Air Monitoring of Polychlorinated Biphenyls and Organochlorine Pesticides in Eastern Siberia: Levels, Temporal Trends, and Risk Assessment
Abstract
1. Introduction
2. Materials and Methods
2.1. Sampling Site
2.2. Air Sampling
2.3. Chemical Analysis
2.4. Quality Assurance/Quality Control (QA/QC)
2.5. Statistical Analyses
2.6. Daily Exposure and Health Risk Assessment
3. Results and Discussion
3.1. Levels and Comparison with Levels in Other Areas
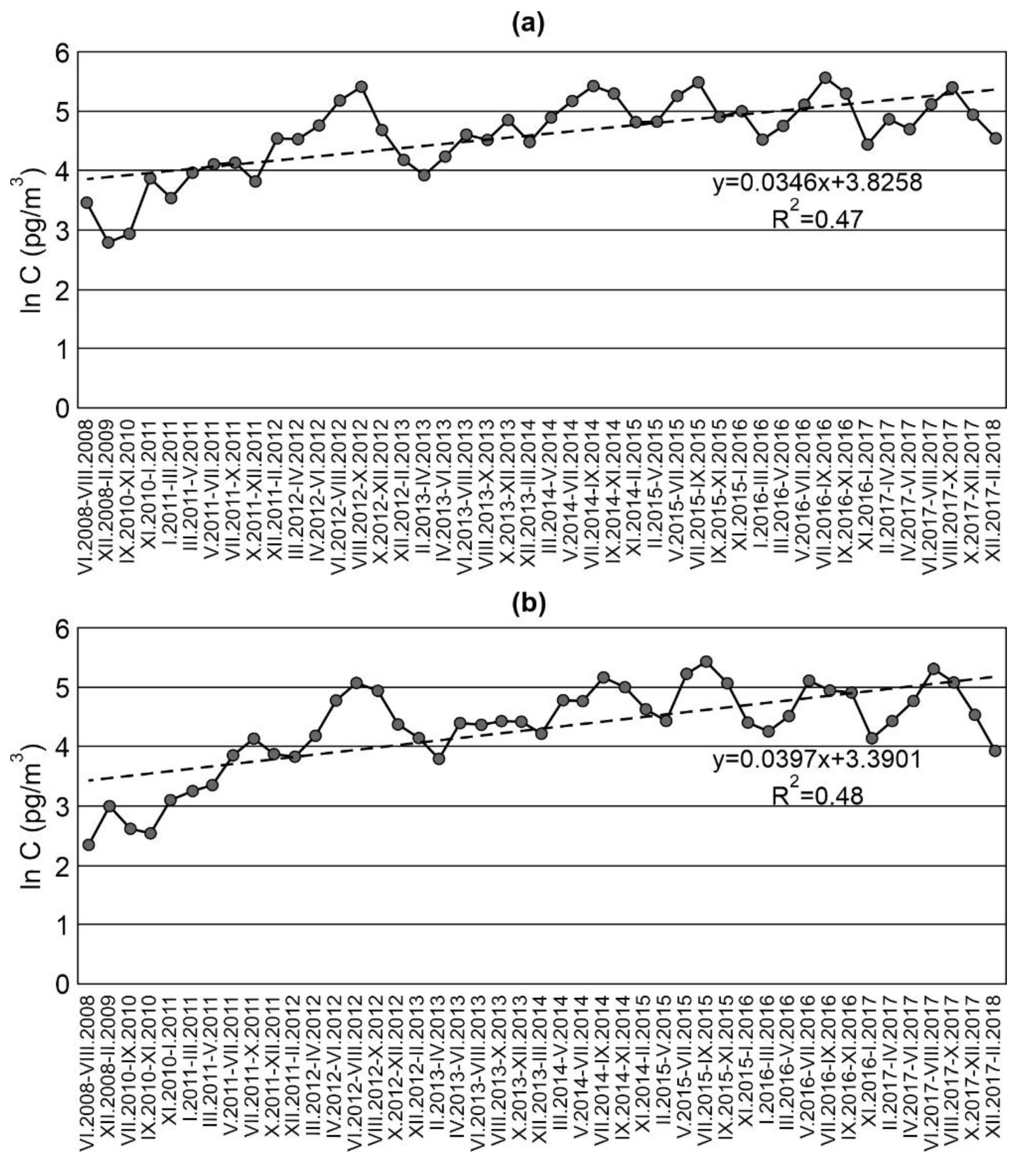
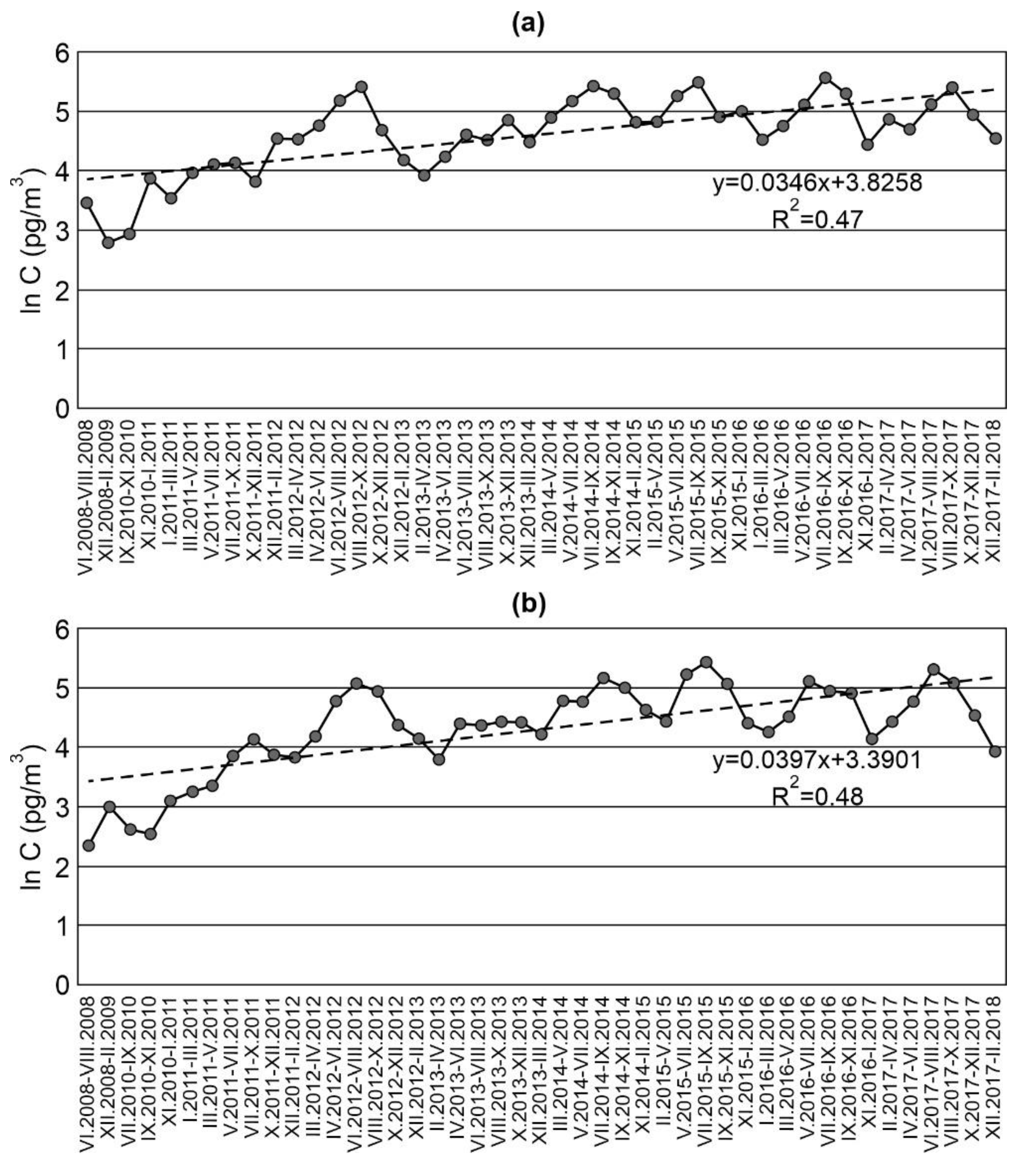
3.2. Temporal Trend of PCB and OCP in Air
3.3. Seasonal Variation in Air
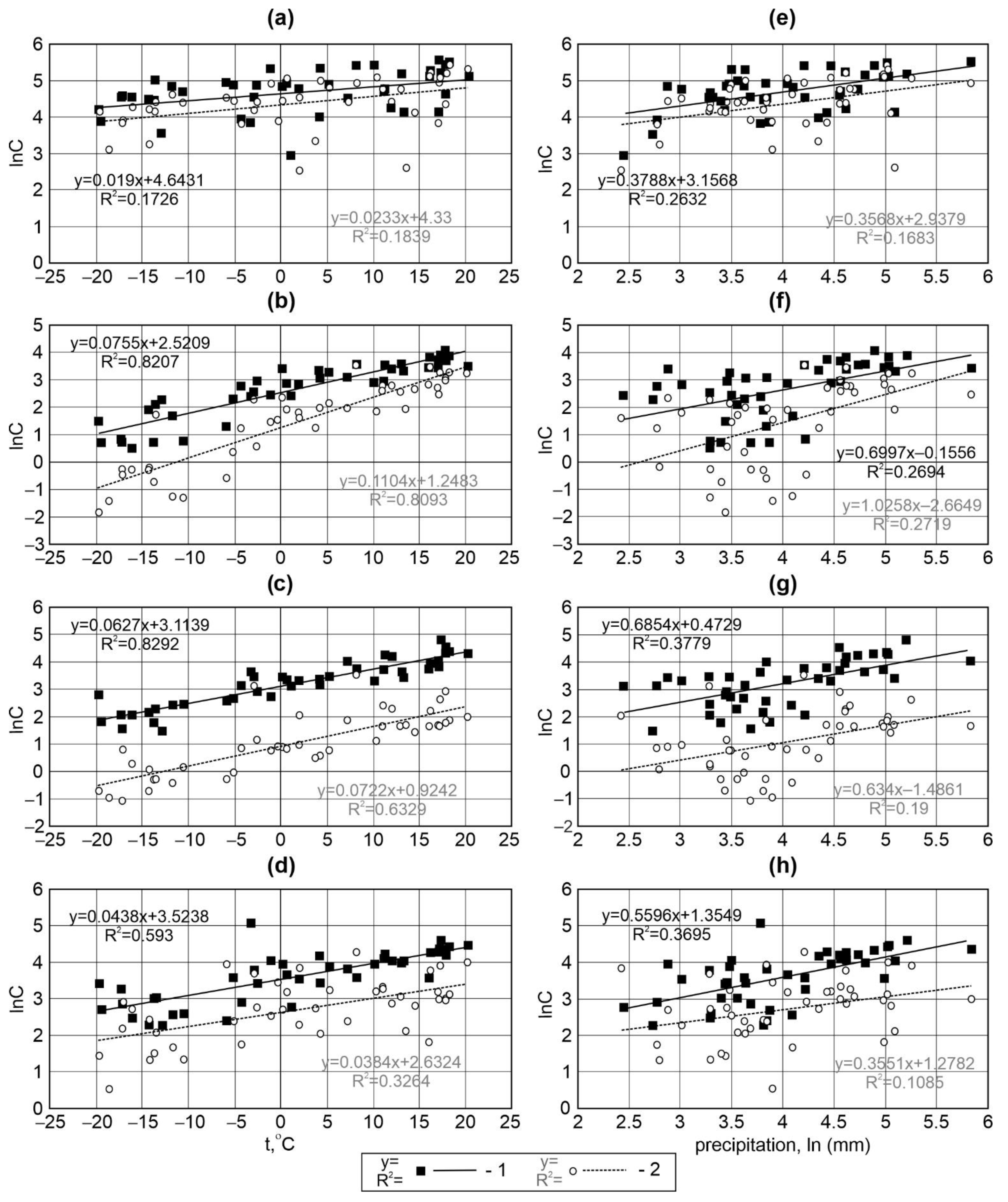
3.4. Temperature, Precipitation, Calm, and Wind Direction Effect on PCB and OCP Levels in Air
- −
- The influence of meteorological factors on air POP levels was more expressed at the urban station, as compared with the suburban one, which can be related to higher pollution with POPs, atmospheric particles, and other pollutants in the urban area. Taking into account that the quantity of air particles in the atmosphere at the Irkutsk urban station area was higher than that in the suburban station area, due to combustion processes in the heating period and transport emissions [117,118], and as the quantity of air particles may influence the ability of precipitation scavenging of POPs from air [119], these two factors may have resulted in the deposition of POPs on air particles, followed by the scavenging of POPs from air with precipitation together with particles. In addition, despite the relatively close location of the urban and suburban stations, the use of meteorological data for Irkutsk observatory for processing data for the suburban station may have led to an uncertainty factor, resulting in disturbance of the relationship between meteorological factors and POP levels in air at the suburban station;
- −
- The POP levels in air depend mainly on seasonal variations of air temperature followed by the quantity of precipitation, portion of W-NW winds, and calms (Tables S7–S10), thus indicating the predominance of POP evaporation from soil and other surfaces. The dependence of POP chemical properties on temperature is the deciding factor of the fate of POPs in environmental media [120], displayed both in seasonal variations of POP levels [24,36,61,105,106] and in the long-range, regional, and local air transport of POPs [104]. The temperature effect on soil volatilization, as the main source of POP emission into air, has been shown by Llanos et al. [121];
- −
- POP levels in air depend on the quantity of precipitation (Figure 6, Table S8). Dien et al. [99] and Wang et al. [106] found no correlation between rainfall rate and concentration of various POPs in air or a correlation between the concentrations of heavy chlorinated homologues of PCB only and rainfall rate. However, unlike the studies of Dien et al. [99] and Wang et al. [106], snow precipitation occurs about half the year in the Irkutsk area [44]. Snow is much more effective at scavenging POPs adsorbed onto atmospheric particles than rain, due to its porosity [119], which resulted in a significant relationship between POP levels in air and the quantity of precipitation in our investigation;
- −
- DDTs and HCHs, as opposed to PCBs, depend much more on the seasonal variations of air temperature and quantity of precipitation, which can be explained by seasonal evaporation from the soil contaminated with OCP, constant PCB sources such as emissions from transport or power stations, or sporadic PCB sources such as natural fires [95];
- −
- The negative effect of calm frequency (Table S10) indicated the atmospheric transport of some POPs. The regression slope increased from less chlorinated PCB to more chlorinated PCB, suggesting relevant atmospheric transport of more chlorinated homologs from the former industrial area of Usol’ekhimprom in the town of Usol’e-Sibirskoe;
- −
- Amongst the POPs investigated, HCB showed the lowest dependency on the meteorological factors, which may be due to the low octanol–air partition coefficient (KOA) and higher volatility of HCB [104].
3.5. Daily Exposure and Health Risk Assessment
4. Conclusions
Supplementary Materials
Author Contributions
Funding
Institutional Review Board Statement
Informed Consent Statement
Data Availability Statement
Acknowledgments
Conflicts of Interest
References
- de March, B.G.E.; de Wit, C.A.; Muir, D.C.G. Persistent Organic Pollutants; Arctic Assessment Report; Arctic Monitoring and Assessment Programme (AMAP): Oslo, Norway, 1998; Chapter 6; pp. 183–371. [Google Scholar]
- Alaee, M. (Ed.) Dioxin and Related Compounds. Special Volume in Honor of Otto Hutzinger. In The Handbook of Environmental Chemistry; Springer International Publishing: Cham, Switzerland, 2016; Volume 49, 462p. [Google Scholar]
- Schuster, J.K.; Harner, T.; Eng, A.; Rauert, C.; Ky, S.; Hornbuckle, K.C.; Johnson, C.W. Tracking POPs in global air from the first 10 years of the GAPS network (2005 to 2014). Environ. Sci. Technol. 2021, 55, 9479–9488. [Google Scholar] [CrossRef] [PubMed]
- Stockholm Convention on Persistent Organic Pollutants. Text and Annexes (Revised in 2019). Stockholm, 53. 2011. Available online: http://www.pops.int/TheConvention/Overview/TextoftheConvention/tabid/2232/Default.aspx (accessed on 12 September 2022).
- Guidance of the Global Monitoring Plan for Persistent Organic Pollutants; Secretariat of the Stockholm Convention: Geneva, Switzerland, 2007; 146p.
- Fiedler, H.; Abad, E.; van Bavel, B.; de Boer, J.; Bogdal, C.; Malisch, R. The need for capacity building and first results for the Stockholm Convention Global Monitoring Plan. TrAC. Trends Anal. Chem. 2013, 46, 72–84. [Google Scholar] [CrossRef]
- Postanovlenie N 320. On signing of the Stockholm Convention on Persistent Organic Pollutants. Decree of the Government of the Russian Federation of 18 May 2002, No. 320. Available online: https://rulaws.ru/goverment/Postanovlenie-Pravitelstva-RF-ot-18.05.2002-N-320/ (accessed on 21 February 2020). (In Russian)
- Federalnyy Zakon N 164-FZ. On Ratification of the Stockholm Convention on Persistent Organic Pollutants. Federal Law of 27 June 2011, No. 164-FL. Available online: https://rulaws.ru/laws/Federalnyy-zakon-ot-27.06.2011-N-164-FZ/ (accessed on 21 February 2020). (In Russian).
- Magulova, K.; Priceputu, A. Global monitoring plan for persistent organic pollutants (POPs) under the Stockholm Convention: Triggering, streamlining and catalyzing global POPs monitoring. Environ. Pollut. 2016, 217, 82–84. [Google Scholar] [CrossRef] [PubMed]
- Pozo, K.; Harner, T.; Wania, F.; Muir, D.C.G.; Jones, K.; Barrie, L.A. Toward a global network for persistent organic pollutants in air: Results from the GAPS study. Environ. Sci. Technol. 2006, 40, 4867–4873. [Google Scholar] [CrossRef] [PubMed]
- Graf, C.; Katsoyiannis, A.; Jones, K.C.; Sweetman, A.J. The TOMPs ambient air monitoring network–Continuous data on UK air quality for over 20 years. Environ. Pollut. 2016, 217, 42–51. [Google Scholar] [CrossRef] [PubMed]
- Bogdal, C.; Scheringer, M.; Abad, E.; Abalos, M.; van Bavel, B.; Hagberg, J.; Fiedler, H. Worldwide distribution of persistent organic pollutants in air, including results of air monitoring by passive air sampling in five continents. TrAC Trends Anal. Chem. 2013, 46, 150–161. [Google Scholar] [CrossRef]
- Jaward, F.M.; Farrar, N.J.; Harner, T.; Sweetman, A.J.; Jones, K.C. Passive air sampling of PCBs, PBDEs, and organochlorine pesticides across Europe. Environ. Sci. Technol. 2004, 38, 34–41. [Google Scholar] [CrossRef] [PubMed]
- Jaward, F.M.; Zhang, G.; Nam, J.J.; Sweetman, A.J.; Obbard, J.P.; Kobara, Y.; Jones, K.C. Passive air sampling of polychlorinated biphenyls, organochlorine compounds, and polybrominated diphenyl ethers across Asia. Environ. Sci. Technol. 2005, 39, 8638–8645. [Google Scholar] [CrossRef]
- Liu, X.; Zhang, G.; Li, J.; Yu, L.-L.; Xu, Y.; Li, X.-D.; Kobara, Y.; Jones, K.C. Seasonal patterns and current sources of DDTs, chlordanes, hexachlorobenzene, and endosulfan in the atmosphere of 37 Chinese cities. Environ. Sci. Technol. 2009, 43, 1316–1321. [Google Scholar] [CrossRef] [PubMed]
- Prithiviraj, B.; Taneja, A.; Chakraborty, P. Atmospheric polychlorinated biphenyls in a non-metropolitan city in northern India: Levels, seasonality and sources. Chemosphere 2021, 263, 127700. [Google Scholar] [CrossRef]
- Surnina, N.N.; Bobovnikova, T.S.I. Assessment of pollution of the air basin with polychlorinated biphenyls in the area of the condenser plant. Trudy IEM 1990, 17, 28–32. (In Russian) [Google Scholar]
- Surnina, N.N.; Anokhin, Y.A.; Kiryukhin, V.P.; Mitroshkov, A.V. Atmospheric contamination in the Angara and Baikal regions with polychlorinated biphenyls. In Monitoring of Lake Baikal; Publishing House of Gidrometeoizdat: Leningrad, Russia, 1991; pp. 54–59. [Google Scholar]
- Overview of the State and Pollution of the Environment in the Russian Federation for 2017; Federal Service for Hydrometeorology and Environmental Monitoring (Roshydromet): Moscow, Russia, 2018; 206p. Available online: https://www.meteorf.gov.ru/product/infomaterials/90/?year=2017&ID=90 (accessed on 15 August 2022). (In Russian)
- Zapevalov, M.A. Monitoring persistent organic pollutants–An objective and independent tool for evaluating effectiveness of Stockholm Convention on POPs (2001). Chem. Safety Sci. 2018, 2, 295–307. [Google Scholar]
- Stern, G.A.; Halsall, C.J.; Barrie, L.A.; Muir, D.C.G.; Fellin, P.; Rosenberg, B.; Rovinsky, F.Y.; Kononov, E.Y.; Pastuhov, B. Polychlorinated biphenyls in Arctic air. 1. Temporal and spatial trends: 1992−1994. Environ. Sci. Technol. 1997, 31, 3619–3628. [Google Scholar] [CrossRef]
- Samsonov, D.P.; Kochetkov, A.I.; Pasynkova, E.M.; Zapevalov, M.A. Levels of persistent organic pollutants in the components of the Lake Baikal unique ecosystem. Russ. Meteorol. Hydrol. 2017, 42, 345–352. [Google Scholar] [CrossRef]
- Samsonov, D.P.; Khomushku, G.M.; Pasynkova, E.M.; Kochetkov, A.I.; Pantyukhina, A.G.; Gusarov, A.S.; Kolesnikova, H.I. Assessment of the content of persistent organic pollutant substances in atmospheric air of Obninsk, Kaluga Region. Ecol. Chem. 2020, 29, 306–312. (In Russian) [Google Scholar]
- Konoplev, A.V.; Volkova, E.F.; Kochetkov, A.I.; Pervunina, R.I.; Samsonov, D.P. Monitoring of persistent organic pollutants in the ambient air as an element of implementation of the Stockholm Convention on persistent organic pollutants. Russ. J. Phys. Chem. B. 2012, 6, 652–658. [Google Scholar] [CrossRef]
- Konoplev, A.V.; Tsaturov, I. Persistent pollutants in the Russian Arctic. Sci. Russ. 2014, 2, 83–88. (In Russian) [Google Scholar]
- Pozo, K.; Harner, T.; Lee, S.C.; Wania, F.; Muir, D.C.G.; Jones, K.C. Seasonally resolved concentrations of persistent organic pollutants in the global atmosphere from the first year of GAPS study. Environ. Sci. Technol. 2009, 43, 796–803. [Google Scholar] [CrossRef]
- Iwata, H.; Tanabe, S.; Ueda, K.; Tatsukawa, R. Persistent organochlorine residues in air, water, sediments, and soil from the Lake Baikal Region, Russia. Environ. Sci. Technol. 1995, 29, 792–801. [Google Scholar] [CrossRef]
- McConnell, L.L.; Kucklick, J.R.; Bidleman, T.F.; Ivanov, G.P.; Chernyak, S.M. Air-water gas exchange of organochlorine compounds in Lake Baikal, Russia. Environ. Sci. Technol. 1996, 30, 2975–2983. [Google Scholar] [CrossRef]
- Amirova, Z.K.; Kruglov, E.A.; Shakhtamirov, I.Y. Method of passive sampling for the purpose of monitoring persistent organic pollutants in the areas of chemical weapon decommission and military operations. Theor. Appl. Ecol. 2010, 2, 31–36. (In Russian) [Google Scholar]
- Mamontova, E.A.; Kuzmin, M.I.; Tarasova, E.N.; Khomutova, M.Y. The investigation of PCBs and OCPs in air in Irkutsk Region (Russia) using passive air sampling. Chem. Bull. Kazakh Natl. Univ. 2010, 60, 209–213. [Google Scholar]
- Mamontova, E.A.; Tarasova, E.N.; Mamontov, A.A.; Kuzmin, M.I.; Borisov, B.Z.; Bulban, A.P.; Yurchenko, S.G.; Lepskaya, E.V.; Levshina, S.I.; Tregubov, O.D. Persistent organic pollutants in the atmospheric air of some territories of Siberia and the Russian Far East. Geograph. Natural Res. 2012, 4, 40–47. [Google Scholar]
- Mamontova, E.A.; Tarasova, E.N.; Levshina, S.I.; Yurchenko, S.G.; Mamontov, A.A. Polychlorinated biphenyls and organochlorine pesticides in the air-soil system in the South of the Russian Far East. Russ. Meteorol. Hydrol. 2014, 39, 742–749. [Google Scholar] [CrossRef]
- Mamontova, E.A.; Mamontov, A.A.; Tarasova, E.N. Organochlorine compounds in the atmospheric air in the towns of Irkutsk region. Geoecology 2016, 2, 133–141. (In Russian) [Google Scholar]
- Report on Persistent Organic Pollutants (POPs) in the Baikal Natural Territory. Federal Target Program. Protection of Lake Baikal and Socio-Economic Development of the Baikal natural Territory for 2012–2020. Part II. Results of Expedition Work 2015–2016, Obninsk. 2017. 38p. Available online: http://www.rpatyphoon.ru/upload/medialibrary/239/POPs_bpt_2015-2016_2.pdf (accessed on 22 August 2022). (In Russian).
- Hung, H.; Blanchard, T.P.; Halsall, C.J.; Bidleman, T.F.; Stern, G.A.; Fellin, P.; Muir, D.C.G.; Barrie, L.A.; Jantunen, L.M.; Helm, P.A.; et al. Temporal and spatial variabilities of atmospheric polychlorinated biphenyls (PCBs), organochlorine (OC) pesticides and polycyclic aromatic hydrocarbons (PAHs) in the Canadian Arctic: Results from a decade of monitoring. Sci. Total Environ. 2005, 342, 119–144. [Google Scholar] [CrossRef] [PubMed]
- Wong, F.; Hung, H.; Dryfhout-Clark, H.; Aas, W.; Bohlin-Nizzetto, P.; Breivik, K.; Mastromonaco, M.N.; Lundén, E.B.; Ólafsdóttir, K.; Sigurðsson, Á.; et al. Time trends of persistent organic pollutants (POPs) and hemicals of Emerging Arctic Concern (CEAC) in Arctic air from 25 years of monitoring. Sci. Total Environ. 2021, 775, 145109. [Google Scholar] [CrossRef]
- Shoeib, M.; Harner, T. Characterization and comparison of three passive air samplers for persistent organic pollutants. Environ. Sci. Technol. 2002, 36, 4142–4151. [Google Scholar] [CrossRef]
- Hung, H.; Kallenborn, R.; Breivik, K.; Su, Y.; Brorström-Lundén, E.; Olafsdottir, K.; Thorlacius, J.M.; Leppänen, S.; Bossi, R.; Skov, H.; et al. Atmospheric monitoring of organic pollutants in the Arctic under the Arctic Monitoring and Assessment Programme (AMAP): 1993–2006. Sci. Total Environ. 2010, 408, 2854–2873. [Google Scholar] [CrossRef]
- Halse, A.K.; Schlabach, M.; Eckhardt, S.; Sweetman, A.; Jones, K.C.; Breivik, K. Spatial variability of POPs in European background air. Atmos. Chem. Phys. 2011, 11, 1549–1564. [Google Scholar] [CrossRef]
- Gritsenko, A.A.; Zarutskaya, I.P.; Shotskiy, V.P. (Eds.) Atlas of Irkutsk Region; Publishing of The Main Directorate of Geodesy and Cartography; Ministry of Geology and Subsoil Protection of the USSR: Moscow-Irkutsk, Russia, 1962; 182p. (In Russian) [Google Scholar]
- Galaziy, G.I. (Ed.) Atlas of Lake Baikal; Publishing House of the Federal Service of Geodesy and Cartography of Russia: Moscow, Russia, 1993; 160p. (In Russian) [Google Scholar]
- Maksyutova, E.V.; Kichigina, N.V.; Voropai, N.N.; Balybina, A.S.; Osipova, O.P. Tendencies of hydroclimatic changes on the Baikal natural territory. Geograph. Natural Res. 2012, 33, 304–311. [Google Scholar] [CrossRef]
- Kostrova, S.S.; Meyer, H.; Fernandoy, F.; Werner, M.; Tarasov, P.E. Moisture origin and stable isotope characteristics of precipitation in southeast Siberia. Hydrol. Process. 2020, 34, 51–67. [Google Scholar] [CrossRef]
- Korytny, L.M. (Ed.) Atlas of Development of Irkutsk; Publishing house Sochava Institute of Geography, Siberian Branch of the Russian Academy of Science: Irkutsk, Russia, 2011; 131p. (In Russian) [Google Scholar]
- Wilson, J.; Nesterov, A. The Dacha in Modern Russian History and Legislation. Available online: https://geohistory.today/dacha-modern-russian-history-legislation/ (accessed on 21 August 2022).
- Irkutsk Region is 80 Years Old; Statistical Compendium; The Federal State Statistics Service for the Irkutsk Region: Irkutsk, Russia, 2017; 254p, Available online: https://irkutskstat.gks.ru/folder/113357/document/167609 (accessed on 21 August 2021). (In Russian)
- Ippolitova, N.A.; Kovalenko, S.N.; Orel, G.F. Geography of Irkutsk Region; Publishing House Sochava Institute of Geography, Siberian Branch of the Russian Academy of Science: Irkutsk, Russia, 2013; 233p. (In Russian) [Google Scholar]
- Mamontov, A.A.; Mamontova, E.A.; Tarasova, E.N.; McLachlan, M.S. Tracing the Sources of PCDD/Fs and PCBs to Lake Baikal. Environ. Sci. Technol. 2000, 34, 741–747. [Google Scholar] [CrossRef]
- Mamontova, E.A.; Tarasova, E.N.; Mamontov, A.A.; Kuzmin, M.I.; McLachlan, M.S.; Khomutova, M.I. The influence of soil contamination on the concentrations of PCBs in milk in Siberia. Chemosphere 2007, 67, S71–S78. [Google Scholar] [CrossRef]
- Mamontova, E.A.; Mamontov, A.A.; Tarasova, E.N.; Kolesnikov, S.I.; Fürst, P.; Päpke, O.; Ryan, J.; McLachlan, M.S. PCDD/F in human milk and blood samples from a contaminated region near Lake Baikal. Organohal. Compd. 1999, 44, 37–40. [Google Scholar]
- Mamontova, E.A.; Tarasova, E.N.; Mamontov, A.A. PCBs and OCPs in human milk in Eastern Siberia, Russia: Levels, temporal trends and infant exposure assessment. Chemosphere 2017, 178, 239–248. [Google Scholar] [CrossRef]
- Mamontova, E.A.; Tarasova, E.N.; Mamontov, A.A.; Mamontov, A.M. Freshwater seal as a source of direct and indirect increased human exposure to persistent organic pollutants in a background area. Sci. Total Environ. 2020, 715, 136922. [Google Scholar] [CrossRef]
- Template for Calculating PUF and SIP Disk Sample Air Volumes_April 06_2020. 2020_v2.2. Available online: https://www.researchgate.net/profile/Tom_Harner/publications (accessed on 20 January 2022).
- Gusev, V.A.; Karpov, I.K.; Kiselev, A.I. Algorithm for constructing a hierarchical dendrogram by cluster analysis in geological and geochemical applications. Izv. AN SSSR. Series Geol. 1974, 8, 61–67. (In Russian) [Google Scholar]
- Human Health Risk Assessment from Environmental Chemicals; Manual. R 2.1.10.1920-04, 2004; Federal Center for State Sanitary and Epidemiological Surveillance of the Ministry of Health of Russia: Moscow, Russia, 2004; 143p, Available online: https://files.stroyinf.ru/Data2/1/4293853/4293853015.pdf (accessed on 7 October 2022). (In Russian)
- US EPA. Risk Assessment Guidance for Superfund. In Volume I. Human Health Evaluation Manual (Part A); Interim Final. EPA/540/1-89/002; Office of Emergency and Remedial Response, U.S. Environmental Protection Agency: Washington, DC, USA, 1989. Available online: https://www.epa.gov/risk/risk-assessment-guidance-superfund-rags-part (accessed on 7 October 2022).
- US EPA. Exposure Factors Handbook; EPA/600/P-95/002F; Environmental Protection Agency, Office of Research and Development: Washington, DC, USA, 1997. Available online: https://www.nrc.gov/docs/ML1307/ML13078A066.pdf (accessed on 7 October 2022).
- GN 1.2.3539-18; Hygienic Standards for the Content of Pesticides in the Environment (the List). Federal Center of Hygiene and Epidemiology: Moscow, Russia, 2018. Available online: https://files.stroyinf.ru/Data2/1/4293737/4293737113.pdf (accessed on 7 October 2022). (In Russian)
- SanPiN 1.2.3685-21; Hygienic Standards and Requirements for Ensuring the Safety and (or) Harmlessness of Environ-mental Factors for Humans. 2021. Available online: http://publication.pravo.gov.ru/Document/View/0001202102030022?index=0&rangeSize=1 (accessed on 22 August 2022). (In Russian)
- GOST 12.1.005–88; Occupational Safety Standards System (SSBT). General Sanitary Requirements for Working Zone Air (With a Change in #1). 5th ed. Standartinform: Moscow, Russia, 2008; 48p. Available online: https://files.stroyinf.ru/Index2/1/4294852/4294852045.htm (accessed on 7 October 2022). (In Russian)
- Sun, P.; Basu, I.; Blanchard, P.; Brice, K.A.; Hites, R.A. Temporal and spatial trends of atmospheric polychlorinated biphenyl concentrations near the Great Lakes. Environ. Sci. Technol. 2007, 41, 1131–1136. [Google Scholar] [CrossRef]
- Mamontova, E.A.; Tarasova, E.N.; Mamontov, A.A.; Goreglyad, A.V.; Tkachenko, L.L. Variations in the concentration of polychlorinated biphenyls and organochlorine pesticides in air over the Northern Hovsgol Region in 2008–2015. Russ. Meteorol. Hydrol. 2019, 44, 78–85. [Google Scholar] [CrossRef]
- Hao, Y.; Li, Y.; Wang, T.; Hu, Y.; Sun, H.; Matsiko, J.; Zheng, S.; Wang, P.; Zhang, Q. Distribution, seasonal variation and inhalation risks of polychlorinated dibenzo-p-dioxins and dibenzofurans, polychlorinated biphenyls and polybrominated diphenyl ethers in the atmosphere of Beijing, China. Environ. Geochem. Health. 2018, 40, 1907–1918. [Google Scholar] [CrossRef] [PubMed]
- Sun, W.; Liu, H.; Zhang, J.; Zhang, B.; Qu, C. Status, sources, and health risk of hexachlorocyclohexanes in the air of the rural region of Zhangzhou, Southeast China. Bull. Environ. Contam. Toxicol. 2021, 106, 676–682. [Google Scholar] [CrossRef] [PubMed]
- Zhang, L.; Dong, L.; Yang, W.; Zhou, L.; Shi, S.; Zhang, X.; Niu, S.; Li, L.; Wu, Z.; Huang, Y. Passive air sampling of organochlorine pesticides and polychlorinated biphenyls in the Yangtze River Delta, China: Concentrations, distributions, and cancer risk assessment. Environ. Pollut. 2013, 181, 159–166. [Google Scholar] [CrossRef] [PubMed]
- Huang, H.; Ding, Y.; Chen, W.; Zhang, Y.; Chen, W.; Chen, Y.; Mao, Y.; Qi, S. Two-way long-range atmospheric transport of organochlorine pesticides (OCPs) between the Yellow River source and the Sichuan Basin, Western China. Sci. Total Environ. 2019, 651, 3230–3240. [Google Scholar] [CrossRef] [PubMed]
- Zhao, S.; Jones, K.C.; Li, J.; Sweetman, A.J.; Liu, X.; Xu, Y.; Wang, Y.; Lin, T.; Mao, S.; Li, K.; et al. Evidence for major contributions of unintentionally produced PCBs in the air of China: Implications for the National source inventory. Environ. Sci. Technol. 2020, 54, 2163–2171. [Google Scholar] [CrossRef] [PubMed]
- Goel, A.; Upadhyay, K.; Chakraborty, M. Investigation of levels in ambient air near sources of polychlorinated biphenyls (PCBs) in Kanpur, India, and risk assessment due to inhalation. Environ. Monit. Assess. 2016, 188, 278. [Google Scholar] [CrossRef] [PubMed]
- Pozo, K.; Sarkar, S.K.; Estellano, V.H.; Mitra, S.; Audi, O.; Kukucka, P.; Pribylova, P.; Klanova, J.; Corsolini, S. Passive air sampling of persistent organic pollutants (POPs) and emerging compounds in Kolkata megacity and rural mangrove wetland Sundarban in India: An approach to regional monitoring. Chemosphere 2017, 168, 1430–1438. [Google Scholar] [CrossRef] [PubMed]
- Chakraborty, P.; Gadhavi, H.; Prithiviraj, B.; Mukhopadhyay, M.; Khuman, S.N.; Nakamura, M.; Spak, S.N. Passive air sampling of PCDD/Fs, PCBs, PAEs, DEHA, and PAHs from informal electronic waste recycling and allied sectors in Indian megacities. Environ. Sci. Technol. 2021, 55, 9469–9478. [Google Scholar] [CrossRef] [PubMed]
- Khuman, S.N.; Chakraborty, P. Air-water exchange of pesticidal persistent organic pollutants in the lower stretch of the transboundary river Ganga, India. Chemosphere 2019, 233, 966–974. [Google Scholar] [CrossRef] [PubMed]
- Pokhrel, B.; Gong, P.; Wang, X.; Khanal, S.N.; Ren, J.; Wang, C.; Gao, S.; Yao, T. Atmospheric organochlorine pesticides and polychlorinated biphenyls in urban areas of Nepal: Spatial variation, sources, temporal trends, and long-range transport potential. Atmos. Chem. Phys. 2018, 18, 1325–1336. [Google Scholar] [CrossRef]
- Yadav, I.C.; Devi, N.L.; Li, J.; Zhang, G.; Breivik, K. Possible emissions of POPs in plain and hilly areas of Nepal: Implications for source apportionment and health risk assessment. Environ. Pollut. 2017, 220, 1289–1300. [Google Scholar] [CrossRef] [PubMed]
- Anh, H.Q.; Watanabe, I.; Tue, N.M.; Tuyen, L.H.; Viet, P.H.; Chi, N.K.; Minh, T.B.; Takahashi, S. Polyurethane foam-based passive air sampling for simultaneous determination of POP- and PAH-related compounds: A case study in informal waste processing and urban areas, northern Vietnam. Chemosphere 2020, 247, 125991. [Google Scholar] [CrossRef] [PubMed]
- Kurt-Karakus, P.B.; Ugranli-Cicek, T.; Sofuoglu, S.C.; Celik, H.; Gungormus, E.; Gedik, K.; Sofuoglu, A.; Okten, H.E.; Birgul, A.; Alegria, H.; et al. The first countrywide monitoring of selected POPs: Polychlorinated biphenyls (PCBs), polybrominated diphenyl ethers (PBDEs) and selected organochlorine pesticides (OCPs) in the atmosphere of Turkey. Atmos. Environ. 2018, 177, 154–165. [Google Scholar] [CrossRef]
- Can-Güven, E.; Gedik, K.; Kurt-Karakus, P.B. Organochlorine pesticides and polychlorinated biphenyls from a greenhouse area on the Mediterranean coast of Turkey: Distribution, air-soil exchange, enantiomeric signature, and source implications. Atmos. Pollut. Res. 2022, 13, 101263. [Google Scholar] [CrossRef]
- Bobovnikova, T.; Dibtseva, A.; Mitroshkov, A.; Pleskachevskaya, G. Ecological assessment of a region with PCB emissions using samples of soil, vegetation and breast milk: A case study. Sci. Total Environ. 1993, 139/140, 357–364. [Google Scholar] [CrossRef]
- Bobovnikova, T.S.I.; Khakimov, F.I.; Popova, A.Y.; Orlinskii, D.B.; Kerzhentsev, A.S.; Deeva, N.R.; Priputina, I.V.; Alekseeva, L.B.; Chernik, G.V.; Pleskatchevskaya, G.A.; et al. The impact of the condenser plant on the environmental contamination of Serpukhov with polychlorinated biphenyls. In Polychlorinated Byphenyls. Supertoxicants of the XXI Century; VINITI: Moscow, Russia, 2000; Volume 5, pp. 87–103. (In Russian) [Google Scholar]
- Konoplev, A.V.; Nikitin, V.A.; Samsonov, D.P.; Chernik, G.V.; Rychkov, A.M. Polychlorinated biphenyls and organochlorine pesticides in atmosphere of Russian Far East Arctic. Meteorol. Hydrol. 2005, 7, 38–44. (In Russian) [Google Scholar]
- Mamontova, E.A.; Tarasova, E.N.; Mamontov, A.A. Persistent organic pollutants in the natural environments of the City of Bratsk (Irkutsk Oblast): Levels and risk assessment. Eurasian Soil Sci. 2014, 47, 1144–1151. [Google Scholar] [CrossRef]
- Barber, J.L.; Sweetman, A.J.; van Wijk, D.; Jones, K.C. Hexachlorobenzene in the global environment: Emissions, levels, distribution, trends and processes. Sci. Total Environ. 2005, 349, 1–44. [Google Scholar] [CrossRef]
- Hogarh, J.N.; Seike, N.; Kobara, Y.; Habib, A.; Nam, J.J.; Lee, J.-S.; Li, Q.; Liu, X.; Zhang, G.; Masunaga, S. Passive air monitoring of PCBs and PCNs across East Asia: A comprehensive congener evaluation for source characterization. Chemosphere 2012, 86, 718–726. [Google Scholar] [CrossRef]
- Trends and Dynamics of the State and Pollution of the Environment in the Russian Federation According to Long-Term Monitoring Data over the Past 10 years; Analytical review; Roshydromet: Moscow, Russia, 2017; 49p, Available online: http://downloads.igce.ru/publications/Tendencies/Tendencies_2017.pdf (accessed on 27 August 2022). (In Russian)
- Shen, L.; Wania, F.; Lei, Y.D.; Teixeira, C.; Muir, D.C.G.; Bidleman, T.F. Hexachlorocyclohexanes in the North American atmosphere. Environ. Sci. Technol. 2004, 38, 965–975. [Google Scholar] [CrossRef]
- de la Torre, A.; Sanz, P.; Navarro, I.; Martínez, M.A. Time trends of persistent organic pollutants in Spanish air. Environ. Pollut. 2016, 217, 26–32. [Google Scholar] [CrossRef] [PubMed]
- Klisenko, M.A. Handbook. Methods for Determining Microquantities of Pesticides in Food, Feed and the Environment; Kolos: Moscow, Russia, 1992; 565p. (In Russian) [Google Scholar]
- Savchenkov, M.F.; Ignat’eva, L.P. Hygiene of the Application of Pesticides in Siberia; Publishing House of Irkutsk State University: Irkutsk, Russia, 1994; 184p. (In Russian) [Google Scholar]
- Fedorov, L.A.; Yablokov, A.V. Pesticides: A Toxic Blow to the Biosphere and Humans; Nauka Publishing House: Moscow, Russia, 1999; 462p. (In Russian) [Google Scholar]
- Scherbakov, M.N. (Ed.) State Report on the Environmental Protection and State of the Environment of Irkutsk Region in 2003; Publishing House Oblmashinform: Irkutsk, Russia, 2004; 296p. (In Russian) [Google Scholar]
- Order N 138 About the Ban of DDT application. The Order of the Ministry of Health of USSR of March 2, 1989. Available online: http://base.garant.ru/4174500/ (accessed on 16 March 2022). (In Russian).
- UNEP. Regional Assessment of Persistent Toxic Substances; Central and Northeast Asia; Regional report; UNEP: Geneva, Switzerland, 2002; 134p. [Google Scholar]
- Anttila, P.; Brorstrom-Lunden, E.; Hansson, K.; Hakola, H.; Vestenius, M. Assessment of the spatial and temporal distribution of persistent organic pollutants (POPs) in the Nordic atmosphere. Atmos. Environ. 2016, 140, 22–33. [Google Scholar] [CrossRef]
- Kalina, J.; Scheringer, M.; Borůvková, J.; Kukučka, P.; Přibylová, P.; Sáňka, O.; Melymuk, L.; Váňa, M.; Klánová, J. Characterizing spatial diversity of passive sampling sites for measuring levels and trends of semivolatile organic chemicals. Environ. Sci. Technol. 2018, 52, 10599–10608. [Google Scholar] [CrossRef] [PubMed]
- Shunthirasingham, C.; Gawor, A.; Hung, H.; Brice, K.A.; Su, K.; Alexandrou, N.; Dryfhout-Clark, H.; Backus, S.; Sverko, E.; Shin, C.; et al. Atmospheric concentrations and loadings of organochlorine pesticides and polychlorinated biphenyls in the Canadian Great Lakes Basin (GLB): Spatial and temporal analysis (1992–2012). Environ. Pollut. 2016, 217, 124–133. [Google Scholar] [CrossRef]
- Wang, X.; Thai, P.K.; Li, Y.; Li, Q.; Wainwright, D.; Hawker, D.W.; Mueller, J.F. Changes in atmospheric concentrations of polycyclic aromatic hydrocarbons and polychlorinated biphenyls between the 1990s and 2010s in an Australian city and the role of bushfires as a source. Environ. Pollut. 2016, 213, 223–231. [Google Scholar] [CrossRef]
- Bohlin-Nizzetto, P.; Aas, W.; Warner, N. Monitoring of Environmental Contaminants in air and Precipitation, Annual Report 2016; NILU report 17/2017; NILU: Kjeller, Norway, 2017; 105p, Available online: http://hdl.handle.net/11250/2461410 (accessed on 30 September 2022).
- Hung, H.; Katsoyiannis, A.A.; Brorström-Lundén, E.; Olafsdottir, K.; Aas, W.; Breivik, K.; Bohlin-Nizzetto, P.; Sigurdsson, A.; Hakola, H.; Bossi, R.; et al. Temporal trends of persistent organic pollutants (POPs) in arctic air: 20 years of monitoring under the arctic monitoring and assessment programme (AMAP). Environ. Pollut. 2016, 217, 52–61. [Google Scholar] [CrossRef]
- Halvorsen, H.L.; Bohlin-Nizzetto, P.; Eckhardt, S.; Gusev, A.; Krogseth, I.S.; Moeckel, C.; Shatalov, V.; Skogeng, L.P.; Breivik, K. Main sources controlling atmospheric burdens of persistent organic pollutants on a national scale. Ecotoxicol. Environ. Saf. 2021, 217, 112172. [Google Scholar] [CrossRef]
- Dien, N.T.; Hirai, Y.; Koshiba, J.; Sakai, S. Factors affecting multiple persistent organic pollutant concentrations in the air above Japan: A panel data analysis. Chemosphere 2021, 277, 130356. [Google Scholar] [CrossRef]
- White, K.B.; Kalina, J.; Scheringer, M.; Prřibylovaá, P.; Kukucčka, P.; Kohoutek, J.; Prokesš, R.; Klaánovaá, J. Temporal trends of persistent organic pollutants across Africa after a decade of MONET passive airsSampling. Environ. Sci. Technol. 2021, 55, 9413–9424. [Google Scholar] [CrossRef]
- Pozo, K.; Martellini, T.; Corsolini, S.; Harner, T.; Kukučka, P.; Mulder, M.D.; Lammel, G.; Cincinelli, A. Persistent organic pollutants (POPs) in the atmosphere of coastal areas of the Ross Sea, Antarctica: Indications for long-term downward trends. Chemosphere 2017, 178, 458–465. [Google Scholar] [CrossRef]
- Zhang, X.; Zhang, X.; Zhang, Z.-F.; Yang, P.-F.; Li, Y.-F.; Cai, M.; Kallenborn, R. Pesticides in the atmosphere and seawater in a transect study from the Western Pacific to the Southern Ocean: The importance of continental discharges and air-seawater exchange. Water Res. 2022, 217, 118439. [Google Scholar] [CrossRef] [PubMed]
- Mamontova, E.A.; Mamontov, A.A.; Tarasova, E.N. Ecological and hygienic assessment of the consequences of the pollution with persistent organic compounds of an industrial town (by the example of Usol’e-Sibirskoe): I. Atmospheric air, snow, and soil. Russ. J. Gen. Chem. 2016, 86, 2987–2996. [Google Scholar] [CrossRef]
- Wania, F.; Mackay, D. Tracking the distribution of persistent organic pollutants. Environ. Sci. Toxicol. 1996, 30, 390A–396A. [Google Scholar]
- Takazawa, Y.; Takasuga, T.; Doi, K.; Saito, M.; Shibata, Y. Recent decline of DDTs among several organochlorine pesticides in background air in East Asia. Environ. Pollut. 2016, 217, 134–142. [Google Scholar] [CrossRef] [PubMed]
- Wang, C.; Wang, X.; Gong, P.; Yao, T. Long-term trends of atmospheric organochlorine pollutants and polycyclic aromatic hydrocarbons over the southeastern Tibetan Plateau. Sci. Total Environ. 2018, 624, 241–249. [Google Scholar] [CrossRef] [PubMed]
- Estellano, V.H.; Pozo, K.; Přibylová, P.; Klánová, J.; Audy, O.; Focardi, S. Assessment of seasonal variations in persistent organic pollutants across the region of Tuscany using passive air samplers. Environ. Pollut. 2017, 222, 609–616. [Google Scholar] [CrossRef]
- Dvorska, A.; Lammel, G.; Holoubek, I. Recent trends of persistent organic pollutants in air in central Europe-Air monitoring in combination with air mass trajectory statistics as a tool to study the effectivity of regional chemical policy. Atmos. Environ. 2009, 43, 1280–1287. [Google Scholar] [CrossRef]
- Willett, K.L.; Ulrich, E.M.; Hites, R.A. Differential toxicity and environmental fates of hexachlorocyclohexane isomers. Environ. Sci. Technol. 1998, 32, 2197–2207. [Google Scholar] [CrossRef]
- Barrie, L.A.; Gregor, D.; Hargrave, B.; Lake, R.; Muir, D.; Shearer, R.; Tracey, B.; Bidleman, T. Artic contaminants: Sources, occurrence and pathways. Sci. Total Environ. 1992, 122, 1–74. [Google Scholar] [CrossRef]
- Rapaport, R.A.; Eisenreich, S.J. Atmospheric deposition of toxaphene to eastern north America derived from peat accumulation. Atmos. Environ. 1986, 20, 2367–2379. [Google Scholar] [CrossRef]
- Galiulin, R.V.; Galiulina, R.A. Ecogeochemical assessment of the "reprints” of persistent organochlorine pesticides in the soil–surface water system. Agrokhimiya 2008, 1, 52–56. (In Russian) [Google Scholar]
- Li, Y.F.; Zhulidov, A.V.; Robarts, R.D.; Korotova, L.G.; Zhulidov, D.A.; Gurtovaya, Y.T.; Ge, L.P. Dichlorodiphenyltrichloroethane usage in the former Soviet Union. Sci. Total Environ. 2006, 357, 138–145. [Google Scholar] [CrossRef] [PubMed]
- Melnikova, O.V.; Vershinin, E.A.; Verzhutskaya, Y.A.; Korzun, V.M.; Adelshin, R.V.; Trushina, Y.N.; Andaev, E.I. Multi-year monitoring of the tick–pathogen system in natural foci of tick-borne encephalitis in the suburbs of Irkutsk. Entmol. Rev. 2021, 101, 1471–1484. [Google Scholar] [CrossRef]
- Ivanov, V.; Sandell, E. Characterization of polychlorinated biphenyl isomers in Sovol and Trichlorodiphenyl formulations by high-resolution gas chromatography with electron capture detection and high-resolution gas chromatography-mass spectrometry techniques. Environ. Sci. Technol. 1992, 26, 2012–2017. [Google Scholar] [CrossRef]
- Bulygina, O.N.; Rasuvaev, V.N.; Alexandrova, T.M. The Description of the Database of Daily Air Temperature and Precipitation at Meteorological Stations in Russia and the Former USSA (TTTR). Certificate of State Registration of the Database No 2014620942. Available online: http://meteo.ru/data/162-temperature-precipitation#oписание-массива-данных (accessed on 12 January 2022). (In Russian).
- Mamontova, E.A.; Mamontov, A.A.; Tarasova, E.N.; Chuvashov, Y.A. The pollution with PCB of snow cover in Irkutsk Region. Geograph. Nat. Res. 2001, 4, 133–136. (In Russian) [Google Scholar]
- Arguchintseva, A.V. Mathematical simulation of the anthropogenic aerosol distribution. Atmos. Ocean. Opt. 1996, 9, 506–508. [Google Scholar]
- Franz, T.P.; Eisenreich, S.J. Snow scavenging of polychlorinated biphenyls and polycyclic aromatic hydrocarbons in Minnesota. Environ. Sci. Technol. 1998, 32, 1771–1778. [Google Scholar] [CrossRef]
- Wania, F.; Haugen, J.-E.; Lei, Y.D.; Mackay, D. Temperature dependence of atmospheric concentrations of semivolatile organic compounds. Environ. Sci. Technol. 1998, 32, 1013–1021. [Google Scholar] [CrossRef]
- Llanos, Y.; Cortés, S.; Martínez, A.; Pozo, K.; Přibylová, P.; Klánová, J.; Jorquera, H. Local and regional sources of organochlorine pesticides in a rural zone in central Chile. Atmos. Pollut. Res. 2022, 13, 101411. [Google Scholar] [CrossRef]
- The Condition and Pollution of Environment in Russian Federation in 2017 Year; State report; Roshidromet: Moscow, Russia, 2018; 206p, Available online: http://downloads.igce.ru/publications/reviews/review2017.pdf (accessed on 17 January 2022). (In Russian)
- Halsall, C.J.; Bailey, R.; Stern, G.A.; Barrie, L.A.; Fellin, P.; Muir, D.C.G.; Rosenberg, B.; Rovinsky, F.Y.; Kononov, E.Y.; Pastukhov, B. Multi-year observations of organohalogen pesticides in the Arctic atmosphere. Environ. Poll. 1998, 102, 51–62. [Google Scholar]






| Mean | Median | Min | Max | SD | SE | p | Mean | Median | Min | Max | SD | SE | |
|---|---|---|---|---|---|---|---|---|---|---|---|---|---|
| Urban, 1st station | Suburban, 2nd station | ||||||||||||
| HCB | 123 | 116 | 18.9 | 253 | 60.3 | 9.30 | * | 96 | 83 | 12.7 | 224 | 52 | 8.0 |
| α-HCH | 73 | 72 | 28 | 154 | 33 | 5.1 | *** | 16 | 16 | BDL | 33 | 7.7 | 1.2 |
| γ-HCH | 21 | 19 | 1.6 | 59 | 15 | 2.4 | *** | 9.4 | 6.8 | BDL | 34 | 9.3 | 1.4 |
| ∑HCH | 94 | 84 | 30 | 209 | 47 | 7 | *** | 26 | 21 | 0.8 | 67 | 15 | 2.4 |
| α/γ-HCH | 6.4 | 3.6 | 2.1 | 36 | 6.7 | 1.0 | - | 9.8 | 1.7 | 0.03 | 74 | 18 | 2.8 |
| p,p′-DDT | 35 | 27 | 1.7 | 141 | 34 | 5.2 | *** | 14 | 7.5 | BDL | 66 | 15 | 2.3 |
| p,p′-DDE | 34 | 29 | 4.4 | 122 | 27 | 4.1 | *** | 5.3 | 2.6 | BDL | 34 | 6.6 | 1.0 |
| p,p′-DDD | 3.9 | 1.7 | BDL | 31 | 5.9 | 0.9 | ** | 1.7 | 0.6 | BDL | 14 | 3.1 | 0.5 |
| ∑p,p′-DDX | 74 | 55 | 6.8 | 277 | 62 | 9.6 | *** | 21 | 11 | 0.7 | 98 | 22 | 3.5 |
| p,p′-DDT/p,p′-DDE | 0.91 | 0.83 | 0.14 | 2.09 | 0.44 | 0.07 | *** | 2.81 | 2.68 | 0.34 | 6.16 | 1.49 | 0.23 |
| p,p′-DDT/(p,p′-DDE + p,p′-DDD) | 0.81 | 0.77 | 0.12 | 1.80 | 0.36 | 0.06 | *** | 2.16 | 2.10 | 0.16 | 5.10 | 1.22 | 0.18 |
| PCB-8 + PCB-5 | 0.68 | 0.09 | BDL | 25 | 3.84 | 0.59 | - | 0.99 | 0.09 | BDL | 34 | 5.25 | 0.80 |
| PCB-31 | 9.94 | 10.3 | 1.36 | 23 | 5.39 | 0.83 | *** | 3.33 | 3.06 | BDL | 7.99 | 1.96 | 0.30 |
| PCB-28 | 9.24 | 9.52 | 1.05 | 20 | 5.28 | 0.82 | *** | 2.57 | 1.93 | BDL | 8.74 | 2.16 | 0.33 |
| PCB-52 | 12.0 | 12.6 | BDL | 26.1 | 6.48 | 1.00 | *** | 6.72 | 5.82 | BDL | 26.8 | 5.11 | 0.78 |
| PCB-49 | 4.38 | 4.18 | 0.62 | 11.7 | 2.75 | 0.42 | *** | 1.13 | 0.78 | BDL | 5.64 | 1.21 | 0.18 |
| PCB-47 | 1.04 | 0.52 | BDL | 5.09 | 1.19 | 0.18 | *** | 0.21 | 0.05 | BDL | 1.94 | 0.36 | 0.06 |
| PCB-44 | 8.63 | 9.31 | 1.71 | 16.6 | 4.31 | 0.67 | *** | 3.02 | 2.31 | BDL | 23.5 | 3.68 | 0.56 |
| PCB-74 | 4.74 | 4.04 | BDL | 24.7 | 4.30 | 0.66 | * | 2.56 | 1.75 | BDL | 8.76 | 1.84 | 0.28 |
| PCB-70 + PCB-76 | 3.20 | 1.46 | BDL | 14.1 | 3.61 | 0.77 | ** | 0.53 | 0.20 | BDL | 7.95 | 1.24 | 0.19 |
| PCB-95 + PCB-66 | 13.6 | 12.4 | 0.03 | 43.0 | 8.94 | 1.38 | ** | 6.71 | 4.57 | BDL | 36.0 | 6.83 | 1.04 |
| PCB-91 | 3.22 | 2.68 | BDL | 11.8 | 2.76 | 0.56 | 0.054 | 0.80 | 0.11 | BDL | 5.90 | 1.26 | 0.19 |
| PCB-101 + PCB-90 | 13.6 | 13.2 | BDL | 83.7 | 13.2 | 2.03 | *** | 6.62 | 3.79 | BDL | 41.7 | 8.72 | 1.33 |
| PCB-99 | 6.33 | 6.37 | BDL | 24.7 | 4.57 | 0.70 | *** | 2.93 | 2.35 | BDL | 13.1 | 2.55 | 0.39 |
| PCB-97 | 1.88 | 1.52 | BDL | 6.59 | 1.53 | 0.24 | *** | 0.96 | 0.52 | BDL | 6.35 | 1.25 | 0.19 |
| PCB-87 + PCB-115 | 4.33 | 4.32 | 0.44 | 20.8 | 3.29 | 0.51 | *** | 2.43 | 1.82 | BDL | 15.4 | 2.72 | 0.41 |
| PCB-85 | 0.82 | 0.58 | BDL | 3.05 | 0.78 | 0.12 | - | 0.44 | 0.30 | BDL | 1.45 | 0.35 | 0.05 |
| PCB-110 + PCB-77 | 9.43 | 9.06 | BDL | 27.9 | 7.27 | 1.12 | ** | 5.11 | 3.89 | BDL | 21.6 | 4.99 | 0.76 |
| PCB-82 | 0.47 | 0.40 | BDL | 1.68 | 0.45 | 0.07 | - | 0.37 | 0.23 | BDL | 2.85 | 0.57 | 0.09 |
| PCB-149 | 3.82 | 3.59 | BDL | 11.6 | 3.13 | 0.64 | *** | 0.48 | 0.06 | BDL | 2.51 | 0.64 | 0.10 |
| PCB-118 | 9.96 | 9.27 | 2.45 | 36.9 | 6.28 | 0.97 | *** | 5.55 | 4.32 | 0.48 | 21.9 | 4.49 | 0.69 |
| PCB-153 | 4.32 | 3.62 | BDL | 14.7 | 4.04 | 0.62 | *** | 1.58 | 0.61 | BDL | 11.1 | 2.40 | 0.37 |
| PCB-132 | 0.35 | 0.25 | BDL | 1.13 | 0.33 | 0.07 | * | 0.06 | 0.01 | BDL | 0.29 | 0.08 | 0.01 |
| PCB-105 | 2.55 | 2.28 | BDL | 8.21 | 2.18 | 0.34 | ** | 1.24 | 0.36 | BDL | 9.46 | 2.12 | 0.32 |
| PCB-141 | 0.44 | 0.11 | BDL | 2.16 | 0.57 | 0.09 | *** | 0.09 | 0.02 | BDL | 1.18 | 0.21 | 0.03 |
| PCB-138 | 5.72 | 4.94 | BDL | 18.0 | 4.42 | 0.68 | *** | 2.73 | 1.56 | BDL | 19.1 | 3.48 | 0.53 |
| PCB-158 | 0.30 | 0.15 | BDL | 1.56 | 0.34 | 0.05 | * | 0.21 | 0.08 | BDL | 1.98 | 0.40 | 0.06 |
| PCB-187 | 0.67 | 0.45 | BDL | 2.78 | 0.76 | 0.12 | *** | 0.09 | 0.01 | BDL | 0.77 | 0.18 | 0.03 |
| PCB-183 | 0.49 | 0.38 | BDL | 1.49 | 0.43 | 0.07 | *** | 0.18 | 0.10 | BDL | 0.80 | 0.21 | 0.03 |
| PCB-128 | 0.81 | 0.64 | BDL | 3.10 | 0.73 | 0.11 | *** | 0.45 | 0.20 | BDL | 5.27 | 0.85 | 0.13 |
| PCB-156 | 0.25 | 0.19 | BDL | 1.31 | 0.27 | 0.04 | *** | 0.18 | 0.02 | BDL | 4.03 | 0.62 | 0.09 |
| PCB-180 | 0.79 | 0.39 | BDL | 4.08 | 0.93 | 0.14 | *** | 0.23 | 0.02 | BDL | 3.11 | 0.66 | 0.10 |
| PCB-170 | 0.29 | 0.19 | BDL | 1.79 | 0.35 | 0.05 | *** | 0.12 | 0.02 | BDL | 2.24 | 0.38 | 0.06 |
| ∑PCB39 | 134 | 128 | 28 | 393 | 81 | 12 | *** | 61 | 52 | 7.9 | 225 | 43 | 6.6 |
| ∑PCB6 | 45.7 | 41.3 | 9.66 | 158 | 30.1 | 4.6 | *** | 20.5 | 16.5 | 1.7 | 72 | 16 | 2.4 |
| diCB | 0.68 | 0.09 | 0.04 | 24.9 | 3.84 | 0.59 | - | 0.99 | 0.09 | BDL | 34.5 | 5.25 | 0.80 |
| triCB | 19.2 | 20.4 | 3.59 | 42.9 | 10.4 | 1.61 | *** | 5.90 | 5.36 | BDL | 15.3 | 3.88 | 0.59 |
| tetraCB | 46.1 | 41.7 | 8.67 | 118 | 25.3 | 3.90 | *** | 20.9 | 18.4 | 3.61 | 80.3 | 15.8 | 2.41 |
| pentaCB | 51.3 | 50.0 | 6.17 | 207 | 36.3 | 5.61 | *** | 26.6 | 20.6 | 2.73 | 113 | 22.8 | 3.48 |
| hexaCB | 14.2 | 13.1 | 0.94 | 42.0 | 11.4 | 1.76 | *** | 5.77 | 3.53 | BDL | 40.6 | 7.30 | 1.11 |
| heptaCB | 2.26 | 1.49 | 0.05 | 9.38 | 2.33 | 0.36 | *** | 0.63 | 0.31 | BDL | 6.59 | 1.14 | 0.17 |
| octaCB | 0.05 | 0.02 | BDL | 0.13 | 0.05 | 0.02 | - | nd | nd | nd | nd | nd | nd |
| diCB, % | 0.38 | 0.07 | 0.02 | 11.9 | 1.82 | 0.28 | *** | 2.07 | 0.18 | 0.04 | 66.7 | 10.2 | 1.55 |
| triCB, % | 15.4 | 14.6 | 4.77 | 30.8 | 5.52 | 0.85 | ** | 11.8 | 10.5 | 0.39 | 38.1 | 8.34 | 1.27 |
| tetraCB, % | 35.9 | 36.2 | 23.3 | 55.8 | 6.33 | 0.98 | - | 36.0 | 36.9 | 15.1 | 53.9 | 9.40 | 1.43 |
| pentaCB, % | 37.8 | 36.6 | 21.9 | 58.8 | 7.19 | 1.11 | - | 41.1 | 42.0 | 8.13 | 72.0 | 11.4 | 1.74 |
| hexaCB, % | 9.19 | 9.59 | 2.26 | 16.3 | 3.46 | 0.53 | - | 8.14 | 7.37 | 1.23 | 28.5 | 4.94 | 0.75 |
| heptaCB, % | 1.36 | 1.15 | 0.10 | 3.48 | 0.86 | 0.13 | ** | 0.83 | 0.63 | 0.13 | 4.63 | 0.87 | 0.13 |
| octaCB, % | 0.03 | 0.01 | 0.01 | 0.09 | 0.04 | 0.02 | - | nd | nd | nd | nd | nd | nd |
| n | ∑PCBs | α-HCH | γ-HCH | DDT | DDE | HCB | Reference | ||||
|---|---|---|---|---|---|---|---|---|---|---|---|
| Irkutsk-1 | Urban | 2010–2018 | AM/Med | 40 | 134/128 | 73/72 | 21/19 | 35/27 | 34/29 | 123/116 | This study |
| 6 | 46/41 | This study | |||||||||
| Irkutsk-2 | Suburban | 2010–2018 | AM/Med | 40 | 61/52 | 16/16 | 9.4/6.8 | 14/7.5 | 5.3/2.6 | 96/83 | This study |
| 6 | 20/16 | This study | |||||||||
| GAPS | All | XII.2004-XII.2005 | GM | 48 | 26 (18–38) | 4–7 | 6–15 | BDL-1 | 1–5 | - | [29] |
| GAPS | All /polar /background/rural/agricultural/urban | 2011–2014 | GM | 7 | 4/ 10/ 2.5/ 4.8/ 5.8/ 27 | 4.8/ 36/ 4/ 2.2/ 5.3/ 3.5 | 4.1/ 7.8/ 3.2/ 2.0/ 4.9/ 9.4 | - | - | - | [3] |
| Mongolia | Rural | 2011–2015 | range | 28 | 6–254 | 1–56 | 0.2–34 | 0.1–26 | 0.1–21 | 11–143 | [62] |
| 6 | 2–78 | ||||||||||
| China, Beijing | Residential, industrial, suburban and rural | II.2011-III.2012 | range | 19 | 38.6–139 | - | - | - | - | - | [63] |
| Southeast China | Rural | X.2012-IX.2013 | AM | - | - | 9.45 | 4.04 | - | - | - | [64] |
| Yangtze River Delta, China | Urban, rural | VI.2010-VI.2011 | AM | 6 | 22–44 | nd-38 * | - | 106–215 @ | 105–178 | 17–376 | [65] |
| Western China | Different areas | VII-X.2015 | AM | - | - | 9.46 | 7.78 | 2.3 | 2.46 | 22.9 | [66] |
| China | Total | 2016–2017 | AM | 18 | 69 | [67] | |||||
| China | Urban/ Rural/ Remote/ Industrial/ E-waste | 2016–2017 | Med | 209 | 92/ 66/ 32/ 103/ 1344 | - | - | - | - | - | [67] |
| India | IV-V.2013 | range | 32 | 254–432 | - | - | - | - | - | [68] | |
| India | Urban | XII.2013-III.2014 | AM | 7 | 140 | 60 | 48 | 72 | 28 | - | [69] |
| India, | Urban | I.2015 | AM (range) | 25 | 9000 (500–52000) | - | - | - | - | - | [70] |
| India | Urban, suburban | III-IV.2015 | AM | - | - | 381 | 233 | 1079 | 610 | - | [71] |
| northern India | Urban, suburban, rural | I-II.2017; V-VI.2017 | range | 25 | 25–1433 | - | - | - | - | - | [16] |
| Nepal | Agricultural, urban | VIII.2014–VIII.2015; XI.2015– XI.2016 | range | 6 | 1.2–47 | 1.3–73 | 2–3300 | 2–621 | 2–364 | 6–350 | [72] |
| Nepal | Urban | VIII-X.2014 | range | 26 | 30–1002 | 3.5–51 | 4–2720 | 8–3340 | 4.2–1760 | 2.2–146 | [73] |
| Viet Nam | Urban | I-III.2013, IX-XI.2015 | range | 7 | 12–70 | - | - | - | - | - | [74] |
| 29 | 21–336 | ||||||||||
| Turkey | Rural, urban | V.2014-IV.2015 | AM | 43 | 108 | 64 * | - | 134 ** | - | 45 | [75] |
| Turkey | Agricultural | III.2014-III.2015 | Med (range) | 15 | 95 (nd-2764) | 5.4 (3–12) # | - | 67 (20–310) & | - | - | [76] |
Publisher’s Note: MDPI stays neutral with regard to jurisdictional claims in published maps and institutional affiliations. |
© 2022 by the authors. Licensee MDPI, Basel, Switzerland. This article is an open access article distributed under the terms and conditions of the Creative Commons Attribution (CC BY) license (https://creativecommons.org/licenses/by/4.0/).
Share and Cite
Mamontova, E.A.; Mamontov, A.A. Air Monitoring of Polychlorinated Biphenyls and Organochlorine Pesticides in Eastern Siberia: Levels, Temporal Trends, and Risk Assessment. Atmosphere 2022, 13, 1971. https://doi.org/10.3390/atmos13121971
Mamontova EA, Mamontov AA. Air Monitoring of Polychlorinated Biphenyls and Organochlorine Pesticides in Eastern Siberia: Levels, Temporal Trends, and Risk Assessment. Atmosphere. 2022; 13(12):1971. https://doi.org/10.3390/atmos13121971
Chicago/Turabian StyleMamontova, Elena A., and Alexander A. Mamontov. 2022. "Air Monitoring of Polychlorinated Biphenyls and Organochlorine Pesticides in Eastern Siberia: Levels, Temporal Trends, and Risk Assessment" Atmosphere 13, no. 12: 1971. https://doi.org/10.3390/atmos13121971
APA StyleMamontova, E. A., & Mamontov, A. A. (2022). Air Monitoring of Polychlorinated Biphenyls and Organochlorine Pesticides in Eastern Siberia: Levels, Temporal Trends, and Risk Assessment. Atmosphere, 13(12), 1971. https://doi.org/10.3390/atmos13121971

