Numerical Study on Microclimate and Outdoor Thermal Comfort of Street Canyon Typology in Extremely Hot Weather—A Case Study of Busan, South Korea
Abstract
:1. Introduction
2. Materials and Methods
2.1. Site Description
2.2. Setting the Street Canyon Scenario
2.2.1. Parametric Simulation Using Taguchi Method
2.2.2. Basic Model Description
2.3. Microclimate Simulation Using ENVI-Met
2.3.1. ENVI-Met Description
2.3.2. Weather Data Input for Simulation
2.4. Parametric Setting of Thermal Comfort Index
2.5. Data Extraction Tool for NetCDF Files from ENVI-Met
3. Results
3.1. Characteristics of the Street Microclimate on the Pedestrian Level
3.1.1. Influence of Air Temperature (Ta)
3.1.2. Influence of Wind Velocity (WVEL)
3.1.3. Influence of Mean Radiant Temperature (MRT)
3.2. Characteristics of Changes in the Street Thermal Comfort (PET Index) on the Pedestrian Level
3.2.1. Influence of PET
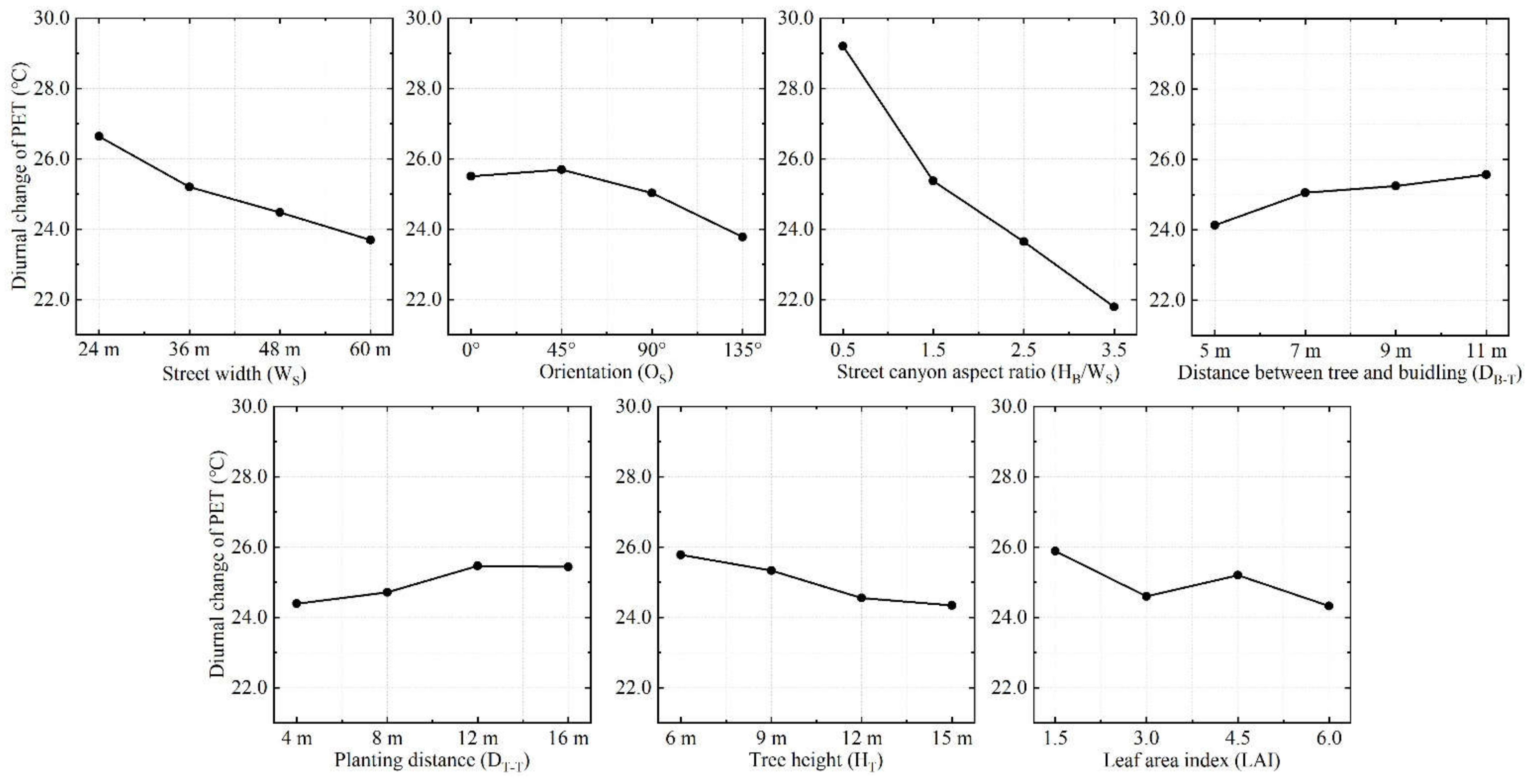
3.2.2. Daily Average Change of PET
4. Discussion
5. Conclusions
Author Contributions
Funding
Institutional Review Board Statement
Informed Consent Statement
Data Availability Statement
Acknowledgments
Conflicts of Interest
References
- Oke, T.R. The Energetic Basis of the Urban Heat Island. Q. J. R. Meteorol. Soc. 1982, 108, 1–24. [Google Scholar] [CrossRef]
 - Hammond, M.J.; Chen, A.S.; Djordjević, S.; Butler, D.; Mark, O. Urban Flood Impact Assessment: A State-of-the-Art Review. Urban Water J. 2015, 12, 14–29. [Google Scholar] [CrossRef] [Green Version]
 - Wang, D.; Lau, K.K.-L.; Ren, C.; Goggins, W.B.I.; Shi, Y.; Ho, H.C.; Lee, T.-C.; Lee, L.-S.; Woo, J.; Ng, E. The Impact of Extremely Hot Weather Events on All-Cause Mortality in a Highly Urbanized and Densely Populated Subtropical City: A 10-Year Time-Series Study (2006–2015). Sci. Total Environ. 2019, 690, 923–931. [Google Scholar] [CrossRef] [PubMed]
 - Kim, G.; Lee, J.; Lee, M.-I.; Kim, D. Impacts of Urbanization on Atmospheric Circulation and Aerosol Transport in a Coastal Environment Simulated by the WRF-Chem Coupled with Urban Canopy Model. Atmos. Environ. 2021, 249, 118253. [Google Scholar] [CrossRef]
 - Chaseling, G.K.; Iglesies-Grau, J.; Juneau, M.; Nigam, A.; Kaiser, D.; Gagnon, D. Extreme Heat and Cardiovascular Health: What a Cardiovascular Health Professional Should Know. Can. J. Cardiol. 2021, 37, 1828–1836. [Google Scholar] [CrossRef] [PubMed]
 - Kenworthy, J.R. The Eco-City: Ten Key Transport and Planning Dimensions for Sustainable City Development. Environ. Urban. 2006, 18, 67–85. [Google Scholar] [CrossRef]
 - Sharifi, A.; Khavarian-Garmsir, A.R. The COVID-19 Pandemic: Impacts on Cities and Major Lessons for Urban Planning, Design, and Management. Sci. Total Environ. 2020, 749, 142391. [Google Scholar] [CrossRef]
 - Bereitschaft, B.; Scheller, D. How Might the COVID-19 Pandemic Affect 21st Century Urban Design, Planning, and Development? Urban Sci. 2020, 4, 56. [Google Scholar] [CrossRef]
 - Teixeira, J.F.; Lopes, M. The Link between Bike Sharing and Subway Use during the COVID-19 Pandemic: The Case-Study of New York’s Citi Bike. Transp. Res. Interdiscip. Perspect. 2020, 6, 100166. [Google Scholar] [CrossRef]
 - UNEP Share the Road. Available online: http://www.unep.org/explore-topics/transport/what-we-do/share-road (accessed on 19 May 2021).
 - Ge, J.; Hokao, K. Applying the Methods of Image Evaluation and Spatial Analysis to Study the Sound Environment of Urban Street Areas. J. Environ. Psychol. 2005, 25, 455–466. [Google Scholar] [CrossRef]
 - Zou, H.; Xu, H.; Zhao, L.; Li, M. The Influence of the Geometric Characteristics of Street Valley on the Wind Environment. In Proceedings of the 11th International Symposium on Heating, Ventilation and Air Conditioning (ISHVAC 2019), Harbin, China, 12–15 July 2019; Wang, Z., Zhu, Y., Wang, F., Wang, P., Shen, C., Liu, J., Eds.; Springer: Singapore, 2020; pp. 989–997. [Google Scholar]
 - Kim, Y.; An, S.; Eum, J.-H.; Woo, J.-H. Analysis of Thermal Environment over a Small-Scale Landscape in a Densely Built-Up Asian Megacity. Sustainability 2016, 8, 358. [Google Scholar] [CrossRef] [Green Version]
 - Falasca, S.; Ciancio, V.; Salata, F.; Golasi, I.; Rosso, F.; Curci, G. High Albedo Materials to Counteract Heat Waves in Cities: An Assessment of Meteorology, Buildings Energy Needs and Pedestrian Thermal Comfort. Build. Environ. 2019, 163, 106242. [Google Scholar] [CrossRef]
 - Kim, K.; Yoon, S. Assessment of Building Damage Risk by Natural Disasters in South Korea Using Decision Tree Analysis. Sustainability 2018, 10, 1072. [Google Scholar] [CrossRef] [Green Version]
 - Tan, Y.; Liu, G.; Zhang, Y.; Shuai, C.; Shen, G.Q. Green Retrofit of Aged Residential Buildings in Hong Kong: A Preliminary Study. Build. Environ. 2018, 143, 89–98. [Google Scholar] [CrossRef]
 - Allegrini, J.; Dorer, V.; Carmeliet, J. Influence of Morphologies on the Microclimate in Urban Neighbourhoods. J. Wind. Eng. Ind. Aerodyn. 2015, 144, 108–117. [Google Scholar] [CrossRef]
 - Wu, J.-D.; Lee, J.-H.; Yoon, S.-H. An Analysis on Micro-climate Characteristic of Apartments in Beijing, China Using ENVI-met Simulation. J. Archit. Inst. Korea Struct. Constr. 2019, 35, 169–176. [Google Scholar]
 - Yang, Y.; Zhou, D.; Wang, Y.; Ma, D.; Chen, W.; Xu, D.; Zhu, Z. Economical and Outdoor Thermal Comfort Analysis of Greening in Multistory Residential Areas in Xi’an. Sustain. Cities Soc. 2019, 51, 101730. [Google Scholar] [CrossRef]
 - Zhang, A.; Bokel, R.; van den Dobbelsteen, A.; Sun, Y.; Huang, Q.; Zhang, Q. An Integrated School and Schoolyard Design Method for Summer Thermal Comfort and Energy Efficiency in Northern China. Build. Environ. 2017, 124, 369–387. [Google Scholar] [CrossRef]
 - Kang, G.; Kim, J.-J.; Choi, W. Computational Fluid Dynamics Simulation of Tree Effects on Pedestrian Wind Comfort in an Urban Area. Sustain. Cities Soc. 2020, 56, 102086. [Google Scholar] [CrossRef]
 - Kim, H.; Jung, Y.; Oh, J.I. Transformation of Urban Heat Island in the Three-Center City of Seoul, South Korea: The Role of Master Plans. Land Use Policy 2019, 86, 328–338. [Google Scholar] [CrossRef]
 - Carter, J.G. Urban Climate Change Adaptation: Exploring the Implications of Future Land Cover Scenarios. Cities 2018, 77, 73–80. [Google Scholar] [CrossRef] [Green Version]
 - Lauriks, T.; Longo, R.; Baetens, D.; Derudi, M.; Parente, A.; Bellemans, A.; van Beeck, J.; Denys, S. Application of Improved CFD Modeling for Prediction and Mitigation of Traffic-Related Air Pollution Hotspots in a Realistic Urban Street. Atmos. Environ. 2021, 246, 118127. [Google Scholar] [CrossRef]
 - Wang, Y.; Zacharias, J. Landscape Modification for Ambient Environmental Improvement in Central Business Districts—A Case from Beijing. Urban For. Urban Green. 2015, 14, 8–18. [Google Scholar] [CrossRef]
 - Jung, S.; Yoon, S. Analysis of the Effects of Floor Area Ratio Change in Urban Street Canyons on Microclimate and Particulate Matter. Energies 2021, 14, 714. [Google Scholar] [CrossRef]
 - Wai, K.-M.; Yuan, C.; Lai, A.; Yu, P.K.N. Relationship between Pedestrian-Level Outdoor Thermal Comfort and Building Morphology in a High-Density City. Sci. Total Environ. 2020, 708, 134516. [Google Scholar] [CrossRef]
 - Deng, J.-Y.; Wong, N.H. Impact of Urban Canyon Geometries on Outdoor Thermal Comfort in Central Business Districts. Sustain. Cities Soc. 2020, 53, 101966. [Google Scholar] [CrossRef]
 - Li, G.; Ren, Z.; Zhan, C. Sky View Factor-Based Correlation of Landscape Morphology and the Thermal Environment of Street Canyons: A Case Study of Harbin, China. Build. Environ. 2020, 169, 106587. [Google Scholar] [CrossRef]
 - Battista, G.; de Lieto Vollaro, R.; Zinzi, M. Assessment of Urban Overheating Mitigation Strategies in a Square in Rome, Italy. Sol. Energy 2019, 180, 608–621. [Google Scholar] [CrossRef]
 - Massetti, L.; Petralli, M.; Napoli, M.; Brandani, G.; Orlandini, S.; Pearlmutter, D. Effects of Deciduous Shade Trees on Surface Temperature and Pedestrian Thermal Stress during Summer and Autumn. Int. J. Biometeorol. 2019, 63, 467–479. [Google Scholar] [CrossRef]
 - Detommaso, M.; Costanzo, V.; Nocera, F. Application of Weather Data Morphing for Calibration of Urban ENVI-Met Microclimate Models. Results and Critical Issues. Urban Clim. 2021, 38, 100895. [Google Scholar] [CrossRef]
 - Salvati, A.; Kolokotroni, M. Microclimate Data for Building Energy Modelling: Study on ENVI-Met Forcing Data. In Proceedings of the Building Simulation 2019: 16th Conference of IBPSA, Rome, Italy, 2–4 September 2019; pp. 3361–3368. [Google Scholar]
 - Yang, W.; Wong, N.H.; Lin, Y. Thermal Comfort in High-Rise Urban Environments in Singapore. Procedia Eng. 2015, 121, 2125–2131. [Google Scholar] [CrossRef]
 - Andreou, E. Thermal Comfort in Outdoor Spaces and Urban Canyon Microclimate. Renew. Energy 2013, 55, 182–188. [Google Scholar] [CrossRef]
 - Huang, K.-T.; Li, Y.-J. Impact of Street Canyon Typology on Building’s Peak Cooling Energy Demand: A Parametric Analysis Using Orthogonal Experiment. Energy Build. 2017, 154, 448–464. [Google Scholar] [CrossRef]
 - Sodoudi, S.; Zhang, H.; Chi, X.; Müller, F.; Li, H. The Influence of Spatial Configuration of Green Areas on Microclimate and Thermal Comfort. Urban For. Urban Green. 2018, 34, 85–96. [Google Scholar] [CrossRef]
 - Detommaso, M.; Gagliano, A.; Marletta, L.; Nocera, F. Sustainable Urban Greening and Cooling Strategies for Thermal Comfort at Pedestrian Level. Sustainability 2021, 13, 3138. [Google Scholar] [CrossRef]
 - Morakinyo, T.E.; Lam, Y.F. Simulation Study on the Impact of Tree-Configuration, Planting Pattern and Wind Condition on Street-Canyon’s Micro-Climate and Thermal Comfort. Build. Environ. 2016, 103, 262–275. [Google Scholar] [CrossRef]
 - Kim, H.-J.; Lee, S.-H. Developing the Volume Models for 5 Major Species of Street Trees in Gwangju Metropolitan City of Korea. Urban For. Urban Green. 2016, 18, 53–58. [Google Scholar] [CrossRef]
 - Yang, Y.; Zhou, D.; Gao, W.; Zhang, Z.; Chen, W.; Peng, W. Simulation on the Impacts of the Street Tree Pattern on Built Summer Thermal Comfort in Cold Region of China. Sustain. Cities Soc. 2018, 37, 563–580. [Google Scholar] [CrossRef]
 - Lee, S.-H.; Lee, H.; Park, S.-B.; Woo, J.-W.; Lee, D.-I.; Baik, J.-J. Impacts of In-Canyon Vegetation and Canyon Aspect Ratio on the Thermal Environment of Street Canyons: Numerical Investigation Using a Coupled WRF-VUCM Model: Thermal Impacts of In-Canyon Vegetation and Canyon Aspect Ratio. Q. J. R. Meteorol. Soc. 2016, 142, 2562–2578. [Google Scholar] [CrossRef]
 - Qin, H.; Hong, B.; Huang, B.; Cui, X.; Zhang, T. How Dynamic Growth of Avenue Trees Affects Particulate Matter Dispersion: CFD Simulations in Street Canyons. Sustain. Cities Soc. 2020, 61, 102331. [Google Scholar] [CrossRef]
 - Wang, L.; Su, J.; Gu, Z.; Tang, L. Numerical Study on Flow Field and Pollutant Dispersion in an Ideal Street Canyon within a Real Tree Model at Different Wind Velocities. Comput. Math. Appl. 2021, 81, 679–692. [Google Scholar] [CrossRef]
 - Havenith, G.; Holmér, I.; Parsons, K. Personal Factors in Thermal Comfort Assessment: Clothing Properties and Metabolic Heat Production. Energy Build. 2002, 34, 581–591. [Google Scholar] [CrossRef]
 - Yang, X.; Zhao, L.; Bruse, M.; Meng, Q. Evaluation of a Microclimate Model for Predicting the Thermal Behavior of Different Ground Surfaces. Build. Environ. 2013, 60, 93–104. [Google Scholar] [CrossRef]
 - Forouzandeh, A. Prediction of Surface Temperature of Building Surrounding Envelopes Using Holistic Microclimate ENVI-Met Model. Sustain. Cities Soc. 2021, 70, 102878. [Google Scholar] [CrossRef]
 - Perini, K.; Magliocco, A. Effects of Vegetation, Urban Density, Building Height, and Atmospheric Conditions on Local Temperatures and Thermal Comfort. Urban For. Urban Green. 2014, 13, 495–506. [Google Scholar] [CrossRef]
 - Simon, H.; Lindén, J.; Hoffmann, D.; Braun, P.; Bruse, M.; Esper, J. Modeling Transpiration and Leaf Temperature of Urban Trees—A Case Study Evaluating the Microclimate Model ENVI-Met against Measurement Data. Landsc. Urban Plan. 2018, 174, 33–40. [Google Scholar] [CrossRef]
 - Middel, A.; Chhetri, N.; Quay, R. Urban Forestry and Cool Roofs: Assessment of Heat Mitigation Strategies in Phoenix Residential Neighborhoods. Urban For. Urban Green. 2015, 14, 178–186. [Google Scholar] [CrossRef]
 - Acero, J.A.; Arrizabalaga, J. Evaluating the Performance of ENVI-Met Model in Diurnal Cycles for Different Meteorological Conditions. Theor. Appl. Climatol. 2018, 131, 455–469. [Google Scholar] [CrossRef]
 - Salata, F.; Golasi, I.; de Lieto Vollaro, R.; de Lieto Vollaro, A. Urban Microclimate and Outdoor Thermal Comfort. A Proper Procedure to Fit ENVI-Met Simulation Outputs to Experimental Data. Sustain. Cities Soc. 2016, 26, 318–343. [Google Scholar] [CrossRef]
 - Alznafer, B.M. The Impact of Neighbourhood Geometries on Outdoor Thermal Comfort and Energy Consumption from Urban Dwellings: A Case Study of the Riyadh City, the Kingdom of Saudi Arabia. Ph.D. Thesis, Cardiff University, Cardiff, UK, 2014. [Google Scholar]
 - Yang, X.; Zhao, L.; Bruse, M.; Meng, Q. An Integrated Simulation Method for Building Energy Performance Assessment in Urban Environments. Energy Build. 2012, 54, 243–251. [Google Scholar] [CrossRef]
 - Ali-Toudert, F.; Mayer, H. Numerical Study on the Effects of Aspect Ratio and Orientation of an Urban Street Canyon on Outdoor Thermal Comfort in Hot and Dry Climate. Build. Environ. 2006, 41, 94–108. [Google Scholar] [CrossRef]
 - Kottek, M.; Grieser, J.; Beck, C.; Rudolf, B.; Rubel, F. World Map of the Köppen-Geiger Climate Classification Updated. Meteorol. Z. 2006, 15, 259–263. [Google Scholar] [CrossRef]
 - Taguchi, G. Quality Engineering (Taguchi Methods) for the Development of Electronic Circuit Technology. IEEE Trans. Reliab. 1995, 44, 225–229. [Google Scholar] [CrossRef]
 - Sijo, M.T.; Biju, N. Taguchi Method for Optimization of Cutting Parameters in Turning Operations. Int. J. Manuf. Mater. Sci. 2011, 1, 44–46. [Google Scholar]
 - NYC Parks NYC Street Design Manual. Available online: https://www.nycstreetdesign.info/landscape/tree-bed (accessed on 7 December 2021).
 - The Seattle Department of Transportation the Seattle Department of Transportation STREET TREE MANUAL. Available online: https://online.fliphtml5.com/vdxa/xolp/#p=6 (accessed on 7 December 2021).
 - Trees and Design Action Group Trees in Hard Landscapes: A Guide for Delivery. Available online: https://www.tdag.org.uk/trees-in-hard-landscapes.html (accessed on 7 December 2021).
 - Li, Z. Urban Landscape Planning and Design; II; China Architecture & Building Press: Shanghai, China, 2006; ISBN 7-112-08056-8. [Google Scholar]
 - Shanghai Municipal Administration of Planning. Shanghai Street Design Guidelines; Tongji University Press: Shanghai, China, 2016; ISBN 978-7-5608-6567-6. [Google Scholar]
 - Bréda, N.J.J. Ground-based Measurements of Leaf Area Index: A Review of Methods, Instruments and Current Controversies. J. Exp. Bot. 2003, 54, 2403–2417. [Google Scholar] [CrossRef]
 - Bruse, M.; Fleer, H. Simulating Surface–Plant–Air Interactions inside Urban Environments with a Three Dimensional Numerical Model. Environ. Model. Softw. 1998, 13, 373–384. [Google Scholar] [CrossRef]
 - Chatzinikolaou, E.; Chalkias, C.; Dimopoulou, E. URBAN MICROCLIMATE IMPROVEMENT USING ENVI-MET CLIMATE MODEL. Int. Arch. Photogramm. Remote Sens. Spat. Inf. Sci. 2018, XLII–4, 69–76. [Google Scholar] [CrossRef] [Green Version]
 - Tsoka, S.; Tsikaloudaki, A.; Theodosiou, T. Analyzing the ENVI-Met Microclimate Model’s Performance and Assessing Cool Materials and Urban Vegetation Applications–A Review. Sustain. Cities Soc. 2018, 43, 55–76. [Google Scholar] [CrossRef]
 - Huttner, S. Further Development and Application of the 3D Microclimate Simulation ENVI-Met. Ph.D. Thesis, Johannes Gutenberg-Universität, Mainz, Germany, 2012. [Google Scholar]
 - Höppe, P.R. Heat Balance Modelling. Experientia 1993, 49, 741–746. [Google Scholar] [CrossRef]
 - Höppe, P. The Physiological Equivalent Temperature—A Universal Index for the Biometeorological Assessment of the Thermal Environment. Int. J. Biometeorol. 1999, 43, 71–75. [Google Scholar] [CrossRef]
 - Jacobs, C.; Klok, L.; Bruse, M.; Cortesão, J.; Lenzholzer, S.; Kluck, J. Are Urban Water Bodies Really Cooling? Urban Clim. 2020, 32, 100607. [Google Scholar] [CrossRef]
 - Fischereit, J.; Schlünzen, K.H. Evaluation of Thermal Indices for Their Applicability in Obstacle-Resolving Meteorology Models. Int. J. Biometeorol. 2018, 62, 1887–1900. [Google Scholar] [CrossRef] [PubMed] [Green Version]
 - Yang, Y.; Lan, H. Overview of the Application of Numerical Simulation Tools in the Field of Urban Microclimate Research—Taking ENVI-Met Software as an Example. Available online: http://www.chinahvac.com.cn/Article/Index/4671 (accessed on 25 October 2021).
 - Chen, L.; Ng, E.; An, X.; Ren, C.; Lee, M.; Wang, U.; He, Z. Sky View Factor Analysis of Street Canyons and Its Implications for Daytime Intra-Urban Air Temperature Differentials in High-Rise, High-Density Urban Areas of Hong Kong: A GIS-Based Simulation Approach. Int. J. Climatol. 2012, 32, 121–136. [Google Scholar] [CrossRef]
 - Matzarakis, A.; Mayer, H. Another Kind of Environmental Stress: Thermal Stress. WHO Collab. Cent. Air Qual. Manag. Air Pollut. Control. 1996, 18, 7–10. [Google Scholar]
 - Unger, J. Intra-Urban Relationship between Surface Geometry and Urban Heat Island: Review and New Approach. Clim. Res. 2004, 27, 253–264. [Google Scholar] [CrossRef] [Green Version]
 - Lai, D.; Liu, W.; Gan, T.; Liu, K.; Chen, Q. A Review of Mitigating Strategies to Improve the Thermal Environment and Thermal Comfort in Urban Outdoor Spaces. Sci. Total Environ. 2019, 661, 337–353. [Google Scholar] [CrossRef]
 - Yoon, J.-O. The Characteristics for Wind in the 29 Cities of Korea. J. Archit. Inst. Korea Plan. Des. 2003, 19, 229–236. [Google Scholar]
 - Mballo, S.; Herpin, S.; Manteau, M.; Demotes-Mainard, S.; Bournet, P.E. Impact of Well-Watered Trees on the Microclimate inside a Canyon Street Scale Model in Outdoor Environment. Urban Clim. 2021, 37, 100844. [Google Scholar] [CrossRef]
 - Zhang, L.; Zhang, Z.; McNulty, S.; Wang, P. The Mitigation Strategy of Automobile Generated Fine Particle Pollutants by Applying Vegetation Configuration in a Street-Canyon. J. Clean. Prod. 2020, 274, 122941. [Google Scholar] [CrossRef]
 - Morakinyo, T.E.; Dahanayake, K.W.D.; Kalani, C.; Ng, E.; Chow, C.L. Temperature and Cooling Demand Reduction by Green-Roof Types in Different Climates and Urban Densities: A Co-Simulation Parametric Study. Energy Build. 2017, 145, 226–237. [Google Scholar] [CrossRef]
 













| Site | ID | Dimension (m)  | WS (m)  | Main OS  | Avg. HB/WS  | Number of Trees | Distribution | Tree Species  | Avg. DB–T (m)  | Avg. DT–T (m)  | Avg. HT (m)  | 
|---|---|---|---|---|---|---|---|---|---|---|---|
| Nampodong | OC1 | 80 × 130 | 17 | S by E 18° | 0.9 | 8 | One-side, uneven | Gingko | 3.8 | 5.4 | 12.2 | 
| OC2 | 140 × 140 | 41 | E by S 16° | 0.4 | 16 | Both sides, uneven | Gingko | 6.1 | 12.0 | 15.4 | |
| OC3 | 120 × 140 | 36 | E by N 18° | 0.5 | 10 | Both sides, uneven | Gingko | 6.0 | 10.7 | 14.7 | |
| OC4 | 160 × 100 | 21 | E by N 16° | 1.3 | 14 | One-side, even | Palm | 6.5 | 4.8 | 4.3 | |
| Seomyeon | CC1 | 130 × 170 | 20 | S by E 34° | 1.5 | 27 | Both sides, even | Zelkova | 4.3 | 6.2 | 7.3 | 
| CC2 | 125 × 170 | 33 | N by E 32° | 1.7 | 13 | Both sides, uneven | Platanus | 5.2 | 9.6 | 17.4 | |
| CC3 | 210 × 160 | 49 | E | 1.6 | 29 | Both sides, uneven | Zelkova | 7.5 | 13.2 | 13.8 | |
| CC4 | 100 × 140 | 25 | S | 1.0 | 17 | Both sides, uneven | Gingko | 5.7 | 9.9 | 12.9 | |
| CC5 | 130 × 120 | 33 | S | 1.3 | 11 | Both sides, uneven | Gingko | 4.8 | 10.3 | 16.4 | |
| Centum | NC1 | 190 × 150 | 34 | S by E 34° | 1.2 | 12 | Both sides, uneven | Zelkova | 10.3 | 6.5 | 9.2 | 
| NC2 | 310 × 210 | 36 | E by N 35° | 2.8 | 24 | Both sides, even | Zelkova | 8.1 | 8.1 | 8.6 | |
| NC3 | 290 × 350 | 44 | E by S 29° | 1.4 | 144 | Both sides, even | Zelkova | 9.2 | 7.9 | 9.0 | |
| NC4 | 230 × 250 | 38 | E by N 34° | 2.4 | 30 | Both sides, even | Zelkova | 7.6 | 7.4 | 9.2 | |
| NC5 | 220 × 250 | 67 | E by N 34° | 1.3 | 91 | Both sides, even | Zelkova | 16.3 | 7.0 | 10.4 | 
| Factors | WS (m) | OS (°) | HB/WS | DB-T (m) | DT-T (m) | HT (m) | LAI | 
|---|---|---|---|---|---|---|---|
| Level 1 | 24 | 0° (N–S) | 0.5 | 5 | 4 | 6 | 1.5 | 
| Level 2 | 36 | 45° (NE–SW) | 1.5 | 7 | 8 | 9 | 3.0 | 
| Level 3 | 48 | 90° (E–W) | 2.5 | 9 | 12 | 12 | 4.5 | 
| Level 4 | 60 | 135° (SE–NW) | 3.5 | 11 | 16 | 15 | 6.0 | 
| No. | WS (m) | OS (°) | HB/WS | DB-T (m) | DT-T (m) | HT (m) | LAI | 
|---|---|---|---|---|---|---|---|
| 1 | 24 | 0° (N–S) | 0.5 | 5 | 4 | 6 | 1.5 | 
| 2 | 24 | 90° (E–W) | 1.5 | 7 | 8 | 9 | 3.0 | 
| 3 | 24 | 45° (NE–SW) | 2.5 | 9 | 12 | 12 | 4.5 | 
| 4 | 24 | 135° (SW–NW) | 3.5 | 11 | 16 | 15 | 6.0 | 
| 5 | 36 | 0° (N–S) | 1.5 | 9 | 12 | 12 | 6 | 
| 6 | 36 | 90° (E–W) | 0.5 | 11 | 16 | 15 | 4.5 | 
| 7 | 36 | 45° (NE–SW) | 3.5 | 5 | 4 | 6 | 3 | 
| 8 | 36 | 135° (SW–NW) | 2.5 | 7 | 8 | 9 | 1.5 | 
| 9 | 48 | 0° (N–S) | 2.5 | 5 | 8 | 9 | 4.5 | 
| 10 | 48 | 90° (E–W) | 3.5 | 7 | 4 | 6 | 6 | 
| 11 | 48 | 45° (NE–SW) | 0.5 | 9 | 16 | 15 | 1.5 | 
| 12 | 48 | 135° (SW–NW) | 1.5 | 11 | 12 | 12 | 3 | 
| 13 | 60 | 0° (N–S) | 3.5 | 9 | 16 | 15 | 3 | 
| 14 | 60 | 90° (E–W) | 2.5 | 11 | 12 | 12 | 1.5 | 
| 15 | 60 | 45° (NE–SW) | 1.5 | 5 | 8 | 9 | 6 | 
| 16 | 60 | 135° (SW–NW) | 0.5 | 7 | 4 | 6 | 4.5 | 
| 17 | 24 | 0° (N–S) | 0.5 | 7 | 12 | 12 | 3 | 
| 18 | 24 | 90° (E–W) | 2.5 | 5 | 16 | 15 | 1.5 | 
| 19 | 24 | 45° (NE–SW) | 1.5 | 11 | 4 | 6 | 6 | 
| 20 | 24 | 135° (SW–NW) | 3.5 | 9 | 8 | 9 | 4.5 | 
| 21 | 36 | 0° (N–S) | 1.5 | 11 | 4 | 6 | 4.5 | 
| 22 | 36 | 90° (E–W) | 0.5 | 9 | 8 | 9 | 6 | 
| 23 | 36 | 45° (NE–SW) | 3.5 | 7 | 12 | 12 | 1.5 | 
| 24 | 36 | 135° (SW–NW) | 2.5 | 5 | 16 | 15 | 3 | 
| 25 | 48 | 0° (N–S) | 2.5 | 7 | 16 | 15 | 6 | 
| 26 | 48 | 90° (E–W) | 3.5 | 5 | 12 | 12 | 4.5 | 
| 27 | 48 | 45° (NE–SW) | 0.5 | 11 | 8 | 9 | 3 | 
| 28 | 48 | 135° (SW–NW) | 1.5 | 9 | 4 | 6 | 1.5 | 
| 29 | 60 | 0° (N–S) | 3.5 | 11 | 8 | 9 | 1.5 | 
| 30 | 60 | 90° (E–W) | 2.5 | 9 | 4 | 6 | 3 | 
| 31 | 60 | 45° (NE–SW) | 1.5 | 7 | 16 | 15 | 4.5 | 
| 32 | 60 | 135° (SW–NW) | 0.5 | 5 | 12 | 12 | 6 | 
| General Simulation Settings | Parameter | 
|---|---|
| Location | Busan, South Korea. 35.05° N, 128.35° E | 
| Simulation start day | 2016.08.13 | 
| Nesting grids | 5 | 
| Grid size | 2 m × 2 m × 2 m | 
| Initial wind speed | 2.8 m/s | 
| Wind direction (N = 0°, E = 90°…) | 200° | 
| Roughness length | 0.1 | 
| Lateral boundary conditions | Full forcing with air temperature and relative humidity | 
| Columns | Value | |
|---|---|---|
| Body parameters | Age of person | 35 | 
| Gender | Male | |
| Weight | 75 kg | |
| Height | 1.75 m | |
| Surface area | 1.91 m2 | |
| Clothing parameters | Static clothing insulation | 0.9 clo | 
| Metabolism of the person | Basal rate | 84.49 W | 
| Work metabolism | 80 W | |
| Calculate from walking speed | 1.21 m/s | |
| Total metabolic rate | 164.49 W | |
| Factors | F. | p Value | 
|---|---|---|
| Street width (WS) | 13.561 | 0.001 | 
| Orientation (OS) | 27.968 | 0.000 | 
| Street canyon aspect ratio (HB/WS) | 205.825 | 0.000 | 
| Distance between tree and building (DB-T) | 0.482 | 0.702 | 
| Planting distance (DT-T) | 4.845 | 0.025 | 
| Tree height (HT) | 6.499 | 0.010 | 
| Leaf area index (LAI) | 0.256 | 0.856 | 
| Factors | F. | p Value | 
|---|---|---|
| Street width (WS) | 14.300 | 0.001 | 
| Orientation (OS) | 14.446 | 0.001 | 
| Street canyon aspect ratio (HB/WS) | 187.892 | 0.000 | 
| Distance between tree and building (DB-T) | 0.558 | 0.655 | 
| Planting distance (DT-T) | 4.663 | 0.027 | 
| Tree height (HT) | 6.165 | 0.012 | 
| Leaf area index (LAI) | 0.198 | 0.895 | 
| Factors | F. | p Value | 
|---|---|---|
| Street width (WS) | 8.263 | 0.005 | 
| Orientation (OS) | 10.905 | 0.002 | 
| Street canyon aspect ratio (HB/WS) | 11.943 | 0.001 | 
| Distance between tree and building (DB-T) | 4.061 | 0.040 | 
| Planting distance (DT-T) | 1.189 | 0.363 | 
| Tree height (HT) | 0.750 | 0.547 | 
| Leaf area index (LAI) | 3.861 | 0.045 | 
| Factors | F. | p Value | 
|---|---|---|
| Street width (WS) | 18.434 | 0.000 | 
| Orientation (OS) | 11.140 | 0.002 | 
| Street canyon aspect ratio (HB/WS) | 93.723 | 0.000 | 
| Distance between tree and building (DB-T) | 4.573 | 0.029 | 
| Planting distance (DT-T) | 4.997 | 0.023 | 
| Tree height (HT) | 9.260 | 0.003 | 
| Leaf area index (LAI) | 1.498 | 0.274 | 
| Factors | F. | p Value | 
|---|---|---|
| Street width (WS) | 52.483 | 0.000 | 
| Orientation (OS) | 17.775 | 0.000 | 
| Street canyon aspect ratio (HB/WS) | 169.603 | 0.000 | 
| Distance between tree and building (DB-T) | 23.920 | 0.000 | 
| Planting distance (DT-T) | 28.344 | 0.000 | 
| Tree height (HT) | 14.355 | 0.001 | 
| Leaf area index (LAI) | 18.409 | 0.000 | 
| Factors | F. | p Value | 
|---|---|---|
| Street width (WS) | 21.854 | 0.000 | 
| Orientation (OS) | 10.629 | 0.002 | 
| Street canyon aspect ratio (HB/WS) | 170.002 | 0.000 | 
| Distance between tree and building (DB-T) | 0.616 | 0.620 | 
| Planting distance (DT-T) | 3.321 | 0.065 | 
| Tree height (HT) | 16.399 | 0.000 | 
| Leaf area index (LAI) | 1.696 | 0.231 | 
| Factors | F. | p Value | 
|---|---|---|
| Street width (WS) | 28.291 | 0.000 | 
| Orientation (OS) | 12.067 | 0.001 | 
| Street canyon aspect ratio (HB/WS) | 180.272 | 0.000 | 
| Distance between tree and building (DB-T) | 2.981 | 0.083 | 
| Planting distance (DT-T) | 8.793 | 0.004 | 
| Tree height (HT) | 12.541 | 0.001 | 
| Leaf area index (LAI) | 4.390 | 0.032 | 
| Factors | F. | p Value | 
|---|---|---|
| Street width (WS) | 5.868 | 0.014 | 
| Orientation (OS) | 9.778 | 0.003 | 
| Street canyon aspect ratio (HB/WS) | 71.911 | 0.000 | 
| Distance between tree and building (DB-T) | 0.240 | 0.866 | 
| Planting distance (DT-T) | 2.445 | 0.124 | 
| Tree height (HT) | 3.759 | 0.048 | 
| Leaf area index (LAI) | 0.275 | 0.842 | 
Publisher’s Note: MDPI stays neutral with regard to jurisdictional claims in published maps and institutional affiliations.  | 
© 2022 by the authors. Licensee MDPI, Basel, Switzerland. This article is an open access article distributed under the terms and conditions of the Creative Commons Attribution (CC BY) license (https://creativecommons.org/licenses/by/4.0/).
Share and Cite
Wu, J.; Chang, H.; Yoon, S. Numerical Study on Microclimate and Outdoor Thermal Comfort of Street Canyon Typology in Extremely Hot Weather—A Case Study of Busan, South Korea. Atmosphere 2022, 13, 307. https://doi.org/10.3390/atmos13020307
Wu J, Chang H, Yoon S. Numerical Study on Microclimate and Outdoor Thermal Comfort of Street Canyon Typology in Extremely Hot Weather—A Case Study of Busan, South Korea. Atmosphere. 2022; 13(2):307. https://doi.org/10.3390/atmos13020307
Chicago/Turabian StyleWu, Jindong, Han Chang, and Seonghwan Yoon. 2022. "Numerical Study on Microclimate and Outdoor Thermal Comfort of Street Canyon Typology in Extremely Hot Weather—A Case Study of Busan, South Korea" Atmosphere 13, no. 2: 307. https://doi.org/10.3390/atmos13020307
APA StyleWu, J., Chang, H., & Yoon, S. (2022). Numerical Study on Microclimate and Outdoor Thermal Comfort of Street Canyon Typology in Extremely Hot Weather—A Case Study of Busan, South Korea. Atmosphere, 13(2), 307. https://doi.org/10.3390/atmos13020307
        
                                                
