The Nexus between Environmental Impact and Agricultural Sector Linkages: A Case Study of Pakistan
Abstract
:1. Introduction
2. Literature Review
3. Materials and Methods
3.1. Data Sources
3.2. Methodology
3.2.1. Direct Environmental Impact Estimation
3.2.2. Classification of the Economy into Target and Non-Target Sectors
3.2.3. Hypothetical Extraction Method (HEM)
3.2.4. Modified Hypothetical Extraction Method (MHEM)
3.2.5. Decomposition of Direct Environmental Impact via MHEM
3.2.6. Decomposition of Indirect Environmental Impact via MHEM
3.2.7. Further Decomposition of Upstream and Downstream Linkages
3.2.8. Total Environmental Impact
4. Results
4.1. Direct Environmental Impact
4.2. Indirect Environmental Impact
4.3. Total Environmental Impact
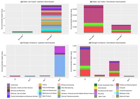
4.4. Further Decomposition of Downstream and Upstream Environmental Impacts
5. Discussion
6. Policy Recommendations
- Land Use
- Water Use
- Nitrogen Emissions
- CO2 Emissions
7. Conclusions
Supplementary Materials
Author Contributions
Funding
Institutional Review Board Statement
Informed Consent Statement
Data Availability Statement
Acknowledgments
Conflicts of Interest
References
- European Environment Energy. Agriculture and Climate Change; European Environment Energy: Copenhagen, Denmark, 2021. [Google Scholar]
- ur Rahman, M.H.; Ahmad, A.; Wang, X.; Wajid, A.; Nasim, W.; Hussain, M.; Ahmad, B.; Ahmad, I.; Ali, Z.; Ishaque, W.; et al. Multi-model projections of future climate and climate change impacts uncertainty assessment for cotton production in Pakistan. Agric. For. Meteorol. 2018, 253–254, 94–113. [Google Scholar] [CrossRef]
- Tsangas, M.; Gavriel, I.; Doula, M.; Xeni, F.; Zorpas, A.A. Life cycle analysis in the framework of agricultural strategic development planning in the Balkan region. Sustainability 2020, 12, 1813. [Google Scholar] [CrossRef] [Green Version]
- OECD. Agriculture and the Environment. Available online: https://www.oecd.org/agriculture/topics/agriculture-and-the-environment/ (accessed on 15 July 2021).
- UNEP. 10 Things You Should Know about Industrial Farming. Available online: https://www.unep.org/news-and-stories/story/10-things-you-should-know-about-industrial-farming (accessed on 15 July 2021).
- National Geographic Society Environmental Impacts of Agricultural Modifications. Available online: https://www.nationalgeographic.org/article/environmental-impacts-agricultural-modifications/ (accessed on 15 July 2021).
- WWF Sustainable Agriculture. Available online: https://www.worldwildlife.org/industries/sustainable-agriculture (accessed on 15 July 2021).
- Rehman, A.; Jingdong, L.; Shahzad, B.; Ali, A.; Hussain, I.; Nabi, G.; Shahid, M. Economic perspectives of major field crops of Pakistan: An empirical study. Pac. Sci. Rev. B Nat. Sci. Eng. 2016, 1, 145–158. [Google Scholar] [CrossRef] [Green Version]
- Pakistan Bureau of Statistics Agriculture Statistics. Available online: https://www.pbs.gov.pk/content/agriculture-statistics (accessed on 26 March 2021).
- Ministry of Finance Agriculure. Pakistan Economic Survey 2017–18; Ministry of Finance, Government of Pakistan: Islamabad, Pakistan, 2019; pp. 13–32.
- The World Bank. DataBank: World Development Indicators. Available online: https://databank.worldbank.org/source/world-development-indicators (accessed on 26 March 2021).
- Sajid, M.J.; Li, X.; Cao, Q. Demand and supply-side carbon linkages of Turkish economy using hypothetical extraction method. J. Clean. Prod. 2019, 228, 264–275. [Google Scholar] [CrossRef]
- Sajid, M.J. Inter-sectoral carbon ties and final demand in a high climate risk country: The case of Pakistan. J. Clean. Prod. 2020, 269, 122254. [Google Scholar] [CrossRef]
- Eora Global MRIO Eora Documentation: MRIO Structure. Available online: https://worldmrio.com/documentation/ (accessed on 4 September 2021).
- EPA Agriculture Sectors: Crop (NAICS 111) and Animal (NAICS 112). Available online: https://www.epa.gov/regulatory-information-sector/agriculture-sectors-crop-naics-111-and-animal-naics-112 (accessed on 4 September 2021).
- Schepelmann, P.; Vercalsteren, A.; Acosta-fernandez, J.; Saurat, M.; Maguire, C. Driving Forces of Changing Environmental Pressures from Consumption in the European Food System. Sustainability 2020, 12, 8265. [Google Scholar] [CrossRef]
- Industrial Ecology Virtual Laboratory (IELab) Knowledge Base: FREQUENTLY ASKED QUESTIONS ABOUT IOA. Available online: https://ielab.info/kb/ioa/faq-ioa (accessed on 29 March 2019).
- WWF. WWF—World Wide Fund for Nature. Available online: https://wwf.panda.org/discover/knowledge_hub/teacher_resources/webfieldtrips/ecological_balance/eco_footprint/? (accessed on 26 March 2021).
- Carroll, A. What Is an Environmental Foot Print? (Ecological Footprint). Available online: https://lpelc.org/what-is-an-environmental-foot-print-ecological-footprint/ (accessed on 26 March 2021).
- Meribole, J. The Water Crisis in Pakistan. In Borgen Magazine; The Borgen Project: Seattle, WA, USA, 2020. [Google Scholar]
- Food and Agriculture Organization (FAO). FAO in Pakistan: Pakistan at a Glance. Available online: http://www.fao.org/pakistan/our-office/pakistan-at-a-glance/en/ (accessed on 20 May 2021).
- Ministry of National Food Security and Research. Agricultural Statistics of Pakistan 2011–12; Ministry of National Food Security and Research: Islamabad, Pakistan, 2013.
- Lahiani, A. Revisiting the growth-carbon dioxide emissions nexus in Pakistan. Environ. Sci. Pollut. Res. 2018, 25, 35637–35645. [Google Scholar] [CrossRef] [PubMed]
- Almaraz, M.; Bai, E.; Wang, C.; Trousdell, J.; Conley, S.; Faloona, I.; Houlton, B.Z. Agriculture is a major source of NOx pollution in California. Sci. Adv. 2018, 4, eaao3477. [Google Scholar] [CrossRef] [PubMed] [Green Version]
- Tian, H.; Xu, R.; Canadell, J.G.; Thompson, R.L.; Winiwarter, W.; Suntharalingam, P.; Davidson, E.A.; Ciais, P.; Jackson, R.B.; Janssens-maenhout, G.; et al. A comprehensive quantification of global nitrous oxide sources and sinks. Nature 2020, 586, 248–256. [Google Scholar] [CrossRef]
- Desjardins, R.L.; Worth, D.E.; Vergé, X.P.C.; VanderZaag, A.; Janzen, H.; Kroebel, R.; Maxime, D.; Smith, W.; Grant, B.; Pattey, E.; et al. Carbon Footprint of Agricultural Products—A Measure of the Impact of Agricultural Production on Climate Change. In Proceedings of the World AgroMeteorological Information Service, Geneva, Switzerland, 16–17 January 2014; Available online: http://www.wamis.org/agm/meetings/teco14/S5-Desjardins.pdf (accessed on 4 September 2021).
- Watson, P.R. Animal traction. In Animal Traction; Davis, R., Ed.; Produced for Peace Corps by the TransCentury Corporation, Washington, D. C., under Contract No. 79-043-0129; Peace Corps, Information Collection and Exchange: Washington, DC, USA, 1981. [Google Scholar]
- Tongwane, M.; Mdlambuzi, T.; Moeletsi, M.; Tsubo, M.; Mliswa, V.; Grootboom, L. Greenhouse gas emissions from different crop production and management practices in South Africa. Environ. Dev. 2016, 19, 23–35. [Google Scholar] [CrossRef] [Green Version]
- Clements, B.J. On the decomposition and normalization of interindustry linkages. Econ. Lett. 1990, 33, 337–340. [Google Scholar] [CrossRef]
- Guerra, A.I.; Sancho, F. Measuring energy linkages with the hypothetical extraction method: An application to Spain. Energy Econ. 2010, 32, 831–837. [Google Scholar] [CrossRef]
- Duarte, R.; Sa, J.; Bielsa, J. Water use in the Spanish economy: An input-output approach. Ecol. Econ. 2002, 43, 71–85. [Google Scholar] [CrossRef]
- Deng, G.; Wang, L.; Xu, X. Linkage effect of virtual water trade in China’s industrial products—Based on generalized hypothetical extraction method. Ecol. Indic. 2018, 93, 1302–1310. [Google Scholar] [CrossRef]
- Fang, D.; Chen, B. Linkage analysis for water-carbon nexus in China. Appl. Energy 2018, 225, 682–695. [Google Scholar] [CrossRef]
- Dionisio, C.; Blanco, P.; Thaler, T. An Input-Output Assessment of Water Productivity in the Castile and León Region (Spain). Water 2014, 6, 929–944. [Google Scholar] [CrossRef] [Green Version]
- He, W.; Wang, Y.; Zuo, J.; Luo, Y. Sectoral linkage analysis of three main air pollutants in China’s industry: Comparing 2010 with 2002. J. Environ. Manag. 2017, 202, 232–241. [Google Scholar] [CrossRef] [PubMed]
- Wang, Y.; Liu, H.; Mao, G.; Zuo, J.; Ma, J. Inter-regional and sectoral linkage analysis of air pollution in Beijing–Tianjin–Hebei (Jing-Jin-Ji) urban agglomeration of China. J. Clean. Prod. 2017, 165, 1436–1444. [Google Scholar] [CrossRef]
- Deng, G.; Ma, Y.; Zhang, L.; Liu, G. China’s embodied energy trade: Based on hypothetical extraction method and structural decomposition analysis. Energy Sources Part B Econ. Plan. Policy 2018, 13, 448–462. [Google Scholar] [CrossRef]
- Sajid, M.J.; Qiao, W.; Cao, Q.; Kang, W. Prospects of industrial consumption embedded final emissions: A revision on Chinese household embodied industrial emissions. Sci. Rep. 2020, 10, 1826. [Google Scholar] [CrossRef] [Green Version]
- Sajid, M.J. Structural decomposition and Regional Sensitivity Analysis of industrial consumption embedded emissions from Chinese households. Ecol. Indic. 2021, 122, 107237. [Google Scholar] [CrossRef]
- Sun, C.; Chen, L.; Xu, Y. Industrial linkage of embodied CO2 emissions: Evidence based on an absolute weighted measurement method. Resour. Conserv. Recycl. 2020, 160, 104892. [Google Scholar] [CrossRef]
- Sajid, M.J.; Qingren, C.; Ming, C.; Shuang, L. Sectoral carbon linkages of Indian economy based on hypothetical extraction model. Int. J. Clim. Chang. Strateg. Manag. 2020, 12, 323–347. [Google Scholar] [CrossRef]
- Sajid, M.J.; Cao, Q.; Kang, W. Transport sector carbon linkages of EU’s top seven emitters. Transp. Policy 2019, 80, 24–38. [Google Scholar] [CrossRef]
- Sajid, M.J.; Shahni, N.; Ali, M. Calculating inter-sectoral carbon flows of a mining sector via hypothetical extraction method. J. Min. Environ. 2019, 10, 853–867. [Google Scholar] [CrossRef]
- Sajid, M.J.; Gonzalez, E.D.R.S. The Impact of Direct and Indirect COVID-19 Related Demand Shocks on Sectoral CO2 Emissions: Evidence from Major Asia Pacific Countries. Sustainability 2021, 13, 9312. [Google Scholar] [CrossRef]
- Sun, C.; Ding, D.; Yang, M. Estimating the complete CO2 emissions and the carbon intensity in India: From the carbon transfer perspective. Energy Policy 2017, 109, 418–427. [Google Scholar] [CrossRef]
- Chen, G.; Hadjikakou, M.; Wiedmann, T. Urban carbon transformations: Unravelling spatial and inter-sectoral linkages for key city industries based on multi-region input–output analysis. J. Clean. Prod. 2017, 163, 224–240. [Google Scholar] [CrossRef] [Green Version]
- Tian, X.; Chang, M.; Tanikawa, H.; Shi, F.; Imura, H. Regional Disparity in Carbon Dioxide Emissions Assessing Sectoral Impacts on the Carbon Dioxide Emissions Structure Among Regions of Mainland China. J. Ind. Ecol. 2012, 16, 612–622. [Google Scholar] [CrossRef]
- Gomiero, T.; Pimentel, D.; Paoletti, M.G. Environmental Impact of Different Agricultural Management Practices: Conventional vs. Organic Agriculture. CRC Crit. Rev. Plant Sci. 2011, 30, 95–124. [Google Scholar] [CrossRef]
- Winstone, B.; Filson, G.; Heck, R.J.; Filho, J.C.D.A. How Organic and Conventional Farmers in Brazil’s Natuba Basin understand soil. Agroecol. Sustain. Food Syst. 2019, 43, 409–428. [Google Scholar] [CrossRef]
- Der Werf, H.M.G.; Petit, J. Evaluation of the environmental impact of agriculture at the farm level: A comparison and analysis of 12 indicator-based methods. Agric. Ecosyst. Environ. 2002, 93, 131–145. [Google Scholar] [CrossRef]
- Sabiha, N.E.; Salim, R.; Rahman, S.; Rola-Rubzen, M.F. Measuring environmental sustainability in agriculture: A composite environmental impact index approach. J. Environ. Manag. 2016, 166, 84–93. [Google Scholar] [CrossRef] [Green Version]
- Dabkiene, V.; Balezentis, T.; Streimikiene, D. Development of agri-environmental footprint indicator using the FADN data: Tracking development of sustainable agricultural development in Eastern Europe. Sustain. Prod. Consum. 2021, 27, 2121–2133. [Google Scholar] [CrossRef]
- German, R.N.; Thompson, C.E.; Benton, T.G. Relationships among multiple aspects of agriculture’s environmental impact and productivity: A meta-analysis to guide sustainable agriculture. Biol. Rev. 2016, 92, 716–738. [Google Scholar] [CrossRef]
- Yue, Q.; Guo, P. Managing agricultural water-energy-food-environment nexus considering water footprint and carbon footprint under uncertainty. Agric. Water Manag. 2021, 252, 106899. [Google Scholar] [CrossRef]
- Raliya, R.; Saharan, V.; Dimkpa, C.; Biswas, P. Nanofertilizer for Precision and Sustainable Agriculture: Current State and Future Perspectives. J. Agric. Food Chem. 2018, 66, 6487–6503. [Google Scholar] [CrossRef] [PubMed]
- Chiew, Y.L.; Spångberg, J.; Baky, A.; Hansson, P.-A.; Jönsson, H. Environmental impact of recycling digested food waste as a fertilizer in agriculture—A case study. Resour. Conserv. Recycl. 2015, 95, 1–14. [Google Scholar] [CrossRef]
- Jiang, Z.; Zheng, H.; Xing, B. Environmental life cycle assessment of wheat production using chemical fertilizer, manure compost, and biochar-amended manure compost strategies. Sci. Total Environ. 2021, 760, 143342. [Google Scholar] [CrossRef]
- Fan, W.; Zhang, P.; Xu, Z.; Wei, H.; Lu, N.; Wang, X.; Weng, B.; Chen, Z.; Wu, F.; Dong, X. Life cycle environmental impact assessment of circular agriculture: A case study in Fuqing, China. Sustainability 2018, 10, 1810. [Google Scholar] [CrossRef] [Green Version]
- Zhang, X.; Mauzerall, D.L.; Davidson, E.A.; Kanter, D.R.; Cai, R. The Economic and Environmental Consequences of Implementing Nitrogen-Efficient Technologies and Management Practices in Agriculture. J. Environ. Qual. 2015, 44, 312–324. [Google Scholar] [CrossRef]
- Ekman Nilsson, A.; Sohn, J.; Vega, G.C.; Birkved, M.; Olsen, S.I. Testing the no agricultural waste concept—An environmental comparison of biorefinery value chains in various regions. Resour. Conserv. Recycl. 2021, 174, 105702. [Google Scholar] [CrossRef]
- Zhang, R.; Ma, W.; Liu, J. Impact of government subsidy on agricultural production and pollution: A game-theoretic approach. J. Clean. Prod. 2021, 285, 124806. [Google Scholar] [CrossRef]
- Lenzen, M.; Kanemoto, K.; Moran, D.; Geschke, A. Mapping the structure of the world economy. Environ. Sci. Technol. 2012, 46, 8374–8381. [Google Scholar] [CrossRef] [PubMed]
- Lenzen, M.; Moran, D.; Kanemoto, K.; Geschke, A. Building Eora: A global multi-regional input-output database at high country and sector resolution. Econ. Syst. Res. 2013, 25, 20–49. [Google Scholar] [CrossRef]
- Lenzen, M.; Moran, D.; Bhaduri, A.; Kanemoto, K.; Bekchanov, M.; Geschke, A.; Foran, B. International trade of scarce water. Ecol. Econ. 2013, 94, 78–85. [Google Scholar] [CrossRef]
- Oita, A.; Malik, A.; Kanemoto, K.; Geschke, A.; Nishijima, S.; Lenzen, M. Substantial nitrogen pollution embedded in international trade. Nat. Geosci. 2016, 9, 111–115. [Google Scholar] [CrossRef]
- Leontief, W.W. Quantitative Input and Output Relations in the Economic Systems of the United States. Rev. Econ. Stat. 1936, 18, 105–125. [Google Scholar] [CrossRef] [Green Version]
- Cella, G. The input-output measurement of interindustry linkages. Oxf. Bull. Econ. Stat. 1984, 46, 73–84. [Google Scholar] [CrossRef]
- Blackhurst, B.Y.M.; Hendrickson, C.; Engineering, E. Direct and Indirect Water Withdrawals for U.S. Industrial Sectors. Environ. Sci. Technol. 2010, 44, 2126–2130. [Google Scholar] [CrossRef] [PubMed]
- WWAP (United Nations World Water Assessment Programme); UN-Water. The United Nations World Water Development Report 2018: Nature-Based Solutions for Water; UNESCO: Paris, France, 2018. [Google Scholar]
- Gilbert, N. One-third of our greenhouse gas emissions come from agriculture. Nature 2012, 1–2. [Google Scholar] [CrossRef]
- USDA Agricultural Greenhouse Gas Emissions. Available online: https://www.ers.usda.gov/topics/natural-resources-environment/climate-change/ (accessed on 5 September 2021).
- Mir, K.A.; Purohit, P.; Mehmood, S. Sectoral assessment of greenhouse gas emissions in Pakistan. Environ. Sci. Pollut. Res. 2017, 24, 27345–27355. [Google Scholar] [CrossRef]
- Antunes, P. Resource Intensity and Productivity. Available online: http://www.ejolt.org/2012/12/resource-intensity-and-productivity/ (accessed on 25 April 2021).
- Gallego, B.; Lenzen, M. A consistent input–output formulation of shared producer and consumer responsibility. Econ. Syst. Res. 2005, 17, 365–391. [Google Scholar] [CrossRef]
- Steininger, K.W.; Munoz, P.; Karstensen, J.; Peters, G.P.; Strohmaier, R.; Velázquez, E. Austria’s consumption-based greenhouse gas emissions: Identifying sectoral sources and destinations. Glob. Environ. Chang. 2018, 48, 226–242. [Google Scholar] [CrossRef]
- Lenzen, M.; Murray, J.; Sack, F.; Wiedmann, T. Shared producer and consumer responsibility—Theory and practice. Ecol. Econ. 2007, 61, 27–42. [Google Scholar] [CrossRef]
- Ritchie, H.; Roser, M. Land Use. Available online: https://ourworldindata.org/land-use (accessed on 21 April 2021).
- The Editors of Encyclopaedia Britannica Intensive Agriculture. Available online: https://www.britannica.com/topic/intensive-agriculture/additional-info#history (accessed on 21 April 2021).
- Mahmood, K. Pakistan’s Bitter Seeds: The Marginalised Small Farmers. Available online: https://nation.com.pk/25-Nov-2019/pakistan-s-bitter-seeds-the-marginalised-small-farmers (accessed on 4 September 2021).
- Hawken, P.; Wilkinson, K.K. Sustainable Intensification for Smallholders. In Drawdown: The Most Comprehensive Plan Ever Proposed to Reverse Global Warming; Hawken, P., Ed.; Penguin Books: London, UK, 2017. [Google Scholar]
- Dormido, H. These Countries Are the Most at Risk from a Water Crisis. Available online: https://www.bloomberg.com/graphics/2019-countries-facing-water-crisis/ (accessed on 4 September 2021).
- Adnan, M. Adaptation of Modern Irrigation Method Amid Water Shortage. Available online: https://www.technologytimes.pk/2020/07/03/adaptation-of-different-irrigation-method-by-farmer-in-current-shortage-of-water/ (accessed on 25 April 2021).
- Qureshi, A.S.; Gill, M.A.; Sarwar, A. Sustainable groundwater management in Pakistan: Challenges and opportunities. Irrig. Drain. 2010, 59, 107–116. [Google Scholar] [CrossRef]
- Qureshi, A.S.; McCornick, P.G.; Sarwar, A.; Sharma, B.R. Challenges and Prospects of Sustainable Groundwater Management in the Indus Basin, Pakistan. Water Resour. Manag. 2010, 24, 1551–1569. [Google Scholar] [CrossRef] [Green Version]
- Khan, M.H. Enormous Waste of Water. Dawn. 13 June 2016. Available online: https://www.dawn.com/news/1264520 (accessed on 5 September 2021).
- Sajid, M.; Tao, L.; Khan, M.I.; Ali, M.; Rehman, S.U. Farmers Perspective Adoption Hindrances of High Efficiency Irrigation Technologies in Punjab-Pakistan. Int. J. Sci. Eng. Res. 2017, 8, 303–314. [Google Scholar]
- Qureshi, A.S.; Shah, T.; Akhtar, M. The Groundwater Economy of Pakistan; The Pakistan Country Series No. 19; International Water Management Institute: Lahore, Pakistan, 2003. [Google Scholar]
- Panhwar, F. Organic Farming in Pakistan. Available online: https://www.cityfarmer.org/pakistanOrgFarming.html (accessed on 5 September 2021).




| Aspects of Environmental Impact | Study Scope and Major Findings |
|---|---|
| Management practices | |
| Gomiero et al. [48] | The study compared the environmental performance of organic and conventional farming. Their research showed that organically maintained soils retain more water than conventionally managed soils. Organic farming, with its enhanced potential to retain carbon in the soil, might help reduce CO2 emissions if widely adopted. |
| Winstone et al. [49] | A study on the learning of small-scale horticultural producers in Northeastern Brazil about their soils and how this translates into land management methods. Organic farmers with more information and training saw soil characteristics as key soil health indicators and had a more comprehensive interaction with the soil. |
| Farm/regional level impact | |
| Werf et al. [50] | The study evaluated 12 indicator-based techniques for measuring agricultural environmental impact. Indicators based on the environmental consequences of farmer practices are superior to indicators based on farmer practices because the relationship with the goal is direct and the farmer has complete control over the means. |
| Almaraz et al. [24] | The study quantified NOx emissions from California’s agricultural soils and established that agricultural soils constitute the state’s primary source of NOx pollution. |
| Environmental impact assessment methods and platforms | |
| Sabiha et al. [51] | The research created a “comprehensive environmental impact index (CEII)” to quantify the amount of agricultural environmental damage. The results indicated that between 27% and 69% of the theoretical maximum amount of environmental harm is caused by “High Yield Variety” rice production, with substantial regional differences in CEII scores. |
| Dabkiene et al. [52] | The “Agri-environmental Footprint Index (AFI)” was presented in this study as a tool for assessing the existing condition of the environment and tracking changes and accomplishments on farms. The most ecologically friendly farms were defined as medium-sized (economically speaking) and specialized on field crops-grazing animals. |
| Multiple categories of environmental impact and footprint | |
| German et al. [53] | The authors performed a meta-analysis to examine the connections between several agricultural sustainability metrics. They provided significant evidence of a link between yields and the negative externalities caused by farming across a variety of metrics. |
| Yue and Guo [54] | The article proposed an optimization model for the water–energy–food–environment nexus for agricultural sustainability. The findings underlined the need of increasing internal water storage capacity, prudent agricultural management, and compromising choice preferences. |
| Pesticides and fertilizers environmental impact | |
| Raliya et al. [55] | This paper presented an overview of smart and precision agriculture based on nanotechnology. |
| Chiew et al. [56] | The environmental effects of recycling plant nutrients from anaerobically digested food waste as fertilizer in agriculture were investigated in this study. In all categories evaluated, the use of digested food waste as fertilizer had more negative outcomes than the use of chemical fertilizer, with the exception of the usage of non-renewable phosphate rock. |
| Life cycle assessment | |
| Jiang et al. [57] | The environmental performance of wheat production utilizing four different fertilizer techniques was examined in this study using the life cycle assessment (LCA) method. When coupled with the findings of the sensitivity analysis, the most significant hotspots contributing to negative environmental effects were found as “biogenic air pollutant emissions” from the compost and biochar synthesis stages. |
| Fan et al. [58] | Using a Life Cycle Assessment (LCA) and a case study of a circular agricultural industry firm in Xingyuan, Fuqing, this article evaluated the potential implications of a circular agriculture model against a traditional agriculture industrial model. Circular agriculture did not outperform traditional agriculture when only probable environmental implications were considered. |
| Technology | |
| Zhang et al. [59] | The authors created a “Economic and Environmental Impact” analytical framework to investigate the economic and environmental implications of applying “Technologies and management practices (TMPs)” in agriculture. The findings revealed that the impact of TMPs on farmers’ economic decisions and the environment is influenced by how TMPs modify the yield ceiling and the N fertilization rate at the ceiling, as well as how TMP, fertilizer, and crop prices fluctuate. |
| Waste | |
| Nilsson et al. [60] | The study examined how to conduct a step-by-step evaluation in order to develop biorefinery configurations depending on feedstock compatibility and implementation location. The findings indicated that agricultural waste systems do not always result in environmental advantages, particularly when environmental impacts are quantified holistically, i.e., through monetizing environmental damages. |
| Policy | |
| Zhang et al. [61] | This study used game theory to analyze the impact of three subsidy schemes in an agricultural supply chain composed of a low-cost company and a high-cost enterprise. The findings demonstrated that neither the output quantity subsidy nor the environmental innovation subsidy can address the conflict between agricultural growth and environmental conservation on their own. |
| Item 1 | Downstream Environmental Linkage (%) | Internal Environmental Linkage (%) | Total Direct Environmental Impact (%) |
|---|---|---|---|
| Land | 16.7 | 10.0 | 26.7 |
| Water | 58.3 | 35.0 | 93.3 |
| Blue water | 61.9 | 37.2 | 99.0 |
| Grey water | 48.7 | 29.2 | 77.9 |
| Nitrogen impact | 57.3 | 34.4 | 91.7 |
| N2O | 56.5 | 33.9 | 90.4 |
| NH3 | 61.9 | 37.2 | 99.0 |
| NOx | 9.2 | 5.5 | 14.7 |
| N | 62.1 | 37.3 | 99.4 |
| CO2 | 0.9 | 0.5 | 1.4 |
| Item | Upstream Environmental Linkage (%) | Mixed Environmental Linkage (%) | Total Indirect Environmental Impact (%) |
|---|---|---|---|
| Land | 0.24 | 1.24 | 1.48 |
| Water | 0.01 | 0.30 | 0.31 |
| Blue water | 0.00 | 0.32 | 0.32 |
| Grey water | 0.03 | 0.25 | 0.28 |
| Nitrogen impact | 0.04 | 0.29 | 0.35 |
| N2O | 0.03 | 0.26 | 0.28 |
| NH3 | 0.00 | 0.32 | 0.32 |
| NOx | 0.48 | 0.03 | 0.51 |
| N | 0.002 | 0.32 | 0.32 |
| CO2 (Gg) | 0.37 | 0.005 | 0.38 |
| Item | Total % Environmental Impact (Direct + Indirect) |
|---|---|
| Land | 28 |
| Water | 94 |
| Blue water | 99 |
| Grey water | 78 |
| Nitrogen impact | 92 |
| N2O | 91 |
| NH3 | 99 |
| NOx | 15 |
| N | 100 |
| CO2 | 2 |
Publisher’s Note: MDPI stays neutral with regard to jurisdictional claims in published maps and institutional affiliations. |
© 2021 by the authors. Licensee MDPI, Basel, Switzerland. This article is an open access article distributed under the terms and conditions of the Creative Commons Attribution (CC BY) license (https://creativecommons.org/licenses/by/4.0/).
Share and Cite
Sajid, M.J.; Rahman, M.H.u. The Nexus between Environmental Impact and Agricultural Sector Linkages: A Case Study of Pakistan. Atmosphere 2021, 12, 1200. https://doi.org/10.3390/atmos12091200
Sajid MJ, Rahman MHu. The Nexus between Environmental Impact and Agricultural Sector Linkages: A Case Study of Pakistan. Atmosphere. 2021; 12(9):1200. https://doi.org/10.3390/atmos12091200
Chicago/Turabian StyleSajid, Muhammad Jawad, and Muhammad Habib ur Rahman. 2021. "The Nexus between Environmental Impact and Agricultural Sector Linkages: A Case Study of Pakistan" Atmosphere 12, no. 9: 1200. https://doi.org/10.3390/atmos12091200
APA StyleSajid, M. J., & Rahman, M. H. u. (2021). The Nexus between Environmental Impact and Agricultural Sector Linkages: A Case Study of Pakistan. Atmosphere, 12(9), 1200. https://doi.org/10.3390/atmos12091200

