Observed Trends and Variability of Temperature and Precipitation and Their Global Teleconnections in the Upper Indus Basin, Hindukush-Karakoram-Himalaya
Abstract
:1. Introduction
2. Study Area
3. Data and Methodology
3.1. Data
3.2. Autocorrelation Test
3.3. Mann-Kendall (MK) Test and Sen’s Slope Estimator
3.4. Sequential Mann-Kendall (SQMK) Test
3.5. Pettitt’s Test
3.6. Continuous Wavelet (CWT) and Cross Wavelet Transform (XWT)
4. Results
4.1. Autocorrelation Exclusion
4.2. Basic Information of Tmax, Tmin and Precipitation
4.3. Spatial Distribution of the Trends in Tmax and Tmin
4.3.1. Trends in Monthly Tmax and Tmin
4.3.2. Trends in Annual, Seasonal Tmax and Tmin
4.4. Spatial Distribution of the Trends in Precipitation
4.4.1. Trends in Monthly Precipitation
4.4.2. Trends in Annual and Seasonal Precipitation
4.5. Temporal Variations in Anomaly Time Series for Temperature and Precipitation
4.6. Abrupt Changes in Annual and Seasonal Tmax, Tmin and Precipitation in the UIB
4.7. Change Point in Annual and Seasonal Tmax, Tmin and Precipitation at Various Stations
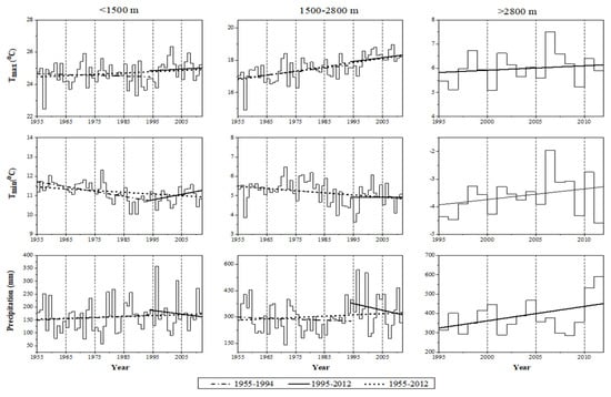
4.8. Relationship between Temperature and Precipitation with Elevation
4.9. Monthly Tmax, Tmin and Precipitation Variability Modes
4.10. Association between Climate Indices with Monthly Tmax, Tmin and Precipitation
5. Discussion
6. Conclusions
- A widespread warming for Tmax and a cooling with large spatial heterogeneity for Tmin are detected during 1955–2016, which is not in a parallel direction to that of global findings on global warming, as Tmax (Tmin) in the UIB increased (and decreased) significantly between 1955 and 2016.
- For Tmin, warming trends are more prominent in stations located at above 2800 m.
- For Tmax, warming in winter and spring contributes the most for the warming year-around, while for Tmin, cooling in summer and autumn especially in November is much stronger. Summer cooling is identified for both Tmax and Tmin.
- The total precipitation amount does not change significantly in UIB during 1960–2012 against its large inter-annual and inter-decadal variability.
- On the temporal scale, the warming in Tmax is more obvious during 1995–2016. The decreasing trends in Tmin become clear from mid-1980s.
- Increasing trends for Tmax and precipitation occur in regions with elevations of 1500–2800 m compared to elevations <1500 m during 1955–2012.
- The results of wavelet transform illustrated strong correlations between ENSO, NAO, IOD and PDO with monthly Tmax, Tmin and precipitation in the UIB.
- Significant inter-annual oscillations for Tmax and Tmin ranged from ~1 to 1.4 years, and ~1–6 years for precipitation. In general, the periodicities in the CWT observations were spatially continuous.
- The XWT results for Tmax and Tmin share nearly the same inter-annual coherence of 8–16 months (i.e., 0.8–1.4 years) with all climate indices. However, precipitation in the UIB shared inter-annual to inter-decadal significant coherences.
- ENSO shared most intermittent significant periods followed by IOD and NAO. However, PDO shared the least significant periods among the listed indices.
- ENSO and IOD had inter-annual periodic coherences, while NAO and PDO shared significant inter-decadal periods ranging from ~1 to 10 years.
Author Contributions
Funding
Institutional Review Board Statement
Informed Consent Statement
Acknowledgments
Conflicts of Interest
References
- Shrestha, A.B.; Bajracharya, S.R.; Sharma, A.R.; Duo, C.; Kulkarni, A. Observed trends and changes in daily temperature and precipitation extremes over the Koshi river basin 1975–2010. Int. J. Climatol. 2017, 37, 1066–1083. [Google Scholar] [CrossRef] [Green Version]
- Guan, Y.; Zheng, F.; Zhang, X.; Wang, B. Trends and variability of daily precipitation and extremes during 1960–2012 in the Yangtze River Basin, China. Int. J. Climatol. 2017, 37, 1282–1298. [Google Scholar] [CrossRef]
- Salehi, S.; Dehghani, M.; Mortazavi, S.M.; Singh, V.P. Trend analysis and change point detection of seasonal and annual precipitation in Iran. Int. J. Climatol. 2020, 40, 308–323. [Google Scholar] [CrossRef]
- Guan, Y.; Zhang, X.; Zheng, F.; Wang, B. Trends and variability of daily temperature extremes during 1960–2012 in the Yangtze River Basin, China. Glob. Planet. Chang. 2015, 124, 79–94. [Google Scholar] [CrossRef] [Green Version]
- Wen, X.; Wu, X.; Gao, M. Spatiotemporal variability of temperature and precipitation in Gansu Province (Northwest China) during 1951–2015. Atmos. Res. 2017, 197, 132–149. [Google Scholar] [CrossRef]
- Dahri, Z.H.; Ludwig, F.; Moors, E.; Ahmad, B.; Khan, A.; Kabat, P. An appraisal of precipitation distribution in the high-altitude catchments of the Indus basin. Sci. Total Environ. 2016, 548, 289–306. [Google Scholar] [CrossRef] [Green Version]
- You, Q.-L.; Ren, G.-Y.; Zhang, Y.-Q.; Ren, Y.-Y.; Sun, X.-B.; Zhan, Y.-J.; Shrestha, A.B.; Krishnan, R. An overview of studies of observed climate change in the Hindu Kush Himalayan (HKH) region. Adv. Clim. Chang. Res. 2017, 8, 141–147. [Google Scholar] [CrossRef]
- Bashir, F.; Zeng, X.; Gupta, H.; Hazenberg, P. A hydrometeorological perspective on the Karakoram anomaly using unique valley-based synoptic weather observations. Geophys. Res. Lett. 2017, 44, 10470–10478. [Google Scholar] [CrossRef] [Green Version]
- Hewitt, K. The Karakoram anomaly? Glacier expansion and the ‘elevation effect’, Karakoram Himalaya. Mt. Res. Dev. 2005, 25, 332–341. [Google Scholar] [CrossRef] [Green Version]
- Hewitt, K. Hazards to water resources development in high mountain regions. The Himalayan sources of the Indus. In Hydrology of Disasters, Proceedings of the World Meteorological Organization Technical Conference Held in Geneva, Switzerland, November 1988; World Meteorological Organization: Geneva, Switzerland, 2014; p. 294. [Google Scholar]
- Lutz, A.F.; Immerzeel, W.W.; Kraaijenbrink, P.D.; Shrestha, A.B.; Bierkens, M.F. Climate change impacts on the upper Indus hydrology: Sources, shifts and extremes. PLoS ONE 2016, 11, e0165630. [Google Scholar] [CrossRef] [Green Version]
- Bolch, T.; Kulkarni, A.; Kääb, A.; Huggel, C.; Paul, F.; Cogley, J.G.; Frey, H.; Kargel, J.S.; Fujita, K.; Scheel, M. The state and fate of Himalayan glaciers. Science 2012, 336, 310–314. [Google Scholar] [CrossRef] [Green Version]
- Muhammad, S.; Tian, L.; Ali, S.; Latif, Y.; Wazir, M.A.; Goheer, M.A.; Saifullah, M.; Hussain, I.; Shiyin, L. Thin debris layers do not enhance melting of the Karakoram glaciers. Sci. Total Environ. 2020, 746, 141119. [Google Scholar] [CrossRef]
- Muhammad, S.; Tian, L.; Nüsser, M. No significant mass loss in the glaciers of Astore Basin (North-Western Himalaya), between 1999 and 2016. J. Glaciol. 2019, 65, 270–278. [Google Scholar] [CrossRef] [Green Version]
- Hussain, D.; Kuo, C.-Y.; Hameed, A.; Tseng, K.-H.; Jan, B.; Abbas, N.; Kao, H.-C.; Lan, W.-H.; Imani, M. Spaceborne Satellite for Snow cover and Hydrological Characteristic of the Gilgit River Basin, Hindukush–Karakoram Mountains, Pakistan. Sensors 2019, 19, 531. [Google Scholar] [CrossRef] [Green Version]
- Anjum, M.N.; Ding, Y.; Shangguan, D. Simulation of the projected climate change impacts on the river flow regimes under CMIP5 RCP scenarios in the westerlies dominated belt, northern Pakistan. Atmos. Res. 2019, 227, 233–248. [Google Scholar] [CrossRef]
- Hasson, S.; Böhner, J.; Lucarini, V. Prevailing climatic trends and runoff response from Hindukush–Karakoram–Himalaya, upper Indus Basin. Earth Syst. Dyn. 2017, 8, 337–355. [Google Scholar] [CrossRef] [Green Version]
- Forsythe, N.; Fowler, H.; Blenkinsop, S.; Burton, A.; Kilsby, C.; Archer, D.; Harpham, C.; Hashmi, M. Application of a stochastic weather generator to assess climate change impacts in a semi-arid climate: The Upper Indus Basin. J. Hydrol. 2014, 517, 1019–1034. [Google Scholar] [CrossRef] [Green Version]
- Farhan, S.B.; Zhang, Y.; Aziz, A.; Gao, H.; Ma, Y.; Kazmi, J.; Shahzad, A.; Hussain, I.; Mansha, M.; Umar, M. Assessing the impacts of climate change on the high-altitude snow-and glacier-fed hydrological regimes of Astore and Hunza, the sub-catchments of Upper Indus Basin. J. Water Clim. Chang. 2018, 2, 479–490. [Google Scholar] [CrossRef]
- Amin, M.; Bano, D.; Hassan, S.S.; Goheer, M.A.; Khan, A.A.; Khan, M.R.; Hina, S.M. Mapping and monitoring of glacier lake outburst floods using geospatial modelling approach for Darkut valley, Pakistan. Meteorol. Appl. 2020, 27, e1877. [Google Scholar] [CrossRef]
- Fowler, H.; Archer, D. Conflicting signals of climatic change in the Upper Indus Basin. J. Clim. 2006, 19, 4276–4293. [Google Scholar] [CrossRef] [Green Version]
- Waqas, A.; Athar, H. Observed diurnal temperature range variations and its association with observed cloud cover in northern Pakistan. Int. J. Climatol. 2018, 38, 3323–3336. [Google Scholar] [CrossRef]
- Khattak, M.S.; Babel, M.; Sharif, M. Hydro-meteorological trends in the upper Indus River basin in Pakistan. Clim. Res. 2011, 46, 103–119. [Google Scholar] [CrossRef]
- Steinbauer, M.; Zeidler, J. Climate Change in the Northern Areas Pakistan Impacts on Glaciers, Ecology and Livelyhoods; World Wide Fund for Nature-Pakistan Gilgit Conservation and Information Center (GCIC): Gilgit, Pakistan, 2008. [Google Scholar]
- Farhan, S.B.; Zhang, Y.; Ma, Y.; Guo, Y.; Ma, N. Hydrological regimes under the conjunction of westerly and monsoon climates: A case investigation in the Astore Basin, Northwestern Himalaya. Clim. Dyn. 2015, 44, 3015–3032. [Google Scholar] [CrossRef]
- Archer, D.R.; Fowler, H.J. Spatial and temporal variations in precipitation in the Upper Indus Basin, global teleconnections and hydrological implications. Hydrol. Earth Syst. Sci. Discuss. 2004, 8, 47–61. [Google Scholar] [CrossRef] [Green Version]
- Ullah, S.; You, Q.; Ullah, W.; Ali, A. Observed changes in precipitation in China-Pakistan economic corridor during 1980–2016. Atmos. Res. 2018, 210, 1–14. [Google Scholar] [CrossRef]
- Latif, Y.; Yaoming, M.; Yaseen, M. Spatial analysis of precipitation time series over the Upper Indus Basin. Theor. Appl. Climatol. 2018, 131, 761–775. [Google Scholar] [CrossRef] [Green Version]
- Shi, P.; Yang, T.; Xu, C.-Y.; Yong, B.; Shao, Q.; Li, Z.; Wang, X.; Zhou, X.; Li, S. How do the multiple large-scale climate oscillations trigger extreme precipitation? Glob. Planet. Chang. 2017, 157, 48–58. [Google Scholar] [CrossRef]
- Fowler, H.J.; Archer, D.R. Hydro-climatological variability in the Upper Indus Basin and implications for water resources. Reg. Hydrol. Impacts Clim. Chang. Impact Assess. Decis. Mak. 2005, 295, 131–138. [Google Scholar]
- Bhutiyani, M.R.; Kale, V.S.; Pawar, N. Climate change and the precipitation variations in the northwestern Himalaya: 1866–2006. Int. J. Climatol. A J. R. Meteorol. Soc. 2010, 30, 535–548. [Google Scholar] [CrossRef]
- Khan, A.J.; Koch, M. Correction and informed regionalization of precipitation data in a high mountainous region (Upper Indus Basin) and its effect on SWAT-modelled discharge. Water 2018, 10, 1557. [Google Scholar] [CrossRef] [Green Version]
- Wake, C.P. Glaciochemical investigations as a tool for determining the spatial and seasonal variation of snow accumulation in the central Karakoram, northern Pakistan. Ann. Glaciol. 1989, 13, 279–284. [Google Scholar] [CrossRef] [Green Version]
- Khan, A.J.; Koch, M.; Tahir, A.A. Impacts of Climate Change on the Water Availability, Seasonality and Extremes in the Upper Indus Basin (UIB). Sustainability 2020, 12, 1283. [Google Scholar] [CrossRef] [Green Version]
- Ashraf, A.; Naz, R.; Roohi, R. Glacial lake outburst flood hazards in Hindukush, Karakoram and Himalayan Ranges of Pakistan: Implications and risk analysis. Geomat. Nat. Hazards Risk 2012, 3, 113–132. [Google Scholar] [CrossRef] [Green Version]
- Hasson, S.; Lucarini, V.; Khan, M.R.; Petitta, M.; Bolch, T.; Gioli, G. Early 21st century snow cover state over the western river basins of the Indus River system. Hydrol. Earth Syst. Sci. 2014, 18, 4077–4100. [Google Scholar] [CrossRef] [Green Version]
- Sheikh, M.M.; Manzoor, N.; Adnan, M.; Ashraf, J.; Khan, A.M. Climate Profile and Past Climate Changes in Pakistan; GCISE report No. RR-01; Global Change Impact Studies Centre: Islamabad, Pakistan, 2009. [Google Scholar]
- Chattopadhyay, S.; Jhajharia, D.; Chattopadhyay, G. Univariate modelling of monthly maximum temperature time series over northeast India: Neural network versus Yule–Walker equation based approach. Meteorol. Appl. 2011, 18, 70–82. [Google Scholar] [CrossRef]
- Piyoosh, A.K.; Ghosh, S.K. Effect of autocorrelation on temporal trends in rainfall in a valley region at the foothills of Indian Himalayas. Stoch. Environ. Res. Risk Assess. 2017, 31, 2075–2096. [Google Scholar] [CrossRef]
- Ahmad, I.; Tang, D.; Wang, T.; Wang, M.; Wagan, B. Precipitation trends over time using Mann-Kendall and spearman’s rho tests in swat river basin, Pakistan. Adv. Meteorol. 2015, 2015, 431860. [Google Scholar] [CrossRef] [Green Version]
- Mann, H.B. Nonparametric tests against trend. Econom. J. Econom. Soc. 1945, 13, 245–259. [Google Scholar] [CrossRef]
- Kendall, M.G. Rank Correlation Methods, 3rd ed.; Griffin, C., Ed.; Hafner Publishing Co.: Oxford, UK, 1962. [Google Scholar]
- Gocic, M.; Trajkovic, S. Analysis of changes in meteorological variables using Mann-Kendall and Sen’s slope estimator statistical tests in Serbia. Glob. Planet. Chang. 2013, 100, 172–182. [Google Scholar] [CrossRef]
- Jain, S.; Kumar, V.; Saharia, M. Analysis of rainfall and temperature trends in northeast India. Int. J. Climatol. 2013, 33, 968–978. [Google Scholar] [CrossRef]
- Barry, A.; Caesar, J.; Klein Tank, A.; Aguilar, E.; McSweeney, C.; Cyrille, A.M.; Nikiema, M.; Narcisse, K.; Sima, F.; Stafford, G. West Africa climate extremes and climate change indices. Int. J. Climatol. 2018, 38, e921–e938. [Google Scholar] [CrossRef]
- Sen, P.K. Estimates of the regression coefficient based on Kendall’s tau. J. Am. Stat. Assoc. 1968, 63, 1379–1389. [Google Scholar] [CrossRef]
- Ullah, S.; You, Q.; Ali, A.; Ullah, W.; Jan, M.A.; Zhang, Y.; Xie, W.; Xie, X. Observed changes in maximum and minimum temperatures over China-Pakistan economic corridor during 1980–2016. Atmos. Res. 2019, 216, 37–51. [Google Scholar] [CrossRef]
- Sneyers, S. On the Statistical Analysis of Series of Observations; Technical note no. 143, WMO No. 725 415; Secretariat of the World Meteorological Organization: Geneva, Switzerland, 1990. [Google Scholar]
- Zhao, J.; Huang, Q.; Chang, J.; Liu, D.; Huang, S.; Shi, X. Analysis of temporal and spatial trends of hydro-climatic variables in the Wei River Basin. Environ. Res. 2015, 139, 55–64. [Google Scholar] [CrossRef] [PubMed]
- Cia, T.; Xia, G.; Wilson, L.T.; Chen, W.; Chi, D. Trend and cycle analysis of annual and seasonal precipitation in Liaoning, China. Adv. Meteorol. 2016, 2016, 5170563. [Google Scholar]
- Pettitt, A.N. A non-parametric approach to the change-point problem. J. R. Stat. Soc. Ser. C Appl. Stat. 1979, 28, 126–135. [Google Scholar] [CrossRef]
- Ahmadi, F.; Nazeri Tahroudi, M.; Mirabbasi, R.; Khalili, K.; Jhajharia, D. Spatiotemporal trend and abrupt change analysis of temperature in Iran. Meteorol. Appl. 2018, 25, 314–321. [Google Scholar] [CrossRef] [Green Version]
- Szolgayova, E.; Parajka, J.; Blöschl, G.; Bucher, C. Long term variability of the Danube River flow and its relation to precipitation and air temperature. J. Hydrol. 2014, 519, 871–880. [Google Scholar] [CrossRef]
- Lau, K.; Weng, H. Interannual, decadal–interdecadal, and global warming signals in sea surface temperature during 1955–97. J. Clim. 1999, 12, 1257–1267. [Google Scholar] [CrossRef]
- Torrence, C.; Compo, G.P. A practical guide to wavelet analysis. Bull. Am. Meteorol. Soc. 1998, 79, 61–78. [Google Scholar] [CrossRef] [Green Version]
- Grinsted, A.; Moore, J.C.; Jevrejeva, S. Application of the cross wavelet transform and wavelet coherence to geophysical time series. Nonlinear Process. Geophys. 2004, 11, 561–566. [Google Scholar] [CrossRef]
- Ciria, T.P.; Chiogna, G. Intra-catchment comparison and classification of long-term streamflow variability in the Alps using wavelet analysis. J. Hydrol. 2020, 587, 124927. [Google Scholar] [CrossRef]
- Li, Y.; Wen, Y.; Lai, H.; Zhao, Q. Drought response analysis based on cross wavelet transform and mutual entropy. Alex. Eng. J. 2020, 59, 1223–1231. [Google Scholar] [CrossRef]
- Liu, X.; Cheng, Z.; Yan, L.; Yin, Z.-Y. Elevation dependency of recent and future minimum surface air temperature trends in the Tibetan Plateau and its surroundings. Glob. Planet. Chang. 2009, 68, 164. [Google Scholar] [CrossRef]
- Beniston, M.; Rebetez, M. Regional behavior of minimum temperatures in Switzerland for the period 1979–1993. Theor. Appl. Climatol. 1996, 53, 231–243. [Google Scholar] [CrossRef]
- You, Q.; Kang, S.; Pepin, N.; Flügel, W.-A.; Yan, Y.; Behrawan, H.; Huang, J. Relationship between temperature trend magnitude, elevation and mean temperature in the Tibetan Plateau from homogenized surface stations and reanalysis data. Glob. Planet. Chang. 2010, 71, 124–133. [Google Scholar] [CrossRef]
- Alexander, L.V.; Zhang, X.; Peterson, T.C.; Caesar, J.; Gleason, B.; Klein Tank, A.; Haylock, M.; Collins, D.; Trewin, B.; Rahimzadeh, F. Global observed changes in daily climate extremes of temperature and precipitation. J. Geophys. Res. Atmos. 2006, 111, D05109. [Google Scholar] [CrossRef] [Green Version]
- Klein Tank, A.M.G.; Peterson, T.C.; Quadir, D.A.; Dorji, S.; Zou, X.; Tang, H.; Santhosh, K.; Joshi, U.R.; Jaswal, A.K.; Kolli, R.K.; et al. Climate and Dynamics-D16105-central and south Asia. J. Geophys. Res. Part D Atmos. 2006, 111, D16105. [Google Scholar]
- You, Q.; Kang, S.; Aguilar, E.; Pepin, N.; Flügel, W.-A.; Yan, Y.; Xu, Y.; Zhang, Y.; Huang, J. Changes in daily climate extremes in China and their connection to the large-scale atmospheric circulation during 1961–2003. Clim. Dyn. 2011, 36, 2399–2417. [Google Scholar] [CrossRef]
- Skansi, M.M.; Brunet, M.; Sigró, J.; Aguilar, E.; Groening, J.A.A.; Bentancur, O.J.; Geier, Y.R.C.; Amaya, R.L.C.; Jácome, H.; Ramos, A.M. Warming and wetting signals emerging from analysis of changes in climate extreme indices over South America. Glob. Planet. Chang. 2013, 100, 295–307. [Google Scholar] [CrossRef]
- Hussain, A.; Ali, S.; Begum, S.; Hussain, I.; Ali, H. Climate change perspective in mountain area: Impacts and adaptations in Naltar valley, Western Himalaya, Pakistan. Fresenius Environ. Bulliten. 2019, 28, 6683–6691. [Google Scholar]
- Forsythe, N.; Hardy, A.; Fowler, H.; Blenkinsop, S.; Kilsby, C.; Archer, D.; Hashmi, M. A detailed cloud fraction climatology of the Upper Indus Basin and its implications for near-surface air temperature. J. Clim. 2015, 28, 3537–3556. [Google Scholar] [CrossRef] [Green Version]
- Kang, S.; Eltahir, E.A. Impact of irrigation on regional climate over Eastern China. Geophys. Res. Lett. 2019, 46, 5499–5505. [Google Scholar] [CrossRef] [Green Version]
- Minora, U.; Bocchiola, D.; D’Agata, C.; Maragno, D.; Mayer, C.; Lambrecht, A.; Vuillermoz, E.; Senese, A.; Compostella, C.; Smiraglia, C. Glacier area stability in the Central Karakoram National Park (Pakistan) in 2001–2010: The “Karakoram Anomaly” in the spotlight. Prog. Phys. Geogr. 2016, 40, 629–660. [Google Scholar] [CrossRef]
- Yaseen, M.; Ahmad, I.; Guo, J.; Azam, M.I.; Latif, Y. Spatiotemporal Variability in the Hydrometeorological Time-Series over Upper Indus River Basin of Pakistan. Adv. Meteorol. 2020, 2020, 5852760. [Google Scholar] [CrossRef]
- Mullick, M.R.A.; Nur, R.M.; Alam, M.J.; Islam, K.A. Observed trends in temperature and rainfall in Bangladesh using pre-whitening approach. Glob. Planet. Chang. 2019, 172, 104–113. [Google Scholar] [CrossRef]
- Auffhammer, M.; Ramanathan, V.; Vincent, J.R. Climate change, the monsoon, and rice yield in India. Clim. Chang. 2012, 111, 411–424. [Google Scholar] [CrossRef]
- Hasson, S. Future water availability from Hindukush-Karakoram-Himalaya Upper Indus Basin under conflicting climate change scenarios. Climate 2016, 4, 40. [Google Scholar] [CrossRef] [Green Version]
- Saleem, F.; Zeng, X.; Hina, S.; Omer, A. Regional changes in extreme temperature records over Pakistan and their relation to Pacific variability. Atmos. Res. 2021, 250, 105407. [Google Scholar] [CrossRef]
- Iqbal, M.F.; Athar, H. Variability, trends, and teleconnections of observed precipitation over Pakistan. Theor. Appl. Climatol. 2018, 134, 613–632. [Google Scholar] [CrossRef]
- del Río, S.; Anjum Iqbal, M.; Cano-Ortiz, A.; Herrero, L.; Hassan, A.; Penas, A. Recent mean temperature trends in Pakistan and links with teleconnection patterns. Int. J. Climatol. 2013, 33, 277–290. [Google Scholar] [CrossRef]
- Iqbal, M.A.; Penas, A.; Cano-Ortiz, A.; Kersebaum, K.C.; Herrero, L.; del Río, S. Analysis of recent changes in maximum and minimum temperatures in Pakistan. Atmos. Res. 2016, 168, 234–249. [Google Scholar] [CrossRef]
- Li, S.; Perlwitz, J.; Quan, X.; Hoerling, M.P. Modelling the influence of North Atlantic multidecadal warmth on the Indian summer rainfall. Geophys. Res. Lett. 2008, 35. [Google Scholar] [CrossRef]
- de Beurs, K.M.; Henebry, G.M.; Owsley, B.C.; Sokolik, I.N. Large scale climate oscillation impacts on temperature, precipitation and land surface phenology in Central Asia. Environ. Res. Lett. 2018, 13, 065018. [Google Scholar] [CrossRef]
- Syed, F.S.; Giorgi, F.; Pal, J.; Keay, K. Regional climate model simulation of winter climate over Central–Southwest Asia, with emphasis on NAO and ENSO effects. Int. J. Climatol. A J. R. Meteorol. Soc. 2010, 30, 220–235. [Google Scholar] [CrossRef]
- Syed, F.; Giorgi, F.; Pal, J.; King, M. Effect of remote forcings on the winter precipitation of central southwest Asia part 1: Observations. Theor. Appl. Climatol. 2006, 86, 147–160. [Google Scholar] [CrossRef]
- Latif, M.; Syed, F.; Hannachi, A. Rainfall trends in the South Asian summer monsoon and its related large-scale dynamics with focus over Pakistan. Clim. Dyn. 2017, 48, 3565–3581. [Google Scholar] [CrossRef]









| S. No. | Station | Period | Lat. (°N) | Lon. (°E) | Elev. (m) | Source |
|---|---|---|---|---|---|---|
| 1 | Chilas | 1955–2016 | 35°25′ | 74°06′ | 1250 | PMD |
| 2 | Bunji | 1955–2016 | 35°40′ | 74°38′ | 1372 | PMD |
| 3 | Gilgit | 1955–2016 | 35°55′ | 74°20′ | 1460 | PMD |
| 4 | Gupis | 1955–2016 | 36°10′ | 73°24′ | 2156 | PMD |
| 5 | Astore | 1955–2016 | 35°20′ | 74°54′ | 2168 | PMD |
| 6 | Skardu | 1955–2016 | 35°30′ | 75°68′ | 2210 | PMD |
| 7 | Naltar | 1995–2012 | 36°17′ | 74°18′ | 2858 | WAPDA |
| 8 | Ziarat | 1995–2012 | 36°49′ | 74°26′ | 3669 | WAPDA |
| 9 | Khunjerab | 1995–2012 | 36°84′ | 75°42′ | 4730 | WAPDA |
| Station | Jan | Feb | Mar | Apr | May | Jun | Jul | Aug | Sep | Oct | Nov | Dec |
|---|---|---|---|---|---|---|---|---|---|---|---|---|
| Chilas | 0.14 | 0.09 | 0.18 | 0.13 | 0.31 | −0.05 | −0.22 | −0.36 | −0.30 | 0.07 | 0.05 | 0.21 |
| Bunji | 0.28 | 0.17 | 0.34 | 0.07 | 0.27 | −0.33 | −0.44 | −0.44 | −0.45 | −0.11 | 0.11 | 0.25 |
| Gilgit | 0.46 | 0.35 | 0.41 | 0.40 | 0.56 | 0.17 | −0.05 | −0.26 | −0.17 | 0.28 | 0.33 | 0.47 |
| Gupis | 0.42 | 0.27 | 0.35 | 0.40 | 0.52 | 0.13 | −0.08 | −0.39 | −0.02 | 0.28 | 0.37 | 0.49 |
| Astore | 0.23 | 0.13 | 0.37 | 0.33 | 0.50 | 0.03 | −0.05 | −0.20 | −0.05 | 0.19 | 0.26 | 0.36 |
| Skardu | 0.44 | 0.54 | 0.46 | 0.52 | 0.75 | 0.34 | 0.12 | −0.05 | 0.02 | 0.40 | 0.48 | 0.50 |
| Naltar | 0.16 | −0.40 | 0.51 | −0.31 | 1.08 | 0.26 | −1.18 | −0.31 | −1.63 | −0.23 | −0.15 | −0.14 |
| Ziarat | 0.06 | −0.22 | 1.23 | 0.13 | 1.61 | −0.39 | −0.98 | −0.22 | −1.70 | −0.22 | 0.77 | 0.41 |
| Khunjerab | 0.41 | 0.13 | 1.29 | 0.44 | −0.06 | −0.09 | −1.06 | −0.01 | −1.16 | −0.06 | 1.03 | 0.70 |
| UIB | 0.30 | 0.29 | 0.36 | 0.27 | 0.45 | 0.05 | −0.15 | −0.36 | −0.20 | 0.16 | 0.24 | 0.38 |
| Station | Jan | Feb | Mar | Apr | May | Jun | Jul | Aug | Sep | Oct | Nov | Dec |
|---|---|---|---|---|---|---|---|---|---|---|---|---|
| Chilas | 0.33 | 0.31 | 0.15 | 0.22 | 0.39 | 0.08 | −0.13 | −0.23 | −0.31 | 0.20 | 0.29 | 0.36 |
| Bunji | −0.04 | 0.09 | 0.10 | 0.00 | 0.00 | −0.30 | −0.37 | −0.46 | −0.58 | −0.41 | −0.20 | −0.08 |
| Gilgit | −0.21 | −0.04 | −0.10 | −0.14 | 0.00 | −0.10 | −0.26 | −0.24 | −0.22 | −0.26 | −0.20 | −0.20 |
| Gupis | −0.22 | −0.08 | −0.10 | −0.14 | −0.06 | −0.33 | −0.50 | −0.63 | −0.52 | −0.39 | −0.31 | −0.27 |
| Astore | 0.17 | 0.27 | 0.16 | 0.25 | 0.37 | 0.15 | −0.04 | −0.22 | −0.16 | 0.09 | 0.20 | 0.13 |
| Skardu | 0.00 | 0.25 | 0.04 | 0.00 | 0.01 | −0.19 | −0.32 | −0.37 | −0.49 | −0.42 | −0.24 | 0.00 |
| Naltar | 1.00 | 1.28 | 1.34 | 0.22 | −0.42 | −0.78 | −0.98 | −0.13 | −0.68 | −0.38 | −0.31 | 1.10 |
| Ziarat | 0.82 | 2.83 | 1.13 | 0.42 | 0.85 | −0.20 | −0.75 | −0.10 | −0.29 | 0.06 | 1.04 | 0.96 |
| Khunjerab | 2.09 | 2.29 | 1.29 | 1.08 | 2.12 | 1.00 | −0.26 | 0.10 | −0.23 | 0.53 | 1.44 | 1.18 |
| UIB | 0.00 | 0.18 | 0.04 | 0.08 | 0.14 | −0.08 | −0.24 | −0.29 | −0.26 | −0.17 | −0.06 | 0.00 |
| Variable | Annual | Winter | Spring | Summer | Autumn |
|---|---|---|---|---|---|
| Tmax | 0.14 | 0.38 | 0.35 | −0.14 | 0.05 |
| Tmin | −0.08 | 0.09 | 0.08 | −0.21 | −0.22 |
| Precipitation | 2.74 | 1.18 | −4.90 | 2.06 | 0.62 |
| Station | Jan | Feb | Mar | Apr | May | Jun | Jul | Aug | Sep | Oct | Nov | Dec |
|---|---|---|---|---|---|---|---|---|---|---|---|---|
| Chilas | 0.00 | 0.68 | −1.29 | −0.42 | 0.40 | 0.52 | 0.10 | 1.04 | 1.13 | −0.11 | 0.00 | 0.00 |
| Bunji | 0.06 | 0.00 | −1.06 | 0.71 | −0.39 | 0.73 | 0.89 | 0.88 | 0.84 | 0.00 | 0.00 | 0.00 |
| Gilgit | −0.10 | 0.11 | 0.06 | 0.15 | 0.58 | 1.53 | 0.10 | 0.64 | 0.81 | 0.00 | 0.00 | 0.00 |
| Gupis | 0.00 | 0.00 | 0.00 | 0.51 | −0.30 | 0.00 | 1.27 | 1.67 | 0.42 | 0.00 | 0.00 | −0.06 |
| Astore | −0.46 | 0.02 | −7.38 | −4.11 | −5.28 | 1.17 | 0.94 | 0.48 | 1.63 | −1.23 | 0.00 | −1.63 |
| Skardu | 1.28 | 4.27 | 0.75 | 0.22 | −0.78 | 0.29 | 0.56 | 1.21 | 1.13 | 0.00 | 0.00 | 0.63 |
| Naltar | 36.43 | 25.91 | −22.08 | −14.7 | −14.73 | 1.00 | 3.50 | 9.31 | 10.93 | −10.40 | 11.38 | 23.42 |
| Ziarat | 4.75 | 9.07 | 4.80 | −5.20 | 1.43 | −8.25 | 14.13 | 3.00 | 10.75 | −6.88 | −2.89 | 16.69 |
| Khunjerab | 3.50 | 5.67 | 4.43 | 3.67 | −0.55 | −8.00 | −10.33 | −5.75 | 1.00 | 1.33 | 6.00 | 8.00 |
| UIB | 0.51 | 1.26 | −1.76 | −0.41 | −0.88 | 1.18 | 0.98 | 1.19 | 1.30 | −0.15 | 0.20 | −0.10 |
| Station | Tmax | Tmin | Precipitation | ||||||||||||
|---|---|---|---|---|---|---|---|---|---|---|---|---|---|---|---|
| Ann | Win | Spr | Sum | Aut | Ann | Win | Spr | Sum | Aut | Ann | Win | Spr | Sum | Aut | |
| Chilas | - | - | - | 1985 | - | 1969 | 1984 | 1969 | - | - | - | - | - | - | - |
| Bunji | - | 1995 | - | 1985 | - | 1977 | - | - | 1977 | 1977 | - | - | - | - | - |
| Gilgit | 1992 | 1995 | 1996 | - | 1987 | 1985 | - | - | 1985 | 1970 | - | - | 1973 | - | - |
| Gupis | 1997 | 1995 | 1999 | - | 1997 | 1985 | 1989 | 1985 | 1986 | 1986 | 1991 | - | - | 1992 | - |
| Astore | 1996 | 1995 | 1996 | - | - | - | - | 1996 | - | - | - | - | 1975 | - | 2003 |
| Skardu | 1983 | 1982 | 1976 | 1976 | 1982 | 1982 | - | - | 1985 | 1980 | - | 1984 | - | - | - |
Publisher’s Note: MDPI stays neutral with regard to jurisdictional claims in published maps and institutional affiliations. |
© 2021 by the authors. Licensee MDPI, Basel, Switzerland. This article is an open access article distributed under the terms and conditions of the Creative Commons Attribution (CC BY) license (https://creativecommons.org/licenses/by/4.0/).
Share and Cite
Hussain, A.; Cao, J.; Hussain, I.; Begum, S.; Akhtar, M.; Wu, X.; Guan, Y.; Zhou, J. Observed Trends and Variability of Temperature and Precipitation and Their Global Teleconnections in the Upper Indus Basin, Hindukush-Karakoram-Himalaya. Atmosphere 2021, 12, 973. https://doi.org/10.3390/atmos12080973
Hussain A, Cao J, Hussain I, Begum S, Akhtar M, Wu X, Guan Y, Zhou J. Observed Trends and Variability of Temperature and Precipitation and Their Global Teleconnections in the Upper Indus Basin, Hindukush-Karakoram-Himalaya. Atmosphere. 2021; 12(8):973. https://doi.org/10.3390/atmos12080973
Chicago/Turabian StyleHussain, Azfar, Jianhua Cao, Ishtiaq Hussain, Saira Begum, Mobeen Akhtar, Xiuqin Wu, Yinghui Guan, and Jinxing Zhou. 2021. "Observed Trends and Variability of Temperature and Precipitation and Their Global Teleconnections in the Upper Indus Basin, Hindukush-Karakoram-Himalaya" Atmosphere 12, no. 8: 973. https://doi.org/10.3390/atmos12080973
APA StyleHussain, A., Cao, J., Hussain, I., Begum, S., Akhtar, M., Wu, X., Guan, Y., & Zhou, J. (2021). Observed Trends and Variability of Temperature and Precipitation and Their Global Teleconnections in the Upper Indus Basin, Hindukush-Karakoram-Himalaya. Atmosphere, 12(8), 973. https://doi.org/10.3390/atmos12080973

