Comparison of GRUAN RS92 and RS41 Radiosonde Temperature Biases
Abstract
1. Introduction
2. Dataset Overview
2.1. GRUAN Radiosonde Datasets
2.2. Radio Occultation Datasets
2.3. ECMWF ERA5
3. Methodology
3.1. Mandatory Pressure Level
3.2. Collocation Pair Extraction
3.3. Temperature Difference Calculation
4. Comparison Results and Analysis between GRUAN RS41 and RS92
4.1. Direct Comparison between GRUAN RS41 and RS92 Using Dual Launch Data
4.1.1. Analysis of Difference between RS41.EDT.1 and RS92.EDT.1
4.1.2. Analysis of Difference between RS41.GDP.2 and RS92.GDP.2
4.2. Comparison between RS41.EDT.1 and RS92.EDT.1 Using Double Difference
4.2.1. Comparison between RS41.EDT.1 and RS92.EDT.1 through RO
4.2.2. Comparison between RS92.EDT.1 and RS41.EDT.1 through ECMWF
4.2.3. Double Differences between RS92.EDT.1 and RS41.EDT.1
4.3. Comparison between RS92.GDP.2 and RS41.GDP.2 Using Double Difference
4.3.1. Comparison between RS92.GDP.2 and RS41.GDP.2 through RO
4.3.2. Comparison between RS92.GDP.2 and RS41.GDP.2 through ECMWF
4.3.3. Double Differences between RS92.GDP.2 and RS41.GDP.2
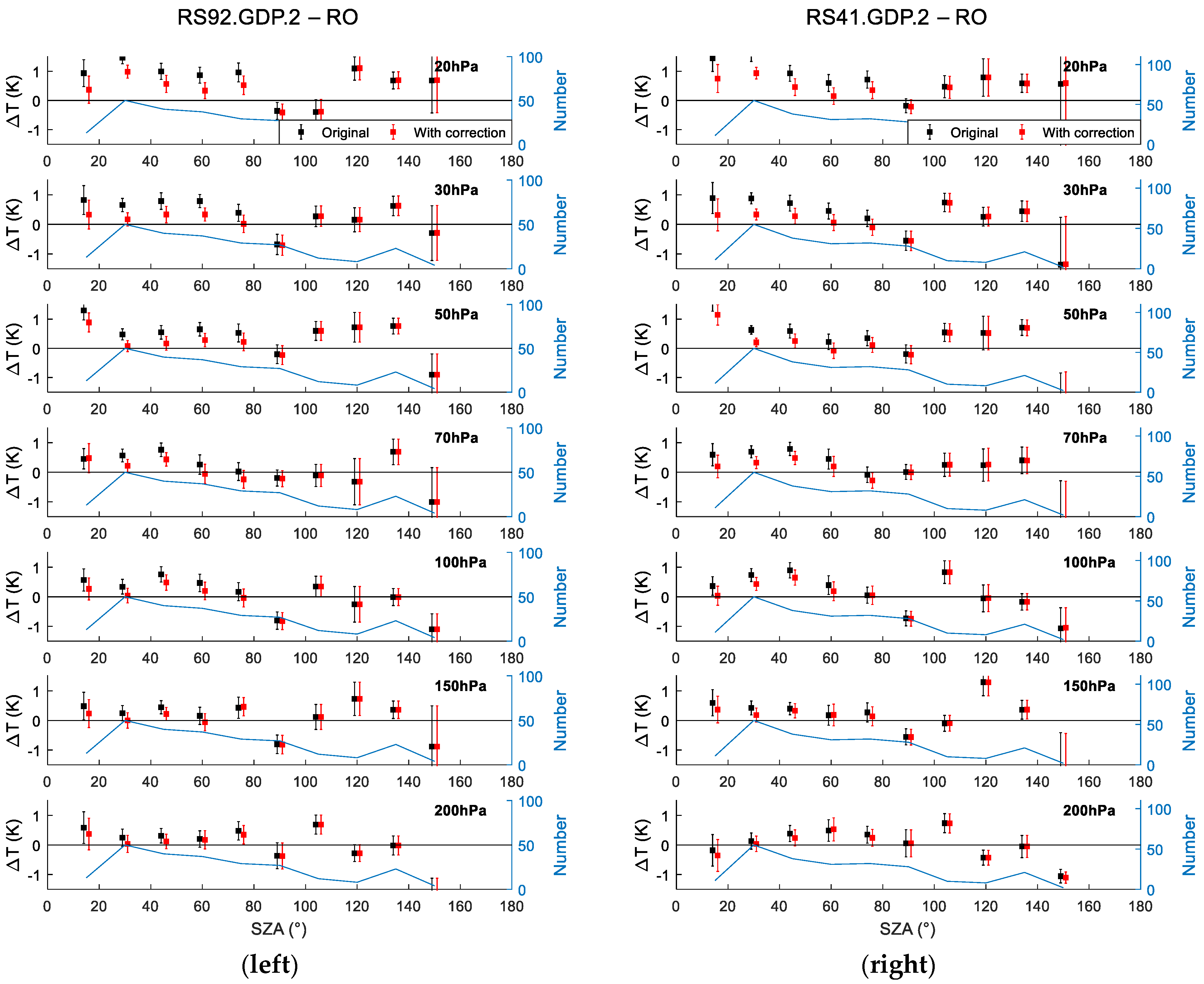
5. GRUAN Correction Factor Evaluation
5.1. SZA-Dependency Correction Factor for GRUAN Products
5.2. Pressure Level-Dependence Correction Factor for GRUAN Products
6. Discussion and Conclusions
Author Contributions
Funding
Institutional Review Board Statement
Informed Consent Statement
Data Availability Statement
Conflicts of Interest
References
- Vaisala. CAL4 Calibration Machine Traceability and Uncertainty; Technical Document DOC210645; Vaisala: Vantaa, Finland, 2002. [Google Scholar]
- Dirksen, R.J.; Sommer, M.; Immler, F.J.; Hurst, D.F.; Kivi, R.; Vömel, H. Reference quality upper-air measurements: GRUAN data processing for the Vaisala RS92 radiosonde. Atmos. Meas. Tech. 2014, 7, 4463–4490. [Google Scholar] [CrossRef]
- Immler, F.J.; Dykema, J.; Gardiner, T.; Whiteman, D.N.; Thorne, P.W.; Vömel, H. Reference Quality Upper-Air Measurements: Guidance for developing GRUAN data products. Atmos. Meas. Tech. 2010, 3, 1217–1231. [Google Scholar] [CrossRef]
- Sommer, M.; Dirksen, R.; Rohden, C.V. Brief Description of the Rs92 Gruan Data Product (Rs92-Gdp); GRUAN Lead Centre: Lindenberg, Germany, 2016. [Google Scholar]
- Jauhiainen, H.; Lentonen, J.; Survo, P.; Lehtinen, R.; Pietari, T. The implications of Vaisala’s new radiosonde RS41 on improved in-situ observations for meteorological applications. In Proceedings of the AMS Annual Meeting, Atlanta, GA, USA, 2–6 February 2014. [Google Scholar]
- Kawai, Y.; Katsumata, M.; Oshima, K.; Hori, M.E.; Inoue, J. Comparison of Vaisala radiosondes RS41 and RS92 launched over the oceans from the Arctic to the tropics. Atmos. Meas. Tech. 2017, 10, 2485–2498. [Google Scholar] [CrossRef]
- Sun, B.; Reale, T.; Schroeder, S.; Pettey, M.; Smith, R. On the Accuracy of Vaisala RS41 versus RS92 Upper-Air Temperature Observations. J. Atmos. Ocean. Technol. 2019, 36, 635–653. [Google Scholar] [CrossRef]
- Jauhiainen, H.; Survo, P.; Lehtinen, R.; Lentonen, J. Radiosonde RS41 and RS92 key differences and comparison test results in different locations and climates. In Proceedings of the TECO-2014, WMO Technical Conference on Meteorological and Environmental Instruments and Methods of Observations, Saint Petersburg, Russia, 7–9 July 2014. [Google Scholar]
- Jensen, M.P.; Holdridge, D.J.; Survo, P.; Lehtinen, R.; Baxter, S.; Toto, T.; Johnson, K.L. Comparison of Vaisala radiosondes RS41 and RS92 at the ARM Southern Great Plains site. Atmos. Meas. Tech. 2016, 9, 3115–3129. [Google Scholar] [CrossRef]
- Ingleby, B. An Assessment of Different Radiosonde Types 2015/2016; European Centre for Medium Range Weather Forecasts: Reading, UK, 2017. [Google Scholar]
- Miloshevich, L.M.; Vömel, H.; Whiteman, D.N.; Leblanc, T. Accuracy assessment and correction of Vaisala RS92 radiosonde water vapor measurements. J. Geophys. Res. Space Phys. 2009, 114. [Google Scholar] [CrossRef]
- Edwards, D.; Anderson, G.; Oakley, T.; Gault, P. Met Office Intercomparison of Vaisala RS92 and RS41 Radiosondes. Technical Reports. UKMO. 2008. Available online: https://www.readkong.com/page/met-office-intercomparison-of-vaisala-rs92-and-rs41-5817991 (accessed on 29 July 2020).
- Vaisala. Vaisala Radiosonde RS92 Performance in the WMO Intercomparison of High Quality Radiosonde Systems. Vaisala White Paper May 2013; Vaisala: Vantaa, Finland, 2013. [Google Scholar]
- Vaisala. Vaisala Radiosonde RS41 Measurement Performance. Vaisala White Paper; Vaisala: Vantaa, Finland, 2013. [Google Scholar]
- GRUAN Communication Platform. Available online: https://gruan.wordpress.com/2011/05/26/software-version-missing-as-meta-data/ (accessed on 15 June 2021).
- Luers, J.K. Estimating the Temperature Error of the Radiosonde Rod Thermistor under Different Environments. J. Atmos. Ocean. Technol. 1990, 7, 882–895. [Google Scholar] [CrossRef]
- Kuo, Y.-H.; Wee, T.-K.; Sokolovskiy, S.; Rocken, C.; Schreiner, W.; Hunt, D.; Anthes, R. Inversion and Error Estimation of GPS Radio Occultation Data. J. Meteorol. Soc. Jpn. 2004, 82, 507–531. [Google Scholar] [CrossRef]
- Ho, S.-P.; Goldberg, M.; Kuo, Y.-H.; Zou, C.-Z.; Shiau, W. Calibration of Temperature in the Lower Stratosphere from Microwave Measurements Using COSMIC Radio Occultation Data: Preliminary Results. Terr. Atmos. Ocean. Sci. 2009, 20, 87. [Google Scholar] [CrossRef]
- Yunck, T.P.; Liu, C.-H.; Ware, R. A History of GPS Sounding. TAO 1999, 11, 1–20. [Google Scholar] [CrossRef][Green Version]
- Steiner, A.K.; Kirchengast, G.; Ladreiter, H.P. Inversion, error analysis, and validation of GPS/MET occultation data. In Annales Geophysicae; Springer: Berlin, Germany, 1998; Volume 17, pp. 122–138. [Google Scholar]
- Hajj, G.A.; Lee, L.C.; Pi, X.; Romans, L.J.; Schreiner, W.S.; Straus, P.R.; Wang, C. COSMIC GPS Ionospheric Sensing and Space Weather. Terr. Atmos. Ocean. Sci. 2000, 11, 235. [Google Scholar] [CrossRef]
- Kursinski, E.R.; Hajj, G.A.; Bertiger, W.I.; Leroy, S.S.; Meehan, T.K.; Romans, L.J.; Schofield, J.T.; Nagatani, R.N. Initial results of radio occultation observations of Earth’s atmosphere using the Global Positioning System. Science 1996, 271, 1107–1110. [Google Scholar] [CrossRef]
- Wang, B.R.; Liu, X.Y.; Wang, J.K. Assessment of COSMIC radio occultation retrieval product using global radiosonde data. Atmos. Meas. Tech. 2013, 6, 1073–1083. [Google Scholar] [CrossRef]
- Anthes, R.A.; Bernhardt, P.A.; Chen, Y.; Cucurull, L.; Dymond, K.F.; Ector, D.; Healy, S.B.; Ho, S.P.; Hunt, D.C.; Kuo, Y.H.; et al. The COSMIC/FORMOSAT-3 mission: Early results. Bull. Am. Meteorol. Soc. 2008, 89, 313–334. [Google Scholar] [CrossRef]
- Ho, S.-P.; Hunt, D.; Steiner, A.; Mannucci, A.J.; Kirchengast, G.; Gleisner, H.; Heise, S.; Von Engeln, A.; Marquardt, C.; Sokolovskiy, S.; et al. Reproducibility of GPS radio occultation data for climate monitoring: Profile-to-profile inter-comparison of CHAMP climate records 2002 to 2008 from six data centers. J. Geophys. Res. Space Phys. 2012, 117. [Google Scholar] [CrossRef]
- Ho, S.-P.; Zhou, X.; Kuo, Y.-H.; Hunt, D.; Wang, J.-H. Global Evaluation of Radiosonde Water Vapor Systematic Biases using GPS Radio Occultation from COSMIC and ECMWF Analysis. Remote Sens. 2010, 2, 1320–1330. [Google Scholar] [CrossRef]
- Schreiner, W.; Sokolovskiy, S.; Hunt, D.; Rocken, C.; Kuo, Y.H. Analysis of GPS radio occultation data from the FORMOSAT-3/COSMIC and Metop/GRAS missions at CDAAC. Atmos. Meas. Tech. 2011, 4, 2255–2272. [Google Scholar] [CrossRef]
- Hersbach, H.; Bell, B.; Berrisford, P.; Hirahara, S.; Horányi, A.; Muñoz-Sabater, J.; Thépaut, J.N. The ERA5 global reanalysis. Q. J. R. Meteorol. Soc. 2020, 146, 1999–2049. [Google Scholar] [CrossRef]
- Auligné, T.; McNally, A.P.; Dee, D. Adaptive bias correction for satellite data in a numerical weather prediction system. Q. J. R. Meteorol. Soc. 2007, 133, 631–642. [Google Scholar] [CrossRef]
- Dirksen, R.J.; Bodeker, G.E.; Thorne, P.W.; Merlone, A.; Reale, T.; Wang, J.; Hurst, D.F.; Demoz, B.B.; Gardiner, T.D.; Ingleby, B.; et al. Managing the transition from Vaisala RS92 to RS41 radiosondes within the Global Climate Observing System Reference Upper-Air Network (GRUAN): A progress report. Geosci. Instrum. Methods Data Syst. 2020, 9, 337–355. [Google Scholar] [CrossRef]
- Smith, E.K.; Weintraub, S. The constants in the equation for atmospheric refractive index at radio frequencies. Proc. IRE 1953, 41, 1035–1037. [Google Scholar] [CrossRef]
- Kursinski, E.R.; Hajj, G.A.; Schofield, J.T.; Linfield, R.P.; Hardy, K.R. Observing Earth’s atmosphere with radio occultation measurements using the Global Positioning System. J. Geophys. Res. Atmos. 1997, 102, 23429–23465. [Google Scholar] [CrossRef]
- Hajj, G.A.; Ao, C.O.; Iijima, B.A.; Kuang, D.; Kursinski, E.R.; Mannucci, A.J.; Meehan, T.K.; Romans, L.J.; de La Torre Juarez, M.; Yunck, T.P. CHAMP and SAC-C atmospheric occultation results and intercomparisons. J. Geophys. Res. Atmos. 2004, 109. [Google Scholar] [CrossRef]
- Steiner, A.K.; Lackner, B.C.; Ladstädter, F.; Scherllin-Pirscher, B.; Foelsche, U.; Kirchengast, G. GPS radio occultation for climate monitoring and change detection. Radio Sci. 2011, 46, 1–17. [Google Scholar] [CrossRef]
- Kuo, Y.-H.; Schreiner, W.S.; Rossiter, D.L.; Wang, J.; Zhang, Y. Comparison of GPS radio occultation soundings with radiosondes. Geophys. Res. Lett. 2005, 32. [Google Scholar] [CrossRef]
- Ho, S.P.; Peng, L.; Vömel, H. Characterization of the long-term radiosonde temperature biases in the upper troposphere and lower stratosphere using COSMIC and Metop-A/GRAS data from 2006 to 2014. Atmos. Chem. Phys. 2017, 17, 4493–4511. [Google Scholar] [CrossRef]
- Dirksen, R. First analysis of RS92-RS41 GDP intercomparisons. In Proceedings of the 12th GRUAN Implementation and Coordination Meeting (ICM-12), Virtual, 16–20 November 2020. [Google Scholar]
- He, W.; Ho, S.-P.; Chen, H.; Zhou, X.; Hunt, D.; Kuo, Y.-H. Assessment of radiosonde temperature measurements in the upper troposphere and lower stratosphere using COSMIC radio occultation data. Geophys. Res. Lett. 2009, 36. [Google Scholar] [CrossRef]
- Sun, B.; Reale, A.; Seidel, D.J.; Hunt, D.C. Comparing radiosonde and COSMIC atmospheric profile data to quantify differences among radiosonde types and the effects of imperfect collocation on comparison statistics. J. Geophys. Res. Atmos. 2010, 115. [Google Scholar] [CrossRef]













| MISSION | Data Type/Data Version | Date | # of Station | # of Profile | T/ΔT (K) | Pressure Level | |
|---|---|---|---|---|---|---|---|
| GRUAN | RS92 | RS92-EDT.1 | 2014–2020 | 10 | 980 | T * | >2000 |
| RS92-GDP-BETA.2 | 2014–2020 | 10 | 798 | Tc **, ΔT *** | |||
| RS41 | RS41-EDT.1 | 2014–2020 | 10 | 979 | T | ||
| RS41-GDP-ALPHA.2 | 2014–2020 | 10 | 789 | T, ΔT | |||
| COSMIC | wetPrf | 2014–2020 | Global | 1,411,030 | T | 400 | |
| MetOp-A/-B/-C | 1,390,023 | T | |||||
| ECMWF | ERA5 | 2014–2020 | Global | Many millions | T | 37 |
| Pressure (hPa) | All-Day | Daytime | Night-Time |
|---|---|---|---|
| 20 | −0.217 ± 0.602 | −0.300 ± 0.648 | −0.107 ± 0.506 |
| 30 | −0.136 ± 0.473 | −0.166 ± 0.521 | −0.063 ± 0.367 |
| 50 | −0.057 ± 0.426 | −0.030 ± 0.431 | −0.078 ± 0.411 |
| 70 | −0.057 ± 0.332 | −0.042 ± 0.327 | −0.060 ± 0.321 |
| 100 | −0.030 ± 0.334 | −0.009 ± 0.299 | −0.020 ± 0.352 |
| 150 | −0.034 ± 0.268 | −0.018 ± 0.293 | −0.039 ± 0.246 |
| 200 | −0.034 ± 0.193 | −0.020 ± 0.203 | −0.036 ± 0.181 |
| Before Correction | |||
| Pressure (hPa) | All-Day | Daytime | Night-Time |
| 20 | −0.030 ± 0.433 | −0.004 ± 0.512 | −0.050 ± 0.309 |
| 30 | −0.015 ± 0.353 | 0.013 ± 0.413 | −0.047 ± 0.244 |
| 50 | −0.002 ± 0.277 | 0.036 ± 0.289 | −0.043 ± 0.243 |
| 70 | −0.014 ± 0.291 | 0.016 ± 0.302 | −0.043 ± 0.254 |
| 100 | −0.000 ± 0.250 | 0.036 ± 0.243 | −0.028 ± 0.221 |
| 150 | 0.006 ± 0.231 | 0.027 ± 0.225 | −0.022 ± 0.241 |
| 200 | −0.016 ± 0.242 | 0.018 ± 0.230 | −0.040 ± 0.251 |
| After Correction | |||
| Pressure (hPa) | All-Day | Daytime | Night-Time |
| 20 | −0.037 ± 0.411 | −0.023 ± 0.480 | −0.060 ± 0.307 |
| 30 | −0.013 ± 0.342 | 0.015 ± 0.397 | −0.053 ± 0.241 |
| 50 | 0.006 ± 0.277 | 0.044 ± 0.290 | −0.042 ± 0.237 |
| 70 | 0.001 ± 0.285 | 0.036 ± 0.294 | −0.039 ± 0.247 |
| 100 | 0.014 ± 0.238 | 0.055 ± 0.236 | −0.028 ± 0.210 |
| 150 | 0.020 ± 0.225 | 0.052 ± 0.219 | −0.025 ± 0.230 |
| 200 | 0.003 ± 0.242 | 0.048 ± 0.229 | −0.039 ± 0.250 |
| All-Day | Daytime | Night-Time | ||||
|---|---|---|---|---|---|---|
| Pressure (hPa) | RS92.EDT.1 | RS41.EDT.1 | RS92.EDT.1 | RS41.EDT.1 | RS92.EDT.1 | RS41.EDT.1 |
| 20 | 0.449 ± 1.669 | 0.170 ± 1.630 | 0.619 ± 1.650 | 0.264 ± 1.636 | 0.395 ± 1.682 | 0.219 ± 1.629 |
| 30 | 0.059 ± 1.528 | −0.073 ± 1.518 | 0.102 ± 1.519 | −0.033 ± 1.500 | 0.166 ± 1.489 | 0.024 ± 1.524 |
| 50 | 0.089 ± 1.400 | 0.059 ± 1.348 | 0.133 ± 1.376 | 0.079 ± 1.334 | 0.108 ± 1.545 | 0.121 ± 1.497 |
| 70 | 0.060 ± 1.605 | 0.018 ± 1.592 | 0.173 ± 1.545 | 0.117 ± 1.547 | 0.011 ± 1.697 | 0.030 ± 1.628 |
| 100 | −0.069 ± 1.572 | 0.012 ± 1.587 | 0.126 ± 1.621 | 0.168 ± 1.642 | −0.306 ± 1.410 | −0.200 ± 1.338 |
| 150 | 0.012 ± 1.635 | 0.032 ± 1.639 | 0.075 ± 1.635 | 0.092 ± 1.646 | 0.111 ± 1.525 | 0.123 ± 1.543 |
| 200 | 0.012 ± 1.796 | 0.013 ± 1.841 | 0.095 ± 1.835 | 0.118 ± 1.885 | −0.215 ± 1.447 | −0.215 ± 1.465 |
| Pressure (hPa) | All-Day | Daytime | Night-Time | ||||||
|---|---|---|---|---|---|---|---|---|---|
| Dual Launch | RO | ECMWF | Dual Launch | RO | ECMWF | Dual Launch | RO | ECMWF | |
| 20 | −0.217 | −0.279 | −0.218 | −0.300 | −0.355 | −0.283 | −0.107 | −0.176 | −0.136 |
| 30 | −0.136 | −0.132 | −0.148 | −0.166 | −0.135 | −0.200 | −0.063 | −0.143 | −0.038 |
| 50 | −0.057 | −0.029 | −0.057 | −0.030 | −0.053 | −0.026 | −0.078 | 0.013 | −0.077 |
| 70 | −0.057 | −0.043 | −0.084 | −0.042 | −0.056 | −0.067 | −0.060 | 0.018 | −0.096 |
| 100 | −0.030 | 0.080 | −0.026 | −0.009 | 0.042 | −0.006 | −0.020 | 0.106 | −0.030 |
| 150 | −0.034 | 0.020 | −0.034 | −0.018 | 0.018 | −0.025 | −0.039 | 0.012 | −0.031 |
| 200 | −0.034 | 0.002 | −0.039 | −0.020 | 0.023 | −0.021 | −0.036 | −0.001 | −0.043 |
| Original GDP.2 | ||||||
| All-day | Daytime | Night-time | ||||
| Pressure (hPa) | RS92.GDP.2 | RS41.GDP.2 | RS92.GDP.2 | RS41.GDP.2 | RS92.GDP.2 | RS41.GDP.2 |
| 20 | 0.763 ± 1.701 | 0.835 ± 1.569 | 1.108 ± 1.619 | 1.117 ± 1.545 | 0.358 ± 1.501 | 0.424 ± 1.513 |
| 30 | 0.435 ± 1.624 | 0.448 ± 1.567 | 0.656 ± 1.583 | 0.638 ± 1.542 | 0.198 ± 1.603 | 0.202 ± 1.567 |
| 50 | 0.412 ± 1.485 | 0.460 ± 1.398 | 0.607 ± 1.422 | 0.591 ± 1.371 | 0.396 ± 1.559 | 0.361 ± 1.570 |
| 70 | 0.292 ± 1.666 | 0.400 ± 1.574 | 0.505 ± 1.591 | 0.591 ± 1.504 | 0.102 ± 1.775 | 0.128 ± 1.642 |
| 100 | 0.145 ± 1.653 | 0.311 ± 1.575 | 0.482 ± 1.677 | 0.602 ± 1.594 | −0.199 ± 1.452 | −0.162 ± 1.389 |
| 150 | 0.183 ± 1.693 | 0.239 ± 1.603 | 0.351 ± 1.665 | 0.402 ± 1.590 | 0.080 ± 1.612 | 0.077 ± 1.499 |
| 200 | 0.166 ± 1.765 | 0.198 ± 1.849 | 0.314 ± 1.730 | 0.304 ± 1.804 | −0.187 ± 1.587 | −0.171 ± 1.570 |
| GRUAN-corrected GDP.2 | ||||||
| All-day | Daytime | Night-time | ||||
| Pressure (hPa) | RS92.GDP.2 | RS41.GDP.2 | RS92.GDP.2 | RS41.GDP.2 | RS92.GDP.2 | RS41.GDP.2 |
| 20 | 0.446 ± 1.689 | 0.480 ± 1.561 | 0.624 ± 1.681 | 0.602 ± 1.595 | 0.368 ± 1.501 | 0.416 ± 1.515 |
| 30 | 0.133 ± 1.596 | 0.132 ± 1.536 | 0.194 ± 1.585 | 0.174 ± 1.531 | 0.205 ± 1.603 | 0.203 ± 1.562 |
| 50 | 0.163 ± 1.467 | 0.209 ± 1.381 | 0.226 ± 1.425 | 0.226 ± 1.363 | 0.396 ± 1.559 | 0.355 ± 1.568 |
| 70 | 0.097 ± 1.674 | 0.188 ± 1.555 | 0.205 ± 1.626 | 0.276 ± 1.497 | 0.102 ± 1.775 | 0.132 ± 1.640 |
| 100 | −0.036 ± 1.622 | 0.158 ± 1.578 | 0.202 ± 1.675 | 0.342 ± 1.594 | −0.199 ± 1.452 | −0.156 ± 1.386 |
| 150 | 0.057 ± 1.659 | 0.146 ± 1.646 | 0.123 ± 1.665 | 0.265 ± 1.671 | 0.080 ± 1.612 | 0.080 ± 1.488 |
| 200 | 0.061 ± 1.780 | 0.132 ± 1.839 | 0.152 ± 1.767 | 0.213 ± 1.792 | −0.187 ± 1.587 | −0.175 ± 1.570 |
Publisher’s Note: MDPI stays neutral with regard to jurisdictional claims in published maps and institutional affiliations. |
© 2021 by the authors. Licensee MDPI, Basel, Switzerland. This article is an open access article distributed under the terms and conditions of the Creative Commons Attribution (CC BY) license (https://creativecommons.org/licenses/by/4.0/).
Share and Cite
Jing, X.; Shao, X.; Liu, T.-C.; Zhang, B. Comparison of GRUAN RS92 and RS41 Radiosonde Temperature Biases. Atmosphere 2021, 12, 857. https://doi.org/10.3390/atmos12070857
Jing X, Shao X, Liu T-C, Zhang B. Comparison of GRUAN RS92 and RS41 Radiosonde Temperature Biases. Atmosphere. 2021; 12(7):857. https://doi.org/10.3390/atmos12070857
Chicago/Turabian StyleJing, Xin, Xi Shao, Tung-Chang Liu, and Bin Zhang. 2021. "Comparison of GRUAN RS92 and RS41 Radiosonde Temperature Biases" Atmosphere 12, no. 7: 857. https://doi.org/10.3390/atmos12070857
APA StyleJing, X., Shao, X., Liu, T.-C., & Zhang, B. (2021). Comparison of GRUAN RS92 and RS41 Radiosonde Temperature Biases. Atmosphere, 12(7), 857. https://doi.org/10.3390/atmos12070857

