Real-Time PM2.5 Monitoring in a Diesel Generator Workshop Using Low-Cost Sensors
Abstract
1. Introduction
2. Materials and Methods
2.1. Selection of Diesel Generator Plant
2.2. Selection of Low-Cost Sensors
2.3. Construction of Correction Test Platform
2.4. Construction of the Calibration Model
2.5. Evaluation of the Calibration Model
2.6. Plant Monitoring Locations
3. Results
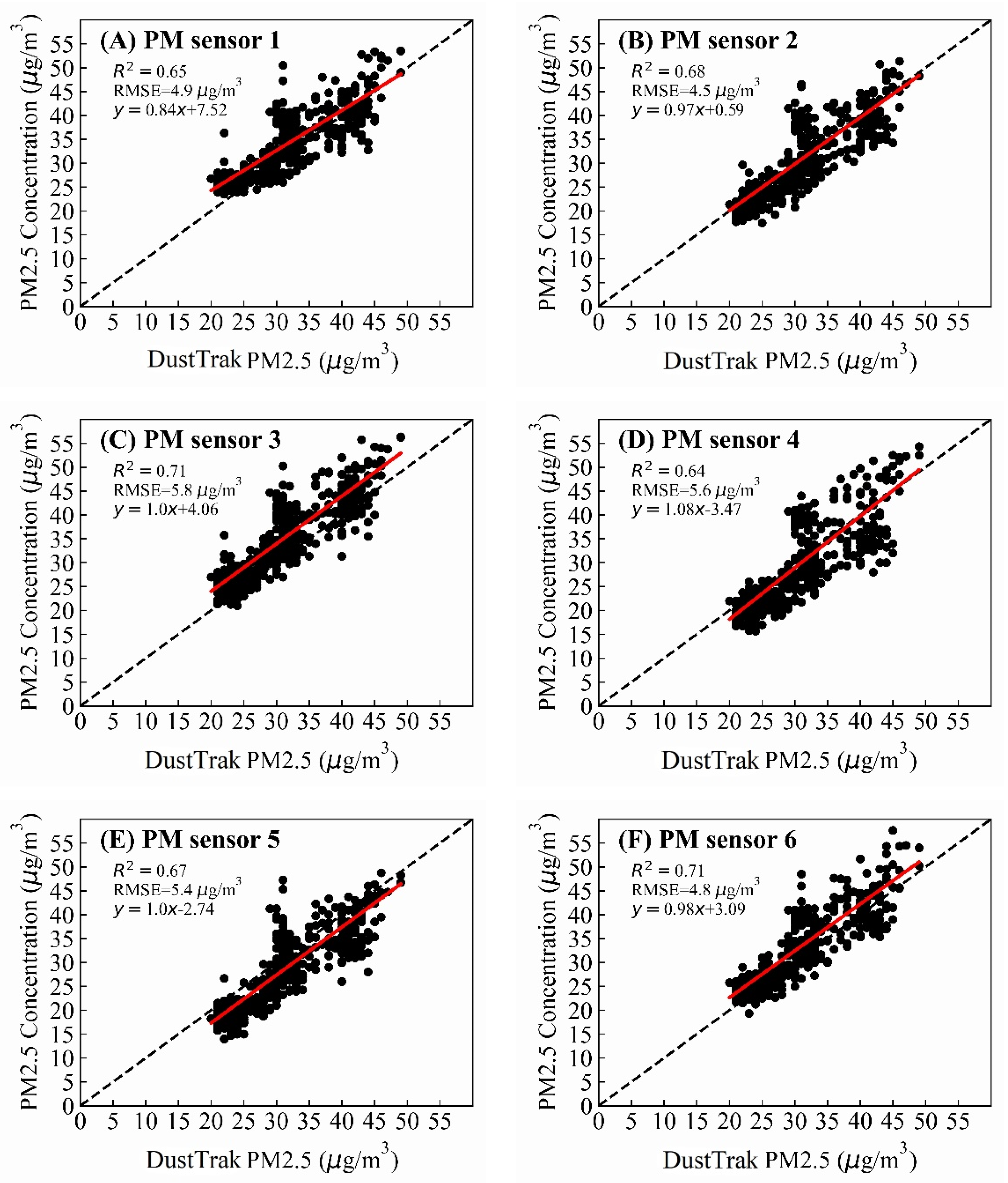
3.1. Comparison of PM Sensors and Reference Instruments
3.2. PM Sensor Data Calibration
3.3. Diesel Generator Plant PM2.5 Measurement
4. Discussion
Author Contributions
Funding
Institutional Review Board Statement
Informed Consent Statement
Data Availability Statement
Acknowledgments
Conflicts of Interest
References
- Altun, S. Emissions from a diesel power generator fuelled with biodiesel and fossil diesel fuels. Energy Environ. 2015, 26, 563–571. [Google Scholar] [CrossRef]
- Kukharets, S.; Sukmaniuk, O.; Yarosh, Y.; Kovalchuk, V. Investigational study of environmental performance of power generator operating on generator GAS. In Proceedings of the 20th International Scientific Conference on Engineering for Rural Development, Jelgava, Latvia, 26–28 May 2021; pp. 444–450. [Google Scholar]
- Marqusee, J.; Ericson, S.; Jenket, D. Impact of emergency diesel generator reliability on microgrids and building-tied systems. Appl. Energy 2021, 285, 116437. [Google Scholar] [CrossRef]
- Marqusee, J.; Jenket, D., II. Reliability of emergency and standby diesel generators: Impact on energy resiliency solutions. Appl. Energy 2020, 268, 114918. [Google Scholar] [CrossRef]
- Xu, F.; Jia, S.; Han, X.; Yu, Y. Long Short Term Memory Based Status Prediction for Diesel Generator Set. In Proceedings of the 2nd IEEE International Conference on Information Communication and Signal Processing (ICICSP), Weihai, China, 28–30 September 2019; pp. 425–429. [Google Scholar]
- Afrinaldi, F.; Zhang, H.-C.; Liu, Z.-C.; Hernandez, A. Loss and Benefit Caused by a Diesel Engine from the Perspective of Human Health. J. Ind. Ecol. 2017, 21, 116–126. [Google Scholar] [CrossRef]
- Han, L.J.; Jang, Y.-K. Increase of diesel car raises health risk in spite of recent development in engine technology. Environ. Health Toxicol. 2014, 29, 1–3. [Google Scholar]
- Landwehr, K.R.; Larcombe, A.N.; Reid, A.; Mullins, B.J. Critical Review of Diesel Exhaust Exposure Health Impact Research Relevant to Occupational Settings: Are We Controlling the Wrong Pollutants? Expo. Health 2021, 13, 141–171. [Google Scholar] [CrossRef]
- Wade, J.F., 3rd; Newman, L.S. Diesel asthma. Reactive airways disease following overexposure to locomotive exhaust. J. Occup. Med. Off. Publ. Ind. Med. Assoc. 1993, 35, 149–154. [Google Scholar] [CrossRef]
- Hesterberg, T.W.; Long, C.M.; Bunn, W.B.; Sax, S.N.; Lapin, C.A.; Valberg, P.A. Non-cancer health effects of diesel exhaust: A critical assessment of recent human and animal toxicological literature. Crit. Rev. Toxicol. 2009, 39, 195–227. [Google Scholar] [CrossRef] [PubMed]
- Lecureur, V.; Monteil, C.; Jaguin, M.; Cazier, F.; Preterre, D.; Corbiere, C.; Gosset, P.; Douki, T.; Sichel, F.; Fardel, O. Comparative study on gene expression profile in rat lung after repeated exposure to diesel and biodiesel exhausts upstream and downstream of a particle filter. Environ. Pollut. 2020, 266, 115264. [Google Scholar] [CrossRef] [PubMed]
- Crump, K.S.; Van Landingham, C.; McClellan, R.O. Influence of Alternative Exposure Estimates in the Diesel Exhaust Miners Study: Diesel Exhaust and Lung Cancer. Risk Anal. 2016, 36, 1803–1812. [Google Scholar] [CrossRef]
- Habert, C.; Garnier, R. Health effects of diesel exhaust: A state of the art. Rev. Mal. Respir. 2015, 32, 138–154. [Google Scholar] [CrossRef] [PubMed]
- Krishna, S.M.; Salam, P.A.; Tongroon, M.; Chollacoop, N. Performance and emission assessment of optimally blended biodiesel-diesel-ethanol in diesel engine generator. Appl. Therm. Eng. 2019, 155, 525–533. [Google Scholar] [CrossRef]
- Mobarra, M.; Rezkallah, M.; Ilinca, A. Variable Speed Diesel Generators: Performance and Characteristic Comparison. Energies 2022, 15, 592. [Google Scholar] [CrossRef]
- Shah, S.D.; Cocker, D.R., III; Johnson, K.C.; Lee, J.M.; Soriano, B.L.; Miller, J.W. Emissions of regulated pollutants from in-use diesel back-up generators. Atmos. Environ. 2006, 40, 4199–4209. [Google Scholar] [CrossRef]
- Kelly, K.E.; Whitaker, J.; Petty, A.; Widmer, C.; Dybwad, A.; Sleeth, D.; Martin, R.; Butterfield, A. Ambient and laboratory evaluation of a low-cost particulate matter sensor. Environ. Pollut. 2017, 221, 491–500. [Google Scholar] [CrossRef] [PubMed]
- Bathory, C.; Dobo, Z.; Garami, A.; Palotas, A.; Toth, P. Low-cost monitoring of atmospheric PM-development and testing. J. Environ. Manag. 2022, 304, 114158. [Google Scholar] [CrossRef] [PubMed]
- Jayaratne, R.; Liu, X.; Ahn, K.-H.; Asumadu-Sakyi, A.; Fisher, G.; Gao, J.; Mabon, A.; Mazaheri, M.; Mullins, B.; Nyaku, M.; et al. Low-cost PM2.5 Sensors: An Assessment of their Suitability for Various Applications. Aerosol Air Qual. Res. 2020, 20, 520–532. [Google Scholar] [CrossRef]
- Gao, M.; Cao, J.; Seto, E. A distributed network of low-cost continuous reading sensors to measure spatiotemporal variations of PM2.5 in Xi’an, China. Environ. Pollut. 2015, 199, 56–65. [Google Scholar] [CrossRef] [PubMed]
- Masri, S.; Rea, J.; Wu, J. Use of Low-Cost Sensors to Characterize Occupational Exposure to PM2.5 Concentrations Inside an Industrial Facility in Santa Ana, CA: Results from a Worker- and Community-Led Pilot Study. Atmosphere 2022, 13, 722. [Google Scholar] [CrossRef]
- Frederickson, L.B.; Lim, S.; Russell, H.S.; Kwiatkowski, S.; Bonomaully, J.; Schmidt, J.A.; Hertel, O.; Mudway, I.; Barratt, B.; Johnson, M.S. Monitoring Excess Exposure to Air Pollution for Professional Drivers in London Using Low-Cost Sensors. Atmosphere 2020, 11, 749. [Google Scholar] [CrossRef]
- Ruiter, S.; Kuijpers, E.; Saunders, J.; Snawder, J.; Warren, N.; Gorce, J.-P.; Blom, M.; Krone, T.; Bard, D.; Pronk, A.; et al. Exploring Evaluation Variables for Low-Cost Particulate Matter Monitors to Assess Occupational Exposure. Int. J. Environ. Res. Public Health 2020, 17, 8602. [Google Scholar] [CrossRef] [PubMed]
- Borghi, F.; Spinazze, A.; Campagnolo, D.; Rovelli, S.; Cattaneo, A.; Cavallo, D.M. Precision and Accuracy of a Direct-Reading Miniaturized Monitor in PM2.5 Exposure Assessment. Sensors 2018, 18, 3089. [Google Scholar] [CrossRef] [PubMed]
- Bai, L.; Huang, L.; Wang, Z.; Ying, Q.; Zheng, J.; Shi, X.; Hu, J. Long-term Field Evaluation of Low-cost Particulate Matter Sensors in Nanjing. Aerosol Air Qual. Res. 2020, 20, 242–253. [Google Scholar] [CrossRef]
- Chen, C.-C.; Kuo, C.-T.; Chen, S.-Y.; Lin, C.-H.; Chue, J.-J.; Hsieh, Y.-J.; Cheng, C.-W.; Wu, C.-M.; Huang, C.-M. Calibration of Low-Cost Particle Sensors by Using Machine-Learning Method. In Proceedings of the 14th IEEE Asia Pacific Conference on Circuits and Systems (APCCAS), Chengdu, China, 26–30 October 2018; pp. 111–114. [Google Scholar]
- Giordano, M.R.; Malings, C.; Pandis, S.N.; Presto, A.A.; McNeill, V.F.; Westervelt, D.M.; Beekmann, M.; Subramanian, R. From low-cost sensors to high-quality data: A summary of challenges and best practices for effectively calibrating low-cost particulate matter mass sensors. J. Aerosol Sci. 2021, 158, 105833. [Google Scholar] [CrossRef]
- Wesseling, J.; Hendricx, W.; de Ruiter, H.; van Ratingen, S.; Drukker, D.; Huitema, M.; Schouwenaar, C.; Janssen, G.; van Aken, S.; Smeenk, J.W.; et al. Assessment of PM2.5 Exposure during Cycle Trips in The Netherlands Using Low-Cost Sensors. Int. J. Environ. Res. Public Health 2021, 18, 6007. [Google Scholar] [CrossRef]
- Liu, Y.; Cao, G.; Zhao, N.; Mulligan, K.; Ye, X. Improve ground-level PM2.5 concentration mapping using a random forests-based geostatistical approach. Environ. Pollut. 2018, 235, 272–282. [Google Scholar] [CrossRef]
- Yan, W.W.; Shao, H.H.; Tu, T.U. Application of support vector machine nonlinear classifier to fault diagnoses. In Proceedings of the 4th World Congress on Intelligent Control and Automation, Shanghai, China, 10–14 June 2002; pp. 2697–2700. [Google Scholar]
- Mei, H.; Han, P.; Wang, Y.; Zeng, N.; Liu, D.; Cai, Q.; Deng, Z.; Wang, Y.; Pan, Y.; Tang, X. Field Evaluation of Low-Cost Particulate Matter Sensors in Beijing. Sensors 2020, 20, 4381. [Google Scholar] [CrossRef]
- Bulot, F.M.J.; Johnston, S.J.; Basford, P.J.; Easton, N.H.C.; Apetroaie-Cristea, M. Long-term field comparison of multiple low-cost particulate matter sensors in an outdoor urban environment. Sci. Rep. 2020, 10, 7497. [Google Scholar]
- Zhang, H.; Srinivasan, R.; Ganesan, V. Low Cost, Multi-Pollutant Sensing System Using Raspberry Pi for Indoor Air Quality Monitoring. Sustainability 2021, 13, 370. [Google Scholar] [CrossRef]
- Bouillant, S.; Miteran, J.; Paindavoine, M.; Bourennane, E.; Bourgeat, P. Real-time image segmentation for anomalies detection using SVM approximation. In Proceedings of the 6th International Conference on Quality Control by Artificial Vision, Gatlinburg, TN, USA, 19–22 May 2003; pp. 539–545. [Google Scholar]
- Kavitha, K.R.; Rajendran, S.G.; Varsha, J. A Correlation Based SVM-Recursive Multiple Feature Elimination Classifier for Breast Cancer Disease using Microarray. In Proceedings of the International Conference on Advances in Computing, Communications and Informatics (ICACCI), Jaipur, India, 21–24 September 2016; pp. 2677–2683. [Google Scholar]
- Kim, D.S.; Park, J.S. Network-based intrusion detection with support vector machines. In Information Networking: Networking Technologies for Enhanced Internet Services; Kahng, H.K., Ed.; Springer: Berlin/Heidelberg, Germany, 2003; Volume 2662, pp. 747–756. [Google Scholar]
- Murosaki, T.; Yoshida, K.; Naganuma, H. Visual Inspection with SVM. In Proceedings of the Annual Conference of the SICE, Chofu, Japan, 20–22 August 2008; p. 557. [Google Scholar]




| Instrument | Average PM2.5 Concentration (μg/m3) | PM2.5 Concentration Range (μg/m3) | Average Relative Error |
|---|---|---|---|
| DustTrak | 31.7 | 20–49 | \ |
| Sensor1 | 34.1 | 24–54 | 12.43% |
| Sensor2 | 30.8 | 18–51 | 11.18% |
| Sensor3 | 35.6 | 21–56 | 14.79% |
| Sensor4 | 31.5 | 15–54 | 14.81% |
| Sensor5 | 29.1 | 14–48 | 14.91% |
| Sensor6 | 34.1 | 19–57 | 11.51% |
| Model | Coefficient | Adjusted R2 | p Value * | |||
|---|---|---|---|---|---|---|
| PM Sensor | RH | T | TVOC | |||
| Basic model | 0.84 | \ | \ | \ | 0.65 | <0.001 |
| Basic model + RH | 0.86 | 0.13 | \ | \ | 0.67 | <0.001 |
| Basic model + RH + T | 0.89 | −0.07 | −0.52 | \ | 0.72 | <0.001 |
| Basic model + RH + T + TVOC | 0.91 | −0.05 | −0.93 | 0.07 | 0.75 | <0.001 |
| PM Sensor | R2 | RMSE (μg/m3) |
|---|---|---|
| 1 | 0.75 | 4.1 |
| 2 | 0.77 | 3.8 |
| 3 | 0.81 | 4.6 |
| 4 | 0.75 | 4.9 |
| 5 | 0.77 | 4.6 |
| 6 | 0.80 | 4.1 |
Publisher’s Note: MDPI stays neutral with regard to jurisdictional claims in published maps and institutional affiliations. |
© 2022 by the authors. Licensee MDPI, Basel, Switzerland. This article is an open access article distributed under the terms and conditions of the Creative Commons Attribution (CC BY) license (https://creativecommons.org/licenses/by/4.0/).
Share and Cite
Feng, Z.; Zheng, L.; Liu, L.; Zhang, W. Real-Time PM2.5 Monitoring in a Diesel Generator Workshop Using Low-Cost Sensors. Atmosphere 2022, 13, 1766. https://doi.org/10.3390/atmos13111766
Feng Z, Zheng L, Liu L, Zhang W. Real-Time PM2.5 Monitoring in a Diesel Generator Workshop Using Low-Cost Sensors. Atmosphere. 2022; 13(11):1766. https://doi.org/10.3390/atmos13111766
Chicago/Turabian StyleFeng, Zikang, Lina Zheng, Lingyu Liu, and Wenli Zhang. 2022. "Real-Time PM2.5 Monitoring in a Diesel Generator Workshop Using Low-Cost Sensors" Atmosphere 13, no. 11: 1766. https://doi.org/10.3390/atmos13111766
APA StyleFeng, Z., Zheng, L., Liu, L., & Zhang, W. (2022). Real-Time PM2.5 Monitoring in a Diesel Generator Workshop Using Low-Cost Sensors. Atmosphere, 13(11), 1766. https://doi.org/10.3390/atmos13111766
