Heating and Cooling Degree-Days Climate Change Projections for Portugal
Abstract
1. Introduction
2. Materials and Methods
2.1. Study Area
2.2. Datasets and Bias Correction
2.3. Heating (HDD) and Cooling (CDD) Degree-Day
2.4. Geostatistical Techniques
2.5. Statistical Analysis
3. Results
3.1. Spatial Analysis of the Energy Indicators
3.2. Trend Analysis from 1971 Until 2070
3.3. Case Study: NUTS II Regions
4. Discussion and Conclusions
- 1)
- An assessment of the spatial distribution of the historical baseline climate 1971–2000 was made by the map based on the OK interpolated ensemble-means of HDD, CDD and HDD + CDD (Figure 5). Results show increasing higher HDD values towards the north-eastern regions (with values between 786 and 2755 °C × D per year), contrasting with the spatial distribution of CDD. This indicator, Figure 5b, shows a longitudinal contrast with increasing higher values in inner central to southern Portugal with values ranging from 9 °C × D per year in the vicinity of the coastal areas and mountains to 239 °C × D per year. These results point out a stronger influence of oceanity-continentality factors when comparing with HDD (Figure 5a), for which a latitudinal contrast is evident. Results also show that HDD(CDD) is higher(lower) in mountainous regions hinting at major(minor) energy demand to residential heating(cooling). The latitudinal and longitudinal gradients for HDD and CDD depicted are in clear accordance with the results attained by Spinoni et al. [11].
- 2)
- Results for HDD anomalies under both scenarios predict a decrease in heating energy demand for 2011–2040 (Figure 6a and Figure 7a) and 2041–2070 (Figure 6d and Figure 7d) throughout the country. This decrease is higher under RCP8.5 for which it is projected a decrease in heating energy demand. Results are consistent with previous studies’ outputs based on a different set of RCMs, such as Spinoni et al. [11]. Results also revealed that the overall HDD increase is higher inland, which was already depicted for 1971–2000, in regions with higher HDD values. An exception was found in Serra da Estrela, where the HDD values were higher in the past, but the projected future heating energy demands are not expected to increase in the same way than in other inner regions. Let us recall that this is the most elevated region in mainland Portugal, therefore the altitude might play a key role in this outcome.
- 3)
- Projected statistically significant trends in heating or cooling degree days per year (at a 5% significance level) were analyzed within each time-period and for the three indicators. The predicted negative trends of HDD for Portugal are significantly larger (absolute values) for 2041–2070 under RCP8.5 (Figure 9b) than under RCP4.5 (Figure 8b). These statistically significant HDD trends are more pronounced towards North for all periods, although with greater expression for 2041–2070 where values range from −13.5 to −6 °C × D per year under RCP8.5 and −9.9 to −2 °C × D per year under RCP4.5. Though statistically significant for the entire territory, between 2011–2070 and 1971–2070 these HDD linear trends are smaller(higher) in comparison with the 2041–2070 under RCP4.5(RCP8.5). Findings show that these trends’ overall spatial distribution points to a decrease of energy demand to heat internal environments in Portugal though higher in the northern-eastern regions, most significant under RCP8.5 (Figure 9a–c). Despite the methodological differences, these results are in clear accordance with the magnitude of the European Environmental Agency’s trends that can be consulted in the following website https://www.eea.europa.eu/data-and-maps/figures/projected-linear-trend-in-heating (accessed on 18 January 2021).
- 4)
- The analysis of the linear regression model of the area-mean values undertaken for 2041–2070 under RCP4.5 revealed a stronger correlation associated to an increasing trend for CDD under RCP4.5, in clear accordance with the results previously attained. These results hint at a statistically significant projected increase in the need for cooling energy demand for mainland Portugal for 2041–2070 under RCP4.5. Conversely, for both HDD and HDD + CDD weaker correlations are associated with projected decreasing linear trends found at a 95% confidence level. This points to a decrease in the need for heating energy demand.
- 5)
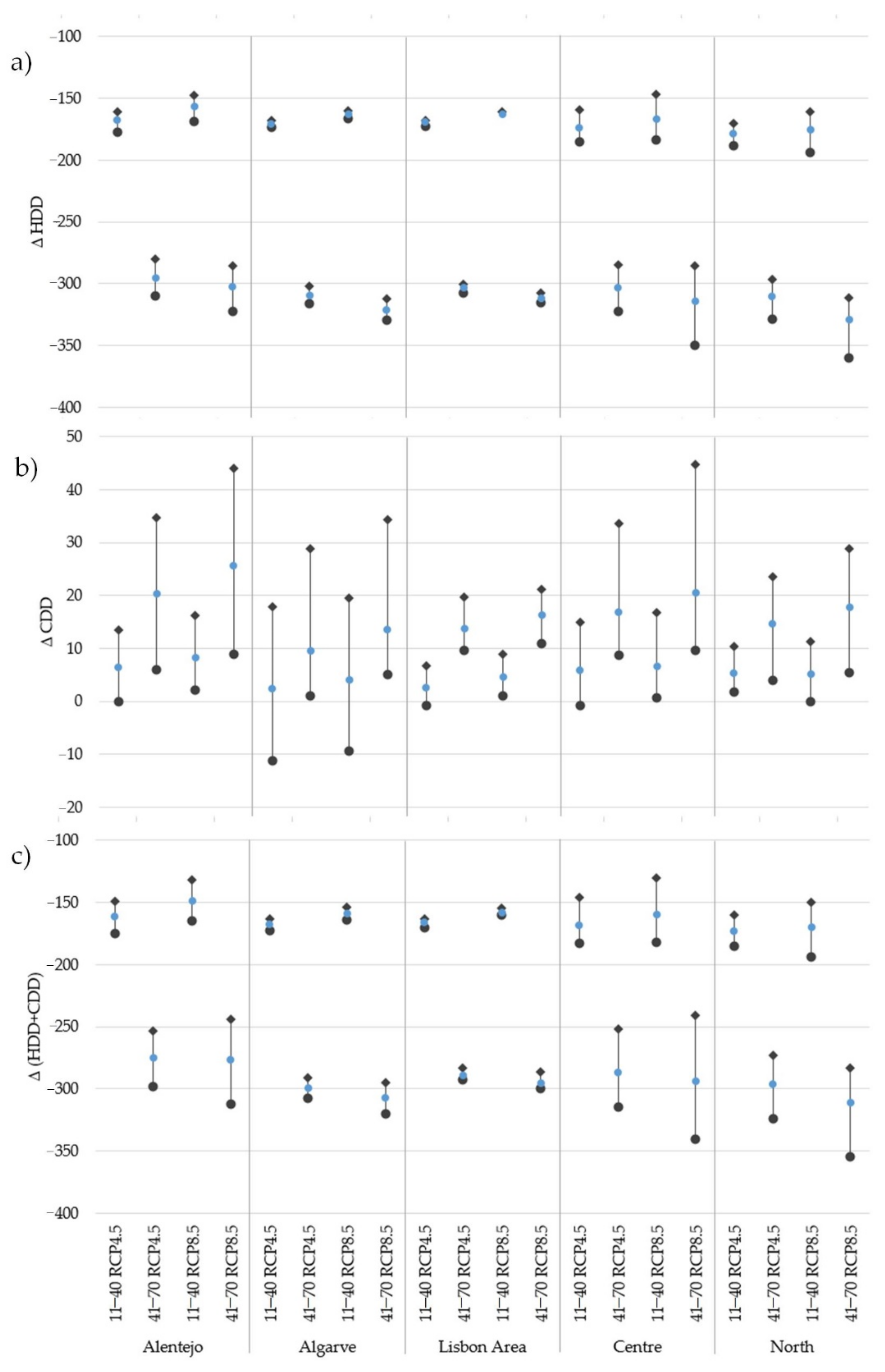
- The aggregation of regional changes in HDDs and CDDs to larger areas can be done using area weighting or population weighting (with a fixed population). Population weighting is desirable for assessing energy demand trends over large regions with uneven population distribution, such as Europe. However, due to the size of the study area, this methodology was not followed for Portugal. The case study analysis within the NUTS II region showed that regions with higher projected cooling or heating energy demands present higher increases under both RCPs until 2070. Overall, higher amplitudes were depicted for CDD anomalies in comparison with HDD and HDD + CDD anomalies. Lower HDD and HDD + CDD percentages were found for Algarve and Lisbon Area (LVT in Figure 1), hinting at maritime conditions’ influence to attenuate maximum and minimum temperature contrasts in the future. These amplitudes are predicted to be substantially higher for all indicators for 2041–2070, in which minor differences are projected for HDD and HDD + CDD (Figure 11a,c) and higher for CDD (Figure 11b) under RCP8.5. Results predict that all regions will present fewer heating energy demands for 2011–2040 when comparing with 2041–2070 under RCP8.5 (with higher negative anomalies). Conversely, for all regions, projections point out to lower energy demand for residential heating for both periods under RCP8.5.
- 6)
- For each location within the five NUTS II regions a comparison between the historical period 1971–2000 and 2011–2040 and 2041–2070 (under both RCPs) was undertaken. HDD results revealed higher negative percentages for 2041–2070 in comparison with 2011–2040; higher under RCP8.5 (Table 5). Within the five regions for 2041–2070 projections present major values in Algarve and LVT regions, with Faro, Lisboa, and Setúbal with the highest percentages, thus pointing out to a decrease in heating energy demand in these cities. Conversely, HDD anomalies projections reveal that for Bragança in North and Guarda in the Center major heating requirements under both RCPs by 2041–2070 (higher under RCP8.5) will be needed. These results that are quite similar for the ones attained for HDD + CDD anomaly percentages hint at the continentality and latitude as key factors for the heating energy demand, as expected. Still for this indicator, the Center and North regions are projected to present the lowest percentages within the five regions for 2041–2070 under RCP8.5. Like previously, for Bragança in North and Guarda in Center, the lowest percentages for HDD + CDD are projected. Lastly, regarding CDD, results predict positive anomalies, with higher percentages for 2041–2070 under RCP8.5. Highest percentages are projected to be located in the North and Center regions; namely, with predicted percentages above 30% in Bragança (under both RCPs), Viana do Castelo (under RCP8.5), Braga (under RCP8.5), Vila Real (under both RCPs, reaching 41.4% under RCP8.5), Porto (under RCP8.5), and Guarda (under RCP8.5) allow foreseeing an increase of cooling requirements for these cities. Conversely, results for 2041–2070 predict the lower CDD anomaly values to be in Algarve in the southernmost region of Portugal, with 5.3% (the lowest percentage) and 10.1%, under RCP4.5 and RCP8.5, respectively, predicted for the city of Faro.
Author Contributions
Funding
Institutional Review Board Statement
Informed Consent Statement
Data Availability Statement
Acknowledgments
Conflicts of Interest
References
- Andrade, C.; Contente, J. Climate change projections for the Worldwide Bioclimatic Classification System in the Iberian Peninsula until 2070. Int. J. Climatol. 2020, 40, 5863–5886. [Google Scholar] [CrossRef]
- Climate Change 2014: Synthesis Report. Contribution of Working Groups I, II and III to the Fifth Assessment Report of the Intergovernmental Panel on Climate Change; Pachauri, R.K., Meyer, L.A., Eds.; IPCC: Geneva, Switzerland, 2014; p. 151. [Google Scholar]
- Hoegh-Guldberg, O.; Jacob, D.; Bindi, M.; Brown, S.; Camilloni, I.; Diedhiou, A.; Djalante, R.; Ebi, K.; Engelbrecht, F.; Giout, J.; et al. Impacts of 1.5 °C global warming on natural and human systems. In Global Warming of 1.5 °C. An IPCC Special Report on the Impacts of Global Warming of 1.5 °C Above Pre-Industrial Levels and Related Global Greenhouse Gas Emission Pathways, in the Context of Strengthening the Global Response to the Threat of Climate Change, Sustainable Development, and Efforts to Eradicate Poverty; Masson-Delmotte, V., Zhai, P., Pörtner, H.O., Roberts, D., Skea, J., Shukla, P.R., Pirani, A., Moufouma-Okia, W., Péan, C., Pidcock, R., et al., Eds.; IPCC: Geneva, Switzerland, 2018. [Google Scholar]
- Santos, M.; Fonseca, A.; Fragoso, M.; Santos, J.A. Recent and future changes of precipitation extremes in mainland Portugal. Theor. Appl. Climatol. 2019, 137, 1305–1319. [Google Scholar] [CrossRef]
- Viceto, C.; Pereira, S.C.; Rocha, A. Climate Change Projections of Extreme Temperatures for the Iberian Peninsula. Atmosphere 2019, 10, 229. [Google Scholar] [CrossRef]
- Andrade, C.; Rodrigues, S.; Corte-Real, J.A. Preliminary assessment of flood hazard in Nabão River basin using an analytical hierarchy process. AIP Conf. Proc. 2018, 1978. [Google Scholar] [CrossRef]
- Diffenbaugh, N.S.; Giorgi, F. Climate change hotspots in the CMIP5 global climate model ensemble. Clim. Chang. 2012, 114, 813–822. [Google Scholar] [CrossRef] [PubMed]
- Andrade, C.; Fraga, H.; Santos, J.A. Climate change multi-model projections for temperature extremes in Portugal. Atmos. Sci. Lett. 2014, 15, 149–156. [Google Scholar] [CrossRef]
- Andargie, M.S.; Touchie, M.; O’Brien, W. A review of factors affecting occupant comfort in multi-unit residential buildings. Build. Environ. 2019, 160, 106182. [Google Scholar] [CrossRef]
- Fonseca, A.; Santos, J.A. High resolution temperature datasets in Portugal from a geostatistical approach: Variability and extremes. J. Appl. Meteor. 2018, 57, 627–644. [Google Scholar] [CrossRef]
- Spinoni, J.; Vogt, J.V.; Barbosa, P.; Dosio, A.; McCormick, N.; Bigano, A.; Füssel, H.-M. Changes of heating and cooling degree-days in Europe from 1981 to 2100. Int. J. Climatol. 2018, 38, e191–e208. [Google Scholar] [CrossRef]
- Yuan, S.; Stainsby, W.; Li, M.; Xu, K.; Waite, M.; Zimmerle, D.; Feiock, R.; Ramaswami, A.; Modi, V. Future energy scenarios with distributed technology options for residential city blocks in three climate regions of the United States. Appl. Energy 2019, 237, 60–69. [Google Scholar] [CrossRef]
- van Hooff, T.; Blocken, B.; Hensen, J.L.M.; Timmermans, H.J.P. On the predicted effectiveness of climate adaptation measures for residential buildings. Build. Environ. 2015, 83, 142–158. [Google Scholar] [CrossRef]
- Semmler, T.; McGrath, R.; Steele-Dunne, S.; Hanafin, J.; Nolan, P.; Wang, S. Influence of climate change on heating and cooling demand in Ireland. Int. J. Climatol. 2010, 30, 1502–1511. [Google Scholar] [CrossRef]
- Lee, K.; Baek, H.; Cho, C. The estimation of base temperature for heating and cooling degree-days for South Korea. J. Appl. Meteor. 2013, 53, 300–309. [Google Scholar] [CrossRef]
- Petri, Y.; Caldeira, K. Impacts of global warming on residential heating and cooling degree-days in the United States. Sci. Rep. 2015, 5, 12427. [Google Scholar] [CrossRef] [PubMed]
- Wang, H.; Chen, Q. Impacts of climate change heating and cooling energy use in buildings in the United States. Energ. Build. 2014, 82, 428–436. [Google Scholar] [CrossRef]
- Benestad, R.E. Heating Degree Day, Cooling Degree Days, and Precipitation in Europe. Norwegian Meteorological Institute. 2008. Available online: http://met.no/Forskning/Publikasjoner/metno_report/2008/filestore/metno_04-2008.pdf (accessed on 30 October 2020).
- Aebischer, B.; Catenazzi, G.; Jakob, M. Impact of Climate Change on Thermal Comfort, Heating and Cooling Energy Demand in Europe. ECEE 2007 Summer Study. 2007. Available online: http://www.cepe.ethz.ch/publications/Aebischer_5_110.pdf (accessed on 7 October 2020).
- Regulation for Energy Performance of Residential Buildings (REPRS in Portuguese). Presidency of the Council of Ministers, Decree-Law 118/2013—Order No 15793-I/2013. Available online: https://dre.pt/pesquisa/-/search/499237/details/maximized (accessed on 1 October 2020).
- Aguiar, R.; Goncalves, H. Climatologia e Anos Meteorológicos de Referência para o Sistema Nacional de Certificação de Edifícios (Versão 2013); Relatório para ADENE—Agência de Energia; Laboratório Nacional de Energia e Geologia, I.P.: Lisabon, Portugal, 2013; 55p. [Google Scholar]
- CEC. Energy performance of building directive, Directive 2010/31/EU. Off. J. Eur. Communities 2010, 3, 13–35. [Google Scholar]
- Goovaerts, P. Geostatistics for Natural Resources Evaluation; Oxford University Press: New York, NY, USA, 1997. [Google Scholar]
- Hartkamp, A.D.; de Beurs, K.; Stein, A.; White, J.W. Interpolation Techniques for Climate Variables; CIMMYT: Texcoco, Mexico, 1999. [Google Scholar]
- Goovaerts, P. Geostatistical approaches for incorporating elevation into the spatial interpolation of rainfall. J. Hydrol. 2000, 228, 113–129. [Google Scholar] [CrossRef]
- Brown, D.P.; Comrie, A.C. Spatial modelling of winter temperature and precipitation in Arizona and New Mexico, USA. Clim. Res. 2002, 22, 115–128. [Google Scholar] [CrossRef]
- Lloyd, C.D. Assessing the effect of integrating elevation data into the estimation of monthly precipitation in Great Britain. J. Hydrol. 2005, 308, 128–150. [Google Scholar] [CrossRef]
- Bilgili, B.C.; Erşahin, S.; Özyavuz, M. Spatial Prediction of air temperature in east central Anatolia of Turkey. ISPRS Ann. Photogramm. Remote Sens. Spatial Inf. Sci. 2017, IV-4/W4, 153–159. [Google Scholar] [CrossRef]
- Available online: https://www.aml.pt/ (accessed on 4 February 2021).
- Available online: http://portal.amp.pt/ (accessed on 4 February 2021).
- Andrade, C.; Contente, J. Köppen’s climate classification projections for the Iberian Peninsula. Clim. Res. 2020, 81, 71–89. [Google Scholar] [CrossRef]
- Cornes, R.; van der Schrier, G.; van den Besselaar, E.J.M.; Jones, P.D. An Ensemble Version of the E-OBS Temperature and Precipitation Datasets. J. Geophys. Res. Atmos. 2018, 123. [Google Scholar] [CrossRef]
- Taylor, K.E.; Stouffer, R.J.; Meehl, G.A. An Overview of CMIP5 and the Experiment Design. Bull. Amer. Meteor. Soc. 2012, 93, 485–498. [Google Scholar] [CrossRef]
- Moss, R.H.; Edmonds, J.A.; Hibbard, K.A.; Manning, M.R.; Rose, S.K.; van Vuuren, D.P.; Carter, T.R.; Wilbanks, T.J. The next generation of scenarios for climate change research and assessment. Nature 2010, 463, 747–756. [Google Scholar] [CrossRef] [PubMed]
- van Vuuren, D.P.; Edmonds, J.; Kainuma, M.; Riahi, K.; Thomson, A.; Hibbard, K.; Hurtt, G.C.; Rose, S.K. The representative concentration pathways: An overview. Clim. Chang. 2011, 109, 5–31. [Google Scholar] [CrossRef]
- Riahi, K.; Grübler, A.; Nakicenovic, N. Scenarios of long-term socio-economic and environmental development under climate stabilization. Technol. Forecast. Soc. 2007, 74, 887–935. [Google Scholar] [CrossRef]
- Rao, S.; Riahi, K. The role of Non-CO2 greenhouse gases in climate change mitigation: Long-term scenarios for the 21st century. Energy J. 2006, 27, 177–200. [Google Scholar] [CrossRef]
- Smith, S.; Wigley, T. Multi-gas forcing stabilization with minicam. Energy J. 2006, 27, 373–391. [Google Scholar] [CrossRef]
- Clarke, L.; Edmonds, J.; Jacoby, H.; Pitcher, H.; Reilly, J.; Richels, R. Scenarios of Greenhouse Gas Emissions and Atmospheric Concentrations; Sub-Report 2.1a of Synthesis and Assessment Product 2.1 by the U.S. Climate Change Program and the Subcommittee on Global Change Research; Department of Energy, Office of Biological & Environmental Research: Washington, DC, USA, 2007.
- Wise, M.; Calvin, K.; Thomson, A.; Clarke, L.; Bond-Lamberty, B.; Sands, R.; Smith, S.; Edmonds, J. Implications of limiting CO2 concentrations for land use and energy. Science 2009, 324, 1183–1186. [Google Scholar] [CrossRef]
- Sivak, M. Potential energy demand for cooling in the 50 largest metropolitan areas of the world: Implications for developing countries. Energy Policy 2009, 37, 1382–1384. [Google Scholar] [CrossRef]
- Sivak, M. Where to live in the United States: Combined energy demand for heating and cooling in the 50 largest metropolitan areas. Cities 2008, 25, 396–398. [Google Scholar] [CrossRef]
- Goovaerts, P. Ordinary cokriging revisited. Math. Geol. 1998, 30, 21–42. [Google Scholar] [CrossRef]
- Isaaks, E.H.; Srivastava, R.M. An Introduction to Applied Geostatistics; Oxford University Press: New York, NY, USA, 1992; 561p. [Google Scholar]
- Agnew, M.D.; Palutikof, J.P. GIS-based construction of baseline climatologies for the Mediterranean using terrain variables. Clim. Res. 2000, 14, 115–127. [Google Scholar] [CrossRef]
- Perry, M.; Hollis, D. The generation of monthly gridded datasets for a range of climatic variables over the UK. Int. J. Climatol. 2005, 25, 1041–1054. [Google Scholar] [CrossRef]
- Arguez, A.; O’Brien, J.J.; Smith, S.R. Air temperature impacts over Eastern North America and Europe associated with low-frequency North Atlantic SST variability. Int. J. Climatol. 2009, 29, 1–10. [Google Scholar] [CrossRef]
- Daly, C.; Neilson, R.P.; Phillips, D.L. A statistical topographic model for mapping climatological precipitation over mountainous terrain. J. Appl. Meteorol. 1994, 33, 140–158. [Google Scholar] [CrossRef]
- Morakinyo, T.E.; Ren, C.; Shi, Y.; Lau, K.K.; Tong, H.; Choy, C.; Ng, E. Estimates of the impact of extreme heat events on cooling energy demand in Hong Kong. Renew. Energy 2019, 142, 73–84. [Google Scholar] [CrossRef]
- Mann, H.B.; Whitney, D.R. On a test of whether one of two random variables is stochastically larger than the other. Ann. Math. Stat. 1947, 50–60. [Google Scholar] [CrossRef]
- Wilcoxon, F. Individual comparisons by ranking methods. Biom. Bull. 1945, 1, 80–83. [Google Scholar] [CrossRef]
- Lehmann, E.L. Nonparametrics, Statistical Methods Based on Ranks; Holden-Day Inc.: San Francisco, CA, USA, 1975. [Google Scholar]
- Sneyers, R. On the Statistical Analysis of Series of Observations; Technical Note nº143; World Meteorological Organization (WMO): Geneva, Switzerland, 1990. [Google Scholar]
- Theil, H. A rank-invariant method of linear and polynomial regression analysis, I, II, III. Nederl. Akad. Wetensch. Proc. 1950, 53, 386–392, 512–525, 1397–1412. [Google Scholar]
- Sen, P.K. Estimates of the regression coefficient based on Kendall’s tau. J. Am. Stat. Assoc. 1968, 63, 1379–1389. [Google Scholar] [CrossRef]
- Spinoni, J.; Vogt, J.; Barbosa, P. European degree-day climatologies and trends for the period 1951–2011. Int. J. Climatol. 2015, 35, 25–36. [Google Scholar] [CrossRef]











| Contributor | Driving Model | RCM |
|---|---|---|
| Météo France, CNRM | CNRM-CM5 | ALADIN53 |
| Royal Meteorological Institute of Belgium and Ghent University, RMIB | CNRM-CM5 | ALARO-0 |
| Climate Limited-area Modelling Community, CLMcom | ICHEC-EC-EARTH | CCLM4-8-17 |
| Danish Meteorological Institute, DMI | ICHEC-EC-EARTH | HIRHAM5 |
| Royal Netherlands Meteorological Institute, KNMI | ICHEC-EC-EARTH | RACMO22E |
| Max Planck Institute for Meteorology, MPI-CSC | MPI-ESM-LR | REMO2009 |
| Institute Pierre-Simon Laplace, IPSL-INERIS | IPSL-CM5A-MR | WRF331F |
| Case | Condition | HDD |
|---|---|---|
| 1 | ||
| 2 | ||
| 3 | ||
| 4 | (no need to heat) |
| Case | Condition | CDD |
|---|---|---|
| 1 | (no need to cool) | |
| 2 | ||
| 3 | ||
| 4 |
| OK | OCK | IDW | ||||||
|---|---|---|---|---|---|---|---|---|
| ME | RMSE | ME | RMSE | ME | RMSE | |||
| HDD | 1971–2000 | 0.055 | 13.322 | −1.622 | 63.853 | 1.187 | 43.442 | |
| RCP4.5 | 2011–2040 | 0.066 | 12.699 | −1.629 | 63.133 | 1.214 | 43.181 | |
| 2041–2070 | 0.065 | 12.592 | −1.618 | 61.923 | 1.237 | 42.436 | ||
| RCP8.5 | 2011–2040 | 0.064 | 12.762 | −1.640 | 62.776 | 1.241 | 42.970 | |
| 2041–2070 | 0.064 | 12.762 | −1.634 | 61.874 | 1.257 | 42.473 | ||
| CDD | 1971–2000 | 0.008 | 2.051 | −0.015 | 6.860 | 0.054 | 5.152 | |
| RCP4.5 | 2011–2040 | 0.009 | 2.171 | −0.024 | 7.127 | 0.062 | 5.403 | |
| 2041–2070 | 0.009 | 2.347 | −0.035 | 7.625 | 0.074 | 5.792 | ||
| RCP8.5 | 2011–2040 | 0.009 | 2.191 | −0.022 | 7.184 | 0.060 | 5.442 | |
| 2041–2070 | 0.009 | 2.426 | −0.037 | 7.745 | 0.076 | 5.909 | ||
| HDD + CDD | 1971–2000 | 0.040 | 17.296 | −1.487 | 59.994 | 1.241 | 41.311 | |
| RCP4.5 | 2011–2040 | 0.122 | 13.445 | −1.498 | 58.939 | 1.277 | 40.921 | |
| 2041–2070 | 0.107 | 12.695 | −1.486 | 57.258 | 1.311 | 39.970 | ||
| RCP8.5 | 2011–2040 | 0.040 | 16.775 | −1.505 | 58.577 | 1.302 | 40.718 | |
| 2041–2070 | 0.110 | 16.486 | −1.499 | 57.034 | 1.333 | 39.941 | ||
| City | HDD | CDD | HDD+CDD | ||||||||||||
|---|---|---|---|---|---|---|---|---|---|---|---|---|---|---|---|
| Value | Anomalies | Value | Anomalies | Value | Anomalies | ||||||||||
| 71–00 | RCP4.5 | RCP8.5 | 71–00 | RCP4.5 | RCP8.5 | 71–00 | RCP4.5 | RCP8.5 | |||||||
| 11–40 | 41–70 | 11–40 | 41–70 | 11–40 | 41–70 | 11–40 | 41–70 | 11–40 | 41–70 | 11–40 | 41–70 | ||||
| 1 | 2301 | −8.0% | −13.7% | −7.8% | −14.8% | 42 | 10.7% | 33.6% | 11.1% | 39.6% | 2344 | −7.6% | −12.8% | −7.6% | −13.9% |
| 2 | 1531 | −11.4% | −20.0% | −11.1% | −20.7% | 47 | 9.4% | 27.1% | 8.5% | 33.5% | 1579 | −10.8% | −18.6% | −10.8% | −19.1% |
| 3 | 1546 | −11.1% | −19.7% | −11.0% | −20.4% | 49 | 10.1% | 27.8% | 8.5% | 35.0% | 1590 | −10.5% | −18.3% | −10.5% | −18.7% |
| 4 | 2116 | −8.6% | −14.9% | −8.5% | −16.0% | 38 | 11.7% | 34.7% | 9.7% | 41.4% | 2156 | −8.3% | −14.0% | −8.3% | −15.0% |
| 5 | 1589 | −11.1% | −19.3% | −10.9% | −20.0% | 44 | 8.3% | 26.7% | 7.0% | 32.2% | 1632 | −10.6% | −18.0% | −10.6% | −18.6% |
| 6 | 1122 | −14.9% | −26.6% | −14.7% | −27.7% | 69 | 6.4% | 20.3% | 5.9% | 21.8% | 1188 | −13.7% | −23.9% | −13.7% | −24.9% |
| 7 | 1715 | −10.3% | −17.9% | −9.9% | −18.6% | 69 | 8.2% | 22.7% | 8.7% | 28.3% | 1797 | −9.5% | −16.2% | −9.5% | −16.7% |
| 8 | 2020 | −9.0% | −15.4% | −8.7% | −16.3% | 57 | 9.4% | 26.6% | 10.7% | 32.5% | 2076 | −8.5% | −14.3% | −8.5% | −15.0% |
| 9 | 1132 | −14.8% | −26.0% | −14.3% | −27.0% | 92 | 5.5% | 17.9% | 5.9% | 19.6% | 1222 | −13.3% | −22.8% | −13.3% | −23.5% |
| 10 | 1371 | −12.2% | −21.5% | −11.2% | −21.6% | 170 | 6.6% | 15.4% | 7.3% | 20.5% | 1538 | −10.1% | −17.5% | −10.1% | −17.1% |
| 11 | 1167 | −15.1% | −26.0% | −14.6% | −27.0% | 71 | 3.9% | 18.7% | 4.8% | 19.7% | 1244 | −13.9% | −23.3% | −13.9% | −24.2% |
| 12 | 961 | −17.6% | −31.5% | −16.9% | −32.4% | 116 | 2.1% | 11.6% | 3.9% | 13.9% | 1077 | −15.5% | −26.9% | −15.5% | −27.5% |
| 13 | 983 | −17.2% | −30.9% | −16.5% | −31.8% | 138 | 2.1% | 10.4% | 3.6% | 12.2% | 1120 | −14.8% | −25.8% | −14.8% | −26.3% |
| 14 | 1391 | −11.7% | −20.2% | −10.8% | −20.6% | 146 | 6.8% | 16.6% | 7.6% | 21.8% | 1535 | −10.0% | −16.7% | −10.0% | −16.5% |
| 15 | 1074 | −16.0% | −28.1% | −15.3% | −28.8% | 130 | 3.6% | 13.1% | 4.9% | 15.7% | 1205 | −13.9% | −23.6% | −13.9% | −24.0% |
| 16 | 1230 | −13.6% | −23.6% | −12.6% | −24.2% | 160 | 4.5% | 13.1% | 5.6% | 16.9% | 1390 | −11.6% | −19.3% | −11.6% | −19.4% |
| 17 | 1054 | −15.6% | −28.0% | −14.6% | −28.5% | 204 | 3.3% | 11.1% | 4.5% | 14.1% | 1258 | −12.5% | −21.6% | −12.5% | −21.6% |
| 18 | 929 | −18.2% | −33.5% | −17.5% | −34.4% | 122 | 2.2% | 5.3% | 3.5% | 10.1% | 1044 | −15.9% | −28.9% | −15.9% | −29.3% |
Publisher’s Note: MDPI stays neutral with regard to jurisdictional claims in published maps and institutional affiliations. |
© 2021 by the authors. Licensee MDPI, Basel, Switzerland. This article is an open access article distributed under the terms and conditions of the Creative Commons Attribution (CC BY) license (https://creativecommons.org/licenses/by/4.0/).
Share and Cite
Andrade, C.; Mourato, S.; Ramos, J. Heating and Cooling Degree-Days Climate Change Projections for Portugal. Atmosphere 2021, 12, 715. https://doi.org/10.3390/atmos12060715
Andrade C, Mourato S, Ramos J. Heating and Cooling Degree-Days Climate Change Projections for Portugal. Atmosphere. 2021; 12(6):715. https://doi.org/10.3390/atmos12060715
Chicago/Turabian StyleAndrade, Cristina, Sandra Mourato, and João Ramos. 2021. "Heating and Cooling Degree-Days Climate Change Projections for Portugal" Atmosphere 12, no. 6: 715. https://doi.org/10.3390/atmos12060715
APA StyleAndrade, C., Mourato, S., & Ramos, J. (2021). Heating and Cooling Degree-Days Climate Change Projections for Portugal. Atmosphere, 12(6), 715. https://doi.org/10.3390/atmos12060715

