Multi-Scale Numerical Assessments of Urban Wind Resource Using Coupled WRF-BEP and RANS Simulation: A Case Study
Abstract
1. Introduction
2. Meso-Scale WRF-BEP Model and Sensitivity Analysis
2.1. Model Setup
2.2. Sensitivity Study of WRF-BEP Simulation
2.2.1. Evaluation Metric
2.2.2. Results Analysis
3. Micro-Scale CFD Simulation and Validation
3.1. Computational Domain and Boundary Condition
3.2. Validation of Numerical Algorithm
3.2.1. Grid Independence Study
3.2.2. Validation Using Wind Tunnel Test
4. Wind Resource Assessments with Coupled WRF-BEP-RANS Simulation
4.1. Wind Resource Assessment Metric
4.2. Wind Resource Assessment Procedure
5. Case Study
5.1. Local Meteorological Data and Numerical Setting
5.2. Wind Power Potential
5.2.1. Wind Turbines Integrated into Building Skin
5.2.2. Wind Turbines Installed on Building Roof
5.3. Discussion
5.3.1. Terrain Condition
5.3.2. PBL Parameterization Scheme
5.3.3. Turbulence Modeling
6. Concluding Remarks
- Both WPD and TI were underestimated in the case that the terrain conditions were not considered, and the significant influence of the terrain conditions on the multi-scale numerical assessment of urban wind resource cannot be ignored.
 - Compared to the simulated urban flow from PBL parameterization schemes of YSU and BouLac, the results from the MYJ scheme presented the minimum difference with the field-measured wind speeds from the National Weather Science Data Center, China. Specifically, the obtained values of RMSE, MAE and MAPE were 0.98, 0.83 and 24.18%, respectively. The WRF-BEP-RANS simulations with both the YSU and BouLac schemes underestimated the WPDs compared to those of the MYJ scheme.
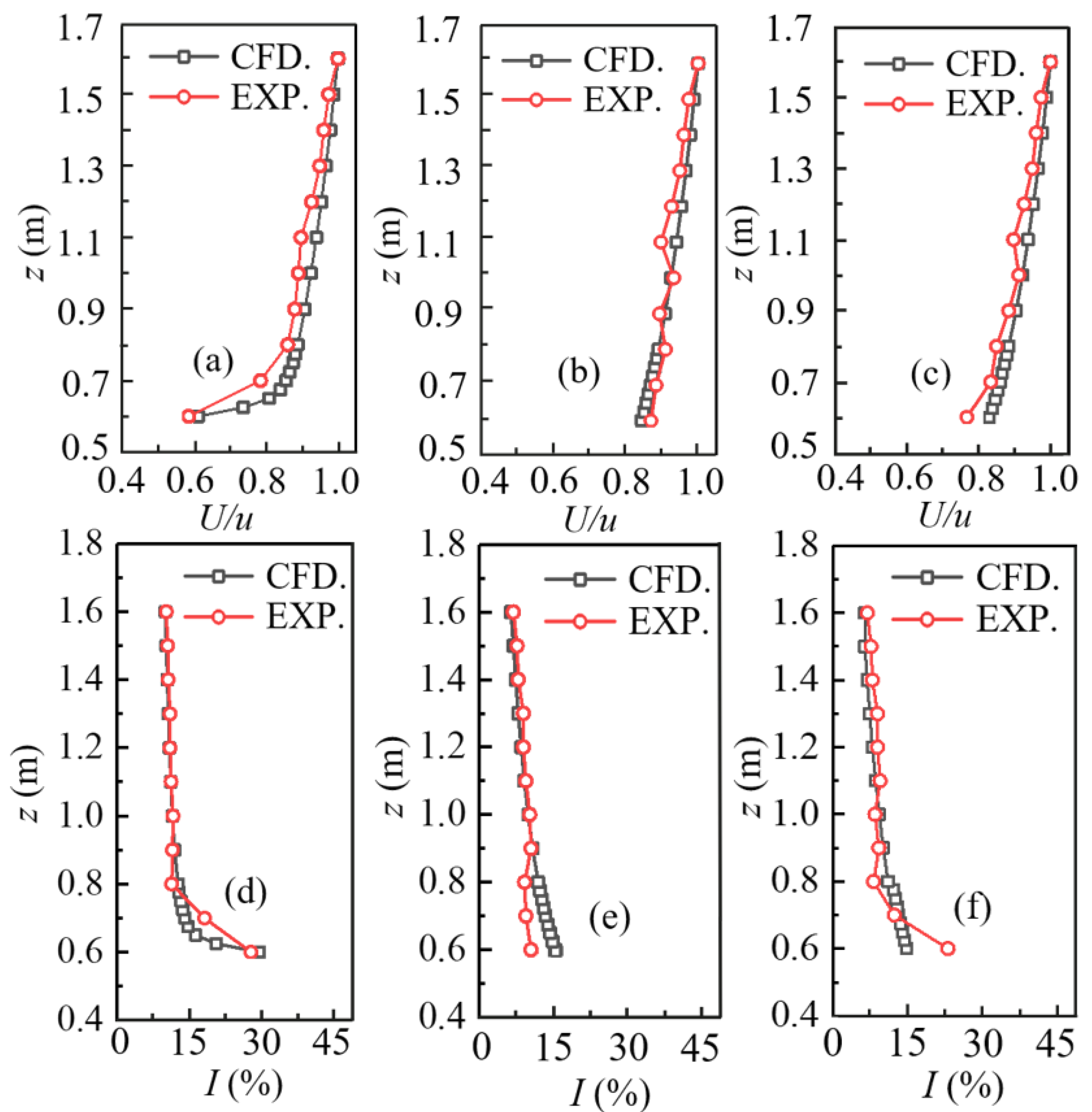
 - The mean wind and TI profiles in RANS simulations with the SST k-ω turbulence model showed fairly good agreement with wind tunnel measurements. Compared to the SST turbulence model simulations, the RKE turbulence model generated similar WPDs and Tis, while the RNG turbulence model significantly underestimated these results.
 - Considering the intense negative aerodynamic interference among buildings of the highly-urbanized area in this case study, the integration of micro-wind turbines into building skin was not recommended. For the building roof, five optimal installation locations were identified by systematically examining the simulated WPDs and TIs.
 
Author Contributions
Funding
Data Availability Statement
Conflicts of Interest
Nomenclature
| BEP | building effect parameterization | turbulence boundary parameters | |
| BouLac | Bougeault-Lacarrere | generation of | |
| CFD | computational fluid dynamics | turbulent kinetic energy | |
| CU | cumulus | time | |
| LiDAR | light detection and ranging | CFD simulated wind speed | |
| LS | land surface | friction velocity | |
| MAE | mean absolute error | U | measured wind velocity | 
| MAPE | mean absolute percentage error | WRF simulated wind speed | |
| MP | Noah multi-physics | spatial coordinates | |
| MPH | microphysics | dissipation of | |
| MYJ | Mellor-Yamada-Janjic | z | height from the ground | 
| NWP | numerical weather prediction | roughness length | |
| PBL | planetary boundary layer | Z | height above the building roof | 
| RANS | Reynolds-averaged Navier–Stokes | air density | |
| RMSE | root-mean-square error | specific dissipation rate | |
| RNG | re-normalization group k-ε model | von Karman constant | |
| SL | surface layer | diffusion coefficient of | |
| SST | shear stress transfer | ||
| TI | turbulence intensity | ||
| UCM | urban canopy model | ||
| WPD | wind power density | ||
| WRA | wind resource assessment | ||
| WRF | weather research and forecasting | ||
| WSM6 | single-moment 6-class | ||
| WT | wind tunnel | ||
| YSU | Yonsei University | 
References
- Higgins, S.; Stathopoulos, T. Application of artificial intelligence to urban wind energy. Build. Environ. 2021, 197, 107848. [Google Scholar] [CrossRef]
 - Silva, F.T.; Kono, T.; Peralta, C.; Garcia, O.L.; Chen, J. A review of computational fluid dynamics (CFD) simulations of the wind flow around buildings for urban wind energy exploitation. J. Wind Eng. Ind. Aerod. 2018, 180, 66–87. [Google Scholar] [CrossRef]
 - Stathopoulos, T.; Alrawashdeh, H.; Quraan, A.A.; Blocken, B.; Dilimulati, A.; Paraschivoiu, M.; Pilay, P. Urban wind energy: Some views on potential and challenges. J. Wind Eng. Ind. Aerod. 2018, 179, 146–157. [Google Scholar] [CrossRef]
 - Han, Y.; Mi, L.H.; Shen, L.; Cai, C.S.; Liu, Y.C.; Li, K.; Xu, G.J. A short-term wind speed prediction method utilizing novel hybrid deep learning algorithms to correct numerical weather forecasting. Appl. Energy 2022, 312, 118777. [Google Scholar] [CrossRef]
 - Han, Y.; Mi, L.H.; Shen, L.; Cai, C.S.; Liu, Y.C.; Li, K. A short-term wind speed interval prediction method based on WRF simulation and multivariate line regression for deep learning algorithms. Energy Convers. Manag. 2022, 258, 115540. [Google Scholar] [CrossRef]
 - Wang, B.; Cot, L.D.; Adolphe, L.; Geoffroy, S.; Morchain, J. Estimation of wind energy over roof of two perpendicular buildings. Energy Build. 2015, 88, 57–67. [Google Scholar] [CrossRef]
 - Yang, A.; Su, Y.; Wen, C.; Juan, Y.; Wang, W.; Cheng, C. Estimation of wind power generation in dense urban area. Appl. Energy 2016, 171, 213–230. [Google Scholar] [CrossRef]
 - Karthikeya, B.R.; Negi, P.S.; Srikanth, N. Wind resource assessment for urban renewable energy application in Singapore. Renew. Energy 2016, 87, 403–414. [Google Scholar] [CrossRef]
 - Byrne, R.; Hewitt, N.J.; Griffiths, P.; MacArtain, P. An assessment of the mesoscale to microscale influences on wind turbine energy performance at a peri-urban coastal location from the Irish wind atlas and onsite LiDAR measurements. Sustain. Energy Technol. Assess. 2019, 36, 100537. [Google Scholar] [CrossRef]
 - Olaofe, Z.O.; Folly, K.A. Wind energy analysis based on turbine and developed site power curves: A case-study of Darling City. Renew. Energy 2013, 53, 306–318. [Google Scholar] [CrossRef]
 - Isidoro, M.D.; Briganti, G.; Vitali, L.; Righini, G.; Adani, M.; Guarnieri, G.; Moretti, L.; Raliselo, M.; Mahahabisa, M.; Ciancarella, L.; et al. Estimation of solar and wind energy resources over Lesotho and their complementarity by means of WRF yearly simulation at high resolution. Renew. Energy 2020, 158, 114–129. [Google Scholar] [CrossRef]
 - Meij, A.D.; Vinuesa, J.F.; Maupas, V.; Waddle, J.; Price, I.; Yaseen, B.; Ismail, A. Wind energy resource mapping of Palestine. Renew. Sustain. Energy Rev. 2016, 56, 551–562. [Google Scholar] [CrossRef]
 - Dayal, K.K.; Bellon, G.; Cater, J.E.; Kingan, M.J.; Sharma, R.N. High-resolution mesoscale wind-resource assessment of Fiji using the Weather Research and Forecasting (WRF) model. Energy 2021, 232, 121047. [Google Scholar] [CrossRef]
 - Sharma, A.; Fernando, H.J.S.; Hamlet, A.F.; Hellmann, J.J.; Barlage, M.; Chen, F. Urban meteorological modeling using WRF: A sensitivity study. Int. J. Climatol. 2017, 37, 1885–1900. [Google Scholar] [CrossRef]
 - Jandaghian, Z.; Berardi, U. Comparing urban canopy models for microclimate simulations in Weather Research and Forecasting Models. Sustain. Cities Soc. 2020, 55, 102025. [Google Scholar] [CrossRef]
 - Dai, S.F.; Liu, H.J.; Chu, Y.J.; Lam, H.F.; Peng, H.Y. Impact of corner modification on wind characteristics and wind energy potential over flat roofs of tall buildings. Energy 2022, 241, 122920. [Google Scholar] [CrossRef]
 - Rezaeiha, A.; Montazeri, H.; Blocken, B. A framework for preliminary large-scale urban wind energy potential assessment: Roof-mounted wind turbines. Energy Convers. Manag. 2020, 214, 112770. [Google Scholar] [CrossRef]
 - Juan, Y.H.; Wen, C.Y.; Chen, W.Y.; Yang, A.S. Numerical assessments of wind power potential and installation arrangements in realistic highly urbanized areas. Renew. Sustain. Energy Rev. 2021, 135, 110165. [Google Scholar] [CrossRef]
 - Temel, O.; Bricteux, L.; Beecka, J.V. Coupled WRF-OpenFOAM study of wind flow over complex terrain. J. Wind Eng. Ind. Aerod. 2018, 174, 152–169. [Google Scholar] [CrossRef]
 - Castorrini, A.; Gentile, S.; Geraldi, E.; Bonfiglioli, A. Increasing spatial resolution of wind resource prediction using NWP and RANS simulation. J. Wind Eng. Ind. Aerod. 2021, 210, 104499. [Google Scholar] [CrossRef]
 - Wilcox, D.C. Turbulence Modeling for CFD; DCW Industries: La Canada, CA, USA, 1998. [Google Scholar]
 - Hao, J.; Wu, T. Downburst-induced transient response of a long-span bridge: A CFD-CSD-based hybrid approach. J. Wind Eng. Ind. Aerod. 2018, 179, 273–286. [Google Scholar] [CrossRef]
 - Menter, F.R. Two-equation eddy-viscosity turbulence models for engineering applications. AIAA J. 1994, 32, 1598–1605. [Google Scholar] [CrossRef]
 - Xu, F.; Wu, T.; Ying, X.; Kareem, A. Higher-order self-excited drag forces on bridge decks. J. Eng. Mech. 2016, 142, 06015007. [Google Scholar] [CrossRef]
 - IEC 61400-1; Wind Turbines-Part 1: Design Requirements. International Electrotechnical Commission: Geneva, Switzerland, 2005.
 - Wang, Q.; Wang, J.; Hou, Y.; Yuan, R.; Luo, K.; Fan, J. Micrositing of roof mounting wind turbine in urban environment: CFD simulations and lidar measurements. Renew. Energy 2018, 115, 1118–1133. [Google Scholar] [CrossRef]
 - Lu, L.; Sun, K. Wind power evaluation and utilization over a reference high-rise building in urban area. Energy Build. 2014, 68, 339–350. [Google Scholar] [CrossRef]
 - Hassanli, S.; Hu, G.; Kwok, K.C.S.; Fletcher, D.F. Utilizing cavity flow within double skin façade for wind energy harvesting in buildings. J. Wind Eng. Ind. Aerod. 2017, 167, 114–127. [Google Scholar] [CrossRef]
 














| NO. | PBL | LS | MPH | SL | CU | RA (Short/Longwave) | 
|---|---|---|---|---|---|---|
| WRF-BEP-Y | YSU | Noah MP | WSM6 | Revised MM5 | Grell 3D | RRTMG | 
| WRF-BEP-M | MYJ | Noah MP | WSM6 | Revised MM5 | Grell 3D | RRTMG | 
| WRF-BEP-B | BouLac | Noah MP | WSM6 | Revised MM5 | Grell 3D | RRTMG | 
| NO. | RMSE | MAE | MAPE (%) | 
|---|---|---|---|
| WRF-BEP-Y | 2.37 | 1.86 | 47.76 | 
| WRF-BEP-M | 0.98 | 0.83 | 24.18 | 
| WRF-BEP-B | 1.74 | 1.48 | 37.89 | 
| Location | Type | 
|---|---|
| Inlet | Velocity inlet | 
| Side and top | Symmetry | 
| Bottom | No-slipping wall | 
| Outlet | Pressure outlet | 
| Wind Power Class | Ranges of WPD (W/m2) | Wind Energy Potential | 
|---|---|---|
| Class I | Less than 100 | Unsuitable for wind power development | 
| Class II | From 100 to 150 | Moderate potential | 
| Class III | From 150 to 200 | Great potential | 
| Class IV | More than 200 | Excellent developing capacity | 
Publisher’s Note: MDPI stays neutral with regard to jurisdictional claims in published maps and institutional affiliations.  | 
© 2022 by the authors. Licensee MDPI, Basel, Switzerland. This article is an open access article distributed under the terms and conditions of the Creative Commons Attribution (CC BY) license (https://creativecommons.org/licenses/by/4.0/).
Share and Cite
Mi, L.; Han, Y.; Shen, L.; Cai, C.; Wu, T. Multi-Scale Numerical Assessments of Urban Wind Resource Using Coupled WRF-BEP and RANS Simulation: A Case Study. Atmosphere 2022, 13, 1753. https://doi.org/10.3390/atmos13111753
Mi L, Han Y, Shen L, Cai C, Wu T. Multi-Scale Numerical Assessments of Urban Wind Resource Using Coupled WRF-BEP and RANS Simulation: A Case Study. Atmosphere. 2022; 13(11):1753. https://doi.org/10.3390/atmos13111753
Chicago/Turabian StyleMi, Lihua, Yan Han, Lian Shen, Chunsheng Cai, and Teng Wu. 2022. "Multi-Scale Numerical Assessments of Urban Wind Resource Using Coupled WRF-BEP and RANS Simulation: A Case Study" Atmosphere 13, no. 11: 1753. https://doi.org/10.3390/atmos13111753
APA StyleMi, L., Han, Y., Shen, L., Cai, C., & Wu, T. (2022). Multi-Scale Numerical Assessments of Urban Wind Resource Using Coupled WRF-BEP and RANS Simulation: A Case Study. Atmosphere, 13(11), 1753. https://doi.org/10.3390/atmos13111753
        