Observation of Gravity Wave Vertical Propagation through a Mesospheric Inversion Layer
Abstract
:1. Introduction
2. Description of the Campaign and the Instruments
2.1. Lidar Measurements
2.2. The Airglow Camera
2.3. European Meteorological Analyses (ERA5 Data)
3. Gravity Wave Analyses
3.1. Vertical Propagation Analysis Using ERA5 Data, Rayleigh Lidar, and OH Airglow Observations
4. Impact of the MIL on the Vertical Gravity Wave Propagation
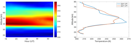
4.1. Lidar Data Analysis
4.2. OH Airglow Images Analysis
5. Conclusions and Discussion
Author Contributions
Funding
Informed Consent Statement
Data Availability Statement
Acknowledgments
Conflicts of Interest
References
- Hamilton, K. Comprehensive meteorological modelling of the middle atmosphere: A tutorial review. J. Atmos. Terr. Phys. 1996, 58, 1591–1627. [Google Scholar] [CrossRef]
- Holton, J.R. The role of gravity wave induced drag and diffusion in the momentum budget of the mesosphere. J. Atmos. Sci. 1982, 39, 791–799. [Google Scholar] [CrossRef] [Green Version]
- Fritts, D.C.; Alexander, M.J. Gravity wave dynamics and effects in the middle atmosphere. Rev. Geophys. 2003, 41, 1–63. [Google Scholar] [CrossRef] [Green Version]
- Taylor, M.J.; Hapgood, M. Identification of a thunderstorm as a source of short period gravity waves in the upper atmospheric nightglow emissions. Planet. Space Sci. 1988, 36, 975–985. [Google Scholar] [CrossRef]
- Chane Ming, F.; Ibrahim, C.; Barthe, C.; Jolivet, S.; Keckhut, P.; Liou, Y.A.; Kuleshov, Y. Observation and a numerical study of gravity waves during tropical cyclone Ivan (2008). Atmos. Chem. Phys. 2014, 14, 641–658. [Google Scholar] [CrossRef] [Green Version]
- Alexander, M.J.; May, P.T.; Beres, J.H. Gravity waves generated by convection in the Darwin area during the Darwin Area Wave Experiment. J. Geophys. Res. Atmos. 2004, 109, D20S04. [Google Scholar] [CrossRef]
- De la Cámara, A.; Lott, F. A parameterization of gravity waves emitted by fronts and jets. Geophys. Res. Lett. 2015, 42, 2071–2078. [Google Scholar] [CrossRef]
- Becker, E.; Schmitz, G. Climatological effects of orography and land–sea heating contrasts on the gravity wave–driven circulation of the mesosphere. J. Atmos. Sci. 2003, 60, 103–118. [Google Scholar] [CrossRef]
- Hickey, M.P.; Schubert, G.; Walterscheid, R. Propagation of tsunami-driven gravity waves into the thermosphere and ionosphere. J. Geophys. Res. Space Phys. 2009, 114. [Google Scholar] [CrossRef]
- Lindzen, R.S. Turbulence and stress owing to gravity wave and tidal breakdown. J. Geophys. Res. Ocean. 1981, 86, 9707–9714. [Google Scholar] [CrossRef] [Green Version]
- Mzé, N.; Hauchecorne, A.; Keckhut, P.; Thétis, M. Vertical distribution of gravity wave potential energy from long-term Rayleigh lidar data at a northern middle-latitude site. J. Geophys. Res. Atmos. 2014, 119, 12–69. [Google Scholar] [CrossRef]
- Hauchecorne, A.; Chanin, M.L.; Wilson, R. Mesospheric temperature inversion and gravity wave breaking. Geophys. Res. Lett. 1987, 14, 933–936. [Google Scholar] [CrossRef]
- Chanin, M.L.; Hauchecorne, A. Lidar observation of gravity and tidal waves in the stratosphere and mesosphere. J. Geophys. Res. Oceans 1981, 86, 9715–9721. [Google Scholar] [CrossRef]
- Rauthe, M.; Gerding, M.; Lübken, F.J. Seasonal changes in gravity wave activity measured by lidars at mid-latitudes. Atmos. Chem. Phys. 2008, 8, 6775–6787. [Google Scholar] [CrossRef] [Green Version]
- Wilson, R.; Chanin, M.; Hauchecorne, A. Gravity waves in the middle atmosphere observed by Rayleigh lidar: 1. Case studies. J. Geophys. Res. Atmos. 1991, 96, 5153–5167. [Google Scholar] [CrossRef]
- Baker, D.J.; Stair, A., Jr. Rocket measurements of the altitude distributions of the hydroxyl airglow. Phys. Scr. 1988, 37, 611. [Google Scholar] [CrossRef]
- Swenson, G.R.; Mende, S.B. OH emission and gravity waves (including a breaking wave) in all-sky imagery from Bear Lake, UT. Geophys. Res. Lett. 1994, 21, 2239–2242. [Google Scholar] [CrossRef]
- Taylor, M.J.; Bishop, M.; Taylor, V. All-sky measurements of short period waves imaged in the OI (557.7 nm), Na (589.2 nm) and near infrared OH and O2 (0, 1) nightglow emissions during the ALOHA-93 campaign. Geophys. Res. Lett. 1995, 22, 2833–2836. [Google Scholar] [CrossRef] [Green Version]
- Smith, S.M.; Mendillo, M.; Baumgardner, J.; Clark, R.R. Mesospheric gravity wave imaging at a subauroral site: First results from Millstone Hill. J. Geophys. Res. Space Phys. 2000, 105, 27119–27130. [Google Scholar] [CrossRef]
- Le Du, T.; Simoneau, P.; Keckhut, P.; Hauchecorne, A.; Le Pichon, A. Investigation of infrasound signatures from microbaroms using OH airglow and ground-based microbarometers. Adv. Space Res. 2020, 65, 902–908. [Google Scholar] [CrossRef]
- Pautet, P.D.; Taylor, M.J.; Pendleton, W.; Zhao, Y.; Yuan, T.; Esplin, R.; McLain, D. Advanced mesospheric temperature mapper for high-latitude airglow studies. Appl. Opt. 2014, 53, 5934–5943. [Google Scholar] [CrossRef] [PubMed] [Green Version]
- Sivakandan, M.; Taori, A.; Sathishkumar, S.; Jayaraman, A. Multi-instrument investigation of a mesospheric gravity wave event absorbed into background. J. Geophys. Res. Space Phys. 2015, 120, 3150–3159. [Google Scholar] [CrossRef]
- Taylor, M.J.; Gu, Y.; Tao, X.; Gardner, C.; Bishop, M. An investigation of intrinsic gravity wave signatures using coordinated lidar and nightglow image measurements. Geophys. Res. Lett. 1995, 22, 2853–2856. [Google Scholar] [CrossRef] [Green Version]
- Lossow, S.; McLandress, C.; Jonsson, A.I.; Shepherd, T.G. Influence of the Antarctic ozone hole on the polar mesopause region as simulated by the Canadian Middle Atmosphere Model. J. Atmos. Sol.-Terr. Phys. 2012, 74, 111–123. [Google Scholar] [CrossRef] [Green Version]
- Lubis, S.W.; Omrani, N.E.; Matthes, K.; Wahl, S. Impact of the Antarctic ozone hole on the vertical coupling of the stratosphere–mesosphere–lower thermosphere system. J. Atmos. Sci. 2016, 73, 2509–2528. [Google Scholar] [CrossRef]
- Becker, E.; Vadas, S.L. Secondary gravity waves in the winter mesosphere: Results from a high-resolution global circulation model. J. Geophys. Res. Atmos. 2018, 123, 2605–2627. [Google Scholar] [CrossRef]
- Okui, H.; Sato, K.; Koshin, D.; Watanabe, S. Formation of a mesospheric inversion layer and the subsequent elevated stratopause associated with the major stratospheric sudden warming in 2018/19. J. Geophys. Res. Atmos. 2021, 126, e2021JD034681. [Google Scholar] [CrossRef]
- Fritts, D.C.; Laughman, B.; Wang, L.; Lund, T.S.; Collins, R.L. Gravity wave dynamics in a mesospheric inversion layer: 1. Reflection, trapping, and instability dynamics. J. Geophys. Res. Atmos. 2018, 123, 626–648. [Google Scholar] [CrossRef] [Green Version]
- Fritts, D.C.; Wang, L.; Laughman, B.; Lund, T.S.; Collins, R.L. Gravity wave dynamics in a mesospheric inversion layer: 2. Instabilities, turbulence, fluxes, and mixing. J. Geophys. Res. Atmos. 2018, 123, 649–670. [Google Scholar] [CrossRef]
- Blanc, E.; Ceranna, L.; Hauchecorne, A.; Charlton-Perez, A.; Marchetti, E.; Evers, L.G.; Kvaerna, T.; Lastovicka, J.; Eliasson, L.; Crosby, N.B.; et al. Toward an improved representation of middle atmospheric dynamics thanks to the ARISE project. Surv. Geophys. 2018, 39, 171–225. [Google Scholar] [CrossRef] [Green Version]
- Hauchecorne, A.; Chanin, M.L. Density and temperature profiles obtained by lidar between 35 and 70 km. Geophys. Res. Lett. 1980, 7, 565–568. [Google Scholar] [CrossRef]
- Hauchecorne, A.; Chanin, M.; Keckhut, P.; Nedeljkovic, D. Lidar monitoring of the temperature in the middle and lower atmosphere. Appl. Phys. B 1992, 55, 29–34. [Google Scholar] [CrossRef]
- Keckhut, P.; Hauchecorne, A.; Chanin, M. Midlatitude long-term variability of the middle atmosphere: Trends and cyclic and episodic changes. J. Geophys. Res. Atmos. 1995, 100, 18887–18897. [Google Scholar] [CrossRef]
- Beig, G.; Keckhut, P.; Lowe, R.P.; Roble, R.; Mlynczak, M.; Scheer, J.; Fomichev, V.; Offermann, D.; French, W.; Shepherd, M.; et al. Review of mesospheric temperature trends. Rev. Geophys. 2003, 41, 1–41. [Google Scholar] [CrossRef] [Green Version]
- Kurylo, M.J. Network for the detection of stratospheric change. Remote Sens. Atmos. Chem. 1991, 1491, 168–174. [Google Scholar]
- Drob, D.; Emmert, J.; Crowley, G.; Picone, J.; Shepherd, G.; Skinner, W.; Hays, P.; Niciejewski, R.; Larsen, M.; She, C.; et al. An empirical model of the Earth’s horizontal wind fields: HWM07. J. Geophys. Res. Space Phys. 2008, 113, A12304. [Google Scholar] [CrossRef]
- Kawamura, S.; Otsuka, Y.; Zhang, S.R.; Fukao, S.; Oliver, W. A climatology of middle and upper atmosphere radar observations of thermospheric winds. J. Geophys. Res. Space Phys. 2000, 105, 12777–12788. [Google Scholar] [CrossRef]
- Lukianova, R.; Kozlovsky, A.; Lester, M. Climatology and inter-annual variability of the polar mesospheric winds inferred from meteor radar observations over Sodankylä (67N, 26E) during solar cycle 24. J. Atmos. Sol.-Terr. Phys. 2018, 171, 241–249. [Google Scholar] [CrossRef]
- Zhao, G.; Liu, L.; Wan, W.; Ning, B.; Xiong, J. Seasonal behavior of meteor radar winds over Wuhan. Earth Planets Space 2005, 57, 61–70. [Google Scholar] [CrossRef] [Green Version]
- Pokhotelov, D.; Becker, E.; Stober, G.; Chau, J.L. Seasonal variability of atmospheric tides in the mesosphere and lower thermosphere: Meteor radar data and simulations. Ann. Geophys. 2018, 36, 825–830. [Google Scholar] [CrossRef] [Green Version]
- Korotyshkin, D.; Merzlyakov, E.; Sherstyukov, O.; Valiullin, F. Mesosphere/lower thermosphere wind regime parameters using a newly installed SKiYMET meteor radar at Kazan. Adv. Space Res. 2019, 63, 2132–2143. [Google Scholar] [CrossRef]
- Drob, D.P.; Emmert, J.T.; Meriwether, J.W.; Makela, J.J.; Doornbos, E.; Conde, M.; Hernandez, G.; Noto, J.; Zawdie, K.A.; McDonald, S.E.; et al. An update to the Horizontal Wind Model (HWM): The quiet time thermosphere. Earth Space Sci. 2015, 2, 301–319. [Google Scholar] [CrossRef]
- Nappo, C.J. An Introduction to Atmospheric Gravity Waves; Academic Press: Cambridge, MA, USA, 2013. [Google Scholar]
- Sica, R.; Argall, P.; Shepherd, T.; Koshyk, J. Model-measurement comparison of mesospheric temperature inversions, and a simple theory for their occurrence. Geophys. Res. Lett. 2007, 34, L23806. [Google Scholar] [CrossRef] [Green Version]
- Sassi, F.; Garcia, R.; Boville, B.; Liu, H. On temperature inversions and the mesospheric surf zone. J. Geophys. Res. Atmos. 2002, 107, ACL-8. [Google Scholar] [CrossRef]
- Coble, M.; Papen, G.C.; Gardner, C.S. Computing two-dimensional unambiguous horizontal wavenumber spectra from OH airglow images. IEEE Trans. Geosci. Remote Sens. 1998, 36, 368–382. [Google Scholar] [CrossRef]
















| (min) | (min) | (km) | (km) | (km) | (m/s) | (km) | (m/s) | (deg) |
|---|---|---|---|---|---|---|---|---|
| 150 | 243 ± 40 | 605 ± 76 | 848 ± 224 | 492 ± 100 | 33 ± 10 | 14 ± 5 | 32 ± 13 | 135 |
Publisher’s Note: MDPI stays neutral with regard to jurisdictional claims in published maps and institutional affiliations. |
© 2022 by the authors. Licensee MDPI, Basel, Switzerland. This article is an open access article distributed under the terms and conditions of the Creative Commons Attribution (CC BY) license (https://creativecommons.org/licenses/by/4.0/).
Share and Cite
Le Du, T.; Keckhut, P.; Hauchecorne, A.; Simoneau, P. Observation of Gravity Wave Vertical Propagation through a Mesospheric Inversion Layer. Atmosphere 2022, 13, 1003. https://doi.org/10.3390/atmos13071003
Le Du T, Keckhut P, Hauchecorne A, Simoneau P. Observation of Gravity Wave Vertical Propagation through a Mesospheric Inversion Layer. Atmosphere. 2022; 13(7):1003. https://doi.org/10.3390/atmos13071003
Chicago/Turabian StyleLe Du, Thurian, Philippe Keckhut, Alain Hauchecorne, and Pierre Simoneau. 2022. "Observation of Gravity Wave Vertical Propagation through a Mesospheric Inversion Layer" Atmosphere 13, no. 7: 1003. https://doi.org/10.3390/atmos13071003
APA StyleLe Du, T., Keckhut, P., Hauchecorne, A., & Simoneau, P. (2022). Observation of Gravity Wave Vertical Propagation through a Mesospheric Inversion Layer. Atmosphere, 13(7), 1003. https://doi.org/10.3390/atmos13071003

