Research on Pre-Seismic Feature Recognition of Spatial Electric Field Data Recorded by CSES
Abstract
:1. Introduction
2. Data and Methods
2.1. Electric Field Detector
2.2. Data Selection
2.3. Geomagnetic Background
2.4. Research Methods
2.4.1. Residual Feature Extraction
2.4.2. Empirical Mode Decomposition Feature Extraction
3. Results
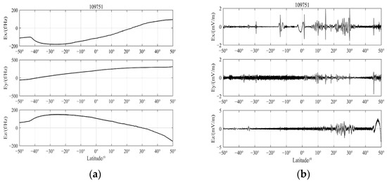
3.1. Extraction of Abnormal Information from Residual Sequence
3.2. Extraction of Disturbance Signal Based on EMD
4. Discussion
5. Conclusions
- (1)
- Before the earthquake in southern Cuba, the abnormal ULF signal can be observed near the epicenter, which is manifested as an increase or attenuation of the signal before the earthquake. This may be a waveform disturbance caused by the change of the frequency component of the space radiation signal caused by the earthquake.
- (2)
- The spatial distribution range of the disturbance is mostly concentrated in the epicentral area (10° N~20° N), but there is also a phenomenon that the disturbance signal shifts to the equator; the disturbance of the conjugate area is most obvious on the data from the orbits on the west and east side of the seismogenic zone close to the epicenter.
- (3)
- The signal after the three-component decomposition of the electric field waveform has good synchronization in the epicentral disturbance area, but there are certain overall shape differences.
Author Contributions
Funding
Institutional Review Board Statement
Informed Consent Statement
Data Availability Statement
Acknowledgments
Conflicts of Interest
References
- Ye, Q.; Fan, Y.; Du, X.B.; Cui, T.F.; Zhou, K.C.; Singh, R.P. Diurnal characteristics of geoelectric fields and their changes associated with the Alxa Zuoqi MS5.8 earthquake on 15 April 2015 (Inner Mongolia). Earthq. Sci. 2018, 31, 35–43. [Google Scholar] [CrossRef]
- Li, M.; Lu, J.; Zhang, X.; Shen, X. Indications of Ground-based Electromagnetic Observations to A Possible Lithosphere–Atmosphere–Ionosphere Electromagnetic Coupling before the 12 May 2008 Wenchuan MS8.0 Earthquake. Atmosphere 2019, 10, 355. [Google Scholar] [CrossRef] [Green Version]
- Liu, J.; Wan, W.X.; Huang, J.P.; Zhang, X.M.; Zhao, S.F.; Ouyang, X.Y.; Zeren, Z. Electron density perturbation before Chile M8.8 earthquake. Chin. J. Geophys. 2011, 54, 2717–2725. (In Chinese) [Google Scholar] [CrossRef]
- Namgaladze, A.; Karpov, M.; Knyazeva, M. Seismogenic Disturbances of the Ionosphere during High Geomagnetic Activity. Atmosphere 2019, 10, 359. [Google Scholar] [CrossRef] [Green Version]
- Ouyang, X.Y.; Zhang, X.M.; Shen, X.H.; Huang, J.P.; Liu, J.; Zeren, Z.; Zhao, S.F. Disturbance of O+ densitybefore major earthquake detected by DEMETER satellite. Chin. J. Space Sci. 2011, 31, 607–617. [Google Scholar]
- Chen, C.-H.; Sun, Y.-Y.; Lin, K.; Liu, J.; Wang, Y.; Gao, Y.; Zhang, D.; Xu, R.; Chen, C. The LAI Coupling Associated with the M6 Luxian Earthquake in China on 16 September 2021. Atmosphere 2021, 12, 1621. [Google Scholar] [CrossRef]
- Henderson, T.R.; Sonwalkar, V.S.; Helliwell, R.A.; Inan, U.S.; Fraser-Smith, A.C. A search for ELF/VLF emissions induced by earthquakes as observed in the ionosphere by the DE 2 satellite. J. Geophys. Res. Space Phys. 1993, 98, 9503–9514. [Google Scholar] [CrossRef]
- Yan, R.; Parrot, M.; Pinçon, J.-L. Statistical Study on Variations of the Ionospheric Ion Density Observed by DEMETER and Related to Seismic Activities. J. Geophys. Res. Space Phys. 2017, 122, 12421–12429. [Google Scholar] [CrossRef] [Green Version]
- Hayakawa, M.; Hattori, K.; Ohta, K. Monitoring of ULF (ultra-low-frequency) geomagnetic variations associated with earthquakes. Sensors 2007, 7, 1108–1122. [Google Scholar] [CrossRef] [Green Version]
- Febriani, F.; Ahadi, S.; Anggono, T.; Dewi, C.N.; Prasetio, A.D. Applying Wavelet Analysis to Assess the Ultra Low Frequency (ULF) Geomagnetic Anomalies prior to the M6.1 Banten Earthquake (2018). IOP Conf. Ser. Earth Environ. Sci. 2021, 789, 012064. [Google Scholar] [CrossRef]
- Fenoglio, M.A.; Johnston, M.J.S.; Byerlee, J.D. Magnetic and electric fields associated with changes in high pore pressure in fault zones: Application to the Loma Prieta ULF emissions. J. Geophys. Res. Solid Earth 1995, 100, 12951–12958. [Google Scholar] [CrossRef]
- Zhao, S.F.; Liao, L.; Zhang, X.M. Trans-ionospheric VLF wave power absorption of terrestrial VLF signal. Chin. J. Geophys. 2017, 60, 3004–3014. (In Chinese) [Google Scholar] [CrossRef]
- Jiadong, Q.; Qinzhong, M.; Shaonong, L. Further study on the anomalies in apparent resistivity in the NE configuration at Chengdu station associated with Wenchuan Ms8,0 earthquake. Acta Sismol. Sin. 2012, 35, 4–17. [Google Scholar]
- Pulinets, S.; Boyarchuk, K. Ionospheric Precursors of Earthquakes. In Ionospheric Precursors of Earthquakes; Springer: Berlin/Heidelberg, Germany, 2005. [Google Scholar] [CrossRef]
- Varotsos, P.; Alexopoulos, K.; Nomicos, K.; Lazaridou, M. Earthquake prediction and electric signals. Nature 1986, 322, 120. [Google Scholar] [CrossRef]
- Ouyang, X.Y.; Parrot, M.; Bortnik, J. ULF Wave Activity Observed in the Nighttime Ionosphere above and Some Hours before Strong Earthquakes. J. Geophys. Res. Space Phys. 2020, 125, e2020JA028396. [Google Scholar] [CrossRef]
- Ouyang, X.Y.; Shen, X.H. A method for pre-processing UL.F electric field disturbances observed by DEMETER and its case application analysis. Acta Seismol. Sin. 2015, 37, 820–829. [Google Scholar] [CrossRef]
- Ouyang, X.Y.; Shen, X.H. The interference analysis of ULF electric field waveform observed by DEMETER satellite. Seismol. Geomagn. Obs. Res. 2015, 36, 19–25. [Google Scholar]
- Zeren, Z.M.; Shen, X.H.; Cao, J.B.; Zhang, X.M.; Huang, J.P.; Liu, J.; Ouyang, X.Y.; Zhao, S.F. Statistical analysis of EL.F/VLF magnetic field disturbances before major earthquakes. Chin. J. Geo. Phys. 2012, 55, 3699–3708. (In Chinese) [Google Scholar] [CrossRef]
- Zeren, Z.; Zhang, X.; Liu, J.; Ouyang, X.; Xiong, P.; Shen, X. Using DEMETER satellite LANGMIUR probe observation data to study ionospheric disturbances before strong earthquakes. Seismol. Geol. 2010, 32, 424–433. [Google Scholar]
- Shen, X.H.; Zhang, X.M.; Yuan, S.G.; Wang, L.W.; Cao, J.B.; Huang, J.P.; Zhu, X.H. Piergiorgio, P.; Dai, J.P. The state-of-the-art of the China Seismo-Electromagnetic Satellite mission. Sci. Chin. Technol. Sci. 2018, 61, 634–642. [Google Scholar] [CrossRef]
- Huang, J.P.; Shen, X.H.; Zhang, X.M.; Lu, H.X.; Tan, Q.; Wang, Q.; Yan, R.; Chu, W.; Yang, Y.Y.; Liu, D.P.; et al. Application system and data description of the China Seismo-Electromagnetic Satellite. Earth Planet. Phys. 2018, 2, 444–454. [Google Scholar] [CrossRef]
- Cao, B.N.; Ge, Z.X. 2020 Mw7.7 Caribbean Sea earthquake: A supershear event revealed by teleseismic P wave back-projection method. Chin. J. Geo. Phys. 2021, 64, 1558–1568. (In Chinese) [Google Scholar] [CrossRef]
- Li, M. The Statistical Characteristics of Seismic Ionospheric Anomalies and the Study of Earth-Atmosphere Electromagnetic Coupling based on the Wenchuan M_S8.0 Earthquake. Ph.D. Thesis, China University of Geosciences: Beijing, China, 2015. [Google Scholar]
- Huang, J.P.; Lei, J.G.; Li, S.X.; Zeren, Z.M.; Li, L.; Zhu, X.H.; Yu, W.H. The Electric Field Detector(EFD) onboard the ZH-1 satellite and first observational results. Earth Planet. Phys. 2018, 2, 469–478. [Google Scholar] [CrossRef]
- Ma, M.J.; Li, C.; Lei, J.G.; Li, S.X.; Wang, R.F.; Zong, C.; Liu, Z.; Chen, T.; Cui, Y. Experimental study on ZH-1SEFD for CSES in the ground simulating plasma environments. Planet. Space Sci. 2020, 192, 105006. [Google Scholar] [CrossRef]
- Diego, P.; Bertello, I.; Candidi, M.; Mura, A.; Coco, I.; Vannaroni, G.; Ubertini, P.; Badoni, D. Electric field computation analysis for the Electric Field Detector (EFD) on board the China Seismic-Electromagnetic Satellite (CSES). Adv. Space Res. 2017, 60, 2206–2216. [Google Scholar] [CrossRef]
- Dobrovolsky, I.P.; Zubkov, S.I.; Miachkin, V.I. Estimation of the size of earthquake preparation zones. Pure Appl. Geophys. PAGEOPH 1979, 117, 1025–1044. [Google Scholar] [CrossRef]
- Xu, W. Geomagnetism; Seismological Press: Beijing, China, 2003; pp. 288–296. [Google Scholar]
- Quan, Q.; Cai, K.Y. Time-domain analysis of the Savitzky–Golay filters. Digit. Signal Process. 2012, 22, 238–245. [Google Scholar] [CrossRef]
- Han, B. Wavelet Transform and Its Application in Seismic Electromagnetic Signal Analysis. Master’s Thesis, Institute of Geology, China Earthquake Administration: Beijing, China, 2014. [Google Scholar]
- Han, P.; Hattori, K.; Huang, Q.; Hirano, T.; Ishiguro, Y.; Yoshino, C.; Febriani, F. Evaluation of ULF electromagnetic phenomena associated with the 2000 Izu Islands earthquake swarm by wavelet transform analysis. Nat. Hazards Earth Syst. Sci. 2011, 11, 965–970. [Google Scholar] [CrossRef] [Green Version]
- Liu, J.; Gu, Y.; Chou, Y.; Gu, J. Seismic data random noise reduction using a method based on improved complementary ensemble EMD and adaptive interval threshold. Explor. Geophys. 2021, 52, 137–149. [Google Scholar]
- Lu, J.; Wang, Z. The Systematic Bias of Entropy Calculation in the Multi-Scale Entropy Algorithm. Entropy 2021, 23, 659. [Google Scholar] [CrossRef]
- Richman, J.S.; Moorman, J.R. Physiological time-series analysis using approximate entropy and sample entropy. Am. J. Physiology. Heart Circ. Physiol. 2000, 278, H2039–H2049. [Google Scholar] [CrossRef] [PubMed] [Green Version]
- Spogli, L.; Sabbagh, D.; Regi, M.; Cesaroni, C.; Perrone, L.; Alfonsi, L.; Di Mauro, D.; Lepidi, S.; Campuzano, S.A.; Marchetti, D.; et al. Ionospheric Response Over Brazil to the August 2018 Geomagnetic Storm as Probed by CSES-01 and Swarm Satellites and by Local Ground-Based Observations. J. Geophys. Res. Space Phys. 2021, 126, e2020JA028368. [Google Scholar] [CrossRef]
- Li, M.; Shen, X.; Parrot, M.; Zhang, X.; Zhang, Y.; Yu, C.; Yan, R.; Liu, D.; Lu, H.; Guo, F.; et al. Primary Joint Statistical Seismic Influence on Ionospheric Parameters Recorded by the CSES and DEMETER Satellites. J. Geophys. Res. Space Phys. 2020, 125, e2020JA028116. [Google Scholar] [CrossRef]
- Kuo, C.L.; Huba, G.; Joyce, G.; Lee, L.C. Ionosphere plasma bubbles and density variations induced by pre-earthquake rock currents and associated surface charges. J. Geophys. Res. Space Phys. 2011, 116, A10317. [Google Scholar] [CrossRef] [Green Version]
- Kuo, C.L.; Lee, L.C.; Huba, J.D. An improved coupling model for the lithosphere-atmosphere-ionosphere system. J. Geophys. Res. Space Phys. 2014, 119, 3189–3205. [Google Scholar] [CrossRef]
- Zeren, Z.M.; Hu, Y.; Shen, X.; Chu, W.; Piersanti, M.; Parmentier, A.; Zhang, Z.; Wang, Q.; Huang, J.; Zhao, S.; et al. Storm-Time Features of the Ionospheric ELF/VLF Waves and Energetic Electron Fluxes Revealed by the China Seismo-Electromagnetic Satellite. Appl. Sci. 2021, 11, 2617. [Google Scholar]
- Gokhberg, M.B.; Pilipenko, V.A.; Pokhotelov, O.A. Satellite observation of the electromagnetic radiation above the epicentral region of an incipient earthquake. Dokl. Acad. Sci. USSR Earth Sci. Ser. 1983, 268, A76-43596. [Google Scholar]
- Serebryakova, O.N.; Bilichenko, S.V.; Chmyrev, V.M.; Parrot, M.; Rauch, J.L.; Lefeuvre, F.; Pokhotelov, O.A. Electromagnetic ELF radiation from earthquake regions as observed by low-altitude satellites. Geophys. Res. Lett. 2013, 19, 91–94. [Google Scholar] [CrossRef]
- Parrot, M. Statistical analysis of the ion density measured by the satellite DEMETER in relation with the seismic activity. Earthq. Sci. 2011, 24, 513–521. [Google Scholar] [CrossRef] [Green Version]
- Bhattacharya, S.; Sarkar, S.; Gwal, A.K.; Parrot, M. Electric and magnetic field perturbations recorded by DEMETER satellite before seismic events of the 17th July 2006 M 7.7 earthquake in Indonesia. J. Asian Earth Sci. 2009, 34, 634–644. [Google Scholar] [CrossRef]












| Mean | IMF1 | IMF2 | IMF3 | IMF4 | IMF5 | IMF6 | IMF7 | IMF8 | IMF9 | IMF10 | IMF11 | IMF12 | IMF13 | |
|---|---|---|---|---|---|---|---|---|---|---|---|---|---|---|
| Ex | 2.836 | 3.7024 | 3.7217 | 3.7765 | 3.8010 | 3.7085 | 3.6618 | 3.7032 | 3.3060 | 3.1453 | 2.3680 | 1.3483 | 0.6147 | 0.0118 |
| Ey | 2.992 | 3.7843 | 3.7150 | 3.7909 | 3.7883 | 3.7265 | 3.5113 | 3.1046 | 3.2742 | 3.4046 | 2.4785 | 1.3304 | 0.0005 | |
| Ez | 3.073 | 3.7178 | 3.7545 | 3.6868 | 3.7253 | 3.7754 | 3.4537 | 3.2264 | 3.3222 | 3.2603 | 1.8639 | 0.0122 |
Publisher’s Note: MDPI stays neutral with regard to jurisdictional claims in published maps and institutional affiliations. |
© 2022 by the authors. Licensee MDPI, Basel, Switzerland. This article is an open access article distributed under the terms and conditions of the Creative Commons Attribution (CC BY) license (https://creativecommons.org/licenses/by/4.0/).
Share and Cite
Li, Z.; Li, J.; Huang, J.; Yin, H.; Jia, J. Research on Pre-Seismic Feature Recognition of Spatial Electric Field Data Recorded by CSES. Atmosphere 2022, 13, 179. https://doi.org/10.3390/atmos13020179
Li Z, Li J, Huang J, Yin H, Jia J. Research on Pre-Seismic Feature Recognition of Spatial Electric Field Data Recorded by CSES. Atmosphere. 2022; 13(2):179. https://doi.org/10.3390/atmos13020179
Chicago/Turabian StyleLi, Zhong, Jinwen Li, Jianping Huang, Huichao Yin, and Juan Jia. 2022. "Research on Pre-Seismic Feature Recognition of Spatial Electric Field Data Recorded by CSES" Atmosphere 13, no. 2: 179. https://doi.org/10.3390/atmos13020179
APA StyleLi, Z., Li, J., Huang, J., Yin, H., & Jia, J. (2022). Research on Pre-Seismic Feature Recognition of Spatial Electric Field Data Recorded by CSES. Atmosphere, 13(2), 179. https://doi.org/10.3390/atmos13020179

