Manifestations of Different El Niño Types in the Dynamics of the Extratropical Stratosphere
Abstract
1. Introduction
2. Data and Methods
3. Results
3.1. Changes in Global Atmospheric Circulation during Different El Niño Types
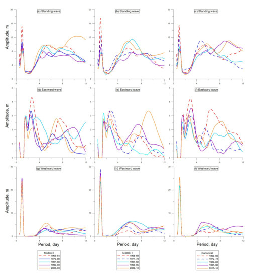
3.2. Planetary Waves’ Structures
4. Conclusions
Author Contributions
Funding
Institutional Review Board Statement
Informed Consent Statement
Data Availability Statement
Acknowledgments
Conflicts of Interest
References
- Ward, P.J.; Kummu, M.; Lall, U. Flood frequencies and durations and their response to El Niño Southern Oscillation: Global analysis. J. Hydrol. 2016, 539, 358–378. [Google Scholar] [CrossRef]
- Nobre, G.G.; Jongman, B.; Aerts, J.; Ward, P.J. The role of climate variability in extreme floods in Europe. Environ. Res. Lett. 2017, 12, 084012. [Google Scholar] [CrossRef]
- Chung, C.T.Y.; Power, S.B. The non-linear impact of El Niño, La Niña and the Southern Oscillation on seasonal and regional Australian precipitation. J. South. Hemisph. Earth Syst. Sci. 2017, 67, 25–45. [Google Scholar] [CrossRef]
- Iqbal, A.; Hassan, S.A. ENSO and IOD analysis on the occurrence of floods in Pakistan. Nat. Hazards 2018, 91, 879–890. [Google Scholar] [CrossRef]
- Foley, A.; Kelman, I. Precipitation responses to ENSO and IOD in the Maldives: Implications of large-scale modes of climate variability in weather-related preparedness. Int. J. Disast. Risk Res. 2020, 50, 101726. [Google Scholar] [CrossRef]
- Bell, C.J.; Gray, L.J.; Charlton-Perez, A.J.; Joshi, M.M.; Scaife, A.A. Stratospheric Communication of El Niño Teleconnections to European Winter. J. Clim. 2009, 22, 4083–4096. [Google Scholar] [CrossRef]
- Ineson, S.; Scaife, A. The role of the stratosphere in the European climate response to El Niño. Nat. Geosci. 2009, 2, 32–36. [Google Scholar] [CrossRef]
- Rao, J.; Ren, R. A decomposition of ENSO’s impacts on the northern winter stratosphere: Competing effect of SST forcing in the tropical Indian Ocean. Clim. Dyn. 2016, 46, 3689–3707. [Google Scholar] [CrossRef]
- Richter, J.H.; Matthes, K.; Calvo, N.; Gray, L.J. Influence of the quasi-biennial oscillation and El Niño–Southern Oscillation on the frequency of sudden stratospheric warmings. J. Geophys. Res. 2011, 116, D20111. [Google Scholar] [CrossRef][Green Version]
- Lubis, S.W.; Matthes, K.; Omrani, N.-E.; Harnik, N.; Wahl, S. Influence of the Quasi-Biennial Oscillation and Sea Surface Temperature Variability on Downward Wave Coupling in the Northern Hemisphere. J. Atmos. Sci. 2016, 73, 1943–1965. [Google Scholar] [CrossRef]
- Garfinkel, C.I.; Hartmann, D.L. Different ENSO teleconnections and their effects on the stratospheric polar vortex. J. Geophys. Res. 2008, 113, D18114. [Google Scholar] [CrossRef]
- Garfinkel, C.I.; Hartmann, D.L.; Sassi, F. Tropospheric precursors of anomalous northern hemisphere strato-spheric polar vortices. J. Clim. 2010, 23, 3282–3299. [Google Scholar] [CrossRef]
- Smith, K.L.; Fletcher, C.G.; Kushner, P.J. The role of linear interference in the annular mode response to extratropical surface forcing. J. Clim. 2010, 23, 6036–6050. [Google Scholar] [CrossRef]
- Smith, K.L.; Kushner, P.J. Linear interference and the initiation of extratropical stratosphere–troposphere interactions. J. Geophys. Res. 2012, 117, D13107. [Google Scholar] [CrossRef]
- Domeisen, D.I.; Garfinkel, C.I.; Butler, A.H. The teleconnection of El Nino Southern Oscillation to the stratosphere. Rev. Geophys. 2019, 57, 5–47. [Google Scholar] [CrossRef]
- Matsuno, T. A Dynamical Model of the Stratospheric Sudden Warming. J. Atmos. Sci. 1971, 28, 1479–1494. [Google Scholar] [CrossRef]
- Pogoreltsev, A.; Savenkova, E.; Aniskina, O.; Ermakova, T.; Chen, W.; Wei, K. Interannual and intraseasonal variability of stratospheric dynamics and stratosphere-troposphere coupling during northern winter. J. Atmos. Sol. Terr. Phys. 2015, 136, 187–200. [Google Scholar] [CrossRef]
- McInturff, R.M. Stratospheric warmings: Synoptic, dynamic, and general circulation aspects. NASA Ref. Publ. 1978, 1017, 1–174. [Google Scholar]
- McIntyre, M.E. How well do we understand the dynamics of stratospheric warmings. J. Meterol. Soc. Japan 1982, 60, 37–64. [Google Scholar] [CrossRef]
- Kunz, T.; Greatbatch, R.J. On the Northern Annular Mode Surface Signal Associated with Stratospheric Variability. J. Atmos. Sci. 2013, 70, 2103–2118. [Google Scholar] [CrossRef]
- Wittman, M.A.; Polvani, L.M.; Scott, R.K.; Charlton, A.J. Stratospheric influence on baroclinic lifecycles and its connection to the Arctic Oscillation. Geophys. Res. Lett. 2004, 31, L16113. [Google Scholar] [CrossRef]
- Song, Y.; Robinson, W.A. Dynamical mechanisms for stratospheric influences on the troposphere. J. Atmos. Sci. 2004, 61, 1711–1725. [Google Scholar] [CrossRef]
- Lubis, S.W.; Huang, C.S.; Nakamura, N.; Omrani, N.E.; Jucker, M. Role of Finite-Amplitude Rossby Waves and Nonconservative Processes in Downward Migration of Extratropical Flow Anomalies. J. Atmos. Sci. 2018, 75, 1385–1401. [Google Scholar] [CrossRef]
- Lubis, S.W.; Huang, C.S.Y.; Nakamura, N. Role of Finite-Amplitude Eddies and Mixing in the Life Cycle of Stratospheric Sudden Warmings. J. Atmos. Sci. 2018, 75, 3987–4003. [Google Scholar] [CrossRef]
- Kim, K.-Y.; Kim, Y.Y. Mechanism of Kelvin and Rossby waves during ENSO events. Meteorol. Atmos. Phys. 2002, 81, 169–189. [Google Scholar] [CrossRef]
- Dima, I.M.; Wallace, J.M. Structure of the annual-mean equatorial planetary waves in the ERA-40 reanalyses. J. At. Sci. 2007, 64, 2862–2880. [Google Scholar] [CrossRef]
- Rakhman, S.; Lubis, S.W.; Setiawan, S. Impact of ENSO on seasonal variations of Kelvin Waves and mixed Rossby-Gravity Waves. IOP Conf. Ser. Earth Environ. Sci. 2017, 54, 012035. [Google Scholar] [CrossRef]
- Garcia-Herrera, R.; Calvo, N.; Garcia, R.R.; Giorgietta, M.A. Propagation of ENSO temperature signals into the middle atmosphere: A comparison of two general circulation models and ERA-40 reanalysis data. J. Geophys. Res. 2006, 111, 6101–6115. [Google Scholar] [CrossRef]
- Taguchi, M.; Hartmann, D.L. Increased occurrence of stratospheric sudden warming during El Niño as simulated by WAACM. J. Clim. 2006, 19, 324–332. [Google Scholar] [CrossRef]
- Garfinkel, C.I.; Hartmann, D.L. Effects of the El Niño–Southern Oscillation and the Quasi-Biennial Oscillation on polar temperatures in the stratosphere. J. Geophys. Res. 2007, 112, D19112. [Google Scholar] [CrossRef]
- Ermakova, T.S.; Aniskina, O.G.; Statnaia, I.A.; Motsakov, M.A.; Pogoreltsev, A.P. Simulation of the ENSO influence on the extra-tropical middle atmosphere. Earth Planets Space 2019, 71, 8. [Google Scholar] [CrossRef]
- Larkin, N.K.; Harrison, D.E. On the definition of El Niño and associated seasonal average U.S. weather anomalies. Geophys. Res. Lett. 2005, 32, L13705. [Google Scholar] [CrossRef]
- Ashok, K.; Behera, S.K.; Rao, S.A.; Weng, H.; Yamagata, T. El Niño Modoki and its possible teleconnections. J. Geophys. Res. 2007, 112, C11007. [Google Scholar] [CrossRef]
- Yu, J.-Y.; Kim, S.T. Relationships between extratropical sea level pressure variations and the central Pacific and eastern Pacific types of ENSO. J. Clim. 2011, 24, 708–720. [Google Scholar] [CrossRef]
- Hurwitz, M.M.; Calvo, N.; Garfinkel, C.I.; Butler, A.H.; Ineson, S.; Cagnazzo, C.; Manzini, E.; Peña-Ortiz, C. Extra-tropical atmospheric response to ENSO in the CMIP5 models. Clim. Dyn. 2014, 43, 3367–3376. [Google Scholar] [CrossRef]
- Sung, M.K.; Kim, B.M.; An, S.I. Altered atmospheric responses to Eastern Pacific and Central Pacific El Niños over the North Atlantic region due to stratospheric interference. Clim. Dyn. 2014, 42, 159–170. [Google Scholar] [CrossRef]
- Xie, F.; Li, J.; Tian, W.; Feng, J.; Huo, Y. Signals of El Niño Modoki in the tropical tropopause layer and stratosphere. Atmos. Chem. Phys. 2012, 12, 5259–5273. [Google Scholar] [CrossRef]
- Kug, J.S.; Jin, F.F.; An, S.-I. Two types of El Niño events: Cold tongue El Niño and arm pool El Niño. J. Clim. 2009, 22, 1499–1515. [Google Scholar] [CrossRef]
- Yeh, S.W.; Kug, J.S.; Dewitte, B.; Kwon, M.-H.; Kirtman, B.P.; Jin, F.-F. El Niño in a hanging climate. Nature 2009, 461, 511–514. [Google Scholar] [CrossRef]
- Qu, T.; Yu, J.Y. ENSO indices from sea surface salinity observed by Aquarius and Argo. J. Oceanogr. 2014, 70, 367–375. [Google Scholar] [CrossRef]
- Kao, H.Y.; Yu, J.Y. Contrasting eastern Pacific and central Pacific types of ENSO. J. Clim. 2009, 22, 615–632. [Google Scholar] [CrossRef]
- Di Lorenzo, E.; Cobb, K.M.; Furtado, J.C.; Schneider, N.; Anderson, B.T.; Bracco, A.; Alexander, M.A.; Vimont, D.J. Central Pacific El Niño and decadal climate change in the North Pacific Ocean. Nat. Geosci. 2010, 3, 762–765. [Google Scholar] [CrossRef]
- Takahashi, K.; Montecinos, A.; Goubanova, K.; Dewitte, B. ENSO regimes: Reinterpreting the canonical and Modoki El Niño. Geophys. Res. Lett. 2011, 38, L10704. [Google Scholar] [CrossRef]
- Wang, X.; Wang, C. Classifying El Niño Modoki I and II by different impacts on rainfall in Southern China and typhoon tracks. J. Clim. 2013, 26, 1322–1338. [Google Scholar] [CrossRef]
- Wang, X.; Tan, W.; Wang, C. A new index for identifying different types of El Niño Modoki events. Clim. Dyn. 2018, 50, 2753–2765. [Google Scholar] [CrossRef]
- Weng, H.; Ashok, K.; Behera, S.K.; Rao, S.A.; Yamagata, T. Impacts of recent El Niño Modoki on dry/wet conditions in the Pacific Rim during boreal summer. Clim. Dyn. 2007, 29, 113–129. [Google Scholar] [CrossRef]
- Kim, J.S.; Zhou, W.; Wang, X.; Jain, S. El Niño Modoki and the summer precipitation variability over South Korea: A diagnostic study. J. Meteorol. Soc. Jpn. 2012, 90, 673–684. [Google Scholar] [CrossRef]
- Jacqmin, D.; Lindzen, R.S. The causation and sensitivity of the Northern winter planetary waves. J. Atmos. Sci. 1985, 42, 724–745. [Google Scholar] [CrossRef]
- Chapman, S.; Lindzen, R.S. Atmospheric Tides: Thermal and Gravitational; Gordon and Breach: New York, NY, USA, 1970; 200p. [Google Scholar] [CrossRef]
- Tsuda, T.; Kato, S. Diurnal non-migrating tides excited by a differential heating due to land-sea distribution. J. Meteorol. Soc. Jpn. 1989, 67, 43–54. [Google Scholar] [CrossRef][Green Version]
- Forbes, J.M.; Hagan, M.E.; Zhang, X.; Hamilton, K. Upper atmosphere tidal oscillations due to latent heat release in the tropical troposphere. Ann. Geophys. 1997, 15, 1165–1175. [Google Scholar] [CrossRef]
- Pogoreltsev, A.I.; Kanukhina, A.Y.; Suvorova, E.V.; Savenkova, E.N. Variability of planetary waves as a signature of possible climatic changes. J. Atmos. Sol.-Terr. Phys. 2009, 71, 1529–1539. [Google Scholar] [CrossRef]
- Salby, M.L. Survey of Planetary-Scale Traveling Waves: The State of Theory and Observations. Rev. Geophys. 1984, 22, 209–236. [Google Scholar] [CrossRef]
- Fedulina, I.N.; Pogoreltsev, A.I.; Vaughan, G. Seasonal, interannual and short-term variability of planetary waves in Met Office stratospheric assimilated fields. Quart. J. R. Met. Soc. 2004, 130, 2445–2458. [Google Scholar] [CrossRef]
- Kobayashi, S.; Ota, Y.; Harada, Y.; Ebita, A.; Moriya, M.; Onoda, H.; Onogi, K.; Kamahori, H.; Kobayashi, C.; Endo, H.; et al. The JRA-55 Reanalysis: General specifications and basic characteristics. J. Meteor. Soc. Jpn. 2015, 93, 5–48. [Google Scholar] [CrossRef]
- Holton, J.R.; Mass, C. Stratospheric Vacillation Cycles. J. Atmos. Sci. 1976, 33, 2218–2225. [Google Scholar] [CrossRef]
- Pogoreltsev, A.I.; Vlasov, A.A.; Fröhlich, K.; Jacobi, C. Planetary waves in coupling the lower and upper atmosphere. J. Atmos. Sol.-Terr. Phys. 2007, 69, 2083–2101. [Google Scholar] [CrossRef]
- Plumb, R. On the Three-Dimensional Propagation of Stationary Waves. J. Atmos. Sci. 1985, 42, 217–229. [Google Scholar] [CrossRef]
- Charney, J.G.; Drazin, P.G. Propagation of planetary-scale disturbances from the lower into the upper atmosphere. J. Geophys. Res. 1961, 66, 83–109. [Google Scholar] [CrossRef]
- Andrews, D.G.; McIntyre, M.E. Planetary waves in horizontal and vertical shear: The generalized Eliassen–Palm relation and the mean zonal acceleration. J. Atmos. Sci. 1976, 33, 2031–2048. [Google Scholar] [CrossRef]
- Gelaro, R.; McCarty, W.; Suárez, M.J.; Todling, R.; Molod, A.; Takacs, L.; Randles, C.; Darmenov, A.; Bosilovich, M.; Reichle, R.; et al. The Modern-Era Retrospective Analysis for Research and Applications, Version 2 (MERRA-2). J. Clim. 2017, 30, 5419–5454. [Google Scholar] [CrossRef]
- Torrence, C.; Compo, G.P. A Practical Guide to Wavelet Analysis. Bull. Am. Meteorol. Soc. 1998, 79, 61–78. [Google Scholar] [CrossRef]
- Pogoreltsev, A.I.; Fedulina, I.N.; Mitchell, N.J.; Muller, H.G.; Luo, Y.; Meek, C.E.; Manson, A.H. Global free oscillations of the atmosphere and secondary planetary waves in the MLT region during August/September time conditions. J. Geophys. Res. 2002, 107, ACL 24-1–ACL 24-12. [Google Scholar] [CrossRef]
- Koval, A.V.; Chen, W.; Didenko, K.A.; Ermakova, T.S.; Gavrilov, N.M.; Pogoreltsev, A.I.; Toptunova, O.N.; Wei, K.; Yarusova, A.N.; Zarubin, A.S. Modelling the residual mean meridional circulation at different stages of sudden stratospheric warming events. Ann. Geophys. 2021, 39, 357–368. [Google Scholar] [CrossRef]
- Capotondi, A.; Wittenberg, A.T.; Newman, M.; Di Lorenzo, E.; Yu, J.-Y.; Braconnot, P.; Cole, J.; Dewitte, B.; Giese, B.; Guilyardi, E.; et al. Understanding ENSO Diversity. Bull. Am. Meteor. Soc. 2015, 96, 921–938. [Google Scholar] [CrossRef]






| Year | EN Type | JA | AS | SO | ON | ND | DJ | JF | FM | MA |
|---|---|---|---|---|---|---|---|---|---|---|
| 1963/64 | MI | 0.91 | 1.06 | 1.11 | 1.07 | 0.97 | 0.93 | 0.73 | 0.25 | −0.35 |
| 1965/66 | C | 1.73 | 1.73 | 1.42 | 1.52 | 1.73 | 1.68 | 1.53 | 1.21 | 0.89 |
| 1968/69 | MII | −0.34 | 0.20 | 0.62 | 0.73 | 0.66 | 0.76 | 1.04 | 1.03 | 0.94 |
| 1972/73 | C | 2.21 | 2.07 | 1.88 | 1.84 | 2.01 | 2.02 | 1.76 | 1.30 | 0.74 |
| 1977/78 | MII | 0.75 | 0.72 | 0.83 | 1.01 | 1.11 | 0.94 | 0.85 | 0.90 | 0.57 |
| 1979/80 | MI | 0.44 | 0.38 | 0.24 | 0.52 | 0.65 | 0.35 | 0.19 | 0.41 | 0.59 |
| 1982/83 | C | 2.02 | 1.81 | 1.93 | 2.28 | 2.48 | 2.57 | 2.74 | 2.68 | 2.79 |
| 1987/88 | MI | 1.48 | 1.23 | 1.13 | 0.85 | 0.75 | 0.59 | 0.31 | 0.19 | −0.01 |
| 1991/92 | MII | 0.42 | 0.62 | 1.09 | 1.17 | 1.29 | 1.70 | 1.59 | 1.72 | 1.98 |
| 1992/93 | MI | 0.08 | 0.50 | 0.81 | 0.73 | 0.78 | 0.83 | 0.93 | 0.78 | 0.98 |
| 1994/95 | MII | 0.84 | 1.06 | 1.47 | 0.99 | 0.87 | 0.77 | 0.48 | 0.14 | 0.18 |
| 1997/98 | C | 2.20 | 2.17 | 2.01 | 2.06 | 2.03 | 2.23 | 2.43 | 2.27 | 2.55 |
| 2002/03 | MI | 0.97 | 0.84 | 0.79 | 0.76 | 0.86 | 0.80 | 0.62 | 0.53 | −0.08 |
| 2009/10 | MII | 0.52 | 0.39 | 0.56 | 1.05 | 0.96 | 0.93 | 1.28 | 1.31 | 0.49 |
| 2015/16 | C | 1.92 | 2.21 | 2.11 | 1.88 | 1.90 | 1.94 | 1.81 | 1.31 | 1.33 |
Publisher’s Note: MDPI stays neutral with regard to jurisdictional claims in published maps and institutional affiliations. |
© 2022 by the authors. Licensee MDPI, Basel, Switzerland. This article is an open access article distributed under the terms and conditions of the Creative Commons Attribution (CC BY) license (https://creativecommons.org/licenses/by/4.0/).
Share and Cite
Ermakova, T.S.; Koval, A.V.; Smyshlyaev, S.P.; Didenko, K.A.; Aniskina, O.G.; Savenkova, E.N.; Vinokurova, E.V. Manifestations of Different El Niño Types in the Dynamics of the Extratropical Stratosphere. Atmosphere 2022, 13, 2111. https://doi.org/10.3390/atmos13122111
Ermakova TS, Koval AV, Smyshlyaev SP, Didenko KA, Aniskina OG, Savenkova EN, Vinokurova EV. Manifestations of Different El Niño Types in the Dynamics of the Extratropical Stratosphere. Atmosphere. 2022; 13(12):2111. https://doi.org/10.3390/atmos13122111
Chicago/Turabian StyleErmakova, Tatiana S., Andrey V. Koval, Sergei P. Smyshlyaev, Ksenia A. Didenko, Olga G. Aniskina, Elena N. Savenkova, and Ekaterina V. Vinokurova. 2022. "Manifestations of Different El Niño Types in the Dynamics of the Extratropical Stratosphere" Atmosphere 13, no. 12: 2111. https://doi.org/10.3390/atmos13122111
APA StyleErmakova, T. S., Koval, A. V., Smyshlyaev, S. P., Didenko, K. A., Aniskina, O. G., Savenkova, E. N., & Vinokurova, E. V. (2022). Manifestations of Different El Niño Types in the Dynamics of the Extratropical Stratosphere. Atmosphere, 13(12), 2111. https://doi.org/10.3390/atmos13122111

