Can the Correlation between Radar and Cloud-to-Ground Daily Fields Help to Identify the Different Rainfall Regimes? The Case of Catalonia
Abstract
1. Introduction
2. Materials and Methods
2.1. Area of Study
2.2. Precipitation Conditions in the Area of Study
2.3. Data
- radar corrected reflectivity (CAP), which is a pseudo-CAPPI (Constant Altitude Plan Position Indicator), generated considering the corrections made by the EHIMI Hydro Meteorological Integrated System tool (see [42] for further information). Some of the corrections consist in removing sea and ground clutter, detecting electromagnetic interferences, and replacing the values for more accurate ones or using the vertical profile of reflectivity for estimating the reflectivity at the ground for all pixels (more information regarding this point is found in [43]);
- the maximum reflectivity, hereafter MAX, considers all the levels for which the radars provide information (between 1 and 25 km above sea level) and selects the maximum value for each 2D pixel ([44]);
- daily rainfall estimated by the XRAD, hereafter RN1, using the classical Z/R relationship with a = 200 and b = 1.6 ([45]);
- the echo top (hereafter TOP) or the maximum height at which observed echoes are equal or larger to 35 dBZ reflectivity ([46]).
- and, finally, the vertically integrated liquid (VIL) product, which is an estimation of the precipitable water mass in each column of the radar volume field ([47]).
2.4. Methodology
- Characterization of the convective degree: departing from the technique shown in [40] and others, we took advantage of the capabilities of the radar and lightning observations data. In this way, we adapted the previous methodology, based exclusively on rain gauges data (the percentage of the precipitation that exceeds a certain threshold in a period of 5 min to the total accumulated, as Equation (1) shows), to calculate a new beta parameter but using radar data and lightning observations (the percentage of precipitating pixels with electrical activity—at least on CG flash—respect the total of rainfall pixels) for the area of study shown in Figure 1 (see Equation (2))where, in Equation (1), is the rain rate for 5 min; is the threshold of the rain rate for considering rainfall as convective (calculated empirically); n is the number of periods exceeding the threshold; and N is the total number of periods for one day. In the case of Equation (2), is the daily accumulated rainfall in a pixel of the domain; flash presence indicates that the pixel is convective; n is the number of pixels with flashes; and N the total number of pixels in the area with precipitation. The new is redefined as for simplification.
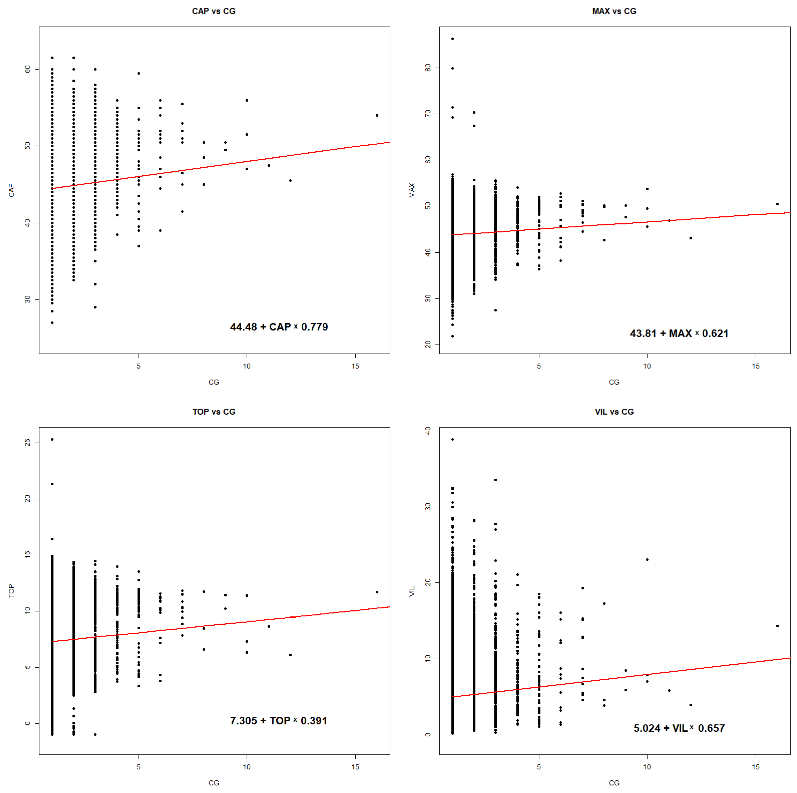
- Estimation of the daily correlation degree for the different radar parameters and the raster of CG flashes density: In a similar way as [18], we estimated the correlation between radar parameters and the CG flashes in the region of study for each day of the period. However, the correlation was calculated not only for rainfall but for the maximum field of reflectivity, maximum reflectivity, echo tops, and VIL. This consideration tried to simulate the vertical degree (echo tops and VIL) and the instantaneous behavior of the convection (in a similar way to [11] but adapting from individual thunderstorms to global fields).
- Characterization of the days: We used the same classification [40] for characterizing each day. The correlated values of the radar-CG fields for each of the day were associated with the beta parameter, redefining the daily characterization with a more accurate set of magnitudes (the correlations between CG and the radar fields).
- Validation with LJ: To prove the reliability of the methodology, we focused on the most convective days. These cases usually present one or more LJ warnings. Then, we used skill scores considering the daily characterization as “the forecast” (“F” for forecast, and “f” for non-forecast), while the LJ occurrence acts as “the observation” (“O” for observation, and “o” for non-observation). Then, Table 1 presents the scores considered in this validation.
3. Results
3.1. Adapting the Beta Parameter to Radar and Lightning
3.2. Characterization of the Convective Days Using the Different Correlations
3.3. Global Behaviors of the Different Parameters thorough the Beta Thresholds
3.4. Validation with Lightning-Jump Warnings
4. Discussion
5. Conclusions
Author Contributions
Funding
Institutional Review Board Statement
Informed Consent Statement
Acknowledgments
Conflicts of Interest
Abbreviations
| CG | Cloud-to-Ground flash |
| IC | Intra-Cloud lightning |
| TL | Total Lightning |
| XRAD | Catalan Radar network |
| TOP | Echo top detected by weather radar |
| VIL | Vertical Integrated Liquid |
| MAX | Maximum reflectivity |
| QPE | Quantitative Precipitation Estimation |
| RN1 | Hourly QPE |
| EHIMI | HidroMeteorlogical Integrated System-tool |
| LLS | Lightning Location System |
| VHF | Very High Frequency |
| LF | Low Frequency |
| LJ | Lightning Jump |
| RasterRAD | Raster of radar product |
| RasterCG | Raster generated with CG data |
References
- Molinié, G.; Ceresetti, D.; Anquetin, S.; Creutin, J.D.; Boudevillain, B. Rainfall regime of a mountainous Mediterranean region: Statistical analysis at short time steps. J. Appl. Meteorol. Climatol. 2012, 51, 429–448. [Google Scholar] [CrossRef]
- Reiser, H.; Kutiel, H. Rainfall uncertainty in the Mediterranean: Dryness distribution. Theor. Appl. Climatol. 2010, 100, 123–135. [Google Scholar] [CrossRef]
- Tarolli, P.; Borga, M.; Morin, E.; Delrieu, G. Analysis of flash flood regimes in the North-Western and South-Eastern Mediterranean regions. Nat. Hazards Earth Syst. Sci. 2012, 12, 1255–1265. [Google Scholar] [CrossRef]
- Benabdelouahab, T.; Gadouali, F.; Boudhar, A.; Lebrini, Y.; Hadria, R.; Salhi, A. Analysis and trends of rainfall amounts and extreme events in the Western Mediterranean region. Theor. Appl. Climatol. 2020, 141, 309–320. [Google Scholar] [CrossRef]
- Llasat, M.C. An objective classification of rainfall events on the basis of their convective features: Application to rainfall intensity in the northeast of Spain. Int. J. Climatol. J. R. Meteorol. Soc. 2001, 21, 1385–1400. [Google Scholar] [CrossRef]
- Llasat, M.C.; del Moral, A.; Cortès, M.; Rigo, T. Convective precipitation trends in the Spanish Mediterranean region. Atmos. Res. 2021, 257, 105581. [Google Scholar] [CrossRef]
- Doswell, C.A.; Brooks, H.E.; Maddox, R.A. Flash flood forecasting: An ingredients-based methodology. Weather. Forecast. 1996, 11, 560–581. [Google Scholar] [CrossRef]
- Lopez-Bustins, J.A.; Pascual, D.; Pla, E.; Retana, J. Future variability of droughts in three Mediterranean catchments. Nat. Hazards 2013, 69, 1405–1421. [Google Scholar] [CrossRef]
- Barrera-Escoda, A.; Cunillera, J. Climate change projections for Catalonia (NE Iberian Peninsula). Part I: Regional climate modeling. Tethys 2011, 8, 75–87. [Google Scholar] [CrossRef]
- Pascual, D.; Pla, E.; Lopez-Bustins, J.A.; Retana, J.; Terradas, J. Impacts of climate change on water resources in the Mediterranean Basin: A case study in Catalonia, Spain. Hydrol. Sci. J. 2015, 60, 2132–2147. [Google Scholar] [CrossRef]
- Rigo, T.; Pineda, N.; Bech, J. Analysis of warm season thunderstorms using an object-oriented tracking method based on radar and total lightning data. Nat. Hazards Earth Syst. Sci. 2010, 10, 1881–1893. [Google Scholar] [CrossRef]
- Williams, E.; Boldi, B.; Matlin, A.; Weber, M.; Hodanish, S.; Sharp, D.; Goodman, S.; Raghavan, R.; Buechler, D. The behavior of total lightning activity in severe Florida thunderstorms. Atmos. Res. 1999, 51, 245–265. [Google Scholar] [CrossRef]
- Bech, J.; Pineda, N.; Rigo, T.; Aran, M. Remote sensing analysis of a Mediterranean thundersnow and low-altitude heavy snowfall event. Atmos. Res. 2013, 123, 305–322. [Google Scholar] [CrossRef]
- Bech, J.; Arús, J.; Castán, S.; Pineda, N.; Rigo, T.; Montanyà, J.; van der Velde, O. A study of the 21 March 2012 tornadic quasi linear convective system in Catalonia. Atmos. Res. 2015, 158, 192–209. [Google Scholar] [CrossRef]
- Pineda, N.; Rigo, T.; Montanyà, J.; van der Velde, O.A. Charge structure analysis of a severe hailstorm with predominantly positive cloud-to-ground lightning. Atmos. Res. 2016, 178, 31–44. [Google Scholar] [CrossRef]
- Holle, R.L.; Watson, A.I.; López, R.E.; Macgorman, D.R.; Ortiz, R.; Otto, W.D. The life cycle of lightning and severe weather in a 3–4 June 1985 PRE-STORM mesoscale convective system. Mon. Weather. Rev. 1994, 122, 1798–1808. [Google Scholar] [CrossRef]
- Williams, E.; Stanfill, S. The physical origin of the land-ocean contrast in lightning activity. C. R. Phys. 2002, 3, 1277–1292. [Google Scholar] [CrossRef]
- Darden, C.B.; Nadler, D.J.; Carcione, B.C.; Blakeslee, R.J.; Stano, G.T.; Buechler, D.E. Utilizing total lightning information to diagnose convective trends. Bull. Am. Meteorol. Soc. 2010, 91, 167–176. [Google Scholar] [CrossRef]
- Zhou, Y.; Qie, X.; Soula, S. A study of the relationship between cloud-to-ground lightning and precipitation in the convective weather system in China. Ann. Geophys. 2002, 20, 107–113. [Google Scholar] [CrossRef]
- Pineda, N.; Rigo, T.; Bech, J.; Soler, X. Lightning and precipitation relationship in summer thunderstorms: Case studies in the North Western Mediterranean region. Atmos. Res. 2007, 85, 159–170. [Google Scholar] [CrossRef]
- Carey, L.D.; Rutledge, S.A. The relationship between precipitation and lightning in tropical island convection: A C-band polarimetric radar study. Mon. Weather. Rev. 2000, 128, 2687–2710. [Google Scholar] [CrossRef]
- Sheridan, S.C.; Griffiths, J.F.; Orville, R.E. Warm season cloud-to-ground lightning–precipitation relationships in the south-central United States. Weather. Forecast. 1997, 12, 449–458. [Google Scholar] [CrossRef]
- Rigo, T.; Castillo, S. Evolution of Radar and Lightning Variables in Convective Events in Barcelona and Surroundings for the Period 2006–2020. Adv. Environ. Eng. Res. 2021, 2, 17. [Google Scholar] [CrossRef]
- Martín, A.; Romero, R.; De Luque, A.; Alonso, S.; Rigo, T.; Llasat, M. Sensitivities of a flash flood event over Catalonia: A numerical analysis. Mon. Weather. Rev. 2007, 135, 651–669. [Google Scholar] [CrossRef]
- del Moral, A.; Rigo, T.; Llasat, M.C. A radar-based centroid tracking algorithm for severe weather surveillance: Identifying split/merge processes in convective systems. Atmos. Res. 2018, 213, 110–120. [Google Scholar] [CrossRef]
- Romero, R.; Ramis, C.; Alonso, S. Numerical simulation of an extreme rainfall event in Catalonia: Role of orography and evaporation from the sea. Q. J. R. Meteorol. Soc. 1997, 123, 537–559. [Google Scholar] [CrossRef]
- Llasat, M.C.; Rigo, T.; Montes, J.M. Orographic role in the temporal and spatial distribution of precipitation. The case of the internal basins of Catalonia (Spain). In Proceedings of the EGS Plinius Conference, Maratea, Italy, 14–16 October 2000; pp. 41–55. [Google Scholar]
- Ceperuelo, M.; Rigo, T.; Llasat, M.D.C.; Sánchez, J.L. Improving hail identification in the Ebro Valley region using radar observations: Probability equations and warning thresholds. Atmos. Res. 2009, 93, 474–482. [Google Scholar]
- Sánchez, J.; Fernández, M.; Fernández, J.; Tuduri, E.; Ramis, C. Analysis of mesoscale convective systems with hail precipitation. Atmos. Res. 2003, 67, 573–588. [Google Scholar] [CrossRef]
- Aran, M.; Sairouni, A.; Bech, J.; Toda, J.; Rigo, T.; Cunillera, J.; Moré, J. Pilot project for intensive surveillance of hail events in Terres de Ponent (Lleida). Atmos. Res. 2007, 83, 315–335. [Google Scholar] [CrossRef]
- Pineda, N.; Montanyà, J. Lightning detection in Spain: The particular case of Catalonia. In Lightning: Principles, Instruments and Applications; Springer: New York, NY, USA, 2009; pp. 161–185. ISBN 978-1-4020-9078-3. [Google Scholar]
- Ballart, D.; Figuerola, F.; Aran, M.; Rigo, T. Analysis of warm convective rain events in Catalonia. In Proceedings of the 11th Plinius Conference on Mediterranean Storms, Barcelona, Spain, 7–10 September 2009; Available online: http://meetings.copernicus.org/plinius11 (accessed on 12 April 2021).
- Martın, F.; Carretero, O. Tropical-like heavy convective rains over the Spanish Mediterranean regions: A radar-based perspective. In Proceedings of the 30th International Conference on Radar Meteorology, Munich, Germany, 19–24 July 2001; pp. 18–24. [Google Scholar]
- Ramis, C.; López, J.M.; Arús, J. Two cases of severe weather in Catalonia (Spain). A diagnostic study. Meteorol. Appl. 1999, 6, 11–27. [Google Scholar] [CrossRef][Green Version]
- Farnell, C.; Rigo, T.; Pineda, N. Lightning jump as a nowcast predictor: Application to severe weather events in Catalonia. Atmos. Res. 2017, 183, 130–141. [Google Scholar] [CrossRef]
- Zipser, E.J. Deep cumulonimbus cloud systems in the tropics with and without lightning. Mon. Weather. Rev. 1994, 122, 1837–1851. [Google Scholar] [CrossRef]
- Barnolas, M.; Rigo, T.; Llasat, M. Characteristics of 2-D convective structures in Catalonia (NE Spain): An analysis using radar data and GIS. Hydrol. Earth Syst. Sci. 2010, 14, 129–139. [Google Scholar] [CrossRef]
- Sempere-Torres, D.; Sanchez-Diezma, R.; Zawadzki, I.; Creutin, J. Identification of stratiform and convective areas using radar data with application to the improvement of DSD analysis and ZR relations. Phys. Chem. Earth Part B Hydrol. Ocean. Atmos. 2000, 25, 985–990. [Google Scholar] [CrossRef]
- Pineda, N.; Rigo, T. The rainfall factor in lightning-ignited wildfires in Catalonia. Agric. For. Meteorol. 2017, 239, 249–263. [Google Scholar] [CrossRef]
- Llasat, M.C.; Marcos, R.; Turco, M.; Gilabert, J.; Llasat-Botija, M. Trends in flash flood events versus convective precipitation in the Mediterranean region: The case of Catalonia. J. Hydrol. 2016, 541, 24–37. [Google Scholar] [CrossRef]
- Altube, P.; Bech, J.; Argemí, O.; Rigo, T. Quality control of antenna alignment and receiver calibration using the sun: Adaptation to midrange weather radar observations at low elevation angles. J. Atmos. Ocean. Technol. 2015, 32, 927–942. [Google Scholar] [CrossRef]
- Trapero, L.; Bech, J.; Rigo, T.; Pineda, N.; Forcadell, D. Uncertainty of precipitation estimates in convective events by the Meteorological Service of Catalonia radar network. Atmos. Res. 2009, 93, 408–418. [Google Scholar] [CrossRef]
- Rigo, T.; Berenguer, M.; del Carmen Llasat, M. An improved analysis of mesoscale convective systems in the western Mediterranean using weather radar. Atmos. Res. 2019, 227, 147–156. [Google Scholar] [CrossRef]
- Novak, P.; Kracmar, J. Exploiting 3D volume data from the Czech weather radar network. Phys. Chem. Earth Part B Hydrol. Ocean. Atmos. 2000, 25, 1163–1168. [Google Scholar] [CrossRef]
- Rigo, T.; Llasat, M.C.; Esbrí, L. The Results of Applying Different Methodologies to 10 Years of Quantitative Precipitation Estimation in Catalonia Using Weather Radar. Geomatics 2021, 1, 347–368. [Google Scholar] [CrossRef]
- Lakshmanan, V.; Hondl, K.; Potvin, C.K.; Preignitz, D. An improved method for estimating radar echo-top height. Weather. Forecast. 2013, 28, 481–488. [Google Scholar] [CrossRef]
- Farnell, C.; Rigo, T.; Heymsfield, A. Shape of hail and its thermodynamic characteristics related to records in Catalonia. Atmos. Res. 2022, 271, 106098. [Google Scholar] [CrossRef]
- Rigo, T.; Pineda, N. Inferring the severity of a multicell thunderstorm evolving to supercell, by means of radar and total lightning. Electron. J. Sev. Storms Meteorol. 2016, 11, 1–27. [Google Scholar]
- Montanyà, J. Annual Report on the Performance of the Lightning Location System Operated by the Meteorological Service of Catalonia. Intern. Tech. Rep. 2014; not published. [Google Scholar]
- Rigo, T.; Farnell, C. Characterisation of Thunderstorms with Multiple Lightning Jumps. Atmosphere 2022, 13, 171. [Google Scholar] [CrossRef]









| Skill Score | Equation |
|---|---|
| POD | OF/(OF + Of) |
| FAR | oF/(OF + oF) |
| CSI | OF/(OF + Of + oF) |
| Parameter | Correlation |
|---|---|
| CAP | 0.128 |
| MAX | 0.114 |
| RN1 | 0.213 |
| TOP | 0.101 |
| VIL | 0.118 |
| BETA | 0.835 |
| Radar Variable | > 0 | > 0.3 | > 0.8 | LJ |
|---|---|---|---|---|
| CAP (dBZ) | 37.25–43.91 | 43.05–46.49 | 44.95–47.66 | 43.13–46.81 |
| TOP (km) | 2.98–5.37 | 5.33–7.31 | 6.87–8.29 | 5.65–7.58 |
| MAX (dBZ) | 36.07–42.19 | 41.78–45.05 | 43.82–46.09 | 42.09–45.35 |
| VIL (mm) | 1.59–4.28 | 4.50–8.31 | 6.86–9.89 | 4.64–8.53 |
| RN1 (mm) | 5.36–14.82 | 10.59–17.89 | 13.56–19.21 | 10.77–18.57 |
| Skill Score | Moderate and Strong | Strong |
|---|---|---|
| POD | 0.98 | 0.66 |
| CSI | 0.96 | 0.50 |
| FAR | 0.70 | 0.29 |
Publisher’s Note: MDPI stays neutral with regard to jurisdictional claims in published maps and institutional affiliations. |
© 2022 by the authors. Licensee MDPI, Basel, Switzerland. This article is an open access article distributed under the terms and conditions of the Creative Commons Attribution (CC BY) license (https://creativecommons.org/licenses/by/4.0/).
Share and Cite
Castillo, S.; Rigo, T.; Farnell, C. Can the Correlation between Radar and Cloud-to-Ground Daily Fields Help to Identify the Different Rainfall Regimes? The Case of Catalonia. Atmosphere 2022, 13, 808. https://doi.org/10.3390/atmos13050808
Castillo S, Rigo T, Farnell C. Can the Correlation between Radar and Cloud-to-Ground Daily Fields Help to Identify the Different Rainfall Regimes? The Case of Catalonia. Atmosphere. 2022; 13(5):808. https://doi.org/10.3390/atmos13050808
Chicago/Turabian StyleCastillo, Sergio, Tomeu Rigo, and Carme Farnell. 2022. "Can the Correlation between Radar and Cloud-to-Ground Daily Fields Help to Identify the Different Rainfall Regimes? The Case of Catalonia" Atmosphere 13, no. 5: 808. https://doi.org/10.3390/atmos13050808
APA StyleCastillo, S., Rigo, T., & Farnell, C. (2022). Can the Correlation between Radar and Cloud-to-Ground Daily Fields Help to Identify the Different Rainfall Regimes? The Case of Catalonia. Atmosphere, 13(5), 808. https://doi.org/10.3390/atmos13050808

