Does Light Pollution Affect Nighttime Ground-Level Ozone Concentrations?
Abstract
1. Introduction
2. Materials and Methods
2.1. Light Pollution in Urban and Sub-Urban Areas
2.2. Nighttime Data Collection
2.3. Nighttime Chemistry and O3 Formation
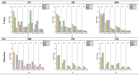
3. Results
3.1. Hourly Diurnal Variation in Urban and Suburban Area
3.2. Nighttime Ozone Formation
4. Conclusions
Author Contributions
Funding
Institutional Review Board Statement
Informed Consent Statement
Data Availability Statement
Acknowledgments
Conflicts of Interest
References
- Tong, K.P. On Observations of Artificial Light at Night from the Ground and Space. Ph.D. Thesis, Universität Bremen, Bremen, Germany, 2017. [Google Scholar]
- Falchi, F.; Cinzano, P.; Duriscoe, D.; Kyba, C.C.M.; Elvidge, C.D.; Baugh, K.; Furgoni, R. The new world atlas of artificial night sky brightness. Sci. Adv. 2016, 2, 1600377. [Google Scholar] [CrossRef] [PubMed]
- Falchi, F.; Cinzano, P.; Elvidge, C.D.; Keith, D.M.; Haim, A. Limiting the impact of light pollution on human health, the environment and stellar visibility. J. Environ. Manag. 2011, 92, 2714–2722. [Google Scholar] [CrossRef] [PubMed]
- Stark, H.; Brown, S.S.; Dube, W.P.; Wagner, N.; Ryerson, T.B.; Pollack, I.B.; Elvidge, C.D.; Ziskin, D.; Parrish, D.D. Nighttime photochemistry: Nitrate radical destruction by anthropogenic light sources. In Proceedings of the AGU Fall Meeting, San Francisco, CA, USA, 13–17 December 2010. [Google Scholar]
- Rahman, H.A. Haze phenomenon in Malaysia: Domestic or transboundary factor? In Proceedings of the 3rd International Journal Conference on Chemical Engineering and Its Applications (ICCEA’13), Phuket, Thailand, 28–29 September 2013; pp. 597–599. [Google Scholar]
- Pugliese, S.C.; Murphy, J.G.; Geddes, J.A.; Wang, J.M. The impacts of precursor reduction and meteorology on ground-level ozone in the Greater Toronto Area. Atmos. Chem. Phys. 2014, 14, 8197–8207. [Google Scholar] [CrossRef]
- Alghamdi, M.; Khoder, M.; Harrison, R.M.; Hyvärinen, A.P.; Hussein, T.; Al-Jeelani, H.; Almehmadi, F. Temporal variations of O3 and NOx in the urban background atmosphere of the coastal city of Jeddah, Saudi Arabia. Atmos. Environ. 2014, 94, 205–214. [Google Scholar] [CrossRef]
- Saini, R.; Singh, P.; Awasthi, B.B.; Kumar, K.; Taneja, A. During summer, ozone distributions and urban air quality in Agra—A world heritage site. Atmos. Poll. Res. 2014, 5, 796–804. [Google Scholar] [CrossRef]
- Toh, Y.Y.; Lim, S.F.; Von Glasow, R. The influence of meteorological factors and Biomass burning on surface ozone concentrations at Tanah Rata, Malaysia. Atmos. Environ. 2013, 70, 435–446. [Google Scholar] [CrossRef]
- Gioda, A.; Oliveira, R.C.; Cunha, C.L.; Corrêa, S.M. Understanding ozone formation at two islands of Rio de Janeiro, Brazil. Atmos. Poll. Res. 2018, 9, 278–288. [Google Scholar] [CrossRef]
- Adame, J.A.; Sole, J.G. Surface ozone variations in a rural area northeast of the Iberian Peninsula. Atmos. Poll. Res. 2013, 4, 130–141. [Google Scholar] [CrossRef]
- Simon, H.; Reff, A.; Wells, B.; Xing, J.; Frank, N. Ozone trends across the United States throughout decreasing NOx and VOC emissions. Environ. Sci. Technol. 2015, 49, 186–195. [Google Scholar]
- Strode, S.A.; Rodriguez, J.M.; Logan, J.A.; Cooper, O.R.; Witte, J.C.; Lamsal, L.N.; Damon, M.; Van Aartsen, B.; Steenrod, S.D.; Strahan, S.E. Trends and variability in surface ozone over the United States. J. Geophys. Res. Atmos. 2015, 120, 9020–9042. [Google Scholar] [CrossRef]
- Kulkarni, P.S.; Bortoli, D.; Silva, A.M. Nocturnal surface ozone enhancement and trend over urban and suburban sites in Portugal. Atmos. Environ. 2013, 71, 251–259. [Google Scholar] [CrossRef]
- Ghosh, D.; Lal, S.; Sarkar, U. High nocturnal ozone levels at a surface site in Kolkata, India: Trade-off between meteorology and specific nocturnal chemistry. Urban Clim. 2013, 5, 82–103. [Google Scholar] [CrossRef]
- Awang, N.R.; Ramli, N.A.; Yahaya, A.S.; Elbayoumi, M. Multivariate methods to predict ground-level ozone during the daytime, nighttime, and critical conversion time in urban areas. Atmos. Poll. Res. 2015, 6, 726–734. [Google Scholar] [CrossRef]
- Awang, N.R.; Ramli, N.A. Preliminary study of ground-level ozone nighttime removal process in an urban area. J. Trop. Resour. Sustain. Sci. 2017, 5, 83–88. [Google Scholar] [CrossRef]
- Yan, Y.; Lin, J.; He, C. Ozone trends over the United States at different times of the day. Atmos. Chem. Phys. 2018, 18, 1185–1202. [Google Scholar] [CrossRef]
- Awang, N.R.; Ramli, N.A.; Shith, S.; Md Yusof, N.F.F.; Zainordin, N.S.; Sansuddin, N.; Ghazali, N.A. Time effects of high particulate events on the critical conversion point of ground-level ozone. Atmos. Environ. 2018, 187, 328–334. [Google Scholar] [CrossRef]
- Awang, N.R.; Ramli, N.A.; Shith, S.; Zainordin, N.S.; Manogaran, H. Transformational characteristics of ground-level ozone during high particulate events in the urban area of Malaysia. Air Qual. Atmos. Health 2018, 11, 715–772. [Google Scholar] [CrossRef]
- Han, S.; Bian, H.; Feng, Y.; Liu, A.; Li, X.; Zeng, F.; Zhang, X. Analysis of the relationship between O3, NO and NO2 in Tianjin, China. Aerosol Air Qual. Res. 2011, 11, 128–139. [Google Scholar] [CrossRef]
- Clapp, L.J.; Jenkin, M.E. Analysis of the relationship between ambient levels of O3, NO2 and NO as a function of NOx in the UK. Atmos. Environ. 2001, 35, 6391–6405. [Google Scholar] [CrossRef]
- Stark, H.; Brown, S.S.; Wong, K.W.; Stutz, J.; Elvidge, C.D.; Pollack, I.B.; Ryerson, T.B.; Dube, W.P.; Wagner, N.L.; Parrish, D.D. City lights and urban air. Nat. Geosci. 2011, 4, 730. [Google Scholar] [CrossRef]
- Faid, M.S.; Husien, N.; Shariff, N.N.M.; Ali, M.O.; Hamidi, Z.S.; Zainol, N.H.; Sabri, S.N.U. Monitoring the Level of Light Pollution and its Impact on Astronomical Bodies Naked-Eye Visibility Range in Selected Areas in Malaysia Using the Sky Quality Meter. J. Indus. Engin. Manag. Scie. Appl. ICIMSA 2016, 2016, 1–18. [Google Scholar]
- Bortle, J.E. Introducing the Bortle dark-sky-scale. Sky Telesc. 2001, 60, 126–129. [Google Scholar]
- Stare, J. Light Pollution Map. Earth Observation Group, NOAA National Geophysical Data Center. Available online: https://www.lightpollutionmap.info/#zoom=4&lat=5759860&lon=1619364&layers=B0FFFFTFFFF (accessed on 22 October 2018).
- Department of Statistics Malaysia. Official Website. Population Quick Info. Available online: www.dosm.gov.my (accessed on 16 October 2018).
- Department of Environment Malaysia. Malaysia’s Environmental Quality Report 2010; M. O. S. Department of Environment, Technology and the Environment: Petaling Jaya, Malaysia, 2010.
- Mohammed, N.I.; Ramli, N.A.; Yahya, A.S. Ozone phytotoxicity evaluation and prediction of crop production in tropical regions. Atmos. Environ. 2013, 68, 343–349. [Google Scholar] [CrossRef]
- Ghazali, N.A.; Ramli, N.A.; Yahaya, A.S.; Md Yusof, N.F.F.; Sansuddin, N.; Al Madhoun, W. Transformation of nitrogen dioxide into ozone and prediction of ozone concentrations using multiple linear regression techniques. Environ. Monit. Assess. 2010, 165, 475–489. [Google Scholar] [CrossRef] [PubMed]
- Latif, M.T.; Dominick, D.; Ahamad, F.; Khan, M.F.; Juneng, L.; Hamzah, F.M.; Nadzir, M.S.M. Long term assessment of air quality from a background station on the Malaysian Peninsula. Sci. Total Environ. 2014, 482, 336–348. [Google Scholar] [CrossRef] [PubMed]
- Latif, M.T.; Huey, L.S.; Juneng, L. Variations of the surface ozone concentration across the Klang Valley, Malaysia. Atmos. Environ. 2012, 61, 434–445. [Google Scholar] [CrossRef]
- Shith, S.; Awang, N.R.; Latif, M.T.; Ramli, N.A. Fluctuations in nighttime ground-level ozone concentrations during haze events in Malaysia. Air Qual. Atmos. Health 2021, 14, 19–26. [Google Scholar] [CrossRef]
- Jhun, I.; Coull, B.A.; Zanobetti, A.; Koutrakis, P. The impact of nitrogen oxides concentration decreases on ozone trends in the USA, Air Qual. Atmos. Health 2015, 8, 283–292. [Google Scholar] [CrossRef]
- Kasparoglu, S.; Incecik, S.; Topcu, S. Spatial and temporal variation of O3, NO and NO2 concentrations at rural and urban sites in the Marmara Region of Turkey. Atmos. Pollut. Res. 2018, 9, 1009–1020. [Google Scholar] [CrossRef]
- Parandaman, A.; Tangtartharakul, C.B.; Kumar, M.; Francisco, J.S.; Sinha, A. A computational study investigating the energetics and kinetics of the HNCO + (CH3)2NH reaction catalyzed by a single water molecule. J. Phys. Chem. A 2017, 121, 8465–8473. [Google Scholar] [CrossRef]
- Khan, M.A.H.; Ashfold, M.J.; Nickless, G.; Martin, D.; Watson, L.A.; Hamer, P.D.; Wayne, R.P.; Canosa-Mas, C.E.; Shallcross, D.E. Night-time NO3 and OH radical concentrations in the United Kingdom inferred from hydrocarbon measurements. Atmos. Sci. Lett. 2008, 9, 140–146. [Google Scholar] [CrossRef]
- Brown, S.S.; Stutz, J. Nighttime radical observation and chemistry. Chem. Soc. Rev. 2012, 41, 6405–6447. [Google Scholar] [CrossRef] [PubMed]
- American Geophysical Union. Nighttime Chemistry Affects Ozone Formation. Science Daily. 2014. Available online: www.sciencedaily.com/releases/2004/04/040413002358.htm (accessed on 13 April 2004).
- Awang, N.R.; Elbayoumi, M.; Ramli, N.A.; Yahaya, A.S. Diurnal variations of ground-level ozone in three port cities in Malaysia. Air Qual. Atmos. Health 2016, 9, 25–39. [Google Scholar] [CrossRef]
- Brown, S.S.; Dubé, W.P.; Osthoff, H.D.; Stutz, J.; Ryerson, T.B.; Wollny, A.G.; Brock, C.A.; Warneke, C.; De Gouw, J.A.; Atlas, E.; et al. Vertical profiles in NO3 and N2O5 measured from an aircraft: Results from the NOAA P-3 and surface platforms during the New England Air Quality Study 2004. J. Geophys. Res. Atmos. 2007, 112, D22304. [Google Scholar] [CrossRef]





| Group | Station | Station ID | Coordinate (°) | Population [27] | * Bortle Dark-Sky Scale | ** Artificial Brightness (µcd/m2) | ** Brightness (µcd/m2) |
|---|---|---|---|---|---|---|---|
| Urban | Putrajaya | PT | N 2.9263 E 101.6964 | 90,000 | 8–9 (City sky) | 6350 | 6520 |
| Seremban | SB | N 2.7267 E 101.9368 | 372,917 | 7 (Sub-urban) | 4960 | 5130 | |
| Bandaraya Melaka | BM | N 2.1243 E 102.1411 | 180,671 | 7 (Sub-urban) | 4200 | 4380 | |
| Sub-urban | Muar | MR | N 2.0599 E 102.5951 | 127,897 | 6 (Bright Sub-urban) | 2160 | 2230 |
| Indera Mahkota | IM | N 3.8207 E 103.2970 | 64,343 | 6 (Bright Sub-urban) | 2510 | 2680 | |
| Tanjung Malim | TM | N 3.6850 E 101.5241 | 60,791 | 5 (Sub-urban) | 713 | 884 |
| Type of Data | Secondary Data | References |
|---|---|---|
| Instrument | UV Absorption O3 Analyzer Model 400A NO/NO2/NOx Analyzer Model 200A | [28,29,30,31] |
| Monitoring period | 12.00 a.m.–12.00 a.m. | |
| Total duration | 24 h |
| Site | Time | 2013 | 2014 | 2015 | ||||||
|---|---|---|---|---|---|---|---|---|---|---|
| O3 (ppb) | NO2 (ppb) | NO (ppb) | O3 (ppb) | NO2 (ppb) | NO (ppb) | O3 (ppb) | NO2 (ppb) | NO (ppb) | ||
| PT | DT | 41.69 ± 25.49 | 9.98 ± 1.98 | 5.47 ± 4.81 | 29.31 ± 19.14 | 14.15 ± 3.40 | 9.14 ± 8.31 | 43.06 ± 24.07 | 14.72 ± 4.23 | 6.07 ± 4.88 |
| NT | 20.91 ± 12.40 | 16.74 ± 4.40 | 6.02 ± 3.15 | 8.22 ± 6.52 | 20.61 ± 3.65 | 10.95 ± 4.46 | 18.55 ± 10.21 | 22.26 ± 3.75 | 5.21 ± 1.35 | |
| SB | DT | 35.50 ± 22.05 | 9.60 ± 2.13 | 5.05 ± 5.45 | 32.41 ± 17.11 | 7.30 ± 3.30 | 3.20 ± 3.40 | 21.37 ± 11.22 | 8.58 ± 2.91 | 4.16 ± 4.40 |
| NT | 10.76 ± 9.02 | 15.07 ± 5.26 | 3.75 ± 1.32 | 22.43 ± 12.18 | 11.56 ± 5.11 | 2.39 ± 1.17 | 10.94 ± 5.18 | 11.38 ± 4.25 | 2.47 ± 0.65 | |
| BM | DT | 36.31± 16.44 | 8.40 ± 2.31 | 4.84 ± 3.02 | 32.85 ± 13.11 | 5.58 ± 2.09 | 2.08 ± 1.04 | 37.37 ± 18.47 | 5.93 ± 2.26 | 4.29 ± 0.97 |
| NT | 19.14 ± 7.82 | 11.84 ± 2.65 | 3.14 ± 1.26 | 23.96 ± 8.34 | 8.97 ± 4.25 | 1.84 ± 0.64 | 23.32 ± 9.54 | 8.78 ± 2.21 | 3.18 ± 0.31 | |
| MR | DT | 32.26 ± 14.92 | 5.66 ± 1.06 | 7.42 ± 3.41 | Data not available | 27.21 ± 12.48 | 9.27 ± 2.63 | 4.21 ± 2.23 | ||
| NT | 17.06 ± 6.54 | 9.59 ± 2.68 | 8.67 ± 3.39 | 16.05 ± 7.11 | 13.55 ± 2.85 | 2.99 ± 0.49 | ||||
| IM | DT | 25.56 ± 14.94 | 6.08 ± 2.43 | 4.68 ± 2.72 | 26.68 ± 13.79 | 4.87 ± 2.85 | 2.73 ± 3.63 | Data not available | ||
| NT | 11.22 ± 6.10 | 10.63 ± 2.88 | 4.95 ± 3.31 | 17.61 ± 8.40 | 6.98 ± 1.84 | 1.45 ± 0.70 | ||||
| TM | DT | 21.92 ± 13.10 | 7.61 ± 2.05 | 3.49 ± 4.39 | 31.51 ± 21.48 | 6.53 ± 2.20 | 3.73 ± 5.20 | Data not available | ||
| NT | 9.31 ± 3.79 | 9.15 ± 5.65 | 2.76 ± 1.20 | 13.01 ± 12.13 | 11.14 ± 2.21 | 3.61 ± 2.21 | ||||
Publisher’s Note: MDPI stays neutral with regard to jurisdictional claims in published maps and institutional affiliations. |
© 2022 by the authors. Licensee MDPI, Basel, Switzerland. This article is an open access article distributed under the terms and conditions of the Creative Commons Attribution (CC BY) license (https://creativecommons.org/licenses/by/4.0/).
Share and Cite
Shith, S.; Ramli, N.A.; Awang, N.R.; Ismail, M.R.; Latif, M.T.; Zainordin, N.S. Does Light Pollution Affect Nighttime Ground-Level Ozone Concentrations? Atmosphere 2022, 13, 1844. https://doi.org/10.3390/atmos13111844
Shith S, Ramli NA, Awang NR, Ismail MR, Latif MT, Zainordin NS. Does Light Pollution Affect Nighttime Ground-Level Ozone Concentrations? Atmosphere. 2022; 13(11):1844. https://doi.org/10.3390/atmos13111844
Chicago/Turabian StyleShith, Syabiha, Nor Azam Ramli, Norrimi Rosaida Awang, Mohd Rodzi Ismail, Mohd Talib Latif, and Nazatul Syadia Zainordin. 2022. "Does Light Pollution Affect Nighttime Ground-Level Ozone Concentrations?" Atmosphere 13, no. 11: 1844. https://doi.org/10.3390/atmos13111844
APA StyleShith, S., Ramli, N. A., Awang, N. R., Ismail, M. R., Latif, M. T., & Zainordin, N. S. (2022). Does Light Pollution Affect Nighttime Ground-Level Ozone Concentrations? Atmosphere, 13(11), 1844. https://doi.org/10.3390/atmos13111844

