest (Figure 1a,b). There is a cabin in the woods (Figure 1a,c) for the subjects to conduct various tests before and after the exposure to the forest.
Figure 1.
(a) The cabin in the woods, (b) a close view of the forest, and (c) the subjects who were doing the tests in the cabin.
2.4.2. Test Procedures
All subjects were trained to learn how to complete the cognitive test before the experiment. The learning effect that causes bias in the cognitive tests [34] were considered in present study. McMorris et al. [39] suggested that the learning effects could be mitigated by repeated practice. Therefore, all the subjects were asked to practice the cognitive tests at least five times until they were proficient. The details of the test procedure are as follows (Figure 2):
Figure 2.
Procedures for the field test.
- 1.
- The subjects arrived at the forest park a day earlier and they were asked to keep free of coffee and alcohol for three days preceding the experiment;
- 2.
- On the test day the subjects walked in the forest without vigorous activities (e.g., running or climbing) for 2 h, during which the subjective and psychological assessments were conducted in the forest;
- 3.
- After the forest walk, they returned to the cabin on a short walk and began the cognitive tests after a 20-min rest. Before the formal tests, a practice was carried out to reduce the learning effect. The blank test with the same procedures was carried out before the field experiment.
2.5. Chamber Test
2.5.1. Chamber Design
Based on the results of field experiment, an artificial chamber was built to mimic the natural environment where the parameters can be independently controlled. The chamber is 3.5 m × 5.5 m (Figure 3c) and located in Chongqing University. To circumvent the difficulty of regulating the air quality of an entire room, we developed a personalized ventilation system (PVS) to specifically control the air quality in the subjects’ breathing zone. The overall thermal environment was controlled by a house-hold air conditioner. The PVS consists of three parts (Figure 3a): (1) an air handling unit (AHU) which controls humidity and temperature independently and switches between all makeup air and all return air; (2) a purification unit consisting of a primary filter, an activated carbon packed bed, and a high efficiency particulate air (HEPA) filter; and (3) an air supplying unit consisting of a manifold, a carbon dioxide cylinder, a Negative Air Ions (NAI) generator (Cixi Zhouxiang Heli Electrical, Ningbo, China), and a scent generator (X-Scent 4.0 SCENTREALM, Hangzhou, China). The air vents of the PVS were 40 cm away from the subjects’ faces. Considering the rapid decay of the NAI, the NAI generator was mounted under the testing desk (Figure 3b), and the scent generator was hanging on the subjects’ necks.
Figure 3.
(a) Schematic diagram of the personalized ventilation system; (b) layout of a testing desk; and (c) overview of the chamber.
During the test, the windows were closed with curtains pulled to provide a consistent light environment. The chamber can accommodate four subjects for one round of test. Since only the effects of air-related factors were considered, the subjects were separated by partitions to avoid interference from each other and provided with noise-canceling earplugs (3M-1436, 3M China Co., Ltd., Shanghai, China) to avoid undesired noise. The windows were shaded to protect from variation in natural light.
2.5.2. Test Procedures
The chamber test was conducted in January and March 2021. To mimic the natural environment and severe indoor environment, four scenarios with different features were developed: forest scent, sea scent, high NAI concentration, and high CO2 concentration. The sea scent scenario was set to study the potential benefits of blue spaces.
The chamber tests were single blinded. Due to the withdrawal of certain subjects, 12 subjects participated in each scene. The subjects were divided into three groups and the order of the four scenarios was random. Similar with the field test, the subjects in the chamber test were properly trained, and free of medical conditions, coffee and alcohol. As shown in Figure 4, the procedure for the chamber test were similar to that for field test. The subjects sat in the chamber for 15-min before taking subjective and psychological evaluation. Then they took a 20-min practice of the cognitive test ahead of the formal test. Between the practice and formal test there was a 5-min relaxation.
Figure 4.
The program of artificial environment experiment.
2.6. Environmental Quality Measurement
A variety of air quality parameters in the subjects’ breathing zone was measured at the heights of 1.5 m and 1.2 m which correspond to standing and sitting modes. The air parameters and the instruments are shown in Table 2.
Table 2.
Air quality parameter and instrument.
2.7. Data Analysis
The scores from the subjective and psychological assessment and the cognitive tests were analyzed by the paired t test (for normally distributed data only) and the Mann–Whitney test. Significance level was set at p < 0.05.
Power Spectral Functions (PSD) of the air flow in the natural environment, a natural ventilated room (blank test), and from an electric fan were analyzed to obtain the β value [34]. The sampling frequency of the original data is 20 Hz.
3. Results and Discussion
3.1. Field Test
3.1.1. Air Parameters
The air quality was recorded during the field test. As shown in Figure 5a, the CO2 concentration in the forest park was stable at about 400 ppm while it was much higher in the classroom where the blank test was conducted. The NAI concentration in the forest park was 270 ions/cm3, on average, while it was less than 50 ions/cm3 indoors (Figure 5b).
Figure 5.
Air parameters for the forest park and the classroom: (a) concentration of CO2; (b) concentration of NAI; (c) concentration of PM1, PM2.5, and PM10; and (d) power spectrum of the wind of electric fan; (e) power spectrum of the wind of natural environment; (f) power spectrum of the wind of natural ventilated room.
The concentrations of particulate matters (PM) including PM1, PM2.5, and PM10 for forest park was comparable with those in the classroom where PM2.5 and PM10 were higher for the former and PM1 was higher for the latter (Figure 5c). The particulate matters in the forest may stem from the biogenic volatile organic compounds (BVOC) released by plants [40,41], which form PMs via photo-oxidation [42].
The β value of the power spectrum of air flow have been proved an effective indicator which distinguishes the wind arising naturally and the wind generated by a fan. Figure 5d shows the power spectrums of the wind in forest park (green), in a naturally ventilated room (blue), and of the wind generated by electronic fans (orange). The β values for the forest park and the naturally ventilated room, i.e., 1.22 and 1.70, were much higher than that for the mechanical wind which is 0.48. This is consistent with the results by Gao et al. [43] and Ouyang et al. [44].
3.1.2. Cognitive Tests
The results of cognitive test are shown in Figure 6. The ANT results were expressed in the difference between the reaction times (delta reaction time) before and after the exposure to the forest park. All three functions (alerting, orienting, and conflict effect) tested in the ANT showed no significant differences, whereas the overall delta reaction time was positive with statistical significance, indicating that the subjects reacted slight slower after the exposure. The score differences before and after the exposure for the Mind Quantified platform were normalized against the scores before the exposure (Figure 6b). There were improvements after the exposure for all the tests conducted Mind Quantified platform, among which the scores of 2 back test, backward digit span test, forward digit span test, and simple reaction time test have statistical significance.
Figure 6.
Differences of the results for (a) the ANT and (b) the Mind Qualified platform before and after the exposure to the forest park. The score differences for the Mind Qualified platform were normalized against the scores before the exposure.
3.1.3. Subjective and Psychological Test
The subjects’ perceived air qualities for the forest park and the classroom were shown in Figure 7. As expected, the perceived air quality in forest park is significantly better than that in the classroom.
Figure 7.
The score of perception air quality of air quality, where 3, 2, and 1 refer to good, neutral, and bad air quality, respectively.
The POMS scores are shown in Figure 8. Among the seven moods, V and SF, which are energy and pride, represent positive moods while the others represent negative moods. After the exposure, the mood of vigor-activity (V) was significantly improved while the negative mood of fatigue-inertia (F) was significantly suppressed, suggesting exposure to forest as an effective way of buoying mood and fending off depression.
Figure 8.
The Profile of Mood States (POMS) scores after natural and indoor exposure.
3.2. Chamber Tests
3.2.1. Air Quality
Figure 9 shows the NAI concentration and the CO2 concentration were considerably higher in the NAI scenario and in the High CO2 scenario respectively. In the Sea scent and Forest scent scenarios, all subjects were positive about the scents that were consistent with the settings of the scent generator.
Figure 9.
The air quality control during the four scenarios and blank test, (a) concentration of NAI and (b) concentration of CO2.
3.2.2. Cognitive Tests
Figure 10 shows the results of ANT for the four scenarios. For the alerting function, there was a significant “slow-down” effect for the high CO2 concentration scenario, which is not a surprise given that high level CO2 causes drowsiness. The overall reaction time was averagely shorter for the sea scent scenario. Nonetheless, based on the results for the ANT in Figure 6a and Figure 10, there is a lack of consistency in part due to the fact the ANT is relatively simple and does not respond well to short-time, moderate changes for the air parameters.
Figure 10.
The ANT results in the four scenarios.
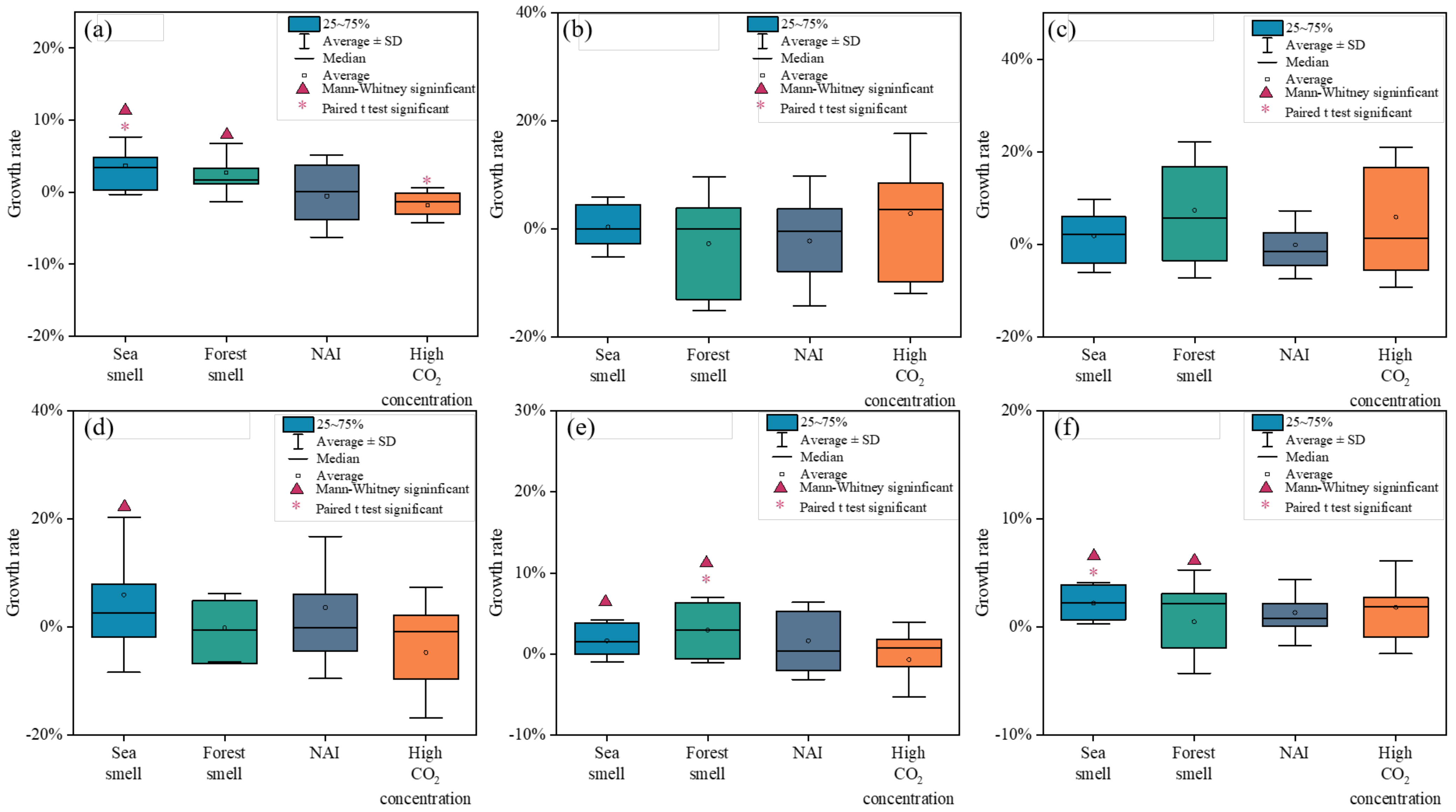
Figure 11 shows the normalized score differences on Mind Quantified platform for the chamber test, which showed better consistency with the results for the field test. The results for 2 back, color word, and visual matching showed significant improvements in the sea scent and the forest scent scenarios, the former of which also demonstrated better scores for the choice reaction time. The natural scent gave statistically significant improvements for all types of cognitive abilities listed in Table 1, including working memory, reaction time, executive function and visual perception and cognition. It is interesting to see that the forest and sea scents demonstrated tangible benefits. Moss et.al [45] have shown that the scent of rosemary improved subjects’ calculating and visual information processing abilities. Other studies have demonstrated the benefits of plant scent [46,47]. The underlying mechanism for the benefits caused by the scents are worthy of further investigation. In contrast, no significantly positive effects of NAI on the cognitive abilities were observed. The high concentration CO2 scenario worsened the scores in the 2 back test. It is well known that high-concentration CO2 is able to worsen the cognitive abilities [48]. Lower concentration of CO2 in natural environment may partly explain the better cognitive performance.
Figure 11.
The performance of cognitive tests on Mind Quantified platform in the four scenarios, (a) 2 back; (b) forward digit span; (c) simple reaction time; (d) choice reaction time; (e) color word; and (f) visual matching.
It has been demonstrated that the ANT was not a suitable tool in investigating the differences made by exposing the short-time, moderate changes of air parameters due to its poor consistency. In comparison, the Mind Quantified platform showed more consistent results. Previous studies have shown mixed results: In Ohly et al.’s [49] meta-analysis, only three of the ten natural exposure studies found improvements in attentional function. Berman et al. [30] conducted similar experiments done by the Johnson et al. [50] who found watching virtual green nature resulted in attention improvement, but gave inconsistent results. Menzel et al. [51] concluded that whether the attention recovery effect can be evoked depended on the quality of the simulated natural conditions.
According to ART theory, attention recovery is the result of cognitive loading [10,52]. In our experiments, the ANT, which is not very burdensome, was first carried out. Since the cognitive load of the ANT is light, the recovery after the ANT is consequently insignificant. Ohly et al. [49] also suggested that only demanding attentional tasks can show improvements following exposure to nature.
For a given cognitive load, high-level cognitive functions, such as working memory, were more susceptible to the exposure while basic functions, such as attention, were less affected. For the tests on Mind Quantified platform, the 2 back test, which reflects working memory, demonstrated consistent results in the field and chamber tests, indicating forest exposure and natural scents may result in improvement for working memory, while high CO2 concentration did the opposite. Similar results can be found in other studies [9]. It is worth noting that introducing the natural scents gave similar cognitive benefits with the forest exposure, suggesting the natural scent be one of the key beneficial factors of the natural environment.
3.2.3. Subjective and Psychological Test
The scores of perceived air quality and POMS test for the four scenarios are shown in Figure 12. Most subjects rated the air quality neutrally in all scenarios. For mood status, the high NAI concentration scenario seemed to lead to positive moods with higher scores for vigor-activity (V) and lower scores for tension-anxiety (T). This may be due to the strong link between NAI and psychological states [53].
Figure 12.
(a) The score of perceived air quality in the four scenario and blank test and (b) the Profile of Mood States (POMS) scores in the four scenario and blank test.
Compared to the field tests, significant beneficial effects on mood states have been found after natural exposure as other studies reported [21,54,55]. In the chamber test, however, significant benefit was only found at high NAI concentration.
4. Conclusions
In present work, we aimed for a better understanding of the benefits of natural environments, and the key factors of which that resulted in the benefits by conducting a combination of subjective and psychological evaluations and various cognitive tests in both a forest park and an artificial chamber. The major findings are:
- 1.
- Exposure to natural environment is beneficial for cognitive abilities (especially working memory and reaction time) and mood states;
- 2.
- Natural scents may be one of the key beneficial factors of the natural environment;
- 3.
- Choosing the proper cognitive test is critical for the identification of the effects of natural exposure. In our study, the 2 back test, which is associated with working memory, is the most effective one.
Future studies with larger sample size (more subjects) and more sophisticated cognitive tests are recommended for exploring multiple factors of the natural environment.
Author Contributions
W.Z.: Writing—Original Draft, Methodology, and Investigation. H.L.: Investigation, and Methodology. S.H.: Investigation, Methodology and Data analysis. X.Q.: Resources. X.C.: Resources. M.L.: Supervision and Funding acquisition. D.W.: Investigation and Data analysis. L.L.: Conceptualization, Writing—Review and Editing, and Supervision. All authors have read and agreed to the published version of the manuscript.
Funding
This research was funded by the “University Scientific Research and Innovation Team Program of Chongqing” (Grant No. CXQT21004).
Institutional Review Board Statement
The study was approved by the Institutional Review Board of Chongqing University.
Acknowledgments
We would like thank Ming Yuan and other subjects for their participation and contribution in this work.
Conflicts of Interest
The authors declare no conflict of interest.
References
- Dadvand, P.; Nieuwenhuijsen, M.J.; Esnaola, M.; Forns, J.; Basagaña, X.; Alvarez-Pedrerol, M.; Rivas, I.; López-Vicente, M.; De Castro Pascual, M.; Su, J.; et al. Green spaces and cognitive development in primary schoolchildren. Proc. Natl. Acad. Sci. USA 2015, 112, 7937–7942. [Google Scholar] [CrossRef] [PubMed] [Green Version]
- Gascon, M.; Triguero-Mas, M.; Martínez, D.; Dadvand, P.; Rojas-Rueda, D.; Plasència, A.; Nieuwenhuijsen, M.J. Residential green spaces and mortality: A systematic review. Environ. Int. 2016, 86, 60–67. [Google Scholar] [CrossRef] [PubMed] [Green Version]
- Engemann, K.; Pedersen, C.B.; Arge, L.; Tsirogiannis, C.; Mortensen, P.B.; Svenning, J.-C. Residential green space in childhood is associated with lower risk of psychiatric disorders from adolescence into adulthood. Proc. Natl. Acad. Sci. USA 2019, 116, 5188–5193. [Google Scholar] [CrossRef] [PubMed] [Green Version]
- Rook, G.A. Regulation of the immune system by biodiversity from the natural environment: An ecosystem service essential to health. Proc. Natl. Acad. Sci. USA 2013, 110, 18360–18367. [Google Scholar] [CrossRef] [Green Version]
- Bratman, G.N.; Daily, G.C.; Levy, B.J.; Gross, J.J. The benefits of nature experience: Improved affect and cognition. Landsc. Urban Plan. 2015, 138, 41–50. [Google Scholar] [CrossRef]
- Shibata, S.; Suzuki, N. Effects of the foliage plant on task performance and mood. J. Environ. Psychol. 2002, 22, 265–272. [Google Scholar] [CrossRef]
- Kuo, F.E.; Sullivan, W.C. Aggression and Violence in the Inner City: Effects of Environment via Mental Fatigue. Environ. Behav. 2001, 33, 543–571. [Google Scholar] [CrossRef]
- Chang, C.-Y.; Chen, P.-K. Human response to window views and indoor plants in the workplace. HortScience 2005, 40, 1354–1359. [Google Scholar] [CrossRef] [Green Version]
- Bodin, M.; Hartig, T. Does the outdoor environment matter for psychological restoration gained through running? Psychol. Sport Exerc. 2003, 4, 141–153. [Google Scholar] [CrossRef]
- Stevenson, M.P.; Schilhab, T.; Bentsen, P. Attention Restoration Theory II: A systematic review to clarify attention processes affected by exposure to natural environments. J. Toxicol. Environ. Health Part B 2018, 21, 227–268. [Google Scholar] [CrossRef]
- Herzog, T.R.; Black, A.M.; Fountaine, K.A.; Knotts, D.J. Reflection and attentional recovery as distinctive benefits of restorative environments. J. Environ. Psychol. 1997, 17, 165–170. [Google Scholar] [CrossRef]
- Bourrier, S.C.; Berman, M.G.; Enns, J.T. Cognitive strategies and natural environments interact in influencing executive function. Front. Psychol. 2018, 9, 1248. [Google Scholar] [CrossRef]
- Ulrich, R.S.; Simons, R.F.; Losito, B.D.; Fiorito, E.; Miles, M.A.; Zelson, M. Stress recovery during exposure to natural and urban environments. J. Environ. Psychol. 1991, 11, 201–230. [Google Scholar] [CrossRef]
- Ulrich, R.S. Aesthetic and Affective Response to Natural Environment. In Behavior and the Natural Environment; Altman, I., Wohlwill, J.F., Eds.; Springer: Boston, MA, USA, 1983; pp. 85–125. [Google Scholar]
- Hansen, M.M.; Jones, R.; Tocchini, K. Shinrin-yoku (forest bathing) and nature therapy: A state-of-the-art review. Int. J. Environ. Res. Public Health 2017, 14, 851. [Google Scholar] [CrossRef] [PubMed] [Green Version]
- Park, B.J.; Tsunetsugu, Y.; Kasetani, T.; Kagawa, T.; Miyazaki, Y. The physiological effects of Shinrin-yoku (taking in the forest atmosphere or forest bathing): Evidence from field experiments in 24 forests across Japan. Environ. Health Prev. Med. 2009, 15, 18. [Google Scholar] [CrossRef] [Green Version]
- Nowak, D.J.; Hirabayashi, S.; Bodine, A.; Greenfield, E. Tree and forest effects on air quality and human health in the United States. Environ. Pollut. 2014, 193, 119–129. [Google Scholar] [CrossRef] [Green Version]
- Igarashi, M.; Ikei, H.; Song, C.; Miyazaki, Y. Effects of olfactory stimulation with rose and orange oil on prefrontal cortex activity. Complement. Ther. Med. 2014, 22, 1027–1031. [Google Scholar] [CrossRef]
- Davis, Z.; Guhn, M.; Jarvis, I.; Jerrett, M.; Nesbitt, L.; Oberlander, T.; Sbihi, H.; Su, J.; van den Bosch, M. The association between natural environments and childhood mental health and development: A systematic review and assessment of different exposure measurements. Int. J. Hyg. Environ. Health 2021, 235, 113767. [Google Scholar] [CrossRef]
- Wyles, K.J.; White, M.P.; Hattam, C.; Pahl, S.; King, H.; Austen, M. Are some natural environments more psychologically beneficial than others? The importance of type and quality on connectedness to nature and psychological restoration. Environ. Behav. 2019, 51, 111–143. [Google Scholar] [CrossRef]
- Lee, J.; Park, B.J.; Tsunetsugu, Y.; Ohira, T.; Kagawa, T.; Miyazaki, Y. “Effect of forest bathing on physiological and psychological responses in young Japanese male subjects”: Corrigendum. Public Health 2019, 169, 201. [Google Scholar] [CrossRef]
- Faber Taylor, A.; Kuo, F.E. Children With Attention Deficits Concentrate Better After Walk in the Park. J. Atten. Disord. 2009, 12, 402–409. [Google Scholar] [CrossRef] [Green Version]
- Kaplan, R. The Nature of the View from Home: Psychological Benefits. Environ. Behav. 2001, 33, 507–542. [Google Scholar] [CrossRef]
- Chen, C.; Lai, Y.; Wu, J. Restorative affections about directed attention recovery and reflection in different environments. Chin. Ment. Health J. 2011, 25, 681–685. [Google Scholar]
- Berto, R. Exposure to restorative environments helps restore attentional capacity. J. Environ. Psychol. 2005, 25, 249–259. [Google Scholar] [CrossRef]
- Tennessen, C.M.; Cimprich, B. Views to nature: Effects on attention. J. Environ. Psychol. 1995, 15, 77–85. [Google Scholar] [CrossRef]
- Anderson, A.P.; Mayer, M.D.; Fellows, A.M.; Cowan, D.R.; Hegel, M.T.; Buckey, J.C. Relaxation with immersive natural scenes presented using virtual reality. Aerosp. Med. Hum. Perform. 2017, 88, 520–526. [Google Scholar] [CrossRef] [PubMed]
- Schiavon, S.; Yang, B.; Donner, Y.; Chang, V.C.; Nazaroff, W.W. Thermal comfort, perceived air quality, and cognitive performance when personally controlled air movement is used by tropically acclimatized persons. Indoor Air 2017, 27, 690–702. [Google Scholar] [CrossRef]
- Zhang, X.; Wargocki, P.; Lian, Z.; Thyregod, C. Effects of exposure to carbon dioxide and bioeffluents on perceived air quality, self-assessed acute health symptoms, and cognitive performance. Indoor Air 2017, 27, 47–64. [Google Scholar] [CrossRef] [Green Version]
- Berman, M.G.; Jonides, J.; Kaplan, S. The Cognitive Benefits of Interacting With Nature. Psychol. Sci. 2008, 19, 1207–1212. [Google Scholar] [CrossRef]
- Fan, J.; McCandliss, B.D.; Sommer, T.; Raz, A.; Posner, M.I. Testing the Efficiency and Independence of Attentional Networks. J. Cogn. Neurosci. 2002, 14, 340–347. [Google Scholar] [CrossRef]
- Hill, B.D. The Construct Validity of the Clinical Assessment of Working Memory Ability. Ph.D. Thesis, Louisiana State University, Baton Rouge, LA, USA, August 2008. [Google Scholar]
- Diamond, A. Executive Functions. Annu. Rev. Psychol. 2013, 64, 135–168. [Google Scholar] [CrossRef] [PubMed] [Green Version]
- Taylor, L.; Watkins, S.L.; Marshall, H.; Dascombe, B.J.; Foster, J. The impact of different environmental conditions on cognitive function: A focused review. Front. Physiol. 2016, 6, 372. [Google Scholar] [CrossRef] [PubMed] [Green Version]
- MacLeod, C.M. The Stroop Task in Cognitive Research; The Stroop Task in Cognitive Research: Washington, DC, USA, 2005; pp. 17–40. [Google Scholar]
- Logan, G.D.; Zbrodoff, N.J.; Williamson, J. Strategies in the color-word Stroop task. Bull. Psychon. Soc. 1984, 22, 135–138. [Google Scholar] [CrossRef] [Green Version]
- Fu, D.; Serra, N.I.; Mansion, H.; Mansion, E.T.; Blain-Moraes, S. Assessing the Effects of Nature on Physiological States Using Wearable Technologies. Int. J. Environ. Res. Public Health 2022, 19, 1231. [Google Scholar] [CrossRef]
- Wang, J.; Lin, W.; Chen, Z. Poms for use in china. J. Chin. Psychol. Acta Psychol. Sin. 2000, 32, 110. [Google Scholar]
- McMorris, T.; Swain, J.; Smith, M.; Corbett, J.; Delves, S.; Sale, C.; Harris, R.C.; Potter, J. Heat stress, plasma concentrations of adrenaline, noradrenaline, 5-hydroxytryptamine and cortisol, mood state and cognitive performance. Int. J. Psychophysiol. 2006, 61, 204–215. [Google Scholar] [CrossRef]
- Kavouras, I.G.; Stephanou, E.G. Particle size distribution of organic primary and secondary aerosol constituents in urban, background marine, and forest atmosphere. J. Geophys. Res. Atmos. 2002, 107, AAC-7. [Google Scholar] [CrossRef] [Green Version]
- Kourtchev, I.; Fuller, S.; Aalto, J.; Ruuskanen, T.M.; McLeod, M.W.; Maenhaut, W.; Jones, R.; Kulmala, M.; Kalberer, M. Molecular Composition of Boreal Forest Aerosol from Hyytiälä, Finland, Using Ultrahigh Resolution Mass Spectrometry. Environ. Sci. Technol. 2013, 47, 4069–4079. [Google Scholar] [CrossRef]
- Wang, W.; Wu, M.H.; Li, L.; Zhang, T.; Liu, X.D.; Feng, J.L.; Li, H.J.; Wang, Y.J.; Sheng, G.Y.; Claeys, M.; et al. Polar organic tracers in PM2.5 aerosols from forests in eastern China. Atmos. Chem. Phys. 2008, 8, 7507–7518. [Google Scholar] [CrossRef] [Green Version]
- Gao, R.; Zhang, W.; Zhang, Y.; Li, A. Statistical characteristics and frequency spectrum analysis of fan induced airflow compared with natural winds. Int. J. Vent. 2015, 14, 255–263. [Google Scholar] [CrossRef]
- Ouyang, Q.; Dai, W.; Li, H.; Zhu, Y. Study on dynamic characteristics of natural and mechanical wind in built environment using spectral analysis. Build. Environ. 2006, 41, 418–426. [Google Scholar] [CrossRef]
- Moss, M.; Oliver, L. Plasma 1,8-cineole correlates with cognitive performance following exposure to rosemary essential oil aroma. Ther. Adv. Psychopharmacol. 2012, 2, 103–113. [Google Scholar] [CrossRef] [PubMed] [Green Version]
- Lwin, M.O.; Malik, S.; Neo, J.R.J. Effects of Scent and Scent Emission Methods: Implications on Workers’ Alertness, Vigilance, and Memory under Fatigue Conditions. Environ. Behav. 2020, 53, 987–1012. [Google Scholar] [CrossRef]
- Moss, M.; Hewitt, S.; Moss, L.; Wesnes, K. Modulation of cognitive performance and mood by aromas of peppermint and ylang-ylang. Int. J. Neurosci. 2008, 118, 59–77. [Google Scholar] [CrossRef] [PubMed] [Green Version]
- Satish, U.; Mendell, M.J.; Shekhar, K.; Hotchi, T.; Sullivan, D.; Streufert, S.; Fisk, W.J. Is CO2 an indoor pollutant? Direct effects of low-to-moderate CO2 concentrations on human decision-making performance. Environ. Health Perspect. 2012, 120, 1671–1677. [Google Scholar] [CrossRef] [PubMed] [Green Version]
- Ohly, H.; White, M.P.; Wheeler, B.W.; Bethel, A.; Ukoumunne, O.C.; Nikolaou, V.; Garside, R. Attention Restoration Theory: A systematic review of the attention restoration potential of exposure to natural environments. J. Toxicol. Environ. Health Part B 2016, 19, 305–343. [Google Scholar] [CrossRef] [Green Version]
- Johnson, J.A.; Hansen, B.E.; Funk, E.L.; Elezovic, F.L.; Finley, J.-C.A. Conceptual replication study and meta-analysis suggest simulated nature does not reliably restore pure executive attention measured by the attention network task. J. Environ. Psychol. 2021, 78, 101709. [Google Scholar] [CrossRef]
- Reese, G.; Kohler, E.; Menzel, C. Restore or Get Restored: The Effect of Control on Stress Reduction and Restoration in Virtual Nature Settings. Sustainability 2021, 13, 1995. [Google Scholar] [CrossRef]
- Kaplan, S. The restorative benefits of nature: Toward an integrative framework. J. Environ. Psychol. 1995, 15, 169–182. [Google Scholar] [CrossRef]
- Goel, N.; Etwaroo, G.R. Bright light, negative air ions and auditory stimuli produce rapid mood changes in a student population: A placebo-controlled study. Psychol. Med. 2006, 36, 1253–1263. [Google Scholar] [CrossRef]
- Jia, B.B.; Yang, Z.X.; Mao, G.X.; Lyu, Y.D.; Wen, X.L.; Xu, W.H.; Lyu, X.L.; Cao, Y.B.; Wang, G.F. Health Effect of Forest Bathing Trip on Elderly Patients with Chronic Obstructive Pulmonary Disease. Biomed. Environ. Sci. 2016, 29, 212–218. [Google Scholar] [CrossRef] [PubMed]
- Song, C.; Ikei, H.; Kagawa, T.; Miyazaki, Y. Effects of walking in a forest on young women. Int. J. Environ. Res. Public Health 2019, 16, 229. [Google Scholar] [CrossRef] [PubMed] [Green Version]
Publisher’s Note: MDPI stays neutral with regard to jurisdictional claims in published maps and institutional affiliations. |
© 2022 by the authors. Licensee MDPI, Basel, Switzerland. This article is an open access article distributed under the terms and conditions of the Creative Commons Attribution (CC BY) license (https://creativecommons.org/licenses/by/4.0/).











