Next Article in Journal
Assessment of Three Satellite-Derived Surface Downward Longwave Radiation Products in Polar Regions
Previous Article in Journal
Characterising Large-Scale Meteorological Patterns Associated with Winter Precipitation and Snow Accumulation in a Mountain Range in the Iberian Peninsula (Sierra de Guadarrama)
 
 
Font Type:
Arial Georgia Verdana
Font Size:
Aa Aa Aa
Line Spacing:
Column Width:
Background:
Article

The Effect of a Hybrid Pretreatment Device for CEMS on the Simultaneous Removal of PM2.5 and Water Vapor

1
Department of Civil and Environmental Engineering, Konkuk University, 120 Neungdong-ro, Gwangjin-gu, Seoul 05029, Korea
2
Department of Bioscience and Biotechnology, Konkuk University, 120 Neungdong-ro, Gwangjin-gu, Seoul 05029, Korea
3
Department of Chemical Engineering, Konkuk University, 120 Neungdong-ro, Gwangjin-gu, Seoul 05029, Korea
4
Department of Immunology, KU Open Innovation Center, School of Medicine, Konkuk University, 268 Chungwon-daero, Chungju-si 27478, Korea
*
Author to whom correspondence should be addressed.
Atmosphere 2022, 13(10), 1601; https://doi.org/10.3390/atmos13101601
Submission received: 29 July 2022 / Revised: 11 September 2022 / Accepted: 23 September 2022 / Published: 30 September 2022
(This article belongs to the Section Air Pollution Control)

Abstract

Stationary emission sources still account for a significant portion of total air pollution emissions. Continuous emission monitoring systems (CEMS) have been used to estimate the emissions of stack pollutants. A large amount of moisture and other interfering factors in the sample discharged from a stack result in the loss of target gases due to artifact formation or gas absorption, thereby reducing measurement accuracy. Therefore, a pretreatment process is essential. Among various pretreatment technologies available, a cyclone with a rapid cooling unit is a special one that can be applied to remove particles and water vapor at the same time in CEMS. This study aimed at the simultaneous removal of water vapor and particles by operating a hybrid pretreatment device at low temperatures such as −5, −15, and −25 °C. When using the hybrid cyclone under the conditions of high temperature (180 °C), humidity (150 g/m3), PM2.5 (1 mg/m3), and SO2 (105.2 ppm) concentrations, the reduction rates of water vapor and PM2.5 concentration and the recovery rates of SO2 concentration were 82.2, 80.2, and 96.4%, respectively. These data suggested that the hybrid cyclone could be used as a pretreatment device for CEMS.

1. Introduction

Air pollution itself is an unavoidable issue in this world. Stationary air pollution emission sources contain a high concentration of harmful substances, generating a large quantity of air pollutants. To manage this issue, it is crucial to reduce the amount of air pollutants emitted and accurately measure the emissions. Continuous emission monitoring systems (CEMS) have been widely applied to measure the emissions of stationary sources. CEMS are used to monitor the emissions of various air pollutants such as carbon monoxide, carbon dioxide, sulfur oxides, nitrogen oxide, particulate matter, hydrogen chloride, hydrogen fluoride, ammonia, and water vapor [1]. Spectroscopy is commonly used for monitoring various air pollutants and is widely used in CEMS due to its advantages of continuous monitoring and excellent accuracy [2]. A non-dispersive infrared (NDIR) and a Fourier transform infrared (FTIR) spectroscopic method can be employed for the CEMS in order to continuously measure and monitor air pollutants from stationary sources. NDIR and FTIR are widely used because of their low energy consumption and consistent operation compared to other spectroscopic techniques. For real-time management, the measurement accuracy must be high [2]. However, the physical characteristics of gases emitted from a stack, such as high temperature, high humidity, and high concentrations, can interfere with the measurement. Water vapor severely impacts the accuracy of the NDIR spectrometer [3]. At a water vapor concentration of 22 g/m3 at room temperature (20 °C), an NO2 interference effect of 30%, SO2 interference effect of 20%, and NO interference effect 5% occurred [3]. In addition, CO NDIR has an interference effect of 20% due to high-temperature and high-humidity conditions (>40 °C and >30 g/m3, respectively) [4]. In order to reduce the interference effect, a pretreatment device could be used in the CEMS, directly removing water vapor to reduce its interference in the measurement of the target substance, and high-temperature samples can be adjusted to conditions suitable for the operation of measuring devices such as NDIR, thereby improving the device accuracy [2]. The pretreatment device can give various results depending on the environment of air pollutant sources. The exhaust gas temperature from a common stationary source, such as an incinerator or a power plant, can range from 54–247 °C, and the water vapor content ranges from 5–196 g/m3 [1]. There are considerable temperature and humidity variations in a stack depending on combustion methods, combustion fuels, and their processes [1,5,6,7,8,9,10]. It might be difficult to measure the accurate concentration of specific components in the exhaust gas because of high temperature and high humidity conditions wherein artifact formation can easily occur [11]. When high temperature gas flows into the measuring device, it directly affects pollutant detection due to the direct temperature effect. For instance, NH3 strongly reacts with HCl or SO2 to generate NH3-based salts when the temperature of a transfer line hooked up with a stack and a gas analyzer is much higher than that in the stack. If the temperature of a high-humidity exhaust gas is suddenly decreased, water vapor easily condenses, and hydrophilic gases are easily absorbed and removed by the condensed water, making it difficult to measure the concentration of gaseous substances. As an example, 10 ppm of SO2 was reduced by 30% at a humidity of 90 g/m3 [11]. For boilers, when a hot exhaust gas was cooled to 40 °C, 60–90% of the water vapor in the exhaust gas was condensed; CO2, SO2, and HCl were dissolved significantly; and the sample became acidic (pH 3.5–5.0). The collected sample was corrosive and damaged the system, causing harm to pipelines or measuring instruments [7]. Water vapor also absorbs a wide-wavelength band of the infrared-based measuring device, interfering with the infrared absorption of target gases. As a result, water vapor and particulate matter create problems for CEMS. To address this problem, previous studies have developed a hot–wet method that heats both the sampling line and the gas cell of the analyzer to prevent water vapor from condensing. In contrast, the cold–dry method removes water in the system via cooling and drying. The hot–wet method heats the entire system and measures the water vapor content without allowing it to condense; thus, the loss effect of target gases due to water condensation is small, but a large amount of energy is required. Therefore, the cold–dry water removal method, which uses condensation and permeation principles, is typically used [2]. The water vapor removal method induces the condensation and the removal of water vapor by cooling exhaust gases. However, this cold–dry method condenses gaseous water vapor and removes it in its liquid form. The liquid moisture absorbs substances such as SO2 during the process owing to its high water solubility in the gases, altering the substance concentration [12]. The permeation technique separates and removes moisture using a permeable membrane. This method is involved in removing water vapor based on molecular size; however, it exhibits limited field applications [11]. In addition, a cold–dry method using Nafion to remove water before a transfer line can reduce temperature and save heating energy. However, Nafion does not work well at high temperature, having an expensive and short lifetime [1]. Hot–wet methods were widely used to remove water vapor before moving into an analyzer. However, these traditional methods have limitations such as high energy consumption and low recovery of target gases. Our previous research methods have been developed to overcome these limitations [12,13]. However, there are still problems, such as high-temperature heating and particulate matter in the transfer line. Another method for CEMS water removal technology uses traditional condensation and permeation principles in removing water, primarily applied to get rid of it from exhaust gases. In recent studies, water vapor was removed by converting it into solid phase under a temperature below −10 °C [14,15,16]. In this process, the loss of highly water-soluble gases was reduced by converting it into a solid, which reacts more slowly than the liquid during the whole process [12]. Additionally, some previous studies found that cyclones removes dust very well at high humidity [17,18]. However, these studies focused on the removal of particulate matter based on water vapor removal at room temperature. In the case of particulate matter in CEMS, it is removed by a filter with pore size of 5–50 µm attached on a sampling probe. However, the role of the filter was insufficient, since over 99% of the particulate matter exhibited a size of 2.5 µm or less [19].
Therefore, we got the idea from a prior study and designed a cyclone and Peltier temperature control module. These were combined in a previous study to remove water vapor under frost conditions and a cyclone approach to remove particulate matter (PM) at the same time. The cold–dry method will overcome all problems of water vapor, PM, and heating energy.
In this study, a module combining a traditional cyclone and a rapid cooling module was manufactured and investigated. Water vapor removal efficiency, PM removal efficiency and loss rates of SO2 were determined in order to assess the performance of the module. This is the first work applying a rapid cooling cyclone to a pretreatment device for CEMS.

2. Materials and Methods

2.1. Hybrid Cyclone

Typical water vapor removal methods include condensation and membrane separation in CEMS [18]. Recently, it was also found that removing water vapor in its solid phase had a negligible effect on target gases of concern [12]. In this process, water vapor reaction time with polar substances could be reduced due to the phase change of water vapor (from liquid to solid). Previous studies assessed a pretreatment method that could remove water vapor while preserving the polar substances [1,12,13,15,16]. Furthermore, the addition of a rapid cooling unit to the cyclone system promotes condensed nucleation growth and impacts the aggregation of particulate matter [18]. The cyclone was rapidly cooled to −25 °C using the Peltier unit for water vapor coagulation. Through the water vapor coagulation process, the gas loss rate was reduced. In addition, the combination of a cyclone with the Peltier module had the effect of removing particulate matter through the cyclone effect. Hence, it was possible to present the simultaneous removal of moisture and particulate matter and the recovery rate of gaseous matter. With the purpose of removing both humidity and particle matter, the combined cyclone and Peltier module were named “hybrid cyclone”. The design schematic diagram of this hybrid cyclone was as shown in Figure 1 and Table 1.

2.2. PM2.5 Measurement Method

PM2.5 was measured using the gravimetric and optical particle counters (OPC) methods. The gravimetric measurement was carried out in accordance with the International Organization for Standardization [19]. The configured cascade impactor was composed of four stages (dp > 10 µm, 10 µm > dp > 5 µm, 5 µm > dp > 2.5 µm, 2.5 µm > dp). A glass microfiber filter (GF/B, Whatman, Maidstone, UK) was used to collect particles, and weighed before and after sampling using a balance (GH-202, A&D, UK). Additionally, a GRIMM optical particle counter (GRIMM1.109, Germany) with its own weight correction capabilities was used in this work. Water vapor exhibits a substantial effect on PM2.5 concentration when it is measured using the OPC. However, OPC measurement is still needed in this experiment because a real-time comparison is crucial. To complement this, a homogeneous chamber to stabilize the particulate matter was installed before the mixing chamber. The concentration of PM2.5 inside the humid mixing chamber was measured and compared using a gravimetric method and an OPC.

2.3. Experimental Materials and Apparatus

Each industrial process has different emission conditions (e.g., temperature, humidity, and concentrations). In this study, we selected a case study of an exhaust gas emitted from solid waste incinerators (Table 2). In the case of temperature, it was recommended that the temperature of the exhaust gas from the waste incinerator be operated below 200 degrees on order to prevent the formation of dioxins [20]. The concentration of humidity [1] and particulate matter and the gas concentration were set based on the Korean EPA’s emission standards [21] and the concentration of an incinerator located in Seoul.
The temperature was raised using a heating tape (HT2560, VNK, Johor, Malaysia) to achieve a high-temperature condition. PM2.5 was generated with International Organization for Standardization (ISO) 12103-1, A1 ultrafine test dust ISO standard particles (PTI, Hawthorne, NY, USA) using the generator RBG1000 (PALAS, Karlsruhe, Germany). To check whether stable PM2.5 was supplied to a mixing chamber, the amount of PM2.5 generated was measured using a gravimetric method (ISO23210). For a real-time measurement, an optical particle counter (GRIMM1.109, Rheinland-Pfalz, Germany) was used to test the correlation The size of particulate matter generated from an incinerator was assumed to be 2.5 µm, and a hybrid cyclone was manufactured based on that [25]. A cyclone with a 2.5 µm cut-off size(d50) was manufactured and used, and a Peltier-based temperature-control device was used to cool the hybrid cyclone. To effectively remove water vapor and particles through cooling, a temperature control device was added to the conical part where the rotational speed inside the cyclone increased.
In this experiment, standard gases (SO2 105.2 ppm, Rigas, Korea) with an inlet temperature of 180 °C were introduced into a hybrid cyclone device, and the temperature of a Peltier tube was cooled down to −25 °C. The measurement of humidity content at the inlet and outlet of the hybrid cyclone can be carried out by temp-humidity measurement device (testo645, Testo, Titisee-Neustadt, Germany). The SO2 levels were measured using an NDIR analyzer (NMA-N500S, Nara, Seoul, Korea).

2.4. Experimental Procedure

2.4.1. Removal Efficiency of PM2.5

A hybrid cyclone was used for examining PM2.5 removal efficiency. The cyclone based on the Stairmand design was constructed and tested to get a 2.5 μm cut-off size (d50). The removal efficiency was measured in real-time using OPCs based on isokinetic sampling before and after the hybrid cyclone. The experimental conditions are depicted in Table 3. The PM2.5 removal efficiency was measured with respect to various temperatures of the conical part of the cyclone.

2.4.2. Effects of the Hybrid Cyclone on Humidity and SO2

The hybrid cyclone was closely tested to check if it had potential performance as a pretreatment device. For this purpose, a humidity and SO2 removal experiment has been carried out. SO2 gas was selected as a target compound for the recovery investigation because it is one of the main measurement compounds of CEMS in Korea including CO, NOx (i.e., NO and NO2 where NO constitutes over 90% of the total amount). In addition, SO2 has the highest water solubility among the target compounds [26]. The water solubility of a gaseous compound depends on the temperature and pressure conditions. In terms of SO2 gaseous compound, it was found to be affected by pressure, not by temperature [27]. In this current study, it is assumed that the water solubility of SO2 did not change, because experiments were conducted at a high temperature condition with the identical pressure. Measurement points were the outlet of the standard gas simulated and that of the hybrid cyclone.
In order to remove the water vapor and PM2.5 in the exhaust gas, the water vapor in the hybrid cyclone must go through a coagulation process first, changed to a solid phase. The main moisture-removal mechanism is the coagulation of water on the wall of the cyclone cone area. It means that the main process of removing water is not through condensation, but coagulation. Moisture contained in the gas phase is removed by rapid cooling process down to −25 °C. During the cooling process, gas phase water is changed to the solid phase, such as frost. Throughout this process, the particle size grows, and sufficiently large particles are easily removed. At temperatures below 0 °C, supersaturation occurs upon cooling the exhaust gas, affecting the nucleation rate [28,29]. Furthermore, if the collision coefficient of the particulate matter is increased using the cyclone, nucleation is activated, improving the rate of removal of particles and water vapor contained in the exhaust gas. The efficiency for each stage was measured by determining the amount of water vapor and PM2.5. The temperature and humidity of the exhaust gas may vary among sites; however, for general waste incinerators, the temperature is approximately 180 °C, and the amount of water vapor varies from 5 to 180 g/m3 [1]. Temperature, concentration, and the amount of water vapor in the incoming gas flowing into the system were set based on the waste incinerator and are depicted in Table 1. The loss ratio of SO2 was measured using an NDIR measuring instrument (NMA-N500S, Nara Control, South Korea) by passing the simulated gas containing SO2 through the hybrid cyclone.

2.5. QA/QC

QA/QC was conducted by performing the calibration of OPC with the ISO method 23210, by collecting PM2.5 data every 6 s over 30 min, and by determining the precision and accuracy during sampling. All experimental conditions were conducted after the mixing chamber was stabilized. The relative standard deviation (RSD) results of OPC were less than 5% with respect to 300 measurement data acquired. The calibration of the SO2 analyzer was carried out using US EPA Method 6C [30]. The SO2 analyzer collected data every 6 s for 30 min. Each experiment was repeated 3 times, and the total 900 measurement data acquired were used for a statistical analysis.

3. Results and Discussion

3.1. Correlation between OPC and Gravimetric Method

In general, humidity affects OPC measurements. Lundgren et al. (1969) found that particle size changed according to relative humidity. They conducted a study in which the effect was significantly greater with over 50% relative humidity [31]. Nessler et al. (2005) reported that relative humidity affected the performance of OPC; however, the effect was insignificant. They also found that the effect of wavelength absorption of particles on its performance, even at a relative humidity level of 70~90%, was insignificant [32]. Besides, Han et al. (2020) reported that the linear correlation between the intensity of scattered light and the concentration of particulate matter was constant, and the effects of particle absorption (interfering with the light scattering of moisture) and agglomeration (aggregation of particles due to moisture) were insignificant, as they had opposite effects [33]. Through previous studies, it was confirmed that the accuracy of OPC was improved compared to the past. Furthermore, an experiment was conducted to increase the reliability of OPC measurement data. OPC accuracy was relatively lower than that of gravity measurement. To supplement this, the correlation was estimated based on the ISO method of gravity measurement using a cascade impactor with four stages for particle measurement. However, CEMS applied a PM2.5 filter on the probe for stacks (incinerator), and stack particles emitted at a size of less than 2.5 µm. Measurement of particulate matter above 2.5 µm in size was not done clearly, because most of the incinerator processes have a bag filter particle treatment system in Korea. Accordingly, we conducted an experiment on PM2.5, and the measurement results exhibited a significant coefficient of determination, r2 = 0.8759, demonstrating the close relationship between the gravimetric and OPC methods(Figure 2). The OPC measurement is meaningful in case a real-time comparison is a critical part of experiments under high-temperature and high-humidity conditions (>40 °C and >30 g/m3, respectively).

3.2. Removal Efficieny of PM2.5

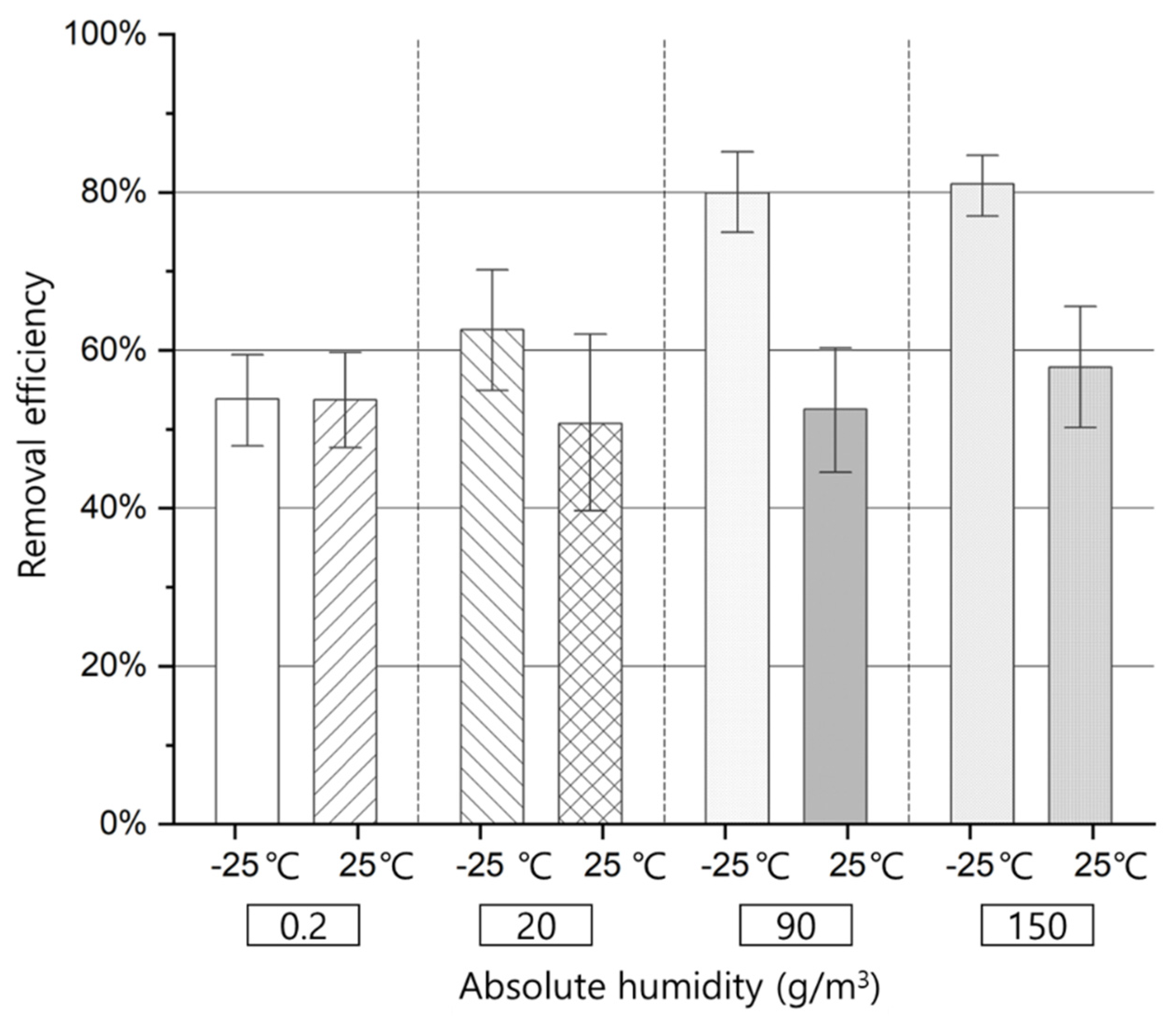
Background tests for the PM2.5 removal efficiency were conducted under lab conditions at −25 and 25 °C. Parameters for PM2.5 removal in this experiment were temperature and moisture content. The results of the PM2.5 removal with respect to variations of moisture contents are shown in Figure 3.
PM2.5 removal efficiency was measured according to the amount of water vapor under the conditions presented in Table 1. The amount of water vapor was 0.2, 20, 90, and 150 g/m3 at 180 °C in the experiment design. In the case of a 0.2 g/m3 humidity condition (relative humidity = 0.0004%), it was found that there was a slight effect of water vapor on PM2.5 removal. PM2.5 removal efficiency was 53.9%, which was similar to the basic result of a cyclone designed with 2.5 µm of particle cut size. On the other hand, the removal efficiencies of PM2.5 at water vapor 20, 90, and 150 g/m3 was 62.6, 79.9, and 81.1%, respectively. This revealed that as the water content increased, PM2.5 removal efficiency increased in the hybrid cyclone. At the lab temperature (i.e., 25 °C), PM2.5 removal efficiency was lower than that at −25 °C with a low humidity level at 0.2 g/m3. A previous study revealed that the efficiency was improved because of the lower temperature of the surface for collecting PM [34]. The PM2.5 removal efficiencies of the cyclone were 51.0, 52.7, and 57.4% with respect to 20, 90, and 150 g/m3 of absolute humidities. This suggested that PM2.5 removal efficiencies be increased when the water content was increased, but the efficiencies were still lower than that at −25 °C and similar to those at the dry condition. It was reported that the PM removal efficiency was improved due to the cold surface as discussed before [34], and the removal efficiency of PM also increased according to the moisture content and relative humidity [35,36]. It seems that there is a synergy effect in the removal efficiency as the humidity in a stack increases in the hybrid cyclone. The range of the error bar for the removal efficiency was around 7%. However, the RSD of the removal efficiency was within 5%, which implies an insignificant effect. The PM2.5 removal efficiency with respect to the cooling temperature and humidity conditions of the hybrid cyclone is displayed in Figure 4.
The linear regression line according to temperature variations in Figure 4 indicated that the removal efficiency of PM2.5 increased as the temperature decreased. At absolute humidities of 0.2, 20, 90, and 150 g/m3, r2 values of the linear regression for the PM2.5 removal efficiency varied with respect to the cooling temperature of the hybrid cyclone, found to be 0.9895, 0.7787, 0.8939, and 0.9480, respectively. This suggested that the two variables, humidity and temperature, affect the removal efficiency of PM2.5 significantly. Fisher’s test of control temperature and removal efficiency was performed through ANOVA test between removal efficiency and moisture content. It was confirmed that there is a correlation at the level of 0.05. The range of the error bar varied from 3 to 10% with regard to the removal efficiency of PM2.5. It was concluded from this study that the higher the moisture content was, the higher the PM2.5 removal efficiency was.

3.3. Effects of the Hybrid Cyclone on Its Outlet Humidity and SO2

The results of absolute humidity measurements in a sample gas passing through the hybrid cyclone device are presented in Figure 5. These results are the measurement results when the outlet tube was heated to 45 °C to prevent clogging of the outlet tube. As the inlet humidity increased, the outlet humidity through the hybrid cyclone gradually increased. In our case, the moisture-removal mechanism is the coagulation of water on the wall of the cyclone cone area, and the main process of removing water is through coagulation. During the cooling process, gas phase water coagulates to frost. As the amount of moisture increases, more moisture is removed as well at the same temperature. It can be seen that the higher the moisture content, the higher the coagulation amount. It was also found that the measured temperature and absolute humidity after the hybrid cyclone were 45 ± 2 °C and <30 g/m3. This absolute humidity is equivalent to 45% of relative humidity. This implies that the outlet gas passing through the hybrid cyclone always has a moisture content at the level of relative humidity which is favorable for the NDIR analyzer [37] and OPC measurement. Therefore, the hybrid cyclone has the potential to be used as a pretreatment device for the NDIR analyzer.
Furthermore, in order for the hybrid cyclone to be used as a pretreatment device, the loss of target pollutants should be minimized. For this purpose, the loss rate was measured using an SO2 NDIR analyzer. The loss rate of SO2 is displayed in Figure 6. The inlet and outlet concentrations of SO2 at 150 g/m3 of absolute humidity were 103.8 ± 1.6 ppm and 100.4 ± 2.8 ppm, respectively, and the average loss rate was 3.3%. In general, a Nafion dryer and a cooler have been widely used as pretreatment devices for the CEMS. However, these had their own disadvantages. SO2 loss rates reported on Nafion dryer and cooler at <20 g/m3 of absolute humidity (50% relative humidity) was 2.7% and 27.3%, respectively [16]. The cooler resulted in higher SO2 loss rate because the condensation mechanism was applied to their work rather than coagulation. This suggests that the loss rate of the target pollutant of the hybrid cyclone seems to be better than that of the existing devices if humidity conditions are the same, which means that the hybrid is more applicable to CEMS comprising high humidity. Thus, a hybrid cyclone could be used as a pretreatment device to remove particles and water vapor at the same time.

3.4. Operating Cost

Based on the experimental results of the hybrid cyclone, it was proven that lowering the temperature of the extractive sample line would be possible, thereby affecting the operation cost. In the case of a current commercial line, it should be sufficiently heated, because analytes might be dissolved in the condensed water and an error might occur [38]. As a result of this experiment, the hybrid cyclone showed a sufficient pretreatment effect in that moisture did not condense, revealing the possibility of lowering the transfer line temperature down to 45 °C. Supposing this is applied to a commercial product (Hillesheim GmbH, Germany) with a 50 m long line, when the temperature of the line is reduced from 180 °C to 45 °C, its power consumption declines from 3.84 kW to 2.53 kW, which means saving about 34% of electricity consumption.

4. Conclusions

The results of this study provided insights into the improvement of a pretreatment device that could be applied to CEMS. By using the hybrid cyclone, the collection efficiency of particles was improved with that of water vapor in the exhaust gas, and the water vapor and particles were simultaneously removed by the congelation effect of the water vapor. Moreover, the method reduced the loss rate of water-soluble substances by removing the water vapor.
The stability and accuracy of the NDIR measurement device could be improved if appropriate sample conditions were created by controlling temperature and humidity in the exhaust gas using a pretreatment device. PM2.5 removal efficiency using the hybrid cyclone varied depending on the cooling temperature of the cyclone and the amount of water vapor introduced into the system. The lower the temperature, the higher the removal efficiency. As the cooling temperature decreased, the PM2.5 was more easily removed. When the simulated incinerator gas (an inlet temperature of 180 °C; absolute humidity of 150 g/m3; and PM2.5 concentration of 1 mg/m3) passed through the hybrid cyclone, its downstream gas temperature was 45 ± 2 °C, and the outlet relative humidity of the cyclone was less than 50%. If the hybrid cyclone is used as a pretreatment device for the NDIR measurement, some benefits could be achieved, as below. First, if the cooling temperature is reduced to −25 °C using the hybrid cyclone, the temperature and humidity of incoming gases can be appropriately pretreated for the NDIR measuring device. Second, by removing PM2.5 and water vapor in advance, the lifetime of the transfer line and NDIR analyzer could be extended, and the accuracy of the analytical results could be improved. Third, reducing the heating energy consumption of the extractive pipeline and NDIR measuring instrument could reduce the operating cost of the system. Moreover, by using the hybrid cyclone as a pretreatment device, the lifetime of the dust filter installed just before the NDIR analyzer could be extended.
This study has limitations in simulating various field conditions of temperature, humidity, and PM2.5. Hence, more extensive field studies are required in the future.

Author Contributions

Conceptualization, I.-Y.C. and J.-C.K.; methodology, I.-Y.C., T.-V.D. and J.-C.K.; investigation, D.-E.K. and B.-H.J.; data curation, S.-A.L. and Y.-M.P.; writing—original draft preparation, I.-Y.C.; writing—review and editing, I.-Y.C., T.-V.D. and J.-C.K.; supervision; J.-C.K.; project administration, I.-Y.C. All authors have read and agreed to the published version of the manuscript.

Funding

This research received no external funding.

Institutional Review Board Statement

Not applicable.

Informed Consent Statement

Not applicable.

Data Availability Statement

Not applicable.

Acknowledgments

This paper was supported by Konkuk University Premier Research Fund in 2020.

Conflicts of Interest

The authors declare no conflict of interest.

References

  1. Dinh, T.V.; Kim, J.C. Moisture Removal Techniques for a Continuous Emission Monitoring System: A Review. Atmosphere 2021, 12, 61. [Google Scholar] [CrossRef]
  2. Jahnke, J.A. Continuous Emission Monitoring, 2nd ed.; John Wiley & Sons, Inc.: New York, NY, USA, 2000; ISBN 0-471-29227-3. [Google Scholar]
  3. Sun, Y.W.; Liu, W.Q.; Zeng, Y.; Wang, S.M.; Huang, S.H.; Xie, P.H.; Yu, X.M. Water Vapor Interference Correction in a Non Dispersive Infrared Multi-Gas Analyzer. Chin. Phys. Lett. 2011, 28, 073302. [Google Scholar] [CrossRef]
  4. Kim, J.C.; Dinh, T.V.; Choi, I.Y.; Song, K.Y. Physical and Chemical Factors Influencing the Continuous Monitoring of Carbon Monoxide Using NDIR Sensor. Proc. Int. Conf. Sens. Technol. ICST 2016, 2016, 316–319. [Google Scholar] [CrossRef]
  5. Mylläri, F.; Karjalainen, P.; Taipale, R.; Aalto, P.; Häyrinen, A.; Rautiainen, J.; Pirjola, L.; Hillamo, R.; Keskinen, J.; Rönkkö, T. Physical and Chemical Characteristics of Flue-Gas Particles in a Large Pulverized Fuel-Fired Power Plant Boiler during Co-Combustion of Coal and Wood Pellets. Combust. Flame 2017, 176, 554–566. [Google Scholar] [CrossRef]
  6. Feng, Y.; Li, Y.; Cui, L. Critical Review of Condensable Particulate Matter. Fuel 2018, 224, 801–813. [Google Scholar] [CrossRef]
  7. Shatskikh, Y.V.; Sharapov, A.I.; Byankin, I.G. Analysis of Deep Heat Recovery from Flue Gases. J. Phys. Conf. Ser. 2017, 891, 012188. [Google Scholar] [CrossRef]
  8. Ehrlich, C.; Noll, G.; Kalkoff, W.D.; Baumbach, G.; Dreiseidler, A. PM10, PM2.5 and PM1.0-Emissions from Industrial Plants—Results from Measurement Programmes in Germany. Atmos Environ. 2007, 41, 6236–6254. [Google Scholar] [CrossRef]
  9. Amir, V. Improving Steam Power Plant Efficiency Through Exergy Analysis: Ambient Temperature. In Proceedings of the 2nd International Conference on Mechanical, Production and Automobile Engineering (ICMPAE), Singapore, 28–29 April 2012; pp. 209–212. [Google Scholar]
  10. Rosen, M.A.; Tang, R. Improving Steam Power Plant Efficiency through Exergy Analysis: Effects of Altering Excess Combustion Air and Stack-Gas Temperature. Int. J. Exergy 2008, 5, 31–51. [Google Scholar] [CrossRef]
  11. US EPA. An Operator’ s Guide To Eliminating Bias In CEM Systems; United States Environmental Protection Agency: Washington DC, USA, 1994.
  12. Lee, J.Y.; Dinh, T.V.; Kim, D.J.; Choi, I.Y.; Ahn, J.W.; Park, S.Y.; Jung, Y.J.; Kim, J.C. Comparison of Water Pretreatment Devices for the Measurement of Polar Odorous Compounds. Appl. Sci. 2019, 9, 4045. [Google Scholar] [CrossRef]
  13. Kim, D.J.; Dinh, T.V.; Lee, J.Y.; Choi, I.Y.; Son, D.J.; Kim, I.Y.; Sunwoo, Y.; Kim, J.C. Effects of Water Removal Devices on Ambient Inorganic Air Pollutant Measurements. Int J. Environ. Res. Public Health 2019, 16, 3446. [Google Scholar] [CrossRef]
  14. Son, Y.S.; Lee, G.; Kim, J.C.; Han, J.S. Development of a Pretreatment System for the Analysis of Atmospheric Reduced Sulfur Compounds. Anal. Chem. 2013, 85, 10134–10141. [Google Scholar] [CrossRef] [PubMed]
  15. Lee, J.Y.; Dinh, T.V.; Kim, D.J.; Choi, I.Y.; Ahn, J.W.; Park, S.Y.; Jung, Y.J.; Kim, J.C. Effect of Conventional Water Pretreatment Devices on Polar Compound Analysis. Asian J. Atmos. Environ. 2019, 13, 249–258. [Google Scholar] [CrossRef]
  16. Kim, D.J.; Dinh, T.V.; Lee, J.Y.; Son, D.J.; Kim, J.C. Effect of Nafion Dryer and Cooler on Ambient Air Pollutant (O3, SO2, CO) Measurement. Asian J. Atmos. Environ. 2020, 14, 28–34. [Google Scholar] [CrossRef]
  17. Li, Y.; Qin, G.; Xiong, Z.; Ji, Y.F.; Fan, L. The Effect of Particle Humidity on Separation Efficiency for an Axial Cyclone Separator. Adv. Powder Technol. 2019, 30, 724–731. [Google Scholar] [CrossRef]
  18. Zhang, Y.; Yu, G.; Jin, R.; Chen, X.; Dong, K.; Jiang, Y.; Wang, B. Investigation into Water Vapor and Flue Gas Temperatures on the Separation Capability of a Novel Cyclone Separator. Powder Technol. 2020, 361, 171–178. [Google Scholar] [CrossRef]
  19. ISO 23210:2009; Stationary Source Emissions—Determination of PM10/PM2,5 Mass Concentration in Flue Gas—Measurement at Low Concentrations by Use of Impactors. ISO: Geneva, Switzerland, 2009.
  20. Incineration and Dioxins Review of Formation Processes. Available online: https://www.dcceew.gov.au/sites/default/files/documents/incineration-review.pdf (accessed on 29 July 2022).
  21. Korea EPA. Air Pollutant Emission Permit Criteria, Air Conservation Act; Korea EPA: Seoul, Korea, 2022; Volume 15. [Google Scholar]
  22. Son, J.; Kim, K.; Kang, Y.; Park, S. Distribution Characteristics of Dioxin Concentration in Pyrolysis-Gasification-Melting Process Facilities. Anal. Sci. Technol. 2007, 20, 10–16. [Google Scholar]
  23. Sunhee, K.; Taehong, S.; Kyungchun, K. Thermodynamic Analysis on Organic Rankine Cycle Using Gas of the Chimney in a Resource Recovery Facility. J. Korean Inst. Gas 2017, 21, 27–35. [Google Scholar] [CrossRef]
  24. CleanSYS. Korea Environment Corporation(KECO). Available online: https://cleansys.or.kr/index.do (accessed on 30 June 2022).
  25. Buonanno, G.; Ficco, G.; Stabile, L. Size distribution and number concentration of particles at the stack of a municipal waste incinerator. Waste Management. 2009, 29, 749–755. [Google Scholar] [CrossRef]
  26. Muller, H. Sulfur Dioxide; Wiley Online Library: Frankfurt, Germany, 2000; Volume 35. [Google Scholar]
  27. Zhou, Q.; Guo, H.; Yang, P.; Wang, Z. Solubility of SO2 in Water from 263.15 to 393.15 K and from 10 to 300 Bar: Quantitative Raman Spectroscopic Measurements and PC-SAFT Prediction. Ind. Eng. Chem. Res. 2020, 59, 12855–12861. [Google Scholar] [CrossRef]
  28. Smorodin, V.Y.; Hopke, P.K. Condensation Activation and Nucleation on Heterogeneous Aerosol Nanoparticles. J. Phys. Chem. B 2004, 108, 9147–9157. [Google Scholar] [CrossRef]
  29. Fletcher, N.H. Size Effect in Heterogeneous Nucleation. J. Chem. Phys. 1958, 29, 572–576. [Google Scholar] [CrossRef]
  30. Method 6C-Sulfur Dioxide-Instrumental Analyzer Procedure. Available online: https://www.epa.gov/sites/default/files/2017-08/documents/method_6c.pdf. (accessed on 29 July 2022).
  31. Lundgren, D.A.; Cooper, D.W. Effect of Humidify on Light-Scattering Methods of Measuring Particle Concentration. J. Air Pollut. Control Assoc. 1969, 19, 243–247. [Google Scholar] [CrossRef]
  32. Nessler, R.; Weingartner, E.; Baltensperger, U. Effect of Humidity on Aerosol Light Absorption and Its Implications for Extinction and the Single Scattering Albedo Illustrated for a Site in the Lower Free Troposphere. J. Aerosol Sci. 2005, 36, 958–972. [Google Scholar] [CrossRef]
  33. Han, J.; Liu, X.; Chen, D.; Jiang, M. Influence of Relative Humidity on Real-Time Measurements of Particulate Matter Concentration via Light Scattering. J. Aerosol Sci. 2020, 139, 105462. [Google Scholar] [CrossRef]
  34. Lee, B.U.; Kim, S.S. New Type of Impactor with a Cooled Impaction Plate for Capturing PM2.5 and Other Aerosols. J. Aerosol Sci. 2003, 34, 957–962. [Google Scholar] [CrossRef]
  35. Busnaina, A.A.; Elsawy, T. The Effect of Relative Humidity on Particle Adhesion and Removal. J. Adhes. 2000, 74, 391–409. [Google Scholar] [CrossRef]
  36. Javed, W.; Guo, B. Effect of Relative Humidity on Dust Removal Performance of Electrodynamic Dust Shield. J. Electrostat. 2020, 105, 103434. [Google Scholar] [CrossRef]
  37. Stolberg-Rohr, T.; Buchner, R.; Krishna, A.; Munch, L.; Pihl, K.; Hansen, J.S.; Tojaga, S.; Moos, H.G.; Jensen, J.M. NDIR Humidity Measurement. Proc. IEEE Sens. 2011, 1058–1061. [Google Scholar] [CrossRef]
  38. National Institute of Environmental Sciences Air Pollution Process Test Standards; National Institute of Environmental Sciences: Incheon, Korea, 2022.
Figure 1. Experimental set-up for the hybrid cyclone.
Figure 1. Experimental set-up for the hybrid cyclone.
Atmosphere 13 01601 g001
Figure 2. Correlation of PM2.5 concentration measurements using gravimetric and light scattering methods in a mixing chamber.
Figure 2. Correlation of PM2.5 concentration measurements using gravimetric and light scattering methods in a mixing chamber.
Atmosphere 13 01601 g002
Figure 3. Removal efficiencies of PM2.5 at −25 °C and 25 °C with regard to moisture contents.
Figure 3. Removal efficiencies of PM2.5 at −25 °C and 25 °C with regard to moisture contents.
Atmosphere 13 01601 g003
Figure 4. Variations of PM2.5 removal efficiencies with respect to cooling temperatures and absolute humidities: (a) 0.2 g/m3, (b) 20 g/m3, (c) 90 g/m3, and (d) 150 g/m3.
Figure 4. Variations of PM2.5 removal efficiencies with respect to cooling temperatures and absolute humidities: (a) 0.2 g/m3, (b) 20 g/m3, (c) 90 g/m3, and (d) 150 g/m3.
Atmosphere 13 01601 g004
Figure 5. Variations of absolute humidity in a gas sample before and after the hybrid cyclone.
Figure 5. Variations of absolute humidity in a gas sample before and after the hybrid cyclone.
Atmosphere 13 01601 g005
Figure 6. Pretreatment performance of the hybrid cyclone for SO2.
Figure 6. Pretreatment performance of the hybrid cyclone for SO2.
Atmosphere 13 01601 g006
Table 1. Experimental conditions of PM2.5 and water vapor removal efficiency.
Table 1. Experimental conditions of PM2.5 and water vapor removal efficiency.
DimensionsValue(mm)
Body Diameter23
Height of Inlet11.5
Width of inlet4.6
Diameter of Gas Exit11.5
Length of Vortex Finder11.5
Length of Body34.5
Length of Cone115
Diameter of Dust Outlet9
Table 2. Experimental conditions of PM2.5 and water vapor removal efficiency.
Table 2. Experimental conditions of PM2.5 and water vapor removal efficiency.
Emission SourceTemperature (°C)Humidity (Vol%)Dust
(mg/Sm3)
Waste incinerator site A [22]
(4.8 ton/day)
10816.125
Waste incinerator site B [23]
(170 ton/day)
176.6161.15 1
1 CleanSYS. Available online: https://cleansys.or.kr/index.do (accessed on 30 June 2022) [24].
Table 3. Experimental conditions of PM2.5 and water vapor removal efficiency.
Table 3. Experimental conditions of PM2.5 and water vapor removal efficiency.
ItemsValue
Flow rate (slpm)6.0
Temperature of gas (°C)180
PM2.5 density (mg/m3)1.0
Inlet temperature of Hybrid cyclone (°C)25, 15, 5, −5, −15, and −25
Outlet temperature of Hybrid cyclone (°C)45
Absolute humidity (g/m3)20, 90, and 150
SO2 concentration (ppm)105.2
Publisher’s Note: MDPI stays neutral with regard to jurisdictional claims in published maps and institutional affiliations.

Share and Cite

MDPI and ACS Style

Choi, I.-Y.; Dinh, T.-V.; Kim, D.-E.; Jun, B.-H.; Lee, S.-A.; Park, Y.-M.; Kim, J.-C. The Effect of a Hybrid Pretreatment Device for CEMS on the Simultaneous Removal of PM2.5 and Water Vapor. Atmosphere 2022, 13, 1601. https://doi.org/10.3390/atmos13101601

AMA Style

Choi I-Y, Dinh T-V, Kim D-E, Jun B-H, Lee S-A, Park Y-M, Kim J-C. The Effect of a Hybrid Pretreatment Device for CEMS on the Simultaneous Removal of PM2.5 and Water Vapor. Atmosphere. 2022; 13(10):1601. https://doi.org/10.3390/atmos13101601

Chicago/Turabian Style

Choi, In-Young, Trieu-Vuong Dinh, Dong-Eun Kim, Bong-Hyun Jun, Seung-Ae Lee, Young-Min Park, and Jo-Chun Kim. 2022. "The Effect of a Hybrid Pretreatment Device for CEMS on the Simultaneous Removal of PM2.5 and Water Vapor" Atmosphere 13, no. 10: 1601. https://doi.org/10.3390/atmos13101601

APA Style

Choi, I.-Y., Dinh, T.-V., Kim, D.-E., Jun, B.-H., Lee, S.-A., Park, Y.-M., & Kim, J.-C. (2022). The Effect of a Hybrid Pretreatment Device for CEMS on the Simultaneous Removal of PM2.5 and Water Vapor. Atmosphere, 13(10), 1601. https://doi.org/10.3390/atmos13101601

Note that from the first issue of 2016, this journal uses article numbers instead of page numbers. See further details here.

Article Metrics

Back to TopTop