Abstract
Even after 7 years of the nuclear accident that occurred in 2011 at the Fukushima Dai-ichi nuclear power plant (F1NPP), high levels of 137Cs have been detected in ambient aerosols from some polluted areas of Fukushima. Higher levels of radionuclides were often observed in the atmosphere during and after rain events. We presume that biological processes such as fungal activity associated with higher relative humidity may be involved with a possible emission of radioactivity to the atmosphere, which was originally emitted from the F1NPP accident and was deposited over the ground, forest, soil, etc. Here, we report, for the first time, relationships of 137Cs and organic tracers of fungal spores (i.e., arabitol, mannitol and trehalose) in the aerosol samples collected from Fukushima, Japan. Although we found twice-higher concentrations of 137Cs at nighttime than at daytime, fungal spore tracers did not show a consistent trend to 137Cs, that is, organic tracers at nighttime were similar with those at daytime or were even higher in daytime. This study has not clearly demonstrated that fungal spores are the important source of high levels of 137Cs at nighttime. The current unclear relationship is probably associated with the sampling strategy (four consecutive days with a sampling on/off program for day/nighttime samples) taken in this campaign, which may have caused a complicated meteorological situation.
1. Introduction
A severe nuclear accident (International Nuclear Event Scale: INES level 7 meltdown of three reactors) occurred in March 2011 at the Fukushima Dai-ichi nuclear power plant (F1NPP) operated by the Tokyo Electric Power Company (TEPCO) a few days after the earthquake and subsequent tsunamis, causing serious contamination of radionuclides in the environments over the wide areas of eastern Japan, covering Fukushima and surrounding prefectures, and the adjacent western North Pacific. This nuclear accident was triggered by the attack of powerful tsunami waves that reached as high as 40 m and up to 10 km inland, following the strong earthquake (magnitude of 9.0) off the Pacific coast of northeast Japan (373 km northeast of Tokyo) that happened at 14:46 JST on 11 March 2011 [1,2,3,4,5]. The nuclear explosions at F1NPP (12–15 March) released significant amounts of radioactive elements to the atmosphere; 133Xe (11,000 PBq), 131I (160 PBq), 134Cs (18 PBq), 137Cs (15 PBq), which correspond to 1.69, 0.09, 0.38 and 0.18, respectively, of those from the Chernobyl nuclear accident in 1986 (P: 1015, https://www.env.go.jp/chemi/rhm/h29kisoshiryo/h29kiso-02-02-05.html, accessed on 26 July 2021).
Significant amounts of radionuclides have been deposited in the forest areas in Fukushima and its surroundings [6,7,8]. The contaminated surface soils have been removed from the human living areas by the Japanese Government, e.g., [9], but the majority of the areas’ forest soils have not been treated for soil removal processing. Radioactivities have been accumulated in the soils from Fukushima [10,11,12,13] and are remobilized/recycled among trees, plant litters and soil microorganisms such as fungi in the forest surface. In the forest soils, nuclear accident-emitted radiocesium is preserved in soils where particulate organic matter was deposited [10]. In the biogeochemical cycles of radioactive elements in the forest soil systems, fungal activities may play an important role in the emission of radiocesium from the soil surface to the atmosphere based on the study of the Chernobyl nuclear accident [14].
Igarashi et al. [15] reported the impacts from the F1NPP disaster over 3 years in Tsukuba, Ibaraki (ca. 170 km southwest from the TEPCO’s F1NPP). The monthly atmospheric deposition fluxes of 90Sr and 137Cs in March 2011 reached approximately 5 Bq/m2/month and 23 kBq/m2/month, respectively, which are 3–4 and 6–7 orders of magnitude higher than those before the accident, respectively. Even after 7 years from the nuclear accident, high levels of 137Cs have been found in ambient aerosols from some areas of Fukushima especially during rain events [16]. There are possible mechanisms for the high levels of 137Cs; e.g., re-suspension of dust particles from soil surface [17,18], or other pathways such as biological emission via fungal spore activity. Because the 137Cs concentrations are often higher during rain, the soil resuspension is not likely. However, its radioactivity levels are possibly associated with enhanced biological activity involved with rainfall or humidity.
We hypothesize that biological processes such as fungal activity may be associated with the soil-to-air emission of radionuclides deposited over the soil surface from the F1NPP accident [3,16,19]. Fungi can uptake various nutrient metal ions including potassium and radioactive Cs from soil surface using the fungal network system [20,21,22]. Fungi accumulate radioactive Cs due to the uptake similar to potassium, which is known because of the experiences of contaminations by weapon tests’ global fallout and because of the Chernobyl accident [14,23]. Cs and K are categorized as Group 1 in the periodic table of chemical elements, suggesting the similar chemical properties and thus similar behaviors in the environment. Cs is an analogue of K and is taken up by plants as a nutrient [24]. Although there is only a single data point, Yamaguchi et al. [25] reported a very high radioactive Cs concentration (629 Bq g−1 dry) in fungal spores from Fukushima. Fungal spores are also known to often dominate bioaerosol mass in the mid-latitudinal forest from East Asia [26,27].
Zhu et al. [28] reported that concentration levels of arabitol and mannitol (tracers of fungal spores) are higher at nighttime than at daytime in the Wakayama Research forest although pinic acid (photochemical oxidation product of α-pinene emitted from plants) showed an opposite trend. Their study, together with the high levels of 137Cs in Fukushima areas [15], stimulated our scientific interest in a possible biological emission of 137Cs to the atmosphere of Fukushima at nighttime and led us to a hypothesis of fungi as a possible emitter of 137Cs from the soil surface to the atmosphere. Sugar compounds in aerosols have been reported as the source of biological organic materials emitted from the ground surface (soil) to the atmosphere [29,30,31,32]. In particular, selected sugar compounds such as arabitol, mannitol and trehalose have been used as organic tracers to discuss the nighttime emission of fungal spores from the forest area in Japan [28]. However, there is no reported study so far for the simultaneous measurements of 137Cs and fungal spore tracers.
In this study, to examine the above hypothesis, we used ambient aerosols (day and night samples, separately) collected at Namie, Fukushima, Japan. Aerosol sampling was conducted during summer to autumn in 2017 for the measurements of 137Cs and sugar compounds including arabitol, mannitol and trehalose, which have been considered as fungal spore tracers in aerosol particles [29]. Here, we compare the concentration levels of sugar compounds with those of 137Cs to discuss the correlations among the organic tracers and radioactivity in the ambient aerosols collected from Fukushima and to better understand a possible biological emission of 137Cs from forests to the atmosphere.
2. Samples and Methods
The present sampling point (Namie-cho, Fukushima Prefecture, Japan) has been described in detail elsewhere [4,15,16,17,19]. Briefly, the site is located 8 km north-northwest of the F1NPP (see Figure 1 for the sampling site) and surrounded by forests in the evacuated zone; therefore, most of the forest areas remained contaminated. Major tree species in the forest are Japanese ceder (Cryptomeria japonica) and beech (Fugas crenata). The human activity in the area was rare except for a decontamination work. Ambient aerosol samples (total suspended particles, TSP) were collected during the period of 3 August to 26 October 2017 using pre-combusted (500 °C) quartz fiber filters (Pallflex, 2500QAT-UP, 20 × 25 cm, Avantor, Radnor, USA) and a high-volume air sampler (Shibata, Tokyo, Japan, HV-1000RW) at a flow rate of 1 m3 per min. We operated four air samplers that were placed on the ground of a school campus (1.2 m above the ground) with a time program to collect daytime (6:00–18:00) and nighttime (18:00–6:00) aerosols separately for four consecutive days (12 h × 4 d = 48 h). In total, 29 daytime (n = 15) and nighttime (n = 14) samples were collected. Blank filters (n = 4) were taken at the site without air sucking. The TSP samples were stored in a freezer at −20 °C until the analysis. Aliquots of aerosol samples were analyzed for the measurement of 137Cs using a Ge-semiconductor detector at the MRI laboratory (Meteorological Research Institute, Tsukuba, Japan) using the method of Igarashi et al. [15].
Figure 1.
Map of sampling site (Namie-cho) and Fukushima Dai-ichi Nuclear Power Plant (F1NPP) in Fukushima, Japan (from Google map) with a map of the FINPP disaster. Original map was downloaded from Google map.
Figure 2 shows ambient temperature and relative humidity (RH) during the sampling periods. The ambient temperature ranged from 18 °C to 25 °C, with an average of 21 °C in daytime and from 13 °C to 21 °C with an average of 17 °C in nighttime. RH is clearly higher in nighttime (range: 80–100%, av. 96%) than daytime (73–98%, av. 85%) although the temperature showed an opposite trend. Figure 3 gives a wind direction/speed. The major winds came from the northeast and the east in nighttime and from the northeast in daytime.
Figure 2.
Ambient temperature and relative humidity during (a,c) nighttime and (b,d) daytime. The original meteorological data were collected at the sampling site.
Figure 3.
Relative frequency of wind directions at Namie-cho in Fukushima during (a) nighttime and (b) daytime during the sampling campaign (August to October 2017). Color code labels (0–2, 2–4, etc.) indicate the recorded wind speed in m/s. The meteorological data were obtained from the Japan Meteorological Agency, Tsukuba, Japan.
For organics, aliquots of filter samples (10 cm2) were extracted with a dichloromethane/methanol (2:1) mixture (7 mL × 3) under ultrasonication for 10 min. The solvent extracts were passed through quartz wool packed in a Pasteur pipette, and then concentrated using a rotary evaporator under vacuum. The extracts were then reacted with 50 µL of N,O-bis-(trimethylsilyl)trifluoroacetamide (BSTFA) containing 1% trimethyl chloride and 10 µL pyridine at 70 °C for 3 h. During the reaction with BSTFA, OH-functional groups of sugar compounds including fungal spore tracers (arabitol, mannitol and trehalose) were converted to trimethylsilyl (TMS)-ether derivatives. The derivatives of sugar compounds were measured using gas chromatography (GC)/mass spectrometer (MS) (Hewlett-Packard model 6890 GC coupled to Hewlett-Packard model 5973 MSD, Agilent, Santa Clara, USA). More details of the analytical procedures can be found in previous publications [27,28,29]. The recoveries of organic tracers were 80–90%. Very small peaks of target compounds (<3% of real samples) were detected in the field blanks. However, no peaks were detected in the laboratory blank. The data were corrected for the field blanks.
3. Results and Discussion
The radioactivities of 137Cs were found to range from 0.07 to 0.27 (av. 0.17 ± 0.05) milli Bq (mBq) m−3 in daytime and 0.12 to 0.55 (av. 0.36 ± 0.10) mBq m−3 in nighttime during the campaign period (August to October 2017) at Namie, Fukushima (see Table 1). It is of interest to emphasize that the atmospheric 137Cs radioactivity at nighttime was twice as high as at daytime. These levels are significantly higher (>an order of magnitude) than the average concentration of 0.012 mBq m−3 reported in Tsukuba, Ibaraki (170 km southwest from the F1NPP) during March-August in 2014 [15]. This value is several orders of magnitude higher than those reported before the F1NPP disaster in the same site [15]. We confirmed that radioactivity levels of 137Cs in Namie, Fukushima were still high compared with those obtained six and a half years after the nuclear accident. Our finding that concentrations of 137Cs in aerosol samples at nighttime were twice as high as at daytime (on average 0.36 vs. 0.17 mBq m−3, respectively, see Table 1) raised a big question on the mechanism that controls the atmospheric levels of 137Cs in the forest area of Fukushima between daytime and nighttime. As a possible process, we examined atmospheric behavior of spores emitted from fungi that are grown on the forest surface by analyzing fungal spore tracers.
Table 1.
Summary of concentrations of 137Cs and sugar compounds in Fukushima aerosols (August to October, 2017).
In the same aerosol samples, we detected homologues of sugar compounds including arabitol, fructose, glucose, mannitol, inositol, sucrose, and trehalose. Their GC/MS trace is shown in Figure 4; their concentrations are summarized in Table 1. We also detected levoglucosan, anhydrosugar that is not present in biomass but is produced by biomass burning via the thermal conversion of cellulose and hemicellulose [33]. Levoglucosan has often been used as a specific biomass burning tracer [30]. However, the concentrations of levoglucosan were significantly low in the present aerosol samples compared to previous studies from China and other Asian countries [29,34], suggesting that biomass burning is not the major source of organic aerosols containing sugar compounds in the ambient aerosols studied.
Figure 4.
Typical GC/MS trace (TIC chromatogram) of sugar compounds isolated from nighttime aerosol sample (sampling dates, 9 to 13 September 2017) from Namie-cho, Fukushima.
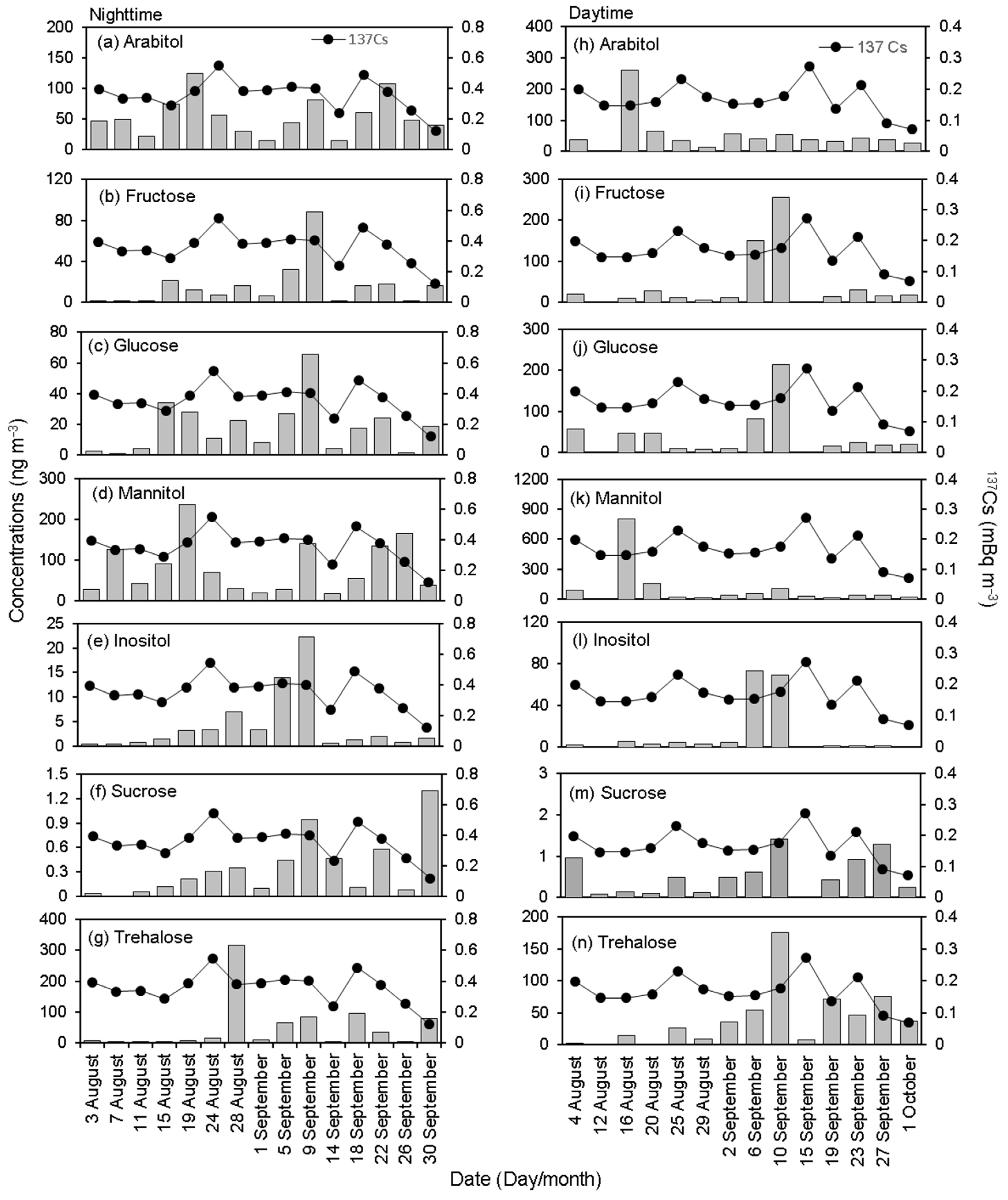
The sugar compounds detected in this study have been abundantly reported in ambient aerosols previously studied from different locations including forest, rural and marine sites [29,31,35,36]. We detected high levels of fungal tracers (i.e., arabitol, mannitol and trehalose) in the aerosol samples from Fukushima, together with other sugars (e.g., fructose, glucose, inositol, see Figure 4). However, we did not find a large difference between nighttime and daytime samples, e.g., arabitol levels were similar, trehalose was more abundant in nighttime but mannitol showed an opposite trend (Table 1). The results of concentration levels of fungal spore tracers were not consistent with 137Cs, which clearly showed the nighttime predominance (Table 1). Figure 5 presents timeseries plots of 137Cs and organic tracers for nighttime and daytime. There are no clear covariations between 137Cs and sugar compounds, including fungal tracers (arabitol, mannitol and trehalose). These results do not clearly support the fungal spore hypothesis.
Figure 5.
Time series plots of 137Cs and organic tracers in the ambient aerosols collected from Fukushima during (a–g) night- and (h–n) daytime periods. The sampling durations were four days. The dates mean the first day of the sampling periods. The data of 8 August are not shown due to the missing of 137Cs data.
Although correlation coefficients are relatively low (R2 = 0.012–0.056), we found positive correlations between fungal spore tracers and 137Cs in nighttime especially for trehalose and arabitol (Figure 6a,b). Meanwhile, there was no correlation between mannitol and 137Cs; the correlation coefficient was very low (0.0007, Figure 6c). We did not detect any positive correlations between the organic tracers and 137Cs for daytime samples (Figure 6d–f). The weak positive correlations between some fungal spore tracers and 137Cs in nighttime did support, at least partially, our working hypothesis, that is, soil-to-air emission of 137Cs via the fungal activity was likely in the sampling site of Fukushima. In contrast, we did not find any positive correlations of 137Cs with RH, ambient temperature and major carbohydrates for both daytime and nighttime. However, we detected negative correlations of RH with levoglucosan (R2 = 0.47) and sucrose (R2 = 0.44) at nighttime.
Figure 6.
Correlations between organic tracers (arabitol, mannitol and trehalose) and 137Cs in atmospheric aerosols collected in (a–c) night- and (d–f) daytime periods from Fukushima, Japan.
Fungi are known to have a sensitive strategy toward rain events and high relative humidity in terms of the emission of fungal spores. Zhu et al. [26] reported, based on the one-year observation of sugar alcohols at Cape Hedo, Okinawa, a remote island in the western North Pacific, that higher relative humidity (91% for weekly mean) resulted in more emissions of fungal spores under heavy rain and subsequent humid conditions. In our day/night sampling conditions, higher RH was always recorded at nighttime rather than daytime as discussed above. The enhanced nighttime RH could have promoted the activation of fungi, thus resulting in more emission of fungal spores to the air. We analyzed fungal spore samples collected near the sampling site and detected various sugar compounds in the water-extracts of the spore sample (Table 2). Although fungal spore tracers such as trehalose, arabitol and mannitol were detected, they did not show a clear positive relationship with 137Cs in the ambient aerosol samples collected at night as described above. We consider several reasons why the correlations between fungal tracers and 137Cs were not clearly observed, as discussed below.
Table 2.
Sugar compounds detected in water-extracts from fungal spore (171012 Fungi, Fukushima).
In the present campaign, we collected the ambient aerosols for 4 consecutive days with an on/off program for daytime/nighttime aerosol samplers, during which there were variable changes in the meteorological parameters (e.g., ambient temperature, relative humidity, rain events). We initially expected to have a strong contrast of RH during the present day/nighttime intervals, which could largely affect fungal activity in the forest. Due to the 4-day sampling periods, the collected aerosol samples experienced complicated meteorological situations; thus the correlations between the organic tracers and 137Cs cannot be straightforward. We examined the relationship between organic tracers (arabitol and trehalose) and 137Cs in nighttime aerosols, with precipitation of >1 mm. The high levels of organic tracers and 137Cs were not consistent with the rain events, that is, some data points with a rain event showed high levels of organic tracers and 137Cs in aerosols, however, not always in this campaign.
Based on these results, we considered that the sampling periods of four days are too long to have a snap-shot of good correlation between fungal spore tracers and 137Cs. Hence, we believe that a shorter sampling period is needed to better understand the emission processes of 137Cs together with fungal spores whose biological activities are mainly involved with meteorology-oriented parameters to avoid the complicated meteorological situations that may happen during long sampling periods of four days. We suspect that the sampling strategies used in this campaign may have caused an obscure observation on the hypothesis of fungal spores as an emitter of 137Cs. We plan to collect day/night samples of ambient aerosols from Fukushima with 12 h periods to better support our fungal spore hypothesis for the emission of 137Cs in the Fukushima area.
4. Summary and Conclusions
Here, we report, for the first time, on the simultaneous measurements of radioactive 137Cs and organic tracers of fungal spores in ambient aerosols from Fukushima, East Japan, to evaluate the potential importance of fungi to the soil-to-air emission of 137Cs originally emitted from the nuclear accident in 2011. Based on day/night (four days) data of ambient aerosols, we discussed a hypothetical mechanism of soil-to-air emission of radiocesium via fungal spore activity. We found that the levels of radioactive 137Cs in the ambient aerosols were twice as high at nighttime as at daytime. Although we could not clearly detect a good correlation between the 137Cs and fungal spore tracers partly due to the sampling strategy taken in this campaign (four-day sampling with day/night on/off program), we found a weak correlation between fungal tracers (arabitol and trehalose) with 137Cs, partially supporting the fungal spore hypothesis as an emission source of radio 137Cs. However, the correlation coefficients were much smaller than we initially expected. During the rather long time periods of sampling, we may have missed the opportunity to catch a clear correlation between 137Cs and fungal spore tracers, probably due to the complicated meteorological conditions that the aerosols experienced during the 4-day sample collection periods. We need to use a sampling strategy for shorter time periods for daytime and nighttime sampling in the future to re-examine the hypothesis of fungal spores as coemitter of 137Cs from the soil surface to the atmosphere.
Author Contributions
The research plan was made by K.K. (Kimitaka Kawamura), K.K. (Kazuyuki Kita) and Y.I. Radio analyses and organic tracer analyses were performed by N.H. and B.K., respectively. The draft was prepared by K.K. (Kimitaka Kawamura) and all the coauthors contributed to improve the manuscript. All authors have read and agreed to the published version of the manuscript.
Funding
This study was in part funded by the Japan Society for the Promotion of Science (JSPS, Tokyo, Japan) through grant-in-aid Nos. 18K18791, 17H01478, 17H01873 and 18H03385.
Institutional Review Board Statement
Not applicable.
Informed Consent Statement
Not applicable.
Data Availability Statement
All the data in this paper are available within the manuscript.
Acknowledgments
The authors thank Kohtaro Minami, graduate student of Ibaraki University, Mito, Japan, for his help in aerosol sampling and in fungal spore sampling. We also appreciate the review and suggestions made by Chunmao Zhu.
Conflicts of Interest
The authors declare no conflict of interest.
References
- Abe, Y.; Onozaki, S.; Nakai, I.; Adachi, K.; Igarashi, Y.; Oura, Y.; Ebihara, M.; Miyasaka, T.; Nakamura, H.; Sueki, K. Widespread distribution of radiocesium-bearing microparticles over the greater Kanto Region resulting from the Fukushima nuclear accident. Prog. Earth Planet. Sci. 2021, 8, 13. [Google Scholar] [CrossRef]
- Hirose, K. 2011 Fukushima Dai-ichi nuclear power plant accident: Summary of regional radioactive deposition monitoring results. J. Environ. Radioact. 2012, 111, 13–17. [Google Scholar] [CrossRef] [PubMed]
- Igarashi, Y.; Kogure, T.; Kurihara, Y.; Miura, H.; Okumura, T.; Satou, Y.; Takahashi, Y.; Yamaguchi, N. A review of Cs-bearing microparticles in the environment emitted by the Fukushima Dai-ichi Nuclear Power Plant accident. J. Environ. Radioact. 2019, 205, 101–118. [Google Scholar] [CrossRef]
- Kajino, M.; Ishizuka, M.; Igarashi, Y.; Kita, K.; Yoshikawa, C.; Inatsu, M. Long-term assessment of airborne radiocesium after the Fukushima nuclear accident: Re-suspension from bare soil and forest ecosystems. Atmos. Chem. Phys. 2016, 16, 13149–13172. [Google Scholar] [CrossRef] [Green Version]
- Yoshida, N.; Takahashi, Y. Land-surface contamination by radionuclides from the Fukushima Daiichi Nuclear Power Plant accident. Elements 2012, 8, 201–206. [Google Scholar] [CrossRef]
- Hashimoto, S.; Ugawa, S.; Nanko, K.; Shichi, K. The total amounts of radioactively contaminated materials in forests in Fukushima, Japan. Sci. Rep. 2012, 2, 416. [Google Scholar] [CrossRef] [Green Version]
- Hashimoto, S.; Imamura, N.; Kaneko, S.; Komatsu, M.; Matsuura, T.; Nishina, K.; Ohashi, S. New predictions of 137Cs dynamics in forests after the Fukushima nuclear accident. Sci. Rep. 2020, 10, 29. [Google Scholar] [CrossRef] [Green Version]
- Murakami, M.; Ohte, N.; Suzuki, T.; Ishii NIgarashi, Y.; Tanoi, K. Biological proliferation of cesium-137 through the detrital food chain in a forest ecosystem in Japan. Sci. Rep. 2014, 4, 3599. [Google Scholar] [CrossRef] [Green Version]
- Wakai, N.; Maeda, M.; Ono, T.; Hanafusa, T.; Yamashita, J.; Saitoh, K. Radiocesium concentration in stems, leaves, and panicles of rice grown in a sandy soil replacement paddy field treated with different rates of cattle manure comost in Kawamata, Fukushima. J. Environ. Sci. Sustain. Soc. 2019, 9, 1–10. [Google Scholar] [CrossRef] [Green Version]
- Koarashi, J.; Nishimura, S.; Atarashi-Andoh, M.; Muto, K.; Matsunaga, T. A new perspective on the 137Cs retention mechanism in surface soils during the early stage after the Fukushima nuclear accident. Sci. Rep. 2019, 9, 7034. [Google Scholar] [CrossRef] [Green Version]
- Konoplev, A.; Golosov, V.; Laptev, G.; Nanba, K.; Onda, Y.; Takase, T.; Wakiyama, Y.; Yoshimura, K. Behavior of accidentally released radiocesium in soilewater environment: Looking at Fukushima from a Chernobyl perspective. J. Environ. Radioact. 2016, 151, 568–578. [Google Scholar] [CrossRef] [PubMed]
- Komatsu, M.; Hirai, K.; Nagakura, J.; Noguchi, K. Potassium fertilisation reduces radiocesium uptake by Japanese cypress seedlings grown in a stand contaminated by the Fukushima Daiichi nuclear accident. Sci. Rep. 2017, 7, 15612. [Google Scholar] [CrossRef] [PubMed]
- Yamaguchi, N.; Taniyama, I.; Kimura, T.; Yoshioka, K.; Saito, M. Contamination of agricultural products and soils with radiocesium derived from the accident at TEPCO Fukushima Daiichi Nuclear Power Station: Monitoring, case studies and countermeasures. Soil Sci. Plant Nutr. 2016, 62, 303–314. [Google Scholar] [CrossRef]
- Duff, M.C.; Ramsey, M.L. Accumulation of radiocesium by mushrooms in the environment: A literature review. J. Environ. Radioact. 2012, 99, 912–932. [Google Scholar] [CrossRef] [Green Version]
- Igarashi, Y.; Kajino, M.; Zaizen, Y.; Adachi, K.; Mikami, M. Atmospheric radioactivity over Tsukuba, Japan: A summary of three years of observations after the FDNPP accident. Prog. Earth Planet. Sci. 2015, 2, 44. [Google Scholar] [CrossRef] [Green Version]
- Kita, K.; Igarashi, Y.; Kinase, T.; Hayashi, N.; Ishizuka, M.; Adachi, K.; Koitabashi, M.; Sekiyama, T.T.; Onda, Y. Rain-induced bioecological resuspension of radiocaesium in a polluted forest in Japan. Sci. Rep. 2020, 10, 15330. [Google Scholar] [CrossRef]
- Ishizuka, M.; Mikami, M.; Tanaka, T.Y.; Igarashi, Y.; Kita, K.; Yamada, Y.; Yoshida, N.; Toyoda, S.; Satou, Y.; Kinase, T. Use of a size-resolved 1-D resuspension scheme to evaluate resuspended radioactive material associated with mineral dust particles from the ground surface. J. Environ. Radioact. 2017, 166, 436–448. [Google Scholar] [CrossRef]
- Kajino, M.; Adachi, K.; Igarashi, Y.; Satou, Y.; Sawada, M.; Thomas Sekiyama, T.; Zaizen, Y.; Saya, A.; Tsuruta, H.; Moriguchi, Y. Deposition and Dispersion of Radio-Cesium Released due to the Fukushima Nuclear Accident: 2. Sensitivity to Aerosol Microphysical Properties of Cs-Bearing Microparticles (CsMPs). J. Geophys. Res. Atmos. 2021, 12, e2020JD033460. [Google Scholar] [CrossRef]
- Kinase, T.; Kita, K.; Igarashi, Y.; Adachi, K.; Ninomiya, K.; Shinohara, A.; Okochi, H.; Ogata, H.; Ishizuka, M.; Toyoda, S. The seasonal variations of atmospheric 134,137Cs activity and possible host particles for their resuspension in the contaminated areas of Tsushima and Yamakiya, Fukushima, Japan. Prog. Earth Planet. Sci. 2018, 5, 12. [Google Scholar] [CrossRef]
- Higo, M.; Kang, D.-J.; Isobe, K. First report of community dynamics of arbuscular mycorrhizal fungi in radiocesium degradation lands after the Fukushima-Daiichi Nuclear disaster in Japan. Sci. Rep. 2019, 9, 8240. [Google Scholar] [CrossRef]
- Huang, Y.; Kaneko, N.; Nakamori, T.; Miura, T.; Tanaka, Y.; Nonaka, M.; Takenaka, C. Radiocesium immobilization to leaf litter by fungi during first-year decomposition in a deciduous forest in Fukushima. J. Environ. Radioact. 2016, 152, 28–34. [Google Scholar] [CrossRef] [PubMed]
- Vinichuk, M.M.; Johanson, K.J. Accumulation of 137Cs by fungal mycelium in forest ecosystems of Ukraine. J. Environ. Radioact. 2003, 64, 27–43. [Google Scholar] [CrossRef]
- Yoshida, S.; Muramatsu, Y. Concentrations of Radiocesium and Potassium in Japanese Mushrooms. Environ. Sci. 1994, 7, 63–70. [Google Scholar]
- Burger, A.; Lichtscheidl, I. Stable and radioactive cesium: A review about distribution in the environment, uptake and translocation in plants, plant reactions and plants’ potential for bioremediation. Sci. Total Environ. 2018, 618, 1459–1485. [Google Scholar] [CrossRef] [PubMed]
- Yamaguchi, T.; Ishii, K.; Arai, H.; Ohnuma, T.; Matsuyama, S.; Terakawa, A.; Arai, H. Autoradiography of the fruiting body and spore print of wood-cultivated shiitake mushroom (Lentinula edodes) from a restricted habitation area. Mushroom Sci. Biotechnol. 2015, 23, 125–129. [Google Scholar]
- Zhu, C.; Kawamura, K.; Kunwar, B. Organic tracers of primary biological aerosol particles at subtropical Okinawa Island in the western North Pacific Rim. J. Geophys. Res. Atmos. 2015, 120, 5504–5523. [Google Scholar] [CrossRef] [Green Version]
- Zhu, C.; Kawamura, K.; Fu, P. Seasonal variations of biogenic secondary organic aerosol tracers in Cape Hedo, Okinawa. Atmos. Environ. 2016, 130, 113–119. [Google Scholar] [CrossRef]
- Zhu, C.; Kawamura, K.; Fukuda, Y.; Mochida, M.; Iwamoto, Y. Fungal spores overwhelm biogenic organic aerosols in a midlatitudinal forest. Atmos. Chem. Phys. 2016, 16, 7497–7506. [Google Scholar] [CrossRef] [Green Version]
- Fu, P.; Kawamura, K.; Kobayashi, M.; Simoneit, B.R.T. Seasonal variations of sugars in atmospheric particulate matter from Gosan, Jeju Island: Significant contributions of airborne pollen and Asian dust in spring. Atmos. Environ. 2012, 55, 234–239. [Google Scholar] [CrossRef] [Green Version]
- Fu, P.; Zhuang, G.; Sun, Y.; Wang, Q.; Chen, J.; Ren, L.; Yang, F.; Wang, Z.; Pan, X.; Li, X.; et al. Molecular markers of biomass burning, fungal spores and biogenic SOA in the Taklimakan desert aerosols. Atmos. Environ. 2016, 130, 64–73. [Google Scholar] [CrossRef]
- Simoneit, B.R.T.; Elias, V.O.; Kobayashi, M.; Kawamura, K.; Rushdi, A.I.; Medeiros, P.M.; Rogge, W.F.; Didyk, B.M. Sugars-dominant water-soluble organic compound in soils and characterization as tracers in atmospheric particulate matter. Environ. Sci. Technol. 2004, 38, 5939–5949. [Google Scholar] [CrossRef] [PubMed]
- Verma, S.K.; Kawamura, K.; Chen, J.; Fu, P. Thirteen years of observations on primary sugars and sugar alcohols over remote Chichijima Island in the western North Pacific. Atmos. Chem. Phys. 2018, 18, 81–101. [Google Scholar] [CrossRef] [Green Version]
- Simoneit, B.R.T. Biomass burning e a review of organic tracers for smoke from incomplete combustion. Appl. Geochem. 2002, 17, 129–162. [Google Scholar] [CrossRef]
- Boreddy, S.K.; Parvin, F.; Kawamura, K.; Zhu, C.; Lee, C.-T. Influence of forest fires on the formation processes of low molecular weight dicarboxylic acids, ω-oxocarboxylic acids, pyruvic acid and α-dicarbonyls in springtime fine (PM2.5) aerosols over Southeast Asia. Atmos. Environ. 2021, 246, 118065. [Google Scholar] [CrossRef]
- Simoneit, B.R.T.; Kobayashi, M.; Mochida, M.; Kawamura, K.; Huebert, B.J. Aerosol particles collected on aircraft flights over the northwestern Pacific region during the ACE-Asia campaign: Composition and major sources of the organic compounds. J. Geophys. Res. Atmos. 2004, 109, D19S09. [Google Scholar] [CrossRef] [Green Version]
- Simoneit, B.R.T.; Kobayashi, M.; Mochida, M.; Kawamura, K.; Lee, M.; Lim, J.J.; Turpin, B.J.; Komazaki, Y. Composition and major sources of organic compounds of aerosol particulate matter sampled during the ACE-Asia campaign. J. Geophys. Res. 2004, 109, D19S10. [Google Scholar] [CrossRef] [Green Version]
Publisher’s Note: MDPI stays neutral with regard to jurisdictional claims in published maps and institutional affiliations. |
© 2022 by the authors. Licensee MDPI, Basel, Switzerland. This article is an open access article distributed under the terms and conditions of the Creative Commons Attribution (CC BY) license (https://creativecommons.org/licenses/by/4.0/).





