Analysis of the Cooling and Humidification Effect of Multi-Layered Vegetation Communities in Urban Parks and Its Impact
Abstract
1. Introduction
2. Materials and Methods
2.1. Study Area
2.2. Date Measurement
2.2.1. Measurement of Air Temperature and Humidity by Using Kestrel 5000
2.2.2. Measurement of Canopy Density Parameters
3. Results
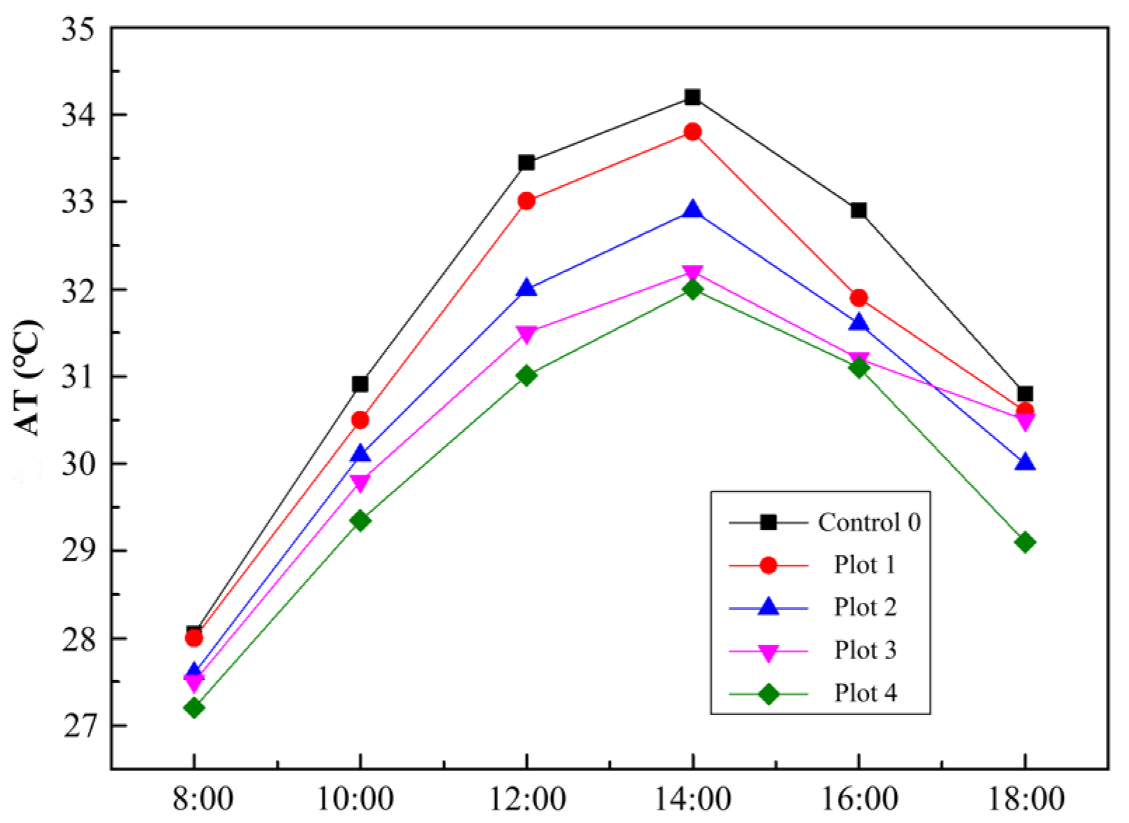
3.1. Air Temperature Variation at the Plots and Control Site
3.2. Changes in Relative Humidity at the Plots and Control Site
3.3. Comparison of the Cooling Effect of Plots with Different Degrees of Canopy Density
3.4. Comparison of the Humidifying Effect of Plots with Different Degrees of Canopy Density
4. Discussion
4.1. Analysis of the Effect of Vegetation Cover on Microclimate Cooling and Humidification in Urban Parks
4.2. The Cooling and Humidifying Effect of Multi-Layered Vegetation Communities
5. Conclusions
Author Contributions
Funding
Acknowledgments
Conflicts of Interest
References
- Grimm, N.B.; Faeth, S.H.; Golubiewski, N.E.; Redman, C.L.; Wu, J.; Bai, X.; Briggs, J.M. Global Change and the Ecology of Cities. Science 2008, 319, 756–760. [Google Scholar] [CrossRef] [PubMed]
- Oke, T.R. The Energetic Basis of the Urban Heat Island. Q. J. R. Met. Soc. 1982, 108, 1–24. [Google Scholar] [CrossRef]
- Martini, A.; Biondi, D.; Batista, A.C. Urban forest components influencing microclimate and cooling potential. Rev. Árvore 2017, 41, e410603. [Google Scholar] [CrossRef]
- Hami, A.; Abdi, B.; Zarehaghi, D.; Maulan, S.B. Assessing the Thermal Comfort Effects of Green Spaces: A Systematic Review of Methods, Parameters, and Plants’ Attributes. Sustain. Cities Soc. 2019, 49, 101634. [Google Scholar] [CrossRef]
- Wang, X.; Cheng, H.; Xi, J.; Yang, G.; Zhao, Y. Relationship between Park Composition, Vegetation Characteristics and Cool Island Effect. Sustainability 2018, 10, 587. [Google Scholar] [CrossRef]
- White, M.A.; Nemani, R.R.; Thornton, P.E.; Running, S.W. Satellite Evidence of Phenological Differences Between Urbanized and Rural Areas of the Eastern United States Deciduous Broadleaf Forest. Ecosystems 2002, 5, 260–273. [Google Scholar] [CrossRef]
- Shekhar, S.; Aryal, J. Role of Geospatial Technology in Understanding Urban Green Space of Kalaburagi City for Sustainable Planning. Urban For. Urban Green. 2019, 46, 126450. [Google Scholar] [CrossRef]
- Qiu, K.; Jia, B. The Roles of Landscape Both inside the Park and the Surroundings in Park Cooling Effect. Sustain. Cities Soc. 2020, 52, 101864. [Google Scholar] [CrossRef]
- Grilo, F.; Pinho, P.; Aleixo, C.; Catita, C.; Silva, P.; Lopes, N.; Freitas, C.; Santos-Reis, M.; McPhearson, T.; Branquinho, C. Using Green to Cool the Grey: Modelling the Cooling Effect of Green Spaces with a High Spatial Resolution. Sci. Total Environ. 2020, 724, 138182. [Google Scholar] [CrossRef]
- Liu, S.; Zhao, J.; Xu, M.; Ahmadian, E. Effects of Landscape Patterns on the Summer Microclimate and Human Comfort in Urban Squares in China. Sustain. Cities Soc. 2021, 73, 103099. [Google Scholar] [CrossRef]
- Wolch, J.R.; Byrne, J.; Newell, J.P. Urban Green Space, Public Health, and Environmental Justice: The Challenge of Making Cities ‘Just Green Enough’. Landsc. Urban Plan. 2014, 125, 234–244. [Google Scholar] [CrossRef]
- Zheng, J.; Tarin, M.W.K.; Chen, G.; Zhang, Q.; Deng, C. The Characteristics of Plant Clusters Influence on the Cooling Effect: A Case Study in a Subtropical Island Park, China. Glob. Ecol. Conserv. 2022, 34, e02055. [Google Scholar] [CrossRef]
- Yu, C.; Hien, W.N. Thermal Benefits of City Parks. Energy Build. 2006, 38, 105–120. [Google Scholar] [CrossRef]
- Upmanis, H.; Eliasson, I.; Lindqvist, S. The Influence of Green Areas on Nocturnal Temperatures in a High Latitude City (Göteborg, Sweden). Int. J. Climatol. 1998, 18, 681–700. [Google Scholar] [CrossRef]
- Barradas, V.L. Air Temperature and Humidity and Human Comfort Index of Some City Parks of Mexico City. Int. J. Biometeorol. 1991, 35, 24–28. [Google Scholar] [CrossRef]
- Potchter, O.; Cohen, P.; Bitan, A. Climatic Behavior of Various Urban Parks during Hot and Humid Summer in the Mediterranean City of Tel Aviv, Israel. Int. J. Climatol. 2006, 26, 1695–1711. [Google Scholar] [CrossRef]
- Yan, H.; Wu, F.; Dong, L. Influence of a Large Urban Park on the Local Urban Thermal Environment. Sci. Total Environ. 2018, 622–623, 882–891. [Google Scholar] [CrossRef]
- Li, Y.; Fan, S.; Li, K.; Zhang, Y.; Dong, L. Microclimate in an Urban Park and Its Influencing Factors: A Case Study of Tiantan Park in Beijing, China. Urban Ecosyst. 2021, 24, 767–778. [Google Scholar] [CrossRef]
- Jauregui, E. Influence of a Large Urban Park on Temperature and Convective Precipitation in a Tropical City. Energy Build. 1990, 15, 457–463. [Google Scholar] [CrossRef]
- Cao, X.; Onishi, A.; Chen, J.; Imura, H. Quantifying the Cool Island Intensity of Urban Parks Using ASTER and IKONOS Data. Landsc. Urban Plan. 2010, 96, 224–231. [Google Scholar] [CrossRef]
- Wei, J.; Li, H.; Wang, Y.; Xu, X. The Cooling and Humidifying Effects and the Thresholds of Plant Community Structure Parameters in Urban Aggregated Green Infrastructure. Forests 2021, 12, 111. [Google Scholar] [CrossRef]
- Shi, D.; Song, J.; Huang, J.; Zhuang, C.; Guo, R.; Gao, Y. Synergistic Cooling Effects (SCEs) of Urban Green-Blue Spaces on Local Thermal Environment: A Case Study in Chongqing, China. Sustain. Cities Soc. 2020, 55, 102065. [Google Scholar] [CrossRef]
- Zhao, D.; Lei, Q.; Shi, Y.; Wang, M.; Chen, S.; Shah, K.; Ji, W. Role of Species and Planting Configuration on Transpiration and Microclimate for Urban Trees. Forests 2020, 11, 825. [Google Scholar] [CrossRef]
- Zheng, J.; Tarin, M.W.K.; Jiang, D.; Li, M.; Ye, J.; Chen, L.; He, T.; Zheng, Y. Which Ornamental Features of Bamboo Plants Will Attract the People Most? Urban For. Urban Green. 2021, 61, 127101. [Google Scholar] [CrossRef]
- Dimoudi, A.; Nikolopoulou, M. Vegetation in the Urban Environment: Microclimatic Analysis and Benefits. Energy Build. 2003, 35, 69–76. [Google Scholar] [CrossRef]
- Georgi, J.N.; Dimitriou, D. The Contribution of Urban Green Spaces to the Improvement of Environment in Cities: Case Study of Chania, Greece. Build. Environ. 2010, 45, 1401–1414. [Google Scholar] [CrossRef]
- Oliveira, S.; Andrade, H.; Vaz, T. The Cooling Effect of Green Spaces as a Contribution to the Mitigation of Urban Heat: A Case Study in Lisbon. Build. Environ. 2011, 46, 2186–2194. [Google Scholar] [CrossRef]
- Xue, X.; Zhang, J.; Sun, Y.; Zhuang, J.; Wang, Y. Study of Carbon Sequestration & Oxygen Release and Cooling & Humidifying Effect of Main Greening Tree Species in Shanghai. J. Nanjing For. Univ. (Nat. Sci. Ed.) 2016, 40, 81–86. [Google Scholar]
- Wang, J.; Zhou, W.; Jiao, M.; Zheng, Z.; Ren, T.; Zhang, Q. Significant Effects of Ecological Context on Urban Trees’ Cooling Efficiency. ISPRS J. Photogramm. Remote Sens. 2020, 159, 78–89. [Google Scholar] [CrossRef]
- Han, H.J.; Zhou, Y.W. Cooling and Moisturizing Effect of Different Afforested Tree Species in July. J. Hebei Agric. Sci 2007, 5, 28–30. [Google Scholar]
- Petri, A.C.; Wilson, B.; Koeser, A. Planning the Urban Forest: Adding Microclimate Simulation to the Planner’s Toolkit. Land Use Policy 2019, 88, 104117. [Google Scholar] [CrossRef]
- Tang, Z.; Ren, Z.; Zheng, H.; He, X.-Y. Cooling Effects of Urban Forest Community Structure. Chin. J. Appl. Ecol. 2017, 28, 2823–2830. [Google Scholar]
- Zhang, Z.; Lv, Y.; Pan, H. Cooling and Humidifying Effect of Plant Communities in Subtropical Urban Parks. Urban For. Urban Green. 2013, 12, 323–329. [Google Scholar] [CrossRef]
- Pan, J.; Li, J.; Li, S.; Dong, L.; Wang, Y. Study on the Relationship between Plant Community and Spatial Differentiation of Negative Air Ions in Urban Green Space—A Case Study of Beijing Olympic Forest Park. Chin. Landsc. Archit. 2022, 6, 57–62. [Google Scholar]
- Li, H.; Meng, H.; He, R.; Lei, Y.; Guo, Y.; Ernest, A.; Jombach, S.; Tian, G. Analysis of Cooling and Humidification Effects of Different Coverage Types in Small Green Spaces (SGS) in the Context of Urban Homogenization: A Case of HAU Campus Green Spaces in Summer in Zhengzhou, China. Atmosphere 2020, 11, 862. [Google Scholar] [CrossRef]
- Tan, X.; Liao, J.; Bedra, K.B.; Li, J. Evaluating the 3D Cooling Performances of Different Vegetation Combinations in the Urban Area. J. Asian Archit. Build. Eng. 2022, 21, 1124–1136. [Google Scholar] [CrossRef]
- Leuzinger, S.; Körner, C. Tree Species Diversity Affects Canopy Leaf Temperatures in a Mature Temperate Forest. Agric. For. Meteorol. 2007, 146, 29–37. [Google Scholar] [CrossRef]
- Qin, Z.; Li, Z.; Cheng, F.; Chen, J.; Liang, B. Influence of Canopy Structural Characteristics on Cooling and Humidifying Effects of Populus Tomentosa Community on Calm Sunny Summer Days. Landsc. Urban Plan. 2014, 127, 75–82. [Google Scholar] [CrossRef]
- Fowler, D.; Skiba, U.; Nemitz, E.; Choubedar, F.; Branford, D.; Donovan, R.; Rowland, P. Measuring Aerosol and Heavy Metal Deposition on Urban Woodland and Grass Using Inventories of 210PB and Metal Concentrations in Soil. In Biogeochemical Investigations of Terrestrial, Freshwater, and Wetland Ecosystems across the Globe; Wieder, R.K., Novák, M., Vile, M.A., Eds.; Springer: Dordrecht, The Netherlands, 2004; pp. 483–499. ISBN 978-94-010-3751-8. [Google Scholar]
- Skelhorn, C.; Lindley, S.; Levermore, G. The Impact of Vegetation Types on Air and Surface Temperatures in a Temperate City: A Fine Scale Assessment in Manchester, UK. Landsc. Urban Plan. 2014, 121, 129–140. [Google Scholar] [CrossRef]
- Cheung, P.K.; Jim, C.Y.; Siu, C.T. Effects of Urban Park Design Features on Summer Air Temperature and Humidity in Compact-City Milieu. Appl. Geogr. 2021, 129, 102439. [Google Scholar] [CrossRef]
- Lin, T.-P.; Matzarakis, A.; Hwang, R.-L. Shading Effect on Long-Term Outdoor Thermal Comfort. Build. Environ. 2010, 45, 213–221. [Google Scholar] [CrossRef]
- Rahman, M.A.; Dervishi, V.; Moser-Reischl, A.; Ludwig, F.; Pretzsch, H.; Rötzer, T.; Pauleit, S. Comparative Analysis of Shade and Underlying Surfaces on Cooling Effect. Urban For. Urban Green. 2021, 63, 127223. [Google Scholar] [CrossRef]
- Liu, J.M.; Li, S.H.; Yang, Z.F. Temperature and Humidity Effect of Urban Green Spaces in Beijing in Summer. Chin. J. Ecol. 2008, 27, 1972–1978. [Google Scholar]
- Hwang, Y.H.; Lum, Q.J.G.; Chan, Y.K.D. Micro-Scale Thermal Performance of Tropical Urban Parks in Singapore. Build. Environ. 2015, 94, 467–476. [Google Scholar] [CrossRef]
- Xiao, X.D.; Dong, L.; Yan, H.; Yang, N.; Xiong, Y. The Influence of the Spatial Characteristics of Urban Green Space on the Urban Heat Island Effect in Suzhou Industrial Park. Sustain. Cities Soc. 2018, 40, 428–439. [Google Scholar] [CrossRef]
- Wu, Z.; Zou, M.; Ai, L.; Feng, Y. The Heat Island Regulation Effects of Chongqing Parks in Summer. Chin. Agric. Sci. Bull. 2014, 30, 238–245. [Google Scholar]
- Wang, C.; Zhao, C.; Chen, X.; Liu, D. Remote Sensing—Based Green Space Evolution in Tangshan and Its Influence on Heat Is- Land Effect. Remote Sens. Nat. Resour. 2022, 34, 168–175. [Google Scholar]
- Li, X.J.; Song, C.N.; Zhou, G.L.; Chao, W. Simplified Method for Simulating the FSI Effect of PCS Water Tank in a Nuclear Island Building. J. Vib. Shock 2019, 38, 6–12. [Google Scholar]
- Ren, Q.; Xie, H.; Wang, H. Ecological Resource Assessment for Recreation and Leisure Tourism in Chishui City. J. Green Sci. Technol. 2022, 24, 148–151. [Google Scholar]
- Chang, C.-R.; Li, M.-H.; Chang, S.-D. A Preliminary Study on the Local Cool-Island Intensity of Taipei City Parks. Landsc. Urban Plan. 2007, 80, 386–395. [Google Scholar] [CrossRef]
- Wang, Y.; Akbari, H. The Effects of Street Tree Planting on Urban Heat Island Mitigation in Montreal. Sustain. Cities Soc. 2016, 27, 122–128. [Google Scholar] [CrossRef]
- Yang, W.; Lin, Y.; Li, C.-Q. Effects of Landscape Design on Urban Microclimate and Thermal Comfort in Tropical Climate. Adv. Meteorol. 2018, 2018, 2809649. [Google Scholar] [CrossRef]
- Kurban, A.S.; Papparelli, A.H.; Cunsulo, M.E. Aporte de la Forestación al Control del Clima Urbano en Zona Árida. Av. En Energías Renov. Y Medio Ambiente 2002, 10, 43–48. [Google Scholar]
- Yoshida, A.; Hisabayashi, T.; Kashihara, K.; Kinoshita, S.; Hashida, S. Evaluation of Effect of Tree Canopy on Thermal Environment, Thermal Sensation, and Mental State. Urban Clim. 2015, 14, 240–250. [Google Scholar] [CrossRef]
- Rahman, M.A.; Moser, A.; Gold, A.; Rötzer, T.; Pauleit, S. Vertical Air Temperature Gradients under the Shade of Two Contrasting Urban Tree Species during Different Types of Summer Days. Sci. Total Environ. 2018, 633, 100–111. [Google Scholar] [CrossRef]
- Wang, X.; Dallimer, M.; Scott, C.E.; Shi, W.; Gao, J. Tree Species Richness and Diversity Predicts the Magnitude of Urban Heat Island Mitigation Effects of Greenspaces. Sci. Total Environ. 2021, 770, 145211. [Google Scholar] [CrossRef]
- Hua, L.; Sun, F.; Chen, J.; Tang, L. Quantifying the Cool-Island Effects of Urban Parks Using Landsat-8 Imagery in a Coastal City, Xiamen, China. Acta Ecol. Sin. 2020, 40, 8147–8157. [Google Scholar]
- Mo, H.; Xiao, T.; Zhao, Y.; Zhu, Q.; Li, Z. The Impact of Urban Green Space on Cold Island Effect—A Case Study of Core Urban Changsha. J. Nat. Sci. Hunan Norm. Univ. 2019, 42, 18–22. [Google Scholar]
- Lu, Q.; Yang, T.; Wang, Z.; Wang, X.; He, L. Characteristics of Micro Climate Effects of Wetlands. Clim. Environ. Res. 2020, 25, 399–409. [Google Scholar]
- Zhao, R.; Shen, X.; Tian, G.; Guo, Y.; He, R. The Influence of Landscape Characteristics of a Park Green Space on the Park Cool Island Effect in Zhengzhou City. Acta Ecol. Sin. 2020, 40, 2886–2894. [Google Scholar]





| No. | Canopy Density (%) | Area | Types | Vegetation Types |
|---|---|---|---|---|
| 1 | 8 | 50 m × 50 m | Tree-shrub-grass | Tree: Salix babylonica L., Acer spp., Magnolia grandiflora L., Pinus tabuliformis Carr., Shrub: Rosa chinensis Jacq., Ligustrum × vicaryi Hort. Grass: Lolium perenne L., Poa annua L. |
| 2 | 16 | 50 m × 50 m | ||
| 3 | 31.2 | 50 m × 50 m | ||
| 4 | 69.9 | 50 m × 50 m | ||
| 0 | 0 | 50 m × 50 m | Impervious surface | No vegetation |
Publisher’s Note: MDPI stays neutral with regard to jurisdictional claims in published maps and institutional affiliations. |
© 2022 by the authors. Licensee MDPI, Basel, Switzerland. This article is an open access article distributed under the terms and conditions of the Creative Commons Attribution (CC BY) license (https://creativecommons.org/licenses/by/4.0/).
Share and Cite
Zhang, Y.; Dai, M. Analysis of the Cooling and Humidification Effect of Multi-Layered Vegetation Communities in Urban Parks and Its Impact. Atmosphere 2022, 13, 2045. https://doi.org/10.3390/atmos13122045
Zhang Y, Dai M. Analysis of the Cooling and Humidification Effect of Multi-Layered Vegetation Communities in Urban Parks and Its Impact. Atmosphere. 2022; 13(12):2045. https://doi.org/10.3390/atmos13122045
Chicago/Turabian StyleZhang, Yu, and Meiqi Dai. 2022. "Analysis of the Cooling and Humidification Effect of Multi-Layered Vegetation Communities in Urban Parks and Its Impact" Atmosphere 13, no. 12: 2045. https://doi.org/10.3390/atmos13122045
APA StyleZhang, Y., & Dai, M. (2022). Analysis of the Cooling and Humidification Effect of Multi-Layered Vegetation Communities in Urban Parks and Its Impact. Atmosphere, 13(12), 2045. https://doi.org/10.3390/atmos13122045
