Meso-Scale Comparison of Non-Sea-Effect and Sea-Effect Snowfalls, and Development of Prediction Algorithm for Megacity Istanbul Airports in Turkey
Abstract
1. Introduction
- Fetch distance: The distance that the cold air parcel travels over the relatively warmer water body should be long enough [4,7,30,31,32,33]. This distance determines how much heat and moisture flux will be taken from the lake/sea surface (LS/SS) [34,35]. The amount of snowfall increases depending on the increase in this distance [5,36]. For enhanced lake/sea effect snow, the fetch distance should be at least 80 km. If there is no synoptic scale support, this distance should be a minimum of 160 km for pure LES [8].
- Inversion layer: The existence of a mechanism that limits the convection that starts on the water body at higher levels often contributes to the development of LES/SES and increases their intensity [5,37,38]. It also affects their morphological structure and trajectory [7]. The formation of this layer in the range of 1000–850 hPa has a negative effect, as it will limit the convection early. Accordingly, band formations cannot be observed, or weak bands occur [39,40,41]. When the inversion layer is deeper and located at higher atmospheric levels, the unstable layer deepens, allowing the LES/SES to increase in intensity [7,42].
- Temperature difference: The high temperature difference between the upper level air parcel and the LS/SS is one of the most important parameters for LES/SES band formation [43,44,45,46,47]. It was revealed that the difference between 850 hPa and LS/SS should be a minimum of 13 °C [2,7,37,38,40,48], while the difference between 700 hPa and LS/SS should be a minimum of 16–17 °C [7,41,49]. It was also stated that vertical fluxes of momentum, heat and moisture decrease depending on the decrease in temperature differences [31].
- Wind speed and direction: Variations in wind speed and direction between LS/SS and upper levels play an important role in the formation, development and dissipation of LES/SES bands [7,49,50,51,52]. The difference in wind speed has two different consequences. If the wind speed is high, more heat and moisture flux are transferred from the LS/SS to the air parcel. However, there is not enough time for this transfer at short fetch distances. Therefore, high wind speeds at long fetch distances and lower wind speeds at short fetch distances contribute positively to band formation [53]. Suriano and Leathers found the average wind speed for the Great Lakes to be between 8–17.3 kt [54]; Campbell and Steenburgh found this value to be 5.8–11.7 kt for Tug Hill in New York State, USA [55]. Directional wind shear of 60° and below between 700 hPa and LS/SS supports band formation, while higher changes cause bands to disperse [7,32,41]. Stronger band formations are observed at 30° wind shear and below [7,54,56].
- Heat Fluxes: One of the most important factors in the formation of LES/SES is how much heat and moisture flux will be transferred from the warm water surfaces to the air parcel above. Due to the air–sea interaction, heat and moisture fluxes moving from the water surfaces destabilize the lower atmospheric layer [57], and a shallow convection layer forms [38,58,59]. This layer generally varies according to the downstream wind direction and strength, the shape of the water body, and the presence of synoptic-scale systems [38]. Lang and co-workers stated that the sensible and latent heat flux values for Lake Erie and Lake Ontario were 50–150 W m−2 at times with LES [53], while Sousounis and Mann determined that wind speeds in the range of 10–15 kt on the lake produce sensible and latent heat flux in the range of 200–500 W m−2 [60].
- Humidity: In LES/SES studies, specific and relative humidity parameters were analysed. Wiley and Mercer (2000) found that the specific humidity value is in the range of 2.5–3.0 g kg−1 in heavy snowfalls in the Great Lakes [47]. Relative humidity values were determined as 80–90% at 850/700 hPa levels for the heavy snowfalls due to SES [22,23].
2. Materials and Methods
3. Results
3.1. SES and Non-SES Events
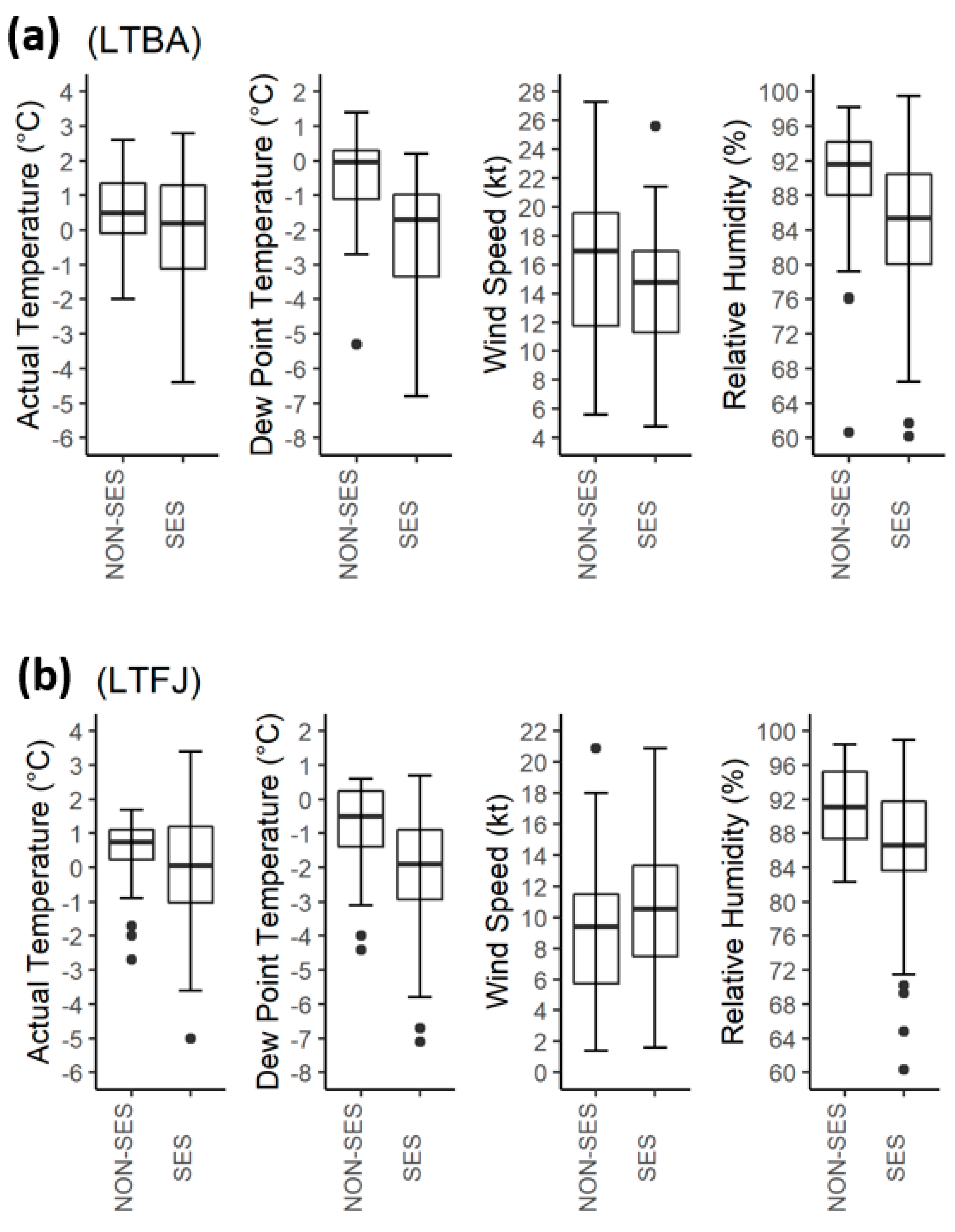
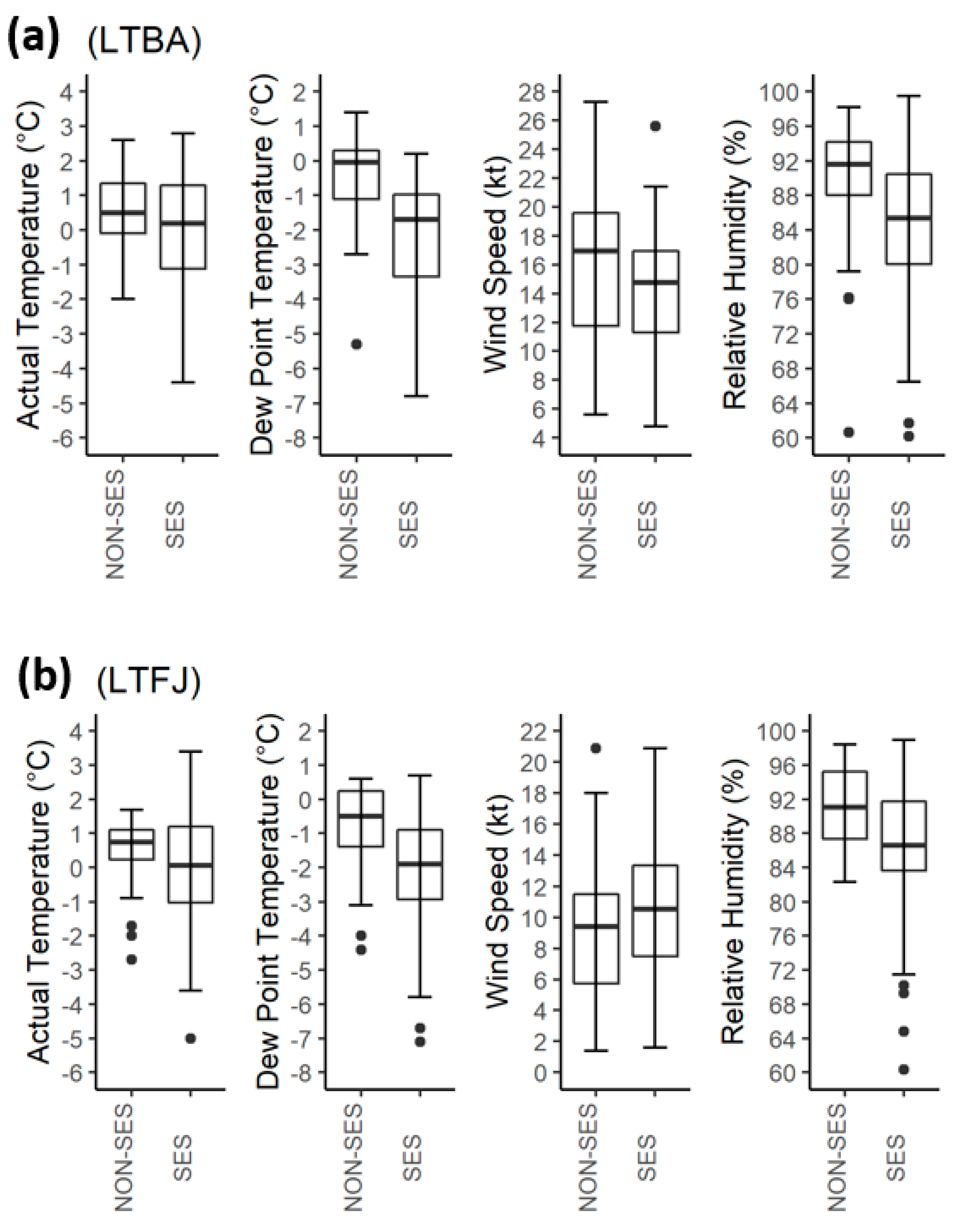
3.2. Meteorological Conditions at LTBA and LTFJ
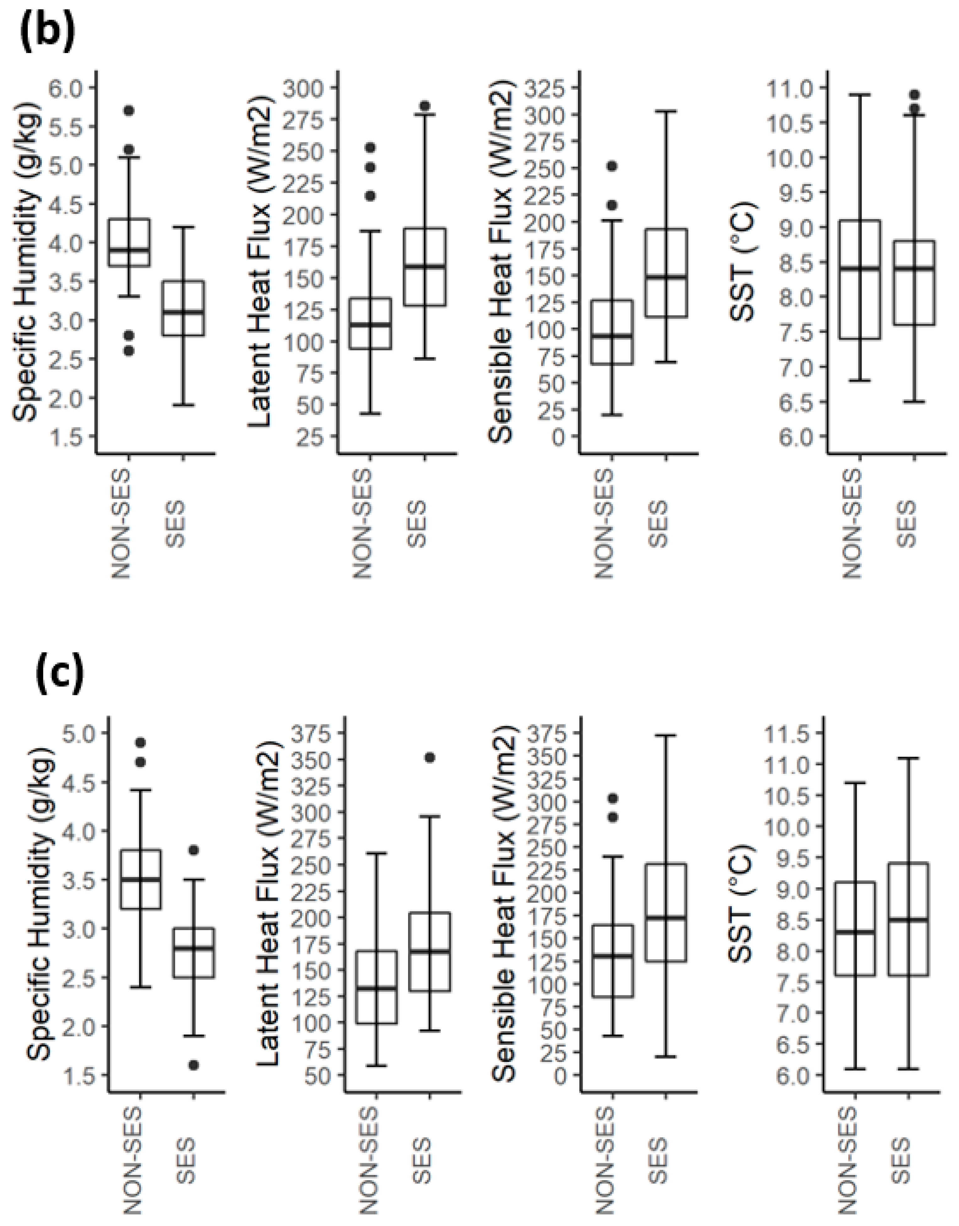
3.3. Meteorological Conditions on the Western Black Sea
3.4. Air–Sea Interaction over the Western Black Sea
3.5. Snow Depths and Influencing Meteorological Parameters in SES and Non-SES Events
3.6. An Algorithm for the Prediction of SES Events at LTBA and LTFJ
| Algorithm 1. For the SES prediction at LTBA and LTBJ (in Istanbul) |
|
4. Discussion and Conclusions
Author Contributions
Funding
Institutional Review Board Statement
Informed Consent Statement
Data Availability Statement
Acknowledgments
Conflicts of Interest
References
- Kristovich, D.A.R.; Young, G.S.; Verlinde, J.; Sousounis, P.J.; Mourad, P.; Lenschow, D.; Rauber, R.M.; Ramamurthy, M.K.; Jewett, B.F.; Beard, K.; et al. The Lake—Induced Convection Experiment and the Snowband Dynamics Project. Bull. Am. Meteorol. Soc. 2000, 81, 519–542. [Google Scholar] [CrossRef]
- Kunkel, K.E.; Wescott, N.E.; Kristovich, D.A.R. Assessment of potential effects of climate change on heavy lake-effect snow-storms near Lake Erie. J. Great Lakes Res. 2002, 28, 521–536. [Google Scholar] [CrossRef]
- Cordeira, J.M.; Laird, N.F. The Influence of Ice Cover on Two Lake-Effect Snow Events over Lake Erie. Mon. Weather Rev. 2008, 136, 2747–2763. [Google Scholar] [CrossRef]
- Wiggin, B.L. Great Snows of the Great Lakes. Weatherwise 1950, 3, 123–126. [Google Scholar] [CrossRef]
- Petterssen, S. Weather Analysis and Forecasting; McGraw Hill: New York, NY, USA, 1956; Volume II, p. 266. [Google Scholar]
- Peace, R.L.; Sykes, R.B., Jr. Mesoscale study of a lake effect snowstorm. Mon. Weather Rev. 1966, 94, 495–507. [Google Scholar] [CrossRef]
- Niziol, T.A. Operational Forecasting of Lake Effect Snowfall in Western and Central New York. Weather Forecast. 1987, 2, 310–321. [Google Scholar] [CrossRef]
- Dockus, D.A. Lake effect snow forecasting in the computer age. Natl. Weather Dig. 1985, 10, 5–19. [Google Scholar]
- Alcott, T.I.; Steenburgh, W.J.; Laird, N.F. Great Salt Lake-effect precipitation: Observed frequency, characteristics, and asso-ciated environmental factors. Weather Forecast. 2012, 27, 954–971. [Google Scholar] [CrossRef]
- Laird, N.; Bentley, A.M.; Ganetis, S.A.; Stieneke, A.; Tushaus, S.A. Climatology of Lake-Effect Precipitation Events over Lake Tahoe and Pyramid Lake. J. Appl. Meteorol. Clim. 2016, 55, 297–312. [Google Scholar] [CrossRef]
- Theeuwes, N.E.; Steeneveld, G.J.; Krikken, F.; Holtslag, A.A.M. Mesoscale modeling of lake effect snow over Lake Erie—Sensitivity to convection, microphysics and the water temperature. Adv. Sci. Res. 2010, 4, 15–22. [Google Scholar] [CrossRef][Green Version]
- Notaro, M.; Bennington, V.; Vavrus, S. Dynamically Downscaled Projections of Lake-Effect Snow in the Great Lakes Basin. J. Clim. 2015, 28, 1661–1684. [Google Scholar] [CrossRef]
- Saslo, S.; Greybush, S.J. Prediction of lake-effect snow using convection-allowing ensemble forecasts and regional data assim-ilation. Weather Forecast. 2017, 32, 1727–1744. [Google Scholar] [CrossRef]
- Estoque, M.A.; Ninomiya, K. Numerical simulation of Japan Sea effect snowfall. Tellus 1976, 28, 243–253. [Google Scholar] [CrossRef]
- Veals, P.G.; Steenburgh, W.J.; Nakai, S.; Yamaguchi, S. Factors Affecting the Inland and Orographic Enhancement of Sea-Effect Snowfall in the Hokuriku Region of Japan. Mon. Weather Rev. 2019, 147, 3121–3143. [Google Scholar] [CrossRef]
- Nicholls, J.F.; Toumi, R. On the lake effects of the Caspian Sea. Q. J. R. Meteorol. Soc. 2014, 140, 1399–1408. [Google Scholar] [CrossRef]
- Ghafarian, P.; Pegahfar, N.; Owlad, E. Multiscale analysis of lake-effect snow over the southwest coast of the Caspian Sea (31 January–5 February 2014). Weather 2017, 73, 9–14. [Google Scholar] [CrossRef]
- Ghafarian, P. Impact of physical parameterizations on simulation of the Caspian Sea lake-effect snow. Dyn. Atmos. Oceans 2021, 94, 101219. [Google Scholar] [CrossRef]
- Stocci, P.; Davolio, S. Intense air-sea exchanges and heavy orographic precipitation over Italy: The role of the Adriatic Sea surface temperature uncertainty. Atmos. Res. 2017, 196, 62–82. [Google Scholar] [CrossRef]
- Olsson, T.; Post, P.; Rannat, K.; Keernik, H.; Perttula, T.; Luomaranta, A.; Jylhä, K.; Kivi, R.; Voormansik, T. Sea-effect snowfall case in the Baltic Sea region analysed by reanalysis, remote sensing data and convection-permitting mesoscale modelling. Geophysica 2018, 53, 65–91. [Google Scholar]
- Kindap, T. A severe sea-effect snow episode over the city of Istanbul. Nat. Hazards 2010, 54, 707–723. [Google Scholar] [CrossRef]
- Yavuz, V.; Deniz, A.; Özdemir, E.T.; Kolay, O.; Karan, H. Classification and analysis of sea-effect snowbands for Danube Sea area in Black Sea. Int. J. Clim. 2021, 41, 3139–3152. [Google Scholar] [CrossRef]
- Yavuz, V.; Deniz, A.; Özdemir, E.T. Analysis of a vortex causing sea-effect snowfall in the western part of the Black Sea: A case study of events that occurred on 30–31 January 2012. Nat. Hazards 2021, 108, 819–846. [Google Scholar] [CrossRef]
- Baltaci, H.; da Silva, M.C.L.; Gomes, H.B. Climatological conditions of the Black Sea-effect snowfall events in Istanbul, Turkey. Int. J. Clim. 2021, 41, 2017–2028. [Google Scholar] [CrossRef]
- Waldstreicher, J.S. A foot of snow from a 3000-foot cloud: The Ocean-Effect Snowstorm of 14 January 1999. Bull. Am. Meteorol. Soc. 2002, 83, 19–22. [Google Scholar] [CrossRef]
- Collins, W.; Rasch, P.; Boville, B.; McCaa, J.; Williamson, D.; Kiehl, J.; Briegleb, B.; Bitz, C.; Lin, S.J.; Zhang, M.; et al. Description of the NCAR Community Atmosphere Model (CAM 3.0); University Corporation for Atmospheric Research: Boulder, CO, USA, 2004. [Google Scholar]
- Özgür, E.; Koçak, K. Climatology of snowfall/total precipitation days over Turkey. Theor. Appl. Climatol. 2019, 137, 2487–2495. [Google Scholar] [CrossRef]
- Özgür, E.; Koçak, K. Spatial variation of critical temperatures between snow and rain over Turkey. Arab. J. Geosci. 2021, 14, 2726. [Google Scholar] [CrossRef]
- Grenfell, T.C.; Putkonen, J. A method for the detection of the severe rain-on-snow event on Banks Island, October 2003, using passive microwave remote sensing. Water Resour. Res. 2008, 44, 03425. [Google Scholar] [CrossRef]
- Eichenlaub, V.L. Lake Effect Snowfall to the Lee of the Great Lakes: Its Role in Michigan. Bull. Am. Meteorol. Soc. 1970, 51, 403–412. [Google Scholar] [CrossRef]
- Jiusto, J.E.; Kaplan, M.L. Snowfall From Lake-Effect Storms. Mon. Weather Rev. 1972, 100, 62–66. [Google Scholar] [CrossRef]
- Kristovich, D.A.R.; Laird, N.F. Observations of Widespread Lake-Effect Cloudiness: Influences of Lake Surface Temperature and Upwind Conditions. Weather Forecast. 1998, 13, 811–821. [Google Scholar] [CrossRef]
- Fujisaki-Manome, A.; Fitzpatrick, L.E.; Gronewold, A.D.; Anderson, E.J.; Lofgren, B.M.; Spence, C.; Chen, J.; Shao, C.; Wright, D.M.; Xiao, C. Turbulent Heat Fluxes during an Extreme Lake-Effect Snow Event. J. Hydrometeorol. 2017, 18, 3145–3163. [Google Scholar] [CrossRef]
- Andersson, T.; Gustafsson, N. Coast of Departure and Coast of Arrival: Two Important Concepts for the Formation and Structure of Convective Snowbands over Seas and Lakes. Mon. Weather Rev. 1994, 122, 1036–1049. [Google Scholar] [CrossRef]
- Mazon, J.; Niemelä, S.; Pino, D.; Savijärvi, H.; Vihma, T. Snow bands over the Gulf of Finland in wintertime. Tellus A Dyn. Meteorol. Oceanogr. 2015, 67, 25102. [Google Scholar] [CrossRef]
- Kelly, R.D. A Single Doppler Radar Study of Horizontal-Roll Convection in a Lake-Effect Snow Storm. J. Atmos. Sci. 1982, 39, 1521–1531. [Google Scholar] [CrossRef]
- Rothrock, H.J. An Aid in Forecasting Significant Lake Snows; Tech. Memo. WBTM CR-30; National Weather Service Central the Region: Kansas City, MO, USA, 1969; p. 16. [Google Scholar]
- Niziol, T.A.; Snyder, W.R.; Waldstreicher, J.S. Winter Weather Forecasting throughout the Eastern United States. Part IV: Lake Effect Snow. Weather Forecast. 1995, 10, 61–77. [Google Scholar] [CrossRef]
- Hjelmfelt, M.R. Numerical study of the influence of environmental conditions on lake effect snow-storms on Lake Michigan. Mon. Wea. Rev. 1990, 118, 138–150. [Google Scholar] [CrossRef]
- Laird, N.F.; Desrochers, J.; Payer, M. Climatology of Lake-Effect Precipitation Events over Lake Champlain. J. Appl. Meteorol. Clim. 2009, 48, 232–250. [Google Scholar] [CrossRef]
- Steenburgh, W.J.; Halvorson, S.F.; Onton, D.J. Climatology of Lake-Effect Snowstorms of the Great Salt Lake. Mon. Weather Rev. 2000, 128, 709–727. [Google Scholar] [CrossRef]
- Reinking, R.F.; Caiazza, R.; Kropfli, R.A.; Orr, B.W.; Martner, B.E.; Niziol, T.A.; Byrd, G.P.; Penc, R.S.; Zamora, R.J.; Snider, J.B.; et al. The Lake Ontario Winter Storms (LOWS) Project. Bull. Am. Meteorol. Soc. 1993, 74, 1828–1850. [Google Scholar] [CrossRef]
- Lavoie, R.L. A mesoscale numerical model of lake-effect storms. J. Atmos. Sci. 1972, 29, 1025–1040. [Google Scholar] [CrossRef]
- Passarelli, R.E., Jr.; Braham, R.R., Jr. The role of the winter land breeze in the formation of Great Lakes snow storms. Bull. Am. Meteorol. Soc. 1981, 62, 482–491. [Google Scholar] [CrossRef][Green Version]
- Hjelmfelt, M.R.; Braham, R.R. Numerical Simulation of the Airflow over Lake Michigan for a Major Lake-Effect Snow Event. Mon. Weather Rev. 1983, 111, 205–219. [Google Scholar] [CrossRef][Green Version]
- Hjelmfelt, M.R. Orographic Effects in Simulated Lake-Effect Snowstorms over Lake Michigan. Mon. Weather Rev. 1992, 120, 373–377. [Google Scholar] [CrossRef][Green Version]
- Wiley, J.; Mercer, A. An Updated Synoptic Climatology of Lake Erie and Lake Ontario Heavy Lake-Effect Snow Events. Atmosphere 2020, 11, 872. [Google Scholar] [CrossRef]
- Holroyd, E.W. Lake-Effect Cloud Bands as Seen from Weather Satellites. J. Atmos. Sci. 1971, 28, 1165–1170. [Google Scholar] [CrossRef][Green Version]
- Carpenter, D.M. The Lake Effect of the Great Salt Lake: Overview and Forecast Problems. Weather Forecast. 1993, 8, 181–193. [Google Scholar] [CrossRef]
- Steenburgh, W.J.; Onton, D.J. Multiscale Analysis of the 7 December 1998 Great Salt Lake–Effect Snowstorm. Mon. Weather Rev. 2001, 129, 1296–1317. [Google Scholar] [CrossRef]
- Laird, N.F.; Kristovich, D.A.R.; Walsh, J.E. Idealized Model Simulations Examining the Mesoscale Structure of Winter Lake-Effect Circulations. Mon. Weather Rev. 2003, 131, 206–221. [Google Scholar] [CrossRef][Green Version]
- Laird, N.F.; Kristovich, D.A.R. Comparison of Observations with Idealized Model Results for a Method to Resolve Winter Lake-Effect Mesoscale Morphology. Mon. Weather Rev. 2004, 132, 1093–1103. [Google Scholar] [CrossRef][Green Version]
- Lang, C.E.; McDonald, J.M.; Gaudet, L.; Doeblin, D.; Jones, E.A.; Laird, N.F. The Influence of a Lake-to-Lake Connection from Lake Huron on the Lake-Effect Snowfall in the Vicinity of Lake Ontario. J. Appl. Meteorol. Clim. 2018, 57, 1423–1439. [Google Scholar] [CrossRef]
- Suriano, Z.J.; Leathers, D.J. Synoptic climatology of lake-effect snowfall conditions in the eastern Great Lakes region. Int. J. Clim. 2017, 37, 4377–4389. [Google Scholar] [CrossRef]
- Campbell, L.S.; Steenburgh, W.J. The OWleS IOP2b Lake-effect Snowstorm: Mechanisms contributing to the Tug Hill precip-itation maximum. Mon. Weather Rev. 2017, 145, 2461–2478. [Google Scholar] [CrossRef]
- Ghafarian, P.; Delju, A.H.; Tajbakhsh, S.; Penchah, M.M. Simulation of the role of Caspian Sea surface temperature and air temperature on precipitation intensity in lake-effect snow. J. Atmos. Sol.-Terr. Phys. 2021, 225, 105777. [Google Scholar] [CrossRef]
- Gerbush, M.R.; Kristovich, D.A.R.; Laird, N.F. Mesoscale Boundary Layer and Heat Flux Variations over Pack Ice–Covered Lake Erie. J. Appl. Meteorol. Clim. 2008, 47, 668–682. [Google Scholar] [CrossRef]
- Scott, C.P.J.; Sousounis, P.J. The Utility of Additional Soundings for Forecasting Lake-Effect Snow in the Great Lakes Region. Weather Forecast. 2001, 16, 448–462. [Google Scholar] [CrossRef]
- Markowski, P.; Richardson, Y. Mesoscale Meteorology in Midlatitudes; Wiley: Hoboken, NJ, USA, 2010; p. 407. [Google Scholar]
- Sousounis, W.J.; Mann, G.E. Lake-aggregate mesoscale disturbances. Part V: Impacts on lake-effect precipitation. Mon. Weather Rev. 2000, 128, 728–745. [Google Scholar] [CrossRef]
- Yavuz, V.; Akcar, N.; Schlüchter, C. The frozen Bosphorus and its paleoclimatic implications based on a summary of the his-torical data. In the Black Sea Flood Question: Changes in Coastline, Climate, and Human Settlement; Yanko-Hombach, V., Gilbert, A.S., Panin, N., Dolukhanov, P.M., Eds.; Springer: Dordrecht, The Netherlands, 2007. [Google Scholar]
- Tayanç, M.; Karaca, M.; Dalfes, H.N. March 1987 Cyclone (Blizzard) over the Eastern Mediterranean and Balkan Region Associated with Blocking. Mon. Weather Rev. 1998, 126, 3036–3047. [Google Scholar] [CrossRef]
- Yavuz, V.; Temiz, C.; Özdemir, E.T.; Deniz, A. Investigation of accident incident in-flight reports for the European Region. Eur. J. Sci. Technol. 2015, 2, 155–160. (In Turkish) [Google Scholar]
- IMM. Istanbul Metropolitan Municipality: Climate of Istanbul. Available online: https://www.ibb.istanbul/ (accessed on 23 November 2021).
- IOWA. Environmental Mesonet. Available online: https://mesonet.agron.iastate.edu/request/download.phtml. (accessed on 17 November 2021).
- University of Wyoming. Sounding. Available online: http://weather.uwyo.edu/upperair/sounding.html. (accessed on 18 November 2021).
- NASA. Modern-Era Retrospective Analysis for Research and Applications, Version 2. Available online: https://gmao.gsfc.nasa.gov/reanalysis/MERRA-2/ (accessed on 1 April 2020).
- Zhao, W.; Duan, S.B. Reconstruction of daytime land surface temperatures under cloud-covered conditions using integrated MODIS/Terra land products and MSG geostationary satellite data. Remote Sens. Environ. 2020, 247, 111931. [Google Scholar] [CrossRef]
- TSMS. Turkish State Meteorological Service. Available online: http://www.mgm.gov.tr (accessed on 18 July 2021).
- APDRC. Asia-Pasific Data-Research Center: Sea Surface Temperatures. Available online: http://apdrc.soest.hawaii.edu (accessed on 15 July 2021).
- WHOI. Woods Hole Oceanographic Institute. Available online: http://apdrc.soest.hawaii.edu/datadoc/whoioafluxday.php (accessed on 10 July 2021).
- Yavuz, V.; Özdemir, E.T.; Deniz, A. Nowcasting of a thunderstorm: The case study of 2 February 2015 at Istanbul Ataturk International Airport. Mausam 2020, 71, 21–32. [Google Scholar] [CrossRef]
- Özdemir, E.T.; Deniz, A.; Sezen, İ.; Aslan, Z.; Yavuz, V. Investigation of thunderstorms over Ataturk International Airport (LTBA), Istanbul. Mausam 2017, 68, 175–180. [Google Scholar] [CrossRef]
- Özdemir, E.T.; Deniz, A.; Sezen, İ.; Menteş, Ş.S.; Yavuz, V. Fog analysis at Istanbul Ataturk International Airport. Weather 2016, 71, 279–284. [Google Scholar] [CrossRef]









| Parameters | t-Test p-Values (95% Confidence Interval) | Statistical Significance (Meaning) | |
|---|---|---|---|
| LTBA | T (°C) | 0.1089 | Not significant |
| Td (°C) | 0.0001 | Statistically significant | |
| Ws (kt) | 0.1423 | Not significant | |
| R (%) | 0.0064 | Statistically significant | |
| P (hPa) | 0.0001 | Statistically significant | |
| LTFJ | T (°C) | 0.0771 | Not significant |
| Td (°C) | 0.0001 | Statistically significant | |
| Ws (kt) | 0.1576 | Not significant | |
| R (%) | 0.0006 | Statistically significant | |
| P (hPa) | 0.0011 | Statistically significant | |
| Over Sea | ΔTSS-850 (°C) | 0.0001 | Statistically significant |
| ΔTSS-700 (°C) | 0.0001 | Statistically significant | |
| ΔWSSS-850 (kt) | 0.0893 | Statistically significant | |
| ΔWSSS-700 (kt) | 0.0046 | Statistically significant | |
| SH (g/kg) | 0.0001 | Statistically significant | |
| SHF (W/m2) | 0.0001 | Statistically significant | |
| LHF (W/m2) | 0.0001 | Statistically significant |
| Wind Direction | SES Events | Non-SES Events | ||
|---|---|---|---|---|
| LTBA | LTFJ | LTBA | LTFJ | |
| Southwest (SW) | 0% | 0% | 3% | 3% |
| West (W) | 0% | 0% | 0% | 3% |
| Northwest (NW) | 20% | 11% | 20% | 3% |
| North (N) | 62% | 44% | 63% | 34% |
| Northeast (NE) | 15% | 40% | 3% | 34% |
| Variable (VRB) | 2% | 4% | 10% | 24% |
| SES Events | Non-SES Events | |||
|---|---|---|---|---|
| ΔWDSS-850 | ΔWDSS-700 | ΔWDSS-850 | ΔWDSS-700 | |
| ≤30° | 43% | 39% | 23% | 8% |
| 30°–60° | 28% | 20% | 29% | 18% |
| ≥60° | 29% | 41% | 49% | 74% |
| Inversion Layer | Frequency of SES Events | Frequency of Non-SES Events |
|---|---|---|
| 1st | 4.8% | 25.0% |
| 2nd | 26.0% | 23.8% |
| 3rd | 15.1% | 8.3% |
| 1st and 2nd | 5.5% | 8.3% |
| 1st and 3rd | 5.5% | 0.0% |
| 2nd and 3rd | 19.9% | 1.2% |
| 1st, 2nd, 3rd | 1.4% | 1.2% |
| None | 20.5% | 32.1% |
| LTBA | Snow Depth (cm) | T (°C) | Td (°C) | Ws (kt) | Wd (°) | RH (%) | P (hPa) | ΔTSS-850 (°C) | ΔTSS-700 (°C) | SHF (Wm−2) | LHF (Wm−2) | Spe. Hum. (gkg−1) | Inver. Layer |
|---|---|---|---|---|---|---|---|---|---|---|---|---|---|
| SES | <1 | 0.7 | −2.3 | 14 | N-NE | 79.1 | 1023.2 | 17.3 | 23.6 | 162.9 | 166 | 3.2 | 93% |
| Non-SES | 0.8 | −0.1 | 15.5 | NW-NE | 91.2 | 1015.3 | 11.8 | 18.4 | 98.7 | 113.9 | 4 | 80% | |
| SES | 1–5 | −0.2 | −2.4 | 14.8 | N | 86.3 | 1024.5 | 16.9 | 24 | 160.6 | 156.9 | 3 | 100% |
| Non-SES | 0.3 | −1 | 16.2 | VRB | 84.3 | 1015.5 | 14.2 | 21.1 | 129.1 | 136.2 | 3.7 | 50% | |
| SES | 6–10 | −0.8 | −2.5 | 12.9 | NW-N | 88.5 | 1022 | 19 | 27.9 | 170.9 | 173.1 | 3.1 | 100% |
| Non-SES | −2 | −2.7 | 20.5 | NW-N | 94.3 | 1023 | 8.9 | 16.9 | 117 | 133.8 | 4.1 | 50% | |
| SES | 11–15 | −1.9 | −2.6 | 15 | N-NE | 94.9 | 1023.9 | 19.5 | 27.5 | 189.7 | 169.2 | 3 | 100% |
| Non-SES | - | - | - | - | - | - | - | - | - | - | - | - | |
| SES | >15 | −1.9 | −2.8 | 17.2 | N-NE | 93.8 | 1027.1 | 19 | 26.7 | 209 | 189.4 | 2.9 | 100% |
| Non-SES | - | - | - | - | - | - | - | - | - | - | - | - |
| LTFJ | Snow Depth (cm) | T (°C) | Td (°C) | Ws (kt) | Wd (°) | RH (%) | P (hPa) | ΔTSS-850 (°C) | ΔTSS-700 (°C) | SHF (Wm−2) | LHF (Wm−2) | Spe. Hum. (gkg−1) | Inver. Layer |
|---|---|---|---|---|---|---|---|---|---|---|---|---|---|
| SES | <1 | 1.1 | −1.6 | 11.3 | N-NE | 82.8 | 1016.5 | 16.7 | 22.8 | 129.8 | 141.1 | 3.3 | 100% |
| Non-SES | 0.6 | −0.8 | 9.1 | VRB | 90.9 | 1015.5 | 10.6 | 17.6 | 96.9 | 107.6 | 4.3 | 66% | |
| SES | 1–5 | 0.1 | −2.1 | 10.8 | N-NE | 86.2 | 1019.4 | 18.6 | 26.8 | 174.2 | 176.5 | 3 | 100% |
| Non-SES | 0.1 | −0.7 | 12.7 | N-NE | 95 | 1019.7 | 15.8 | 20.2 | 146.1 | 143.5 | 3.9 | 50% | |
| SES | 6–10 | −0.7 | −2.3 | 13.1 | N-NE | 89 | 1018 | 17 | 26.4 | 177.3 | 178.9 | 3.1 | 100% |
| Non-SES | 0.1 | −1.8 | 8 | VRB | 88.5 | 1019 | 4.7 | 15 | 78.5 | 102.6 | 4.5 | 100% | |
| SES | 11–15 | - | - | - | - | - | - | - | - | - | - | - | - |
| Non-SES | - | - | - | - | - | - | - | - | - | - | - | - | |
| SES | >15 | −2.1 | −3.3 | 9.8 | N-NE | 91.5 | 1030.1 | 19.7 | 26.9 | 200 | 179.4 | 2.9 | 100% |
| Non-SES | - | - | - | - | - | - | - | - | - | - | - | - |
Publisher’s Note: MDPI stays neutral with regard to jurisdictional claims in published maps and institutional affiliations. |
© 2022 by the authors. Licensee MDPI, Basel, Switzerland. This article is an open access article distributed under the terms and conditions of the Creative Commons Attribution (CC BY) license (https://creativecommons.org/licenses/by/4.0/).
Share and Cite
Yavuz, V.; Lupo, A.R.; Fox, N.I.; Deniz, A. Meso-Scale Comparison of Non-Sea-Effect and Sea-Effect Snowfalls, and Development of Prediction Algorithm for Megacity Istanbul Airports in Turkey. Atmosphere 2022, 13, 657. https://doi.org/10.3390/atmos13050657
Yavuz V, Lupo AR, Fox NI, Deniz A. Meso-Scale Comparison of Non-Sea-Effect and Sea-Effect Snowfalls, and Development of Prediction Algorithm for Megacity Istanbul Airports in Turkey. Atmosphere. 2022; 13(5):657. https://doi.org/10.3390/atmos13050657
Chicago/Turabian StyleYavuz, Veli, Anthony R. Lupo, Neil I. Fox, and Ali Deniz. 2022. "Meso-Scale Comparison of Non-Sea-Effect and Sea-Effect Snowfalls, and Development of Prediction Algorithm for Megacity Istanbul Airports in Turkey" Atmosphere 13, no. 5: 657. https://doi.org/10.3390/atmos13050657
APA StyleYavuz, V., Lupo, A. R., Fox, N. I., & Deniz, A. (2022). Meso-Scale Comparison of Non-Sea-Effect and Sea-Effect Snowfalls, and Development of Prediction Algorithm for Megacity Istanbul Airports in Turkey. Atmosphere, 13(5), 657. https://doi.org/10.3390/atmos13050657

