Effects of pH, Total Solids, Temperature and Storage Duration on Gas Emissions from Slurry Storage: A Systematic Review
Abstract
:1. Introduction
2. Materials and Methods
2.1. Data Source
2.2. Data Extraction
2.3. Data Analysis
3. Results and Discussion
3.1. Gas Emissions from Dairy Slurry Storage
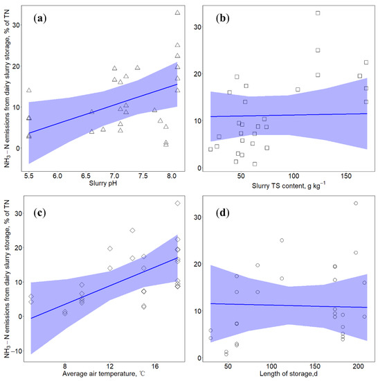
3.2. Effects of Slurry pH, TS Content, Temperature and Storage Duration on NH3–N Emissions
3.2.1. Slurry pH
3.2.2. Total Solids
3.2.3. Temperature
3.2.4. Length of Storage
3.3. Effects of Slurry pH, TS Content, Temperature and Storage Duration on N2O–N Emissions
3.3.1. Slurry pH
3.3.2. Total Solids
3.3.3. Temperature
3.3.4. Length of Storage
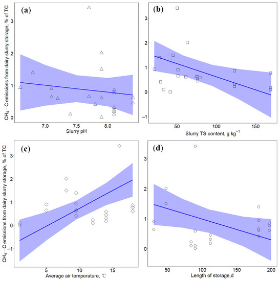
3.4. Effects of Slurry pH, TS Content, Temperature and Storage Duration on CH4–C Emissions
3.4.1. Slurry pH
3.4.2. Total Solids
3.4.3. Temperature
3.4.4. Length of Storage
4. Conclusions
Supplementary Materials
Author Contributions
Funding
Institutional Review Board Statement
Informed Consent Statement
Data Availability Statement
Conflicts of Interest
References
- Chadwick, D.; Sommer, S.G.; Thorman, R.; Fangueiro, D.; Cardenas, L.; Amon, B.; Misselbrook, T. Manure management: Implications for greenhouse gas emissions. Anim. Feed Sci. Tech. 2011, 166–167, 514–531. [Google Scholar] [CrossRef]
- Smith, K.; Cumby, T.; Lapworth, J.; Misselbrook, T.; Williams, A. Natural crusting of slurry storage as an abatement measure for ammonia emissions on dairy farms. Biosyst. Eng. 2007, 97, 464–471. [Google Scholar] [CrossRef]
- Oenema, O.; Oudendag, D.; Velthof, G.L. Nutrient losses from manure management in the European Union. Livest. Sci. 2007, 112, 261–272. [Google Scholar] [CrossRef]
- Külling, D.R.; Dohme, F.; Menzi, H.; Sutter, F.; Lischer, P.; Kreuzer, M. Methane emissions of differently fed dairy cows and corresponding methane and nitrogen emissions from their manure during storage. Environ. Monit. Assess. 2002, 79, 129–150. [Google Scholar] [CrossRef] [PubMed]
- Sneath, R.W.; Beline, F.; Hilhorst, M.A.; Peu, P. Monitoring GHG from manure stores on organic and conventional dairy farms. Agric. Ecosyst. Environ. 2006, 112, 122–128. [Google Scholar] [CrossRef]
- Petersen, S.O.; Sommer, S.G. Ammonia and nitrous oxide interactions: Roles of manure organic matter management. Anim. Feed Sci. Tech. 2011, 166–167, 503–513. [Google Scholar] [CrossRef]
- Vigan, A.; Hassouna, M.; Guingand, N.; Brame, C.; Edouard, N.; Eglin, T.; Espagnol, S.; Eugène, M.; Génermont, S.; Lagadec, S.; et al. Development of a Database to Collect Emission Values for Livestock Systems. J. Environ. Qual. 2019, 48, 1899–1906. [Google Scholar] [CrossRef] [Green Version]
- Sommer, S.G.; Webb, J.; Hutchings, N.D. New emission factors for calculation of ammonia volatilization from European livestock manure management systems. Front. Sustain. Food Syst. 2019, 3, 101. [Google Scholar] [CrossRef] [Green Version]
- Kupper, T.; Häni, C.; Neftel, A.; Kincaid, C.; Bühler, M.; Amon, B.; VanderZaag, A. Ammonia and greenhouse gas emissions from slurry storage—A review. Agric. Ecosyst. Environ. 2020, 300, 106963. [Google Scholar] [CrossRef]
- van der Weerden, T.J.; Luo, J.; Dexter, M. Addition of straw or sawdust to mitigate greenhouse gas emissions from slurry produced by housed cattle: A field incubation study. J. Environ. Qual. 2014, 43, 1345–1355. [Google Scholar] [CrossRef] [PubMed]
- van der Weerden, T.J.; Luo, J.; Dexter, M.; Rutherford, A.J. Nitrous oxide, ammonia and methane emissions from dairy cow manure during storage and after application to pasture. N. Z. J. Agric. Res. 2014, 57, 354–369. [Google Scholar] [CrossRef] [Green Version]
- Sawamoto, T.; Nakamura, M.; Nekomoto, K.; Hoshiba, S.; Minato, K.; Nakayama, M.; Osada, T. The cumulative methane production from dairy cattle slurry can be explained by its volatile solid, temperature and length of storage. Anim. Sci. J. 2016, 87, 827–834. [Google Scholar] [CrossRef]
- Misselbrook, T.; Hunt, J.; Perazzolo, F.; Provolo, G. Greenhouse gas and ammonia emissions from slurry storage: Impacts of temperature and potential mitigation through covering (pig slurry) or acidification (cattle slurry). J. Environ. Qual. 2016, 45, 1520–1530. [Google Scholar] [CrossRef] [PubMed]
- Sommer, S.G.; Clough, T.J.; Balaine, N.; Hafner, S.D.; Cameron, K.C. Transformation of organic matter and the emissions of methane and ammonia during storage of liquid manure as affected by acidification. J. Environ. Qual. 2017, 46, 514–521. [Google Scholar] [CrossRef] [PubMed]
- Burda, B.U.; O’Connor, E.A.; Webber, E.M.; Redmond, N.; Perdue, L.A. Estimating data from figures with a Web-based program: Considerations for a systematic review. Res. Synth. Methods 2017, 8, 258–262. [Google Scholar] [CrossRef] [PubMed]
- Rodhe, L.; Ascue, J.; Nordberg, Å. Emissions of greenhouse gases (methane and nitrous oxide) from cattle slurry storage in Northern Europe. IOP Conf. Ser. Earth Environ. Sci. 2009, 8, 012019. [Google Scholar] [CrossRef] [Green Version]
- Kröber, T.F.; Külling, D.R.; Menzi, H.; Sutter, F.; Kreuzer, M. Quantitative effects of feed protein reduction and methionine on nitrogen use by cows and nitrogen emission from slurry. J. Dairy Sci. 2000, 83, 2941–2951. [Google Scholar] [CrossRef]
- Fangueiro, D.; Coutinho, J.; Chadwick, D.; Moreira, N.; Trindade, H. Effect of cattle slurry separation on greenhouse gas and ammonia emissions during storage. J. Environ. Qual. 2008, 37, 2322–2331. [Google Scholar] [CrossRef]
- Dinuccio, E.; Berg, W.; Balsari, P. Effects of mechanical separation on GHG and ammonia emissions from cattle slurry under winter conditions. Anim. Feed Sci. Tech. 2011, 166–167, 532–538. [Google Scholar] [CrossRef] [Green Version]
- Wood, J.D.; VanderZaag, A.C.; Wagner-Riddle, C.; Smith, E.L.; Gordon, R.J. Gas emissions from liquid dairy manure: Complete versus partial storage emptying. Nutr. Cycl. Agroecosys. 2014, 99, 95–105. [Google Scholar] [CrossRef]
- Rodhe, L.K.K.; Ascue, J.; Willen, A.; Persson, B.V.; Nordberg, A. Greenhouse gas emissions from storage and field application of anaerobically digested and non-digested cattle slurry. Agric. Ecosyst. Environ. 2015, 199, 358–368. [Google Scholar] [CrossRef]
- Regueiro, I.; Coutinho, J.; Fangueiro, D. Alternatives to sulfuric acid for slurry acidification: Impact on slurry composition and ammonia emissions during storage. J. Clean. Prod. 2016, 131, 296–307. [Google Scholar] [CrossRef]
- Le Riche, E.L.; VanderZaag, A.C.; Wood, J.D.; Wagner-Riddle, C.; Dunfield, K.; Ngwabie, N.M.; McCabe, J.; Gordon, R.J. Greenhouse gas emissions from stored dairy slurry from multiple farms. J. Environ. Qual. 2016, 45, 1822–1828. [Google Scholar] [CrossRef] [PubMed]
- Le Riche, E.L.; Vanderzaag, A.; Wagner-Riddle, C.; Dunfield, K.E.; Sokolov, V.K.; Gordon, R. Do volatile solids from bedding materials increase greenhouse gas emissions for stored dairy manure? Can. J. Soil Sci. 2017, 97, 512–521. [Google Scholar] [CrossRef] [Green Version]
- Holly, M.A.; Larson, R.A.; Powell, J.M.; Ruark, M.D.; Aguirre-Villegas, H. Greenhouse gas and ammonia emissions from digested and separated dairy manure during storage and after land application. Agric. Ecosyst. Environ. 2017, 239, 410–419. [Google Scholar] [CrossRef]
- Baral, K.R.; Jego, G.; Amon, B.; Bol, R.; Chantigny, M.H.; Olesen, J.E.; Petersen, S.O. Greenhouse gas emissions during storage of manure and digestates: Key role of methane for prediction and mitigation. Agric. Syst. 2018, 166, 26–35. [Google Scholar] [CrossRef]
- Maldaner, L.; Wagner-Riddle, C.; VanderZaag, A.C.; Gordon, R.; Duke, C. Methane emissions from storage of digestate at a dairy manure biogas facility. Agric. For. Meteorol. 2018, 258, 96–107. [Google Scholar] [CrossRef]
- Bates, D.; Maechler, M.; Bolker, B.; Walker, S. Fitting Linear Mixed-Effects Models Using lme4. J. Stat. Softw. 2015, 67, 1–48. [Google Scholar] [CrossRef]
- Tremblay, A.; Ransijn, J. LMER Convenience Functions: Model Selection and Post-Hoc Analysis for (G) LMER Models, R Package Version 2.10. 2015. Available online: https://CRAN.R-project.org/package=LMERConvenienceFunctions (accessed on 14 April 2019).
- R Core Team. R: A Language and Environment for Statistical Computing. 2017. Available online: https://www.R-project.org/ (accessed on 5 July 2019).
- Sommer, S.G.; Zhang, G.Q.; Bannink, A.; Chadwick, D.; Misselbrook, T.; Harrison, R.; Hutchings, N.J.; Menzi, H.; Monteny, G.J.; Ni, J.Q.; et al. Algorithms determining ammonia emission from buildings housing cattle and pigs and from manure stores. Adv. Agron. 2006, 89, 261–335. [Google Scholar] [CrossRef]
- Intergovernmental Panel on Climate Change. Chapter 10: Emissions from livestock and manure management. In 2019 Refinement to the 2006 IPCC Guidelines for National Greenhouse Gas Inventories; Intergovernmental Panel on Climate Change: Geneva, Switzerland, 2019. [Google Scholar]
- Jayasundara, S.; Ranga Niroshan Appuhamy, J.A.D.; Kebreab, E.; Wagner-Riddle, C. Methane and nitrous oxide emissions from Canadian dairy farms and mitigation options: An updated review. Can. J. Anim. Sci. 2016, 96, 306–331. [Google Scholar] [CrossRef] [Green Version]
- Sommer, S.G.; Petersen, S.O.; Moller, H.B. Algorithms for calculating methane and nitrous oxide emissions from manure management. Nutr. Cycl. Agroecosys. 2004, 69, 143–154. [Google Scholar] [CrossRef]
- Holly, M.A.; Larson, R.A. Effects of manure storage additives on manure composition and greenhouse gas and ammonia emissions. Trans. ASABE 2017, 60, 449–456. [Google Scholar] [CrossRef]
- Neerackal, G.M.; Ndegwa, P.M.; Joo, H.S.; Harrison, J.H. Manure-pH management for mitigating ammonia emissions from dairy barns and liquid manure storages. Appl. Eng. Agric. 2017, 33, 235–242. [Google Scholar] [CrossRef]
- Vaddella, V.K.; Ndegwa, P.M.; Joo, H.S. Ammonia loss from simulated post-collection storage of scraped and flushed dairy-cattle manure. Biosyst. Eng. 2011, 110, 291–296. [Google Scholar] [CrossRef]
- Wood, J.D.; Gordon, R.J.; Wagner-Riddle, C.; Dunfield, K.E.; Madani, A. Relationships between dairy slurry total solids, gas emissions, and surface crusts. J. Environ. Qual. 2012, 41, 694–704. [Google Scholar] [CrossRef]
- Olesen, J.E.; Sommer, S.G. Modelling effects of wind speed and surface cover on ammonia volatilization from stored pig slurry. Atmos. Environ. Part A. Gen. Top. 1993, 27, 2567–2574. [Google Scholar] [CrossRef]
- Misselbrook, T.H.; Brookman, S.K.E.; Smith, K.A.; Cumby, T.; Williams, A.G.; McCrory, D.F. Crusting of stored dairy slurry to abate ammonia emissions: Pilot-scale studies. J. Environ. Qual. 2005, 34, 411–419. [Google Scholar] [CrossRef]
- Perazzolo, F.; Mattachini, G.; Riva, E.; Provolo, G. Nutrient losses during winter and summer storage of separated and unseparated digested cattle slurry. J. Environ. Qual. 2017, 46, 879–888. [Google Scholar] [CrossRef]
- Ni, J. Mechanistic models of ammonia release from liquid manure: A review. J. Agric. Eng. Res. 1999, 72, 1–17. [Google Scholar] [CrossRef]
- Koirala, K.; Ndegwa, P.M.; Joo, H.S.; Frear, C.; Stockle, C.O.; Harrison, J.H. Effects of suspended solids characteristics and concentration on ammonia emission process from liquid dairy manure. Trans. ASABE 2014, 57, 661–668. [Google Scholar] [CrossRef]
- Vaddella, V.K.; Ndegwa, P.M.; Ullman, J.L.; Jiang, A.P. Mass transfer coefficients of ammonia for liquid dairy manure. Atmos. Environ. 2013, 66, 107–113. [Google Scholar] [CrossRef]
- Montes, F.; Rotz, C.A.; Chaoui, H. Process modeling of ammonia volatilization from ammonium solution and manure surfaces: A review with recommended models. Trans. ASABE 2009, 52, 1707–1719. [Google Scholar] [CrossRef]
- Lee, C.; Hristov, A.N.; Cassidy, T.; Heyler, K. Nitrogen isotope fractionation and origin of ammonia nitrogen volatilized from cattle manure in simulated storage. Atmosphere 2011, 2, 256–270. [Google Scholar] [CrossRef] [Green Version]
- Külling, D.R.; Menzi, H.; Sutter, F.; Lischer, P.; Kreuzer, M. Ammonia, nitrous oxide and methane emissions from differently stored dairy manure derived from grass- and hay-based rations. Nutr. Cycl. Agroecosys. 2003, 65, 13–22. [Google Scholar] [CrossRef]
- Bussink, D.W.; Oenema, O. Ammonia volatilization from dairy farming systems in temperate areas: A review. Nutr. Cycl. Agroecosys. 1998, 51, 19–33. [Google Scholar] [CrossRef]
- Schmithausen, A.J.; Trimborn, M.; Büscher, W. Sources of nitrous oxide and other climate relevant gases on surface area in a dairy free stall barn with solid floor and outside slurry storage. Atmos. Environ. 2018, 178, 41–48. [Google Scholar] [CrossRef]
- Hansen, R.R.; Nielsen, D.A.; Schramm, A.; Nielsen, L.P.; Revsbech, N.P.; Hansen, M.N. Greenhouse gas microbiology in wet and dry straw crust covering pig slurry. J. Environ. Qual. 2009, 38, 1311–1319. [Google Scholar] [CrossRef] [PubMed] [Green Version]
- Nielsen, D.A.; Nielsen, L.P.; Schramm, A.; Revsbech, N.P. Oxygen distribution and potential ammonia oxidation in floating, liquid manure crusts. J. Environ. Qual. 2010, 39, 1813–1820. [Google Scholar] [CrossRef] [PubMed]
- Sommer, S.O.; Petersen, S.O.; Segaard, H.T. Greenhouse gas emission from stored livestock slurry. J. Environ. Qual. 2000, 29, 744–751. [Google Scholar] [CrossRef]
- Pereira, J.; Misselbrook, T.H.; Chadwick, D.R.; Coutinho, J.; Trindade, H. Effects of temperature and dairy cattle excreta characteristics on potential ammonia and greenhouse gas emissions from housing: A laboratory study. Biosyst. Eng. 2012, 112, 138–150. [Google Scholar] [CrossRef]
- Petersen, S.O.; Blanchard, M.; Chadwick, D.; Del Prado, A.; Edouard, N.; Mosquera, J.; Sommer, S.G. Manure management for greenhouse gas mitigation. Animal 2013, 7, 266–282. [Google Scholar] [CrossRef] [Green Version]
- Wang, Y.; Dong, H.M.; Zhu, Z.P.; Li, L.L.; Zhou, T.L.; Jiang, B.; Xin, H.W. CH4, NH3, N2O and NO emissions from stored biogas digester effluent of pig manure at different temperatures. Agric. Ecosyst. Environ. 2016, 217, 1–12. [Google Scholar] [CrossRef]
- United States Environmental Protection Agency. International Anthropogenic Methane Emissions: Estimates for 1990; United States Environmental Protection Agency: Washington, DC, USA, 1994.
- Habtewold, J.; Gordon, R.; Sokolov, V.; VanderZaag, A.; Wagner-Riddle, C.; Dunfield, K. Reduction in methane emissions from acidified dairy slurry is related to inhibition of Methanosarcina species. Front. Microbiol. 2018, 9, 2806. [Google Scholar] [CrossRef] [PubMed]
- Yamulki, S. Effect of straw addition on nitrous oxide and methane emissions from stored farmyard manures. Agric. Ecosyst. Environ. 2006, 112, 140–145. [Google Scholar] [CrossRef]
- Rotz, C.A. Modeling greenhouse gas emissions from dairy farms. J. Dairy Sci. 2018, 101, 6675–6690. [Google Scholar] [CrossRef] [PubMed]
- Ambus, P.; Petersen, S.O. Oxidation of 13C-labeled methane in surface crusts of pig- and cattle slurry. Isot. Environ. Health Stud. 2005, 41, 125–133. [Google Scholar] [CrossRef] [PubMed]
- Petersen, S.O.; Amon, B.; Gattinger, A. Methane oxidation in slurry storage surface crusts. J. Environ. Qual. 2005, 34, 455–461. [Google Scholar] [CrossRef] [PubMed]
- Cardenas, A.; Ammon, C.; Schumacher, B.; Stinner, W.; Herrmann, C.; Schneider, M.; Weinrich, S.; Fischer, P.; Amon, T.; Amon, B. Methane emissions from the storage of liquid dairy manure: Influences of season, temperature and storage duration. Waste Manag. 2021, 121, 393–402. [Google Scholar] [CrossRef]
- Rennie, T.J.; Gordon, R.J.; Smith, W.N.; VanderZaag, A.C. Liquid manure storage temperature is affected by storage design and management practices–A modelling assessment. Agric. Ecosyst. Environ. 2018, 260, 47–57. [Google Scholar] [CrossRef]
- Elsgaard, L.; Olsen, A.B.; Petersen, S.O. Temperature response of methane production in liquid manures and co-digestates. Sci. Total Environ. 2016, 539, 78–84. [Google Scholar] [CrossRef]
- Huste, S. Seasonal Variation in Methane Emission from Stored Slurry and Solid Manure. J. Environ. Qual. 1994, 23, 585–592. [Google Scholar] [CrossRef]
- Im, S.; Petersen, S.O.; Lee, D.; Kim, D.H. Effects of storage temperature on CH4 emissions from cattle manure and subsequent biogas production potential. Waste Manag. 2020, 101, 35–43. [Google Scholar] [CrossRef] [PubMed]



| Reference | Country | Scale 1 | Number of Measurements | LOS 2 | T 3 | pH | Initial TS 4 | Initial TN 5 | Initial TC 6 | NH3–N 7 | N2O–N 8 | CH4–C 9 |
|---|---|---|---|---|---|---|---|---|---|---|---|---|
| days | °C | g kg−1 | % of Initial TN | % of Initial TC | ||||||||
| Kröber et al. 2000 [17] | Switzerland | lab | 3 | 49 | 20.0 | 7.0–8.3 | NA 10 | 2.2–4.0 | NA | 10.7–23.7 | NA | NA |
| Fangueiro et al. 2008 [18] | Portugal | lab | 2 | 48 | 8.0 | 7.9 | 45–63 | 2.5–2.6 | 19.1–27.6 | 0.8–1.3 | 0.01–0.02 | 1.5–2.0 |
| Dinuccio et al. 2011 [19] | Italy | lab | 2 | 30 | 5.0 | 7.1 | 51.2–74.6 | 3.3–3.6 | 19.8–31.1 | 4.2–5.8 | 0.002–0.003 | 0.6–0.9 |
| van der Weerden et al. 2014 [10] | New Zealand | lab | 9 | 84–197 | 12.0–18.0 | 8.1–8.4 | 76–169 | 4.9–5.6 | 29.8–71.2 | 14.0–47.7 | 0.01 | 0.1–0.9 |
| Wood et al. 2014 [20] | Canada | pilot | 2 | 155 | 15.0 | 7.5 | 117–142 | 3.7–3.8 | 50.0–62.0 | 0.9–3.0 | 0.186–0.214 | NA |
| Rodhe et al. 2015 [21] | Sweden | pilot | 4 | 90 | 1.0–16.0 | 7.2–7.9 | 33–79 | 1.9–3.2 | 15.0–35.6 | NA | 0.00001 | 0.0087–3.4 |
| Regueiro et al. 2016 [22] | Portugal | lab | 6 | 60 | 15.0 | 5.5–7.2 | 47–62.8 | 1.4–2.45 | NA | 2.7–17.4 | NA | NA |
| Le Riche et al. 2016 [23] | Canada | pilot | 6 | 173 | 18.0 | 7–7.4 | 46–163 | 1.4–3.4 | NA | 8.7–19.5 | NA | NA |
| Le Riche et al. 2017 [24] | Canada | pilot | 2 | 207 | 18.0 | 6.6–7.1 | 39.0–66.0 | 1.6–2.4 | NA | 8.8–16.0 | 0.057–0.300 | NA |
| Holly et al. 2017 [25] | America | pilot | 5 | 182 | 9.5 | 6.6–7.9 | 21.0–61.0 | 1.8–2.3 | 11.0–23.0 | 3.9–9.2 | 0.038–0.069 | 0.4–1.4 |
| Baral et al. 2018 [26] | Denmark | pilot | 2 | 78–309 | 6.5–17.0 | NA | 58.2–76.1 | 2.8–3.2 | 21.8 | 0.09–2.6 | 0.0025–0.39 | 17.2 |
| Maldaner et al. 2018 [27] | Canada | farm | 2 | 365 | 6.4–6.6 | 7.3–8.0 | 71.0–92.0 | NA | 24.1–33.0 | NA | NA | 4.0–12.8 |
| Gases | Linear Mixed Effects Models | Number of Measurements before Extracting Outliers | Number of Measurements after Extracting Outliers |
|---|---|---|---|
| NH3–N | lmer (NH3–N ~ pH + TS + T + LOS + (1|Reference)) | 34 | 29 |
| N2O–N | lmer (N2O–N ~ pH + TS + T + LOS + (1|Reference)) | 24 | 21 |
| CH4–C | lmer (CH4–C ~ pH + TS + T + LOS + (1|Reference)) | 24 | 24 |
| Gas Emissions | Scale | Number of Measurements | Mean | Standard Deviation | Median | Minimum | Maximum |
|---|---|---|---|---|---|---|---|
| NH3–N, % of TN | All | 39 | 12.50 | 10.24 | 9.46 | 0.09 | 47.7 |
| Laboratory | 22 | 15.59 | 11.73 | 15.45 | 0.78 | 47.7 | |
| Pilot | 17 | 8.51 | 6.18 | 8.68 | 0.09 | 19.5 | |
| N2O–N, % of TN | All | 28 | 0.05 | 0.1 | 0.01 | 0.00 | 0.39 |
| Laboratory | 13 | 0.01 | 0.00 | 0.01 | 0.00 | 0.02 | |
| Pilot | 15 | 0.09 | 0.12 | 0.06 | 0.00 | 0.39 | |
| CH4–C, % of TC | All | 25 | 2.04 | 4.07 | 0.64 | 0.01 | 17.20 |
| Laboratory | 13 | 0.68 | 0.56 | 0.61 | 0.10 | 2.01 | |
| Pilot | 10 | 2.53 | 5.24 | 0.63 | 0.01 | 17.20 | |
| Farm | 2 | 8.40 | 6.26 | 8.40 | 3.97 | 12.83 |
| Predictors | Estimates | Confidence Interval | p Value |
|---|---|---|---|
| Intercept | −39.72 | −68.68–−10.76 | 0.015 ** |
| pH | 4.57 | 0.91–8.24 | 0.023 ** |
| TS | 0.00 | −0.06–0.07 | 0.898 |
| T | 1.35 | 0.24–2.47 | 0.076 * |
| LOS | −0.00 | −0.07–0.06 | 0.905 |
| Random Effects 1 | |||
| σ2 | 18.53 | ||
| τ00 Ref | 19.73 | ||
| ICC | 0.52 | ||
| Number of references | 7 | ||
| Number of measurements | 29 | ||
| Marginal R2/Conditional R2 | 0.51/0.76 | ||
| Predictors | Estimates | Confidence Interval | p Value |
|---|---|---|---|
| Intercept | 0.06 | −0.05–0.18 | 0.298 |
| pH | −0.00 | −0.01–0.01 | 0.732 |
| TS | 0.00 | −0.00–0.00 | 0.933 |
| T | −0.00 | −0.00–0.00 | 0.979 |
| LOS | 0.00 | −0.00–0.00 | 0.901 |
| Random Effects 1 | |||
| σ2 | 0.00 | ||
| τ00 Ref | 0.01 | ||
| ICC | 0.99 | ||
| Number of references | 6 | ||
| Number of measurements | 24 | ||
| Marginal R2/Conditional R2 | 0.00/0.99 | ||
| Predictors | Estimates | Confidence Interval | p Value |
|---|---|---|---|
| Intercept | 2.53 | −2.29–7.36 | 0.326 |
| pH | −0.21 | −0.87–0.44 | 0.530 |
| TS | −0.01 | −0.02–−0.00 | 0.025 ** |
| T | 0.15 | 0.08–0.23 | 0.002 *** |
| LOS | −0.01 | −0.01–−0.00 | 0.093 * |
| Random Effects 1 | |||
| σ2 | 0.33 | ||
| τ00 Ref | 0.07 | ||
| ICC | 0.19 | ||
| Number of references | 5 | ||
| Number of measurements | 21 | ||
| Marginal R2/Conditional R2 | 0.41/0.52 | ||
Publisher’s Note: MDPI stays neutral with regard to jurisdictional claims in published maps and institutional affiliations. |
© 2021 by the authors. Licensee MDPI, Basel, Switzerland. This article is an open access article distributed under the terms and conditions of the Creative Commons Attribution (CC BY) license (https://creativecommons.org/licenses/by/4.0/).
Share and Cite
Qu, Q.; Zhang, K. Effects of pH, Total Solids, Temperature and Storage Duration on Gas Emissions from Slurry Storage: A Systematic Review. Atmosphere 2021, 12, 1156. https://doi.org/10.3390/atmos12091156
Qu Q, Zhang K. Effects of pH, Total Solids, Temperature and Storage Duration on Gas Emissions from Slurry Storage: A Systematic Review. Atmosphere. 2021; 12(9):1156. https://doi.org/10.3390/atmos12091156
Chicago/Turabian StyleQu, Qingbo, and Keqiang Zhang. 2021. "Effects of pH, Total Solids, Temperature and Storage Duration on Gas Emissions from Slurry Storage: A Systematic Review" Atmosphere 12, no. 9: 1156. https://doi.org/10.3390/atmos12091156
APA StyleQu, Q., & Zhang, K. (2021). Effects of pH, Total Solids, Temperature and Storage Duration on Gas Emissions from Slurry Storage: A Systematic Review. Atmosphere, 12(9), 1156. https://doi.org/10.3390/atmos12091156

