Temporal Analysis of Urban-Suburban PET, mPET and UTCI Indices in Belgrade (Serbia)
Abstract
:1. Introduction
2. Materials and Methods
2.1. Study Area
2.2. Data Description
2.3. Method
3. Results
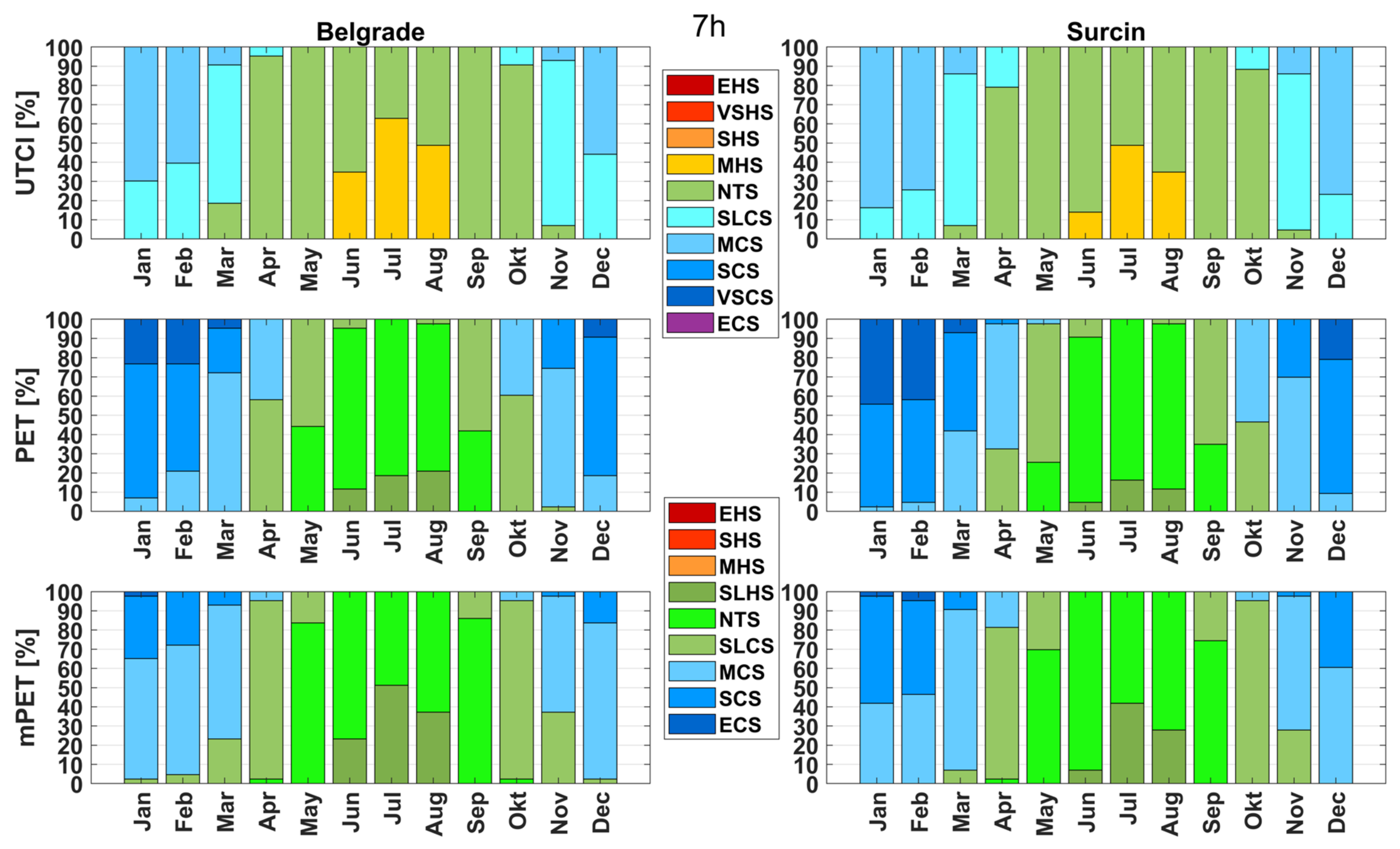
3.1. Frequencies of PET, mPET and UTCI
3.2. Average Monthly, Seasonal and Annual PET, mPET and UTCI
3.3. Urban-Suburban Differences (ΔPET, ΔmPET, ΔUTCI)
4. Discussion
5. Conclusions
Author Contributions
Funding
Institutional Review Board Statement
Informed Consent Statement
Acknowledgments
Conflicts of Interest
References
- Unkašević, M. Klima Beograda (Climate of Belgrade); Naučna knjiga: Belgrade, Serbia, 1994. [Google Scholar]
- Anđelković, G. The basic characteristics of the Belgrade’s Urban Heat Island. Bull. Serb. Geogr. Soc. 2003, LXXXIII, 15–30. [Google Scholar]
- Gburcik, P.; Matic-Besarabic, S.; Gburcik, V. Heat island and air quality spatial distribution in Belgrade city. In Proceedings of the Fifth International Conference on Urban Climate, Łódz, Poland, 1–5 September 2003; Kazimiers, K., Ed.; Faculty of Geographical Sciences University of Łódz: Lodz, Poland, 2003; Volume 2, pp. 137–141. [Google Scholar]
- Milovanović, B. Air temperature changes in Serbia and the Belgrade heat island. J. Geogr. Inst. Cvijic 2015, 65, 33–42. [Google Scholar] [CrossRef]
- Milovanovic, B.; Radovanovic, M.; Schneider, C. Seasonal distribution of urban heat island intensity in Belgrade (Serbia). J. Geogr. Inst. Jovan Cvijic SASA 2020, 70, 163–170. [Google Scholar] [CrossRef]
- Zhou, B.; Rybski, D.; Kropp, J.P. The role of city size and urban form in the surface urban heat island. Sci. Rep. 2017, 7, 4791. [Google Scholar] [CrossRef] [PubMed]
- Lalošević, M.D.; Komatina, M.S.; Miloš, M.V.; Rudonja, N. Green roofs and cool materials as retrofitting strategies for urban heat island mitigation: Case study in Belgrade, Serbia. Therm. Sci. 2018, 22, 2309–2324. [Google Scholar] [CrossRef]
- Unkašević, M.; Jovanović, O.; Popović, T. Urban-suburban/rural vapour pressure and relative humidity differences at fixed hours over the area of Belgrade city. Theor. Appl. Clim. 2001, 68, 67–73. [Google Scholar] [CrossRef]
- Drljaca, V.; Tošić, I.; Unkašević, M. An analysis of heat waves in Belgrade and Niš using the climate index. J. Geogr. Inst. Jovan Cvijic SASA 2009, 59, 49–62. [Google Scholar] [CrossRef]
- Unkašević, M.; Vujović, D.; Tosic, I. Trends in extreme summer temperatures at Belgrade. Theor. Appl. Clim. 2005, 82, 199–205. [Google Scholar] [CrossRef]
- Unkasevic, M.; Tosic, I.; Miroslava, U.; Ivana, T. Heat waves in Belgrade and Nis. Geogr. Pannonica 2009, 13, 4–10. [Google Scholar] [CrossRef] [Green Version]
- Unkašević, M.; Tošić, I. The maximum temperatures and heat waves in Serbia during the summer of 2007. Clim. Chang. 2011, 108, 207–223. [Google Scholar] [CrossRef]
- Radinović, Đ.; Ćurić, M. Criteria for heat and cold wave duration indexes. Theor. Appl. Climatol. 2011, 107, 505–510. [Google Scholar] [CrossRef]
- Bogdanovic, D.; Milošević, Z.G.; Lazarevic, K.; Dolićanin, Z.Ć.; Ranđelović, D.M.; Bogdanović, S.D. The Impact of the July 2007 Heat Wave on Daily Mortality in Belgrade, Serbia. Cent. Eur. J. Public Health 2013, 21, 140–145. [Google Scholar] [CrossRef] [PubMed] [Green Version]
- Radinović, D.; Curic, M. Measuring scales for daily temperature extremes, precipitation and wind velocity. Meteorol. Appl. 2012, 21, 461–465. [Google Scholar] [CrossRef]
- Unkašević, M.; Tosic, I. Seasonal analysis of cold and heat waves in Serbia during the period 1949–2012. Theor. Appl. Clim. 2014, 120, 29–40. [Google Scholar] [CrossRef]
- Malinovic-Milicevic, S.; Radovanovic, M.; Stanojevic, G.; Milovanovic, B. Recent changes in Serbian climate extreme indices from 1961 to 2010. Theor. Appl. Clim. 2015, 124, 1089–1098. [Google Scholar] [CrossRef]
- Pecelj, M.M.; Lukić, M.Z.; Filipović, D.J.; Protić, B.; Bogdanović, U.M. Analysis of the Universal Thermal Climate Index during heat waves in Serbia. Nat. Hazards Earth Syst. Sci. 2020, 20, 2021–2036. [Google Scholar] [CrossRef]
- Milovanovic, B.; Schuster, P.; Radovanovic, M.; Ristic-Vakanjac, V.; Schneider, C.; Milivojevic, M. Spatial-temporal variability of air temperatures in Serbia in the period 1961–2020. J. Geogr. Inst. Jovan Cvijic SASA 2018, 68, 157–175. [Google Scholar] [CrossRef]
- Steadman, R.G. A universal scale of apparent temperature. J. Appl. Meteorol. Climatol. 1984, 23, 1674–1687. [Google Scholar] [CrossRef]
- Stanojevic, G.; Stojilkovic, J.; Spalevic, A.; Kokotović, V. The impact of heat waves on daily mortality in Belgrade (Serbia) during summer. Environ. Hazards 2014, 13, 329–342. [Google Scholar] [CrossRef]
- Lukić, M. An analysis of the influence of air temperature and humidity on outdoor thermal comfort in Belgrade (Serbia) using simple heat index. Arch. Tech. Sci. 2019, 21, 75–84. [Google Scholar] [CrossRef]
- Pecelj, M.M.; Trbić, G.; Pecelj, M.R. Biothermal Condition Based on the Bioclimatic Index Heat Load. In Proceedings of the 7 h WSEAS International Conference on Waste Management, Water Pollution, Indoor Climate, Recent Advances in Environmental Science, Limasol, Cyprus, 21–23 March 2013; pp. 250–254. [Google Scholar]
- Milovanović, B.; Radovanović, M.; Stanojević, G.; Pecelj, M.; Nikolić, J. Klima Srbije (Climate of Serbia). In Geografija Srbije (Geography of Serbia); Radovanović, M., Ed.; Geographical Institute Jovan Cvijić SASA: Belgrade, Serbia, 2017; pp. pp. 94–156, 863. [Google Scholar]
- Pecelj, M.; Đorđević, A.; Pecelj, M.R.; Pecelj-Purković, J.; Filipović, D.; Šećerov, V. Biothermal conditions on Mt. Zlatibor based on thermophysiological indices. Arch. Biol. Sci. 2017, 69, 455–461. [Google Scholar] [CrossRef]
- Matzarakis, A.; Amelung, B. Physiological equivalent temperature as indicator for impacts of climate change on thermal comfort of humans. In Seasonal Forecasts, Climatic Change and Human Health; Springer: Berlin/Heidelberg, Germany, 2008; pp. 161–172. [Google Scholar]
- Matzarakis, A. Comments about Urban Bioclimate Aspects for Consideration in Urban Climate and Planning Issues in the Era of Climate Change. Atmosphere 2021, 12, 546. [Google Scholar] [CrossRef]
- Oke, T.R. The Energetic Basis of the Urban Heat Island. Q. J. R. Meteorol. Soc. 1982, 108, 1–24. [Google Scholar] [CrossRef]
- Staiger, H.; Laschewski, G.; Matzarakis, A. Selection of Appropriate Thermal Indices for Applications in Human Biometeorological Studies. Atmosphere 2019, 10, 18. [Google Scholar] [CrossRef] [Green Version]
- Mayer, H.; Höppe, P. Thermal comfort of man in different urban environments. Theor. Appl. Climatol. 1987, 38, 43–49. [Google Scholar] [CrossRef]
- Matzarakis, A.; Mayer, H.; Iziomon, M.G. Applications of a universal thermal index: Physiological equivalent temperature. Int. J. Biometeorol. 1999, 43, 76–84. [Google Scholar] [CrossRef] [PubMed]
- Höppe, P.R. The physiological equivalent temperature—A universal index for the bioclimatological assessment of the thermal environment. Int. J. Biometeorol. 1999, 4, 71–75. [Google Scholar]
- Chen, Y.C.; Matzarakis, A. Modified physiologically equivalent temperature—Basics and applications for western European climate. Theor. Appl. Climatol. 2018, 132, 1275–1289. [Google Scholar] [CrossRef]
- Lin, T.P.; Yang, S.R.; Chen, Y.C.; Matzarakis, A. The potential of a modified physologically equivalent temperature (mPET) based on local thermal comfort perception in hot and humid regions. Theor. Appl. Climatol. 2019, 135, 873–876. [Google Scholar] [CrossRef]
- Chen, Y.C.; Chen, W.N.; Chou, C.C.K.; Andreas, M. Concepts and New Implements for Modified Physiologically Equivalent Temperature. Atmosphere 2020, 11, 694. [Google Scholar] [CrossRef]
- Jendritzky, G.; de Dear, R.; Havenith, G. UTCI—Why another thermal index? Int. J. Biometeorol. 2012, 56, 421–428. [Google Scholar] [CrossRef] [Green Version]
- Błażejczyk, K.; Bröde, P.; Fiala, D.; Havenith, G.; Holmér, I.; Jendritzky, G.; Kampmann, B.; Kunert, A. Principles of the new universal thermal climate index (UTCI) and its application to bioclimatic research in European scale. Misc. Geogr. 2010, 14, 91–102. [Google Scholar] [CrossRef] [Green Version]
- Nemeth, A. Changing thermal bioclimate in some Hungarian cities. Acta Climatol. Chorol. 2011, 44, 93–101. [Google Scholar]
- Nastos, P.T.; Matzarakis, A. The effect of air temperature and human thermal indices on mortality in Athens, Greece. Theor. Appl. Climatol. 2012, 108, 591–599. [Google Scholar] [CrossRef]
- Milewski, P. Application of the UTCI to the local bioclimate of Poland’s Ziemia Kłodzka Region. Geogr. Pol. 2013, 86, 47–54. [Google Scholar] [CrossRef] [Green Version]
- Błażejczyk, K.; Kuchcik, M.; Błażejczyk, A.; Milewski, P.; Szmyd, J. Assessment of urban thermal stress by UTCI—Experimental and modelling studies: An example from Poland. Die Erde J. Geogr. Soc. Berl. 2014, 145, 16–33. [Google Scholar] [CrossRef]
- Matzarakis, A.; Muthers, S.; Rutz, F. Application and comparison of UTCI and PET in temperate climate conditions. Finisterra 2014, 49, 21–31. [Google Scholar] [CrossRef]
- Bleta, A.; Nastos, P.; Matzarakis, A. Assessment of bioclimatic conditions on Crete Island, Greece. Reg. Environ. Chang. 2014, 14, 1967–1981. [Google Scholar] [CrossRef]
- Urban, A.; Kyselý, J. Comparison of UTCI with other thermal indices in the assessment of heat and cold effects on cardiovascular mortality in the Czech Republic. Int. J. Environ. Res. Public Health 2014, 11, 952–967. [Google Scholar] [CrossRef] [PubMed] [Green Version]
- Burkart, K.; Meier, F.; Schneider, A.; Breitner, S.; Canário, P.; Alcoforado, M.J.; Scherer, D.; Endlicher, W. Modification of heat-related mortality in an elderly urban population by vegetation (urban green) and proximity to water (urban blue): Evidence from Lisbon, Portugal. Environ. Health Perspect. 2016, 124, 927–934. [Google Scholar] [CrossRef] [PubMed] [Green Version]
- Kolendowicz, L.; Półrolniczak, M.; Szyga-Pluta, K.; Bednorz, E. Human-biometeorological conditions in the southern Baltic coast based on the universal thermal climate index (UTCI). Theor. Appl. Climatol. 2018, 134, 363–379. [Google Scholar] [CrossRef] [Green Version]
- Di Napoli, C.; Pappenberg, F.; Cloke, H.L. Assessing heat-related health risk in Europe via the Universal Thermal Climate Index (UTCI). Int. J. Biometeorol. 2018, 62, 1155–1165. [Google Scholar] [CrossRef] [Green Version]
- Di Napoli, C.; Pappenberger, F.; Cloke, H.C. Verification of Heat Stress Thresholds for Health-Based Heat-Wave Definition. J. Appl. Meteorol. Clim. 2019, 50, 1177–1194. [Google Scholar] [CrossRef]
- Vinogradova, V. Using the Universal Thermal Climate Index (UTCI) for the assessment of bioclimatic conditions in Russia. Int. J. Biometeorol. 2020. [Google Scholar] [CrossRef]
- Bröde, P.; Krüger, E.L.; Rossi, F.A.; Fiala, D. Predicting urban outdoor thermal comfort by the Universal Thermal Climate Index UTCI—A case study in Southern Brasil. Int. J. Biometeorol. 2011, 56, 471–480. [Google Scholar] [CrossRef]
- Vatani, J.; Golbabaei, F.; Dehghan, S.F.; Yousefi, A. Applicability of Universal Thermal Climate Index (UTCI) in occupational heat stress assessment: A case study in brick industries. Ind. Health 2016, 54, 14–19. [Google Scholar] [CrossRef] [PubMed] [Green Version]
- Baghideh, M.; Sabzevari, H.; Shekari badi, A.; Shojaee, T. Evaluation of human thermal comfort using UTCI index: Case study Khorasan Razavi, Iran. Nat. Environ. Chang. 2016, 2, 165–175. [Google Scholar]
- Dash, S.K.; Dey, S.; Salunke, P.; Dalal, M.; Saraswat, V.; Chowdhury, S.; Choudhary, R.K. Comparative Study of Heat Indices in India Based on Observed and model Simulated Data. Curr. World Environ. 2017, 12, 504–520. [Google Scholar] [CrossRef]
- Ge, Q.; Kong, Q.; Xi, J.; Zheng, J. Application of UTCI in China from tourism perspecyive. Theor. Appl. Climatol. 2016, 128, 551–561. [Google Scholar] [CrossRef]
- Ohashi, Y.; Katsuta, T.; Tani, H.; Okabayashi, T.; Miyahara, S.; Miyashita, R. Human cold stress of strong local-wind “Hijikawa-arashi” in Japan, based on the UTCI index and thermophysiological response. Int. J. Biometeorol. 2018, 62, 1241–1250. [Google Scholar] [CrossRef] [PubMed]
- Pappenberger, F.; Jendritzky, G.; Staiger, H.; Dutra, E.; Di Giuseppe, F.; Richardson, D.S.; Cloke, H.L. Global forecasting of thermal health hazards: The skill of probabilistic predictions of the Universal Thermal Climate Index (UTCI). Int. J. Biometeorol. 2015, 59, 311–323. [Google Scholar] [CrossRef] [Green Version]
- Milovanović, B.; Radovanović, M.; Ducić, V.; Milivojević, M. Climate regionalization of Serbia according to Köppen climate classification. J. Geogr. Inst. Cvijic 2017, 67, 103–114. [Google Scholar] [CrossRef] [Green Version]
- Statistical Office of the Republic of Serbia. Comparative Overview of the Population 1948–2011. Census of Population, Households and Dwellings in 2011; Statistical Office of the Republic of Serbia: Belgrade, Serbia, 2011; Volume 20.
- Kottek, M.; Greiser, J.; Beck, C.; Rudolf, B.; Rubel, F. World Map of the Koppen-Geiger Climate Classification Updated. Meteorol. Z. 2016, 15, 259–263. [Google Scholar] [CrossRef]
- Gburčik, V.; Gburčik, P.; Tošović, S. Ekološki Atlas Beograda (Environmental Atlas of Belgrade), Gradski Zavod za Zaštitu Zdravlja i Direkcija za Građevinsko Zemljište i Izgradnju Beograda (Eng. The City Institute for Public Health and The Belgrade Land Development Public Agency, Belgrade). 2002. Available online: http://www.beograd.rs/cir/city-authority/202199-belgrade-land-development-public-agency/ (accessed on 14 June 2020).
- VDI. VDI/DIN—Handbuch Reinhaltung der Luft. Band 1b. Environmental Meteorology, Methods for the Human-Biometeorological Evaluation of Climate and Air Quality for the Urban and Regional Planning at Regional Level—Part I: Climate; VDI: Düsseldorf, Germany, 1998. [Google Scholar]
- Matzarakis, A.; Rutz, F.; Mayer, H. Modelling radiation fluxes in simple and complex environments—Application of the RayMan model. Int. J. Biometeorol. 2007, 51, 323–334. [Google Scholar] [CrossRef]
- Matzarakis, A.; Rutz, F.; Mayer, H. Modelling radiation fluxes in simple and complex environments: Basics of the RayMan model. Int. J. Biometeorol. 2010, 54, 131–139. [Google Scholar] [CrossRef] [Green Version]
- Fiala, D.; Lomas, K.J.; Stohrer, M. Computer prediction of human thermoregulatory and temperature responses to a wide range of environmental conditions. Int. J. Biometeorol. 2001, 45, 143–159. [Google Scholar] [CrossRef]
- Glossary of Terms of Thermal Physiology. J. Therm. Biol. 2003, 28, 75–106. [CrossRef]
- Błażejczyk, K.; Jendritzky, G.; Brode, P.; Fiala, D.; Havenith, G.; Epstein, Y.; Psikuta, A.; Kampmann, B. An Introduction to the Universal Thermal Climate Indeks (UTCI). Geogr. Pol. 2013, 86, 5–10. [Google Scholar] [CrossRef] [Green Version]
- Błażejczyk, K.; Epstein, Y.; Jendritzky, G.; Henings, S.; Tinz, B. Comparison of UTCI to selected thermal indices. Int. J. Biometeorol. 2012, 56, 515–535. [Google Scholar] [CrossRef] [PubMed] [Green Version]
- Fiala, D.; Havenith, G.; Bröde, P.; Kampmann, B.; Jendritzky, G. UTCI-Fiala multi-node model of human heat transfer and temperature regulation. Int. J. Biometeorol. 2012, 56, 429–441. [Google Scholar] [CrossRef] [PubMed] [Green Version]
- Bröde, P.; Fiala, D.; Błażejczyk, K.; Holmér, I.; Jendritzki, G.; Kampmann, B.; Tinz, B.; Havenith, G. Deriving the operational procedure for the Universal Thermal Climte Index (UTCI). Int. J. Biometeorol. 2012, 56, 481–494. [Google Scholar] [CrossRef] [Green Version]
- Havenith, G.; Fiala, D.; Błazejczyk, K.; Richards, M.; Bröde, P.; Holmér, I.; Rintamaki, H.; Benshabat, Y.; Jendritzky, G. The UTCI-clothing model. Int. J. Biometeorol. 2012, 56, 461–470. [Google Scholar] [CrossRef] [Green Version]
- Błażejczyk, K. BioKlima—Universal Tool for Bioclimatic Thermophysiological Studies. Warszawa: Instytut Geografii I Przestrzennego Zagospodarowania, PAN. 2011. Available online: http://www.igipz.pan.pl/Bioklima-zgik.html (accessed on 14 June 2020).
- Bañuelos-Ruedas, F.; Camacho, C.Á. Methodologies Used in the Extrapolation of Wind Speed Data at Different Heights and its Impact in the Wind Energy Resource Assessment in a Region. In Wind Farm—Technical Regulations, Potential Estimation and Siting Assessment; Suvire, G.O., Ed.; InTech: Rijeka, Croatia, 2011. [Google Scholar]
- Kruger, E.; Bröde, P.; Emmanuel, R.; Fiala, D. The Changing Context of Comfort in an Unpredictable World. Predicting outdoor thermal sensation from two field studies in Curitiba, Brazil and Glasgow, UK using the Universal Thermal Climate Index (UTCI). In Proceedings of the Windsor Conference, Windsor, UK, 12–15 April 2012. [Google Scholar]
- Liu, W.; You, H.; Dou, J. Urban-rural humidity and temperature differences in the Beijing area. Theor. Appl. Climatol. 2009, 96, 201–207. [Google Scholar] [CrossRef]
- Stewart, I.D.; Oke, T.R. Local Climate Zones for Urban Temperature Studies. Bull. Am. Meteorol. Soc. 2012, 93, 1879–1900. [Google Scholar] [CrossRef]
- Milosević, D.; Savić, S.; Kresoja, M.; Lužanin, Z.; Šećerov, I.; Arsenović, D.; Dunjić, J.; Matzarakis, A. Analysis of air temperature dynamics in the “local climate zones” of Novi Sad (Serbia) based on long-term database from an urban meteorological network. Int. J. Biometeorol. 2021. [Google Scholar] [CrossRef]
- Savić, S.; Marković, V.; Šećerov, I.; Pavić, D.; Arsenović, D.; Milošević, D.; Dolinaj, D.; Nagy, I.; Pantelić, M. Heat wave risk assessment and mapping in urban areas: Case study for a midsized central European city, Novi Sad (Serbia). Nat. Hazards 2018, 91, 891–911. [Google Scholar] [CrossRef]






| PET (°C) | Grade of Physiological Stress | Abbr. | UTCI (°C) | Grade of Physiological Stress | Abbr. |
|---|---|---|---|---|---|
| >41 | extreme heat stress | EHS | >46 | extreme heat stress | EHS |
| 35 to 41 | strong heat stress | SHS | 38 to 46 | very strong heat stress | VSHS |
| 29 to 35 | moderate heat stress | MHS | 32 to 38 | strong heat stress | SHS |
| 23 to 29 | slight heat stress | SLHS | 26 to 32 | moderate heat stress | MHS |
| 18 to 23 | no thermal stress | NTS | 9 to 26 | no thermal stress | NTS |
| 13 to 18 | slight cold stress | SLCS | 0 to 9 | slight cold stress | SLCS |
| 8 to 13 | moderate cold stress | MCS | 0 to −13 | moderate cold stress | MCS |
| 4 to 8 | strong cold stress | SCS | −13 to −27 | strong cold stress | SCS |
| <4 | extreme cold stress | ECS | −27 to −40 | very strong cold stress | VSCS |
| <−40 | extreme cold stress | ECS |
| Index/Month | Jan | Feb | Mar | Apr | May | Jun | July | Aug | Sep | Oct | Nov | Dec | Year |
| PET_BG | 5.2 | 5.7 | 8.7 | 13.3 | 17.7 | 20.7 | 21.9 | 21.5 | 17.9 | 13.5 | 9.4 | 6.5 | 13.5 |
| PET_SU | 4.4 | 4.3 | 7.5 | 11.9 | 16.9 | 19.9 | 21.5 | 21 | 17.4 | 13 | 8.8 | 5.3 | 12.7 |
| Index/Month | Jan | Feb | Mar | Apr | May | Jun | July | Aug | Sep | Oct | Nov | Dec | Year |
| mPET BG | 8.6 | 9 | 11.6 | 15.5 | 19.2 | 21.8 | 22.9 | 22.5 | 19.4 | 15.8 | 12.3 | 9.8 | 15.7 |
| mPET SU | 7.8 | 7.7 | 10.5 | 14.3 | 18.5 | 21.2 | 22.5 | 22.2 | 19.1 | 15.3 | 11.7 | 8.7 | 15 |
| Index/Month | Jan | Feb | Mar | Apr | May | Jun | July | Aug | Sep | Oct | Nov | Dec | Year |
| UTCI BG | −2.1 | −0.5 | 5.7 | 13.8 | 20.7 | 25.2 | 26.6 | 25.7 | 20.3 | 12.8 | 5 | −0.4 | 12.7 |
| UTCI SU | −4.1 | −3.4 | 3.2 | 11.3 | 19.4 | 23.9 | 26 | 25.3 | 19.8 | 11.9 | 3.7 | −3 | 11.2 |
| Index/Month | Jan | Feb | Mar | Apr | May | Jun | July | Aug | Sep | Oct | Nov | Dec | Year |
| tmin BG | −1 | 0.2 | 3.9 | 8.4 | 12.9 | 16 | 17.6 | 17.6 | 13.6 | 9.1 | 4.4 | 0.4 | 8.6 |
| tmin SU | −2.6 | −1.4 | 2.3 | 6.8 | 11.6 | 14.7 | 16.2 | 16 | 12.2 | 7.6 | 2.9 | −1.1 | 7.1 |
| Index/Month | Jan | Feb | Mar | Apr | May | Jun | July | Aug | Sep | Oct | Nov | Dec | Year |
| PET BG | 7.2 | 8.3 | 12.6 | 17.3 | 22 | 24.9 | 27 | 27.2 | 23.1 | 18.2 | 12.4 | 8.2 | 17.4 |
| PET SU | 6.6 | 7.4 | 11.6 | 16.3 | 21.2 | 24.2 | 26.4 | 26.7 | 22.4 | 17.7 | 11.9 | 7.4 | 16.6 |
| Index/Month | Jan | Feb | Mar | Apr | May | Jun | July | Aug | Sep | Oct | Nov | Dec | Year |
| mPET BG | 10.2 | 11.1 | 14.5 | 18.3 | 22.3 | 25 | 26.7 | 26.9 | 23.4 | 19.3 | 14.5 | 11.1 | 18.6 |
| mPET SU | 9.6 | 10 | 13.4 | 17.3 | 21.6 | 24.3 | 26.1 | 26.4 | 22.7 | 18.7 | 14 | 10.3 | 17.9 |
| Index/Month | Jan | Feb | Mar | Apr | May | Jun | July | Aug | Sep | Oct | Nov | Dec | Year |
| UTCI BG | 0.7 | 3 | 10.4 | 18.3 | 25.3 | 29.3 | 31.7 | 31.7 | 26.2 | 18.7 | 9.1 | 1.9 | 17.2 |
| UTCI SU | −1.5 | 0 | 7.1 | 15.5 | 23.7 | 27.9 | 30.6 | 30.8 | 24.8 | 17.1 | 7.3 | −0.4 | 15.2 |
| Index/Month | Jan | Feb | Mar | Apr | May | Jun | July | Aug | Sep | Oct | Nov | Dec | Year |
| BG tmax | 4.8 | 7.1 | 12.7 | 18.1 | 23.3 | 26.3 | 28.6 | 28.7 | 23.9 | 18.4 | 11.3 | 6 | 17.4 |
| SU tmax | 4.2 | 6.7 | 12.5 | 17.8 | 22.9 | 26.1 | 28.4 | 28.5 | 23.8 | 18.2 | 11 | 5.4 | 17.1 |
| Index/Season 7 h | PET BG | PET SU | mPET BG | mPET SU | UTCI BG | UTCI SU | tmin BG | tmin SU |
| Winter | 6.5 | 5.4 | 9.7 | 8.7 | 1 | −1.4 | 1 | −0.6 |
| Spring | 17.2 | 16.2 | 18.8 | 18 | 19.9 | 18.2 | 12.4 | 11 |
| Summer | 21.4 | 20.4 | 21.6 | 21.3 | 24.2 | 23.7 | 16.3 | 14.8 |
| Autumn | 9.8 | 9 | 12.6 | 11.9 | 5.8 | 4.2 | 4.6 | 3.1 |
| Index/Season 14 h | PET BG | PET SU | mPET BG | mPET SU | UTCI BG | UTCI SU | tmax BG | tmax SU |
| Winter | 9.4 | 8.5 | 11.9 | 11 | 4.7 | 1.9 | 8.2 | 7.8 |
| Spring | 21.4 | 20.6 | 21.9 | 21.1 | 24.3 | 22.4 | 22.6 | 22.3 |
| Summer | 25.8 | 25.2 | 25.7 | 25.1 | 29.9 | 28.7 | 27.1 | 26.9 |
| Autumn | 12.9 | 12.3 | 15 | 14.3 | 9.9 | 8 | 11.5 | 11.5 |
Publisher’s Note: MDPI stays neutral with regard to jurisdictional claims in published maps and institutional affiliations. |
© 2021 by the authors. Licensee MDPI, Basel, Switzerland. This article is an open access article distributed under the terms and conditions of the Creative Commons Attribution (CC BY) license (https://creativecommons.org/licenses/by/4.0/).
Share and Cite
Pecelj, M.; Matzarakis, A.; Vujadinović, M.; Radovanović, M.; Vagić, N.; Đurić, D.; Cvetkovic, M. Temporal Analysis of Urban-Suburban PET, mPET and UTCI Indices in Belgrade (Serbia). Atmosphere 2021, 12, 916. https://doi.org/10.3390/atmos12070916
Pecelj M, Matzarakis A, Vujadinović M, Radovanović M, Vagić N, Đurić D, Cvetkovic M. Temporal Analysis of Urban-Suburban PET, mPET and UTCI Indices in Belgrade (Serbia). Atmosphere. 2021; 12(7):916. https://doi.org/10.3390/atmos12070916
Chicago/Turabian StylePecelj, Milica, Andreas Matzarakis, Mirjam Vujadinović, Milan Radovanović, Nemanja Vagić, Dijana Đurić, and Milena Cvetkovic. 2021. "Temporal Analysis of Urban-Suburban PET, mPET and UTCI Indices in Belgrade (Serbia)" Atmosphere 12, no. 7: 916. https://doi.org/10.3390/atmos12070916
APA StylePecelj, M., Matzarakis, A., Vujadinović, M., Radovanović, M., Vagić, N., Đurić, D., & Cvetkovic, M. (2021). Temporal Analysis of Urban-Suburban PET, mPET and UTCI Indices in Belgrade (Serbia). Atmosphere, 12(7), 916. https://doi.org/10.3390/atmos12070916

