Temporal and Spatial Trends in Particulate Matter and the Responses to Meteorological Conditions and Environmental Management in Xi’an, China
Abstract
:1. Introduction
2. Materials and Methods
2.1. Study Area
2.2. Particulate Matter Datasets
2.3. Meteorological Datasets
2.4. Environmental Management
2.5. Statistical Analysis
3. Results
3.1. Temporal Variations in the Concentrations of PM10 and PM2.5
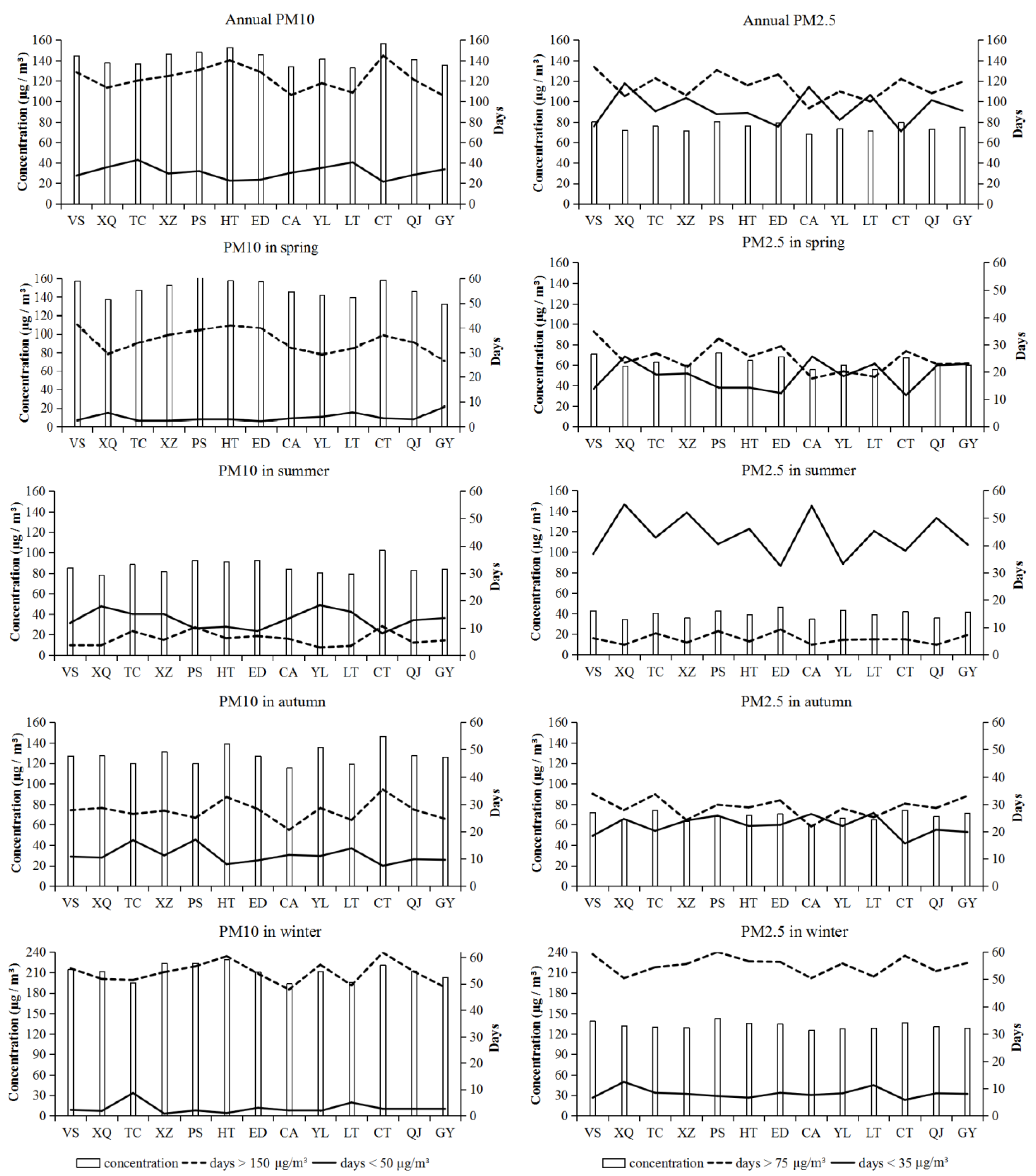
3.2. The Concentrations of PM10 and PM2.5 at Different Air Monitoring Stations in Xi’an
3.3. Relationships between the Concentrations of Particulate Matter and Meteorological Factors
3.4. Response of Atmospheric Pollutants to the Environmental Management
4. Discussion
4.1. Temporal and Spatial Variations of PM10 and PM2.5
4.2. Effects of Meteorological Conditions and Environmental Management on Atmospheric Pollution
4.3. Further Work
5. Conclusions
Author Contributions
Funding
Institutional Review Board Statement
Informed Consent Statement
Data Availability Statement
Conflicts of Interest
References
- Huang, R.; Zhang, Y.L.; Bozzetti, C.; Ho, K.; Cao, J.; Han, Y.M.; Daellenbach, K.R.; Slowik, J.G.; Platt, S.M.; Canonaco, F.; et al. High secondary aerosol contribution to particulate pollution during haze events in China. Nature 2014, 514, 218–222. [Google Scholar] [CrossRef] [Green Version]
- Lu, C.; Liu, Y. Effects of China’s urban form on urban air quality. Urban Stud. 2016, 53, 2607–2623. [Google Scholar] [CrossRef]
- Le, T.H.; Wang, Y.; Liu, L.; Yang, J.N.; Yung, Y.L.; Li, G.H.; Seinfeld, J.H. Unexpected air pollution with marked emission reductions during the COVID-19 outbreak in China. Science 2020, 369, 702–706. [Google Scholar] [CrossRef]
- Sbai, S.E.; Li, C.L.; Boreave, A.; Charbonnel, N.; Perrier, S.; Vernoux, P.; Bentayeb, F.; George, C.; Gil, S. Atmospheric photochemistry and secondary aerosol formation of urban air in Lyon, France. J. Environ. Sci. 2021, 99, 313–325. [Google Scholar] [CrossRef]
- Tian, G.J.; Qiao, Z.; Xu, X.L. Characteristics of particulate matter (PM10) and its relationship with meteorological factors during 2001-2012 in Beijing. Environ. Pollut. 2014, 192, 266–274. [Google Scholar] [CrossRef] [PubMed]
- Yuan, W.; Huang, R.J.; Yang, L.; Ni, H.Y.; Wang, T.; Cao, W.J.; Duan, J.; Guo, J.; Huang, H.B.; Hoffmann, T. Concentrations, optical properties and sources of Humic-Like Substances (HULIS) in fine particulate matter in Xi’an, Northwest China. Sci. Total Environ. 2021, 789, 147902. [Google Scholar] [CrossRef]
- Curtis, L.; Rea, W.; Smith-Willis, P.; Fenyves, E.; Pan, Y.Q. Adverse health effects of outdoor air pollutants. Environ. Int. 2006, 32, 815–830. [Google Scholar] [CrossRef] [PubMed]
- Huo, Y.Q.; Guo, Z.H.; Li, Q.; Wu, D.; Ding, X.; Liu, A.L.; Huang, D.; Qiu, G.K.; Wu, M.M.; Zhao, Z.J.; et al. Chemical fingerprinting of HULIS in particulate matters emitted from residential coal and biomass combustion. Environ. Sci. Technol. 2021, 55, 3593–3603. [Google Scholar] [CrossRef] [PubMed]
- Yan, S.J.; Cao, H.; Chen, Y.; Wu, C.Z.; Tao, H.; Fan, H.L. Spatial and temporal characteristics of air quality and air pollutants in 2013 in Beijing. Environ. Sci. Pollut. Res. 2016, 23, 13996–14007. [Google Scholar] [CrossRef] [PubMed]
- Cao, J.J.; Wu, F.; Chow, J.; Lee, S.C.; Li, Y.; Chen, S.W.; An, Z.S.; Fung, K.K.; Watson, J.G.; Zhu, C.S.; et al. Characterization and source apportionment of atmospheric organic and elemental carbon during fall and winter of 2003 in Xi’an, China. Atmos. Chem. Phys. 2005, 5, 3127–3137. [Google Scholar] [CrossRef] [Green Version]
- Xue, W.H.; Zhang, J.; Qiao, Y.; Wei, J.; Lu, T.W.; Che, Y.F.; Tian, Y.L. Spatiotemporal variations and relationships of aerosol-radiation-ecosystem productivity over China during 2001–2014. Sci. Total Environ. 2020, 741, 140324. [Google Scholar] [CrossRef] [PubMed]
- Tian, Y.L.; Jiang, Y.; Liu, Q.; Xu, D.X.; Zhao, S.D.; He, L.H.; Liu, H.J.; Xu, H. Temporal and spatial trends in air quality in Beijing. Landsc. Urban Plan. 2019, 185, 35–43. [Google Scholar] [CrossRef]
- Hopke, P.K.; Cohen, D.D.; Begum, B.A.; Biswas, S.K.; Ni, B.F.; Pandit, G.G.; Santoso, M.; Chung, Y.; Rahman, S.A.; Hamzah, M.S.; et al. Urban air quality in the Asian region. Sci. Total Environ. 2008, 404, 103–112. [Google Scholar] [CrossRef]
- Chen, A.; Yao, X.A.; Sun, R.H.; Chen, L.D. Effect of urban green patterns on surface urban cool islands and its seasonal variations. Urban For. Urban Gree. 2014, 13, 646–654. [Google Scholar] [CrossRef]
- Landguth, E.L.; Holden, Z.A.; Graham, J.; Stark, B.; Mokhtari, E.B.; Kaleczyc, E.; Anderson, S.; Urbanski, S.; Jolly, M.; Semmens, E.O.; et al. The delayed effect of wildfire season particulate matter on subsequent influenza season in a mountain west region of the USA. Environ. Int. 2020, 139, 105668. [Google Scholar] [CrossRef]
- Wang, P.; Cao, J.J.; Shen, Z.X.; Han, Y.M.; Lee, S.C.; Huang, Y.; Zhu, C.S.; Wang, Q.Y.; Xu, H.M.; Huang, R.J. Spatial and seasonal variations of PM2.5 mass and species during 2010 in Xi’an, China. Sci. Total Environ. 2015, 508, 477–487. [Google Scholar] [CrossRef]
- Zhang, R.; Jing, J.; Tao, J.; Hsu, S.C.; Wang, G.; Cao, J.; Lee, C.S.L.; Zhu, L.; Chen, Z.; Zhao, Y.; et al. Chemical characterization and source apportionment of PM2.5 in Beijing: Seasonal perspective. Atmos. Chem. Phys. 2013, 13, 7053–7074. [Google Scholar] [CrossRef] [Green Version]
- Cao, Z.Z.; Yang, Y.Y.; Lu, J.L.; Zhang, C.X. Atmospheric particle characterization, distribution, and deposition in Xi’an, Shaanxi Province, Central China. Environ. Pollut. 2011, 159, 577–584. [Google Scholar] [CrossRef]
- Samad, A.; Vogt, U.; Panta, A.; Uprety, D. Vertical distribution of particulate matter, black carbon and ultra-fine particles in Stuttgart, Germany. Atmos. Pollut. Res. 2020, 11, 1441–1450. [Google Scholar] [CrossRef]
- Wang, D.X.; Hu, J.L.; Xu, Y.; Lv, D.; Xie, X.Y.; Kleeman, M.; Xing, J.; Zhang, H.L.; Ying, Q. Source contributions to primary and secondary inorganic particulate matter during a severe wintertime PM2.5 pollution episode in Xi’an, China. Atmos. Environ. 2014, 97, 182–194. [Google Scholar] [CrossRef]
- Xue, W.H.; Wei, J.; Zhang, J.; Sun, L.; Che, Y.F.; Yuan, M.; Hu, X. Inferring near-surface PM2.5 concentrations from the VIIRS deep blue aerosol product in China: A spatiotemporally weighted random forest model. Remote Sens. 2021, 13, 505. [Google Scholar] [CrossRef]
- Wu, J.; Kong, S.F.; Wu, F.Q.; Cheng, Y.; Zheng, S.R.; Qin, S.; Liu, X.; Yan, Q.; Zheng, H.; Zheng, M.M.; et al. The moving of high emission for biomass burning in China: View from multi-year emission estimation and human-driven forces. Environ. Int. 2020, 142, 105812. [Google Scholar] [CrossRef]
- Ministry of Ecology and Environment of the People’s Repblic of China. The Ambient Air Quality Standard (GB 3095-2012). 2012. Available online: http://www.mee.gov.cn/ (accessed on 4 August 2018).
- Elminir, H.K. Dependence of urban air pollutants on meteorology. Sci. Total Environ. 2005, 350, 225–237. [Google Scholar] [CrossRef] [PubMed]
- Zhou, B.; Liu, D.Y.; Yan, W.L. A Simple new method for calculating precipitation scavenging effect on particulate matter: Based on five-year data in Eastern China. Atmosphere 2021, 12, 759. [Google Scholar] [CrossRef]
- Luan, Q.Z.; Li, B.; Ye, C.H.; Zhang, X.S.; Zhang, Y. Preliminary analysis about impacts of urban 3D landscape pattern on regional meteorological condition in Beijng. Ecology Environ. Sci. 2019, 28, 514–522. [Google Scholar] [CrossRef]
- Zhang, T.; Cao, J.J.; Tie, X.X.; Shen, Z.X.; Liu, S.X.; Ding, H.; Han, Y.M.; Wang, G.H.; Ho, K.F.; Qiang, J.; et al. Water-soluble ions in atmospheric aerosols measured in Xi’an, China: Seasonal variations and sources. Atmos. Res. 2011, 102, 110–119. [Google Scholar] [CrossRef]
- Xu, Z.; Chen, S.X.; Wu, X. Meteorological change and impacts on air pollution: Results from North China. J. Geophys. Res. Atmos. 2020, 125. [Google Scholar] [CrossRef]
- Shen, Z.X.; Cao, J.J.; Arimoto, R.; Han, Z.W.; Zhang, R.J.; Han, Y.M.; Liu, S.X.; Okuda, T.; Nakao, S.; Tanaka, S. Ionic composition of TSP and PM2.5 during dust storms and air pollution episodes at Xi’an, China. Atmos. Environ. 2009, 43, 2911–2918. [Google Scholar] [CrossRef]
- Huang, R.; Yang, L.; Shen, J.C.; Yuan, W.; Gong, Y.Q.; Guo, J.; Cao, W.J.; Duan, J.; Ni, H.Y.; Zhu, C.S.; et al. Water-insoluble organics dominate brown carbon in wintertime urban aerosol of China: Chemical characteristics and optical properties. Environ. Sci. Technol. 2020, 54, 7836–7847. [Google Scholar] [CrossRef] [PubMed]
- Li, X.H.; Han, J.Z.; Hopke, P.K.; Hu, J.G.; Shu, Q.; Chang, Q.; Ying, Q. Quantifying primary and secondary humic like substances in urban aerosol based on emission source characterization and a source-oriented air quality model. Atmos. Chem. Phys. 2019, 19, 2327–2341. [Google Scholar] [CrossRef] [Green Version]
- Beaver, S.; Tanrikulu, S.; Palazoglu, A.; Singh, A.; Soong, S.T.; Jia, Y.Q.; Tran, C.; Ainslie, B.; Steyn, D.G. Pattern-based evaluation of coupled meteorological and air quality models. J. Appl. Meteorol. Clim. 2010, 49, 2077–2091. [Google Scholar] [CrossRef] [Green Version]




| Time Period | PM10 > 150 | PM10 < 50 | PM2.5 > 75 | PM2.5 < 35 |
|---|---|---|---|---|
| Spring | 0.868 ** (n = 182) | −0.637 * (n = 54) | 0.913 ** (n = 127) | −0.866 ** (n = 84) |
| Summer | 0.861 ** (n = 21) | −0.900 ** (n = 171) | 0.794 ** (n = 25) | −0.984 ** (n = 213) |
| Autumn | 0.894 ** (n = 149) | −0.676 * (n = 101) | 0.930 ** (n = 154) | −0.851 ** (n = 89) |
| Winter | 0.663 * (n = 278) | -0.552 (n = 17) | 0.740 ** (n = 288) | −0.450 (n = 27) |
| Annual | 0.934 ** (n = 630) | −0.731 ** (n = 343) | 0.951 ** (n = 594) | −0.846 ** (n = 413) |
| Types | Stations | Annual (n = 1080) | Spring (n = 460) | Summer (n = 458) | Autumn (n = 450) | Winter (n = 432) | Max-Min |
|---|---|---|---|---|---|---|---|
| PM10 | VS | 145.0 | 157.1 | 85.1 | 127.4 | 214.5 | 129.4 |
| XQ | 137.6 | 137.7 | 78.0 | 127.5 | 211.4 | 133.4 | |
| TC | 136.7 | 147.3 | 88.6 | 120.0 | 194.6 | 106.0 | |
| XZ | 146.3 | 152.5 | 81.4 | 131.4 | 223.5 | 142.1 | |
| PS | 148.4 | 161.2 | 92.5 | 119.8 | 223.9 | 131.4 | |
| HT | 153.0 | 157.3 | 90.8 | 138.8 | 228.8 | 138.0 | |
| ED | 145.8 | 156.4 | 92.6 | 127.1 | 210.4 | 117.8 | |
| CA | 134.0 | 145.4 | 84.2 | 115.5 | 193.8 | 109.6 | |
| YL | 141.5 | 142.3 | 80.5 | 135.6 | 211.6 | 131.1 | |
| LT | 132.8 | 139.5 | 79.5 | 119.2 | 195.9 | 116.4 | |
| CT | 156.4 | 158.3 | 102.6 | 146.6 | 220.8 | 118.2 | |
| QJ | 141.2 | 145.8 | 83.0 | 127.7 | 212.1 | 129.1 | |
| GY | 135.9 | 133.0 | 83.9 | 126.3 | 203.0 | 119.1 | |
| PM2.5 | VS | 80.2 | 70.8 | 42.8 | 72.1 | 138.7 | 95.9 |
| XQ | 71.9 | 59.3 | 34.5 | 65.6 | 131.6 | 97.1 | |
| TC | 76.0 | 62.7 | 40.6 | 73.9 | 130.5 | 89.9 | |
| XZ | 71.5 | 60.3 | 36.0 | 63.4 | 129.3 | 93.3 | |
| PS | 80.6 | 71.8 | 42.5 | 68.1 | 142.9 | 100.4 | |
| HT | 76.4 | 64.8 | 38.8 | 69.1 | 135.7 | 96.9 | |
| ED | 79.2 | 68.3 | 46.4 | 70.6 | 134.6 | 88.2 | |
| CA | 68.1 | 55.9 | 35.0 | 59.2 | 125.3 | 90.3 | |
| YL | 73.7 | 60.2 | 43.2 | 66.4 | 127.7 | 84.5 | |
| LT | 71.4 | 56.1 | 39.0 | 64.8 | 128.5 | 89.5 | |
| CT | 79.6 | 67.1 | 41.8 | 74.2 | 136.9 | 95.1 | |
| QJ | 72.9 | 59.8 | 36.1 | 68.1 | 130.9 | 94.8 | |
| GY | 74.9 | 60.3 | 41.7 | 71.2 | 128.8 | 87.1 |
| Temporal Scales | Precipitation | Atmospheric Pressure | Relative Humidity | Atmospheric Temperature | Wind Speed | Wind Direction |
|---|---|---|---|---|---|---|
| Spring (n = 460) | −0.332 ** | −0.040 | −0.394 ** | −0.134 ** | −0.015 | −0.142 ** |
| Summer (n = 458) | −0.307 ** | −0.149 ** | −0.281 ** | 0.238 ** | 0.004 | −0.171 ** |
| Autumn (n = 450) | −0.480 ** | 0.008 | −0.350 ** | −0.168 ** | −0.291 ** | −0.036 |
| Winter (n = 432) | −0.154 ** | −0.343 ** | 0.388 ** | 0.108 * | −0.381 ** | −0.256 ** |
| Annual (n = 1080) | −0.358 ** | 0.335 ** | −0.191 ** | −0.478 ** | −0.243 ** | −0.100 ** |
| Temporal Scales | Precipitation | Atmospheric Pressure | Relative Humidity | Atmospheric Temperature | Wind Speed | Wind Direction |
|---|---|---|---|---|---|---|
| Spring (n = 460) | −0.191 ** | 0.016 | −0.111 * | −0.254 ** | −0.079 | −0.296 ** |
| Summer (n = 458) | −0.200 ** | −0.096 * | −0.038 | 0.161 ** | 0.035 | −0.265 ** |
| Autumn (n = 450) | −0.372 ** | 0.011 | −0.220 ** | −0.153 ** | −0.309 ** | −0.085 |
| Winter (n = 432) | −0.057 | −0.334 ** | 0.521 ** | 0.067 | −0.460 ** | −0.294 ** |
| Annual (n = 1080) | −0.260 ** | 0.368 ** | −0.0031 | −0.506 ** | −0.294 ** | −0.178 ** |
| PM10 | PM2.5 | SO2 Emission | Smoke and Dust Emission | |
|---|---|---|---|---|
| ERI | −0.52 | −0.30 | −0.92 * | 0.95 * |
Publisher’s Note: MDPI stays neutral with regard to jurisdictional claims in published maps and institutional affiliations. |
© 2021 by the authors. Licensee MDPI, Basel, Switzerland. This article is an open access article distributed under the terms and conditions of the Creative Commons Attribution (CC BY) license (https://creativecommons.org/licenses/by/4.0/).
Share and Cite
Tian, Y.; Zhang, L.; Wang, Y.; Song, J.; Sun, H. Temporal and Spatial Trends in Particulate Matter and the Responses to Meteorological Conditions and Environmental Management in Xi’an, China. Atmosphere 2021, 12, 1112. https://doi.org/10.3390/atmos12091112
Tian Y, Zhang L, Wang Y, Song J, Sun H. Temporal and Spatial Trends in Particulate Matter and the Responses to Meteorological Conditions and Environmental Management in Xi’an, China. Atmosphere. 2021; 12(9):1112. https://doi.org/10.3390/atmos12091112
Chicago/Turabian StyleTian, Yulu, Lingnan Zhang, Yang Wang, Jinxi Song, and Haotian Sun. 2021. "Temporal and Spatial Trends in Particulate Matter and the Responses to Meteorological Conditions and Environmental Management in Xi’an, China" Atmosphere 12, no. 9: 1112. https://doi.org/10.3390/atmos12091112
APA StyleTian, Y., Zhang, L., Wang, Y., Song, J., & Sun, H. (2021). Temporal and Spatial Trends in Particulate Matter and the Responses to Meteorological Conditions and Environmental Management in Xi’an, China. Atmosphere, 12(9), 1112. https://doi.org/10.3390/atmos12091112

