Correction: Zammit et al. Association between the Concentration and the Elemental Composition of Outdoor PM2.5 and Respiratory Diseases in Schoolchildren: A Multicenter Study in the Mediterranean Area. Atmosphere 2020, 11, 1290
Conflicts of Interest
Reference
- Zammit, C.; Bilocca, D.; Ruggieri, S.; Drago, G.; Perrino, C.; Canepari, S.; Balzan, M.; Montefort, S.; Viegi, G.; Cibella, F.; et al. Association between the Concentration and the Elemental Composition of Outdoor PM2.5 and Respiratory Diseases in Schoolchildren: A Multicenter Study in the Mediterranean Area. Atmosphere 2020, 11, 1290. [Google Scholar] [CrossRef]

| Malta (No. = 860) | Italy (No. = 1190) | ||||||
|---|---|---|---|---|---|---|---|
| Hamrun Urban/Industrial (No. = 341) | Cospicua/Zejtun Industrial (No. = 235) | Mosta Rural (No. = 284) | Gela Industrial (No. = 593) | Niscemi Rural (No. = 314) | Butera Rural (No. = 119) | Mazzarino Rural (No. = 164) | |
| General characteristics | |||||||
| Age Years, mean (±SD) | 12.9 (±0.7) | 12.5 (±0.7) | 12.1 (±0.5) | 11.8 (±1.1) | 11.7 (±1.1) | 11.9 (±1.1) | 12.0 (±1.1) |
| Male/Female (No.) | 157/184 | 101/134 | 120/164 | 296/297 | 154/160 | 61/58 | 83/81 |
| Parental atopy No. (%) | 41 (12.0%) | 30 (12.8%) | 29 (10.2%) | 59 (10.0%) | 32 (10.2%) | 9 (7.6%) | 8 (4.9%) |
| Crowding index > 1 No. (%) | 147 (43.1%) | 88 (37.4%) | 108 (38.0%) | 179 (30.2%) | 78 (24.8%) | 37 (31.1%) | 55 (33.5%) |
| Respiratory health | |||||||
| Acute respiratory disease in the first 2 yrs No. (%) | 43 (12.6%) | 33 (14.0%) | 40 (14.1%) | 168 (28.3%) | 102 (32.5%) | 24 (20.2%) | 59 (36.0%) |
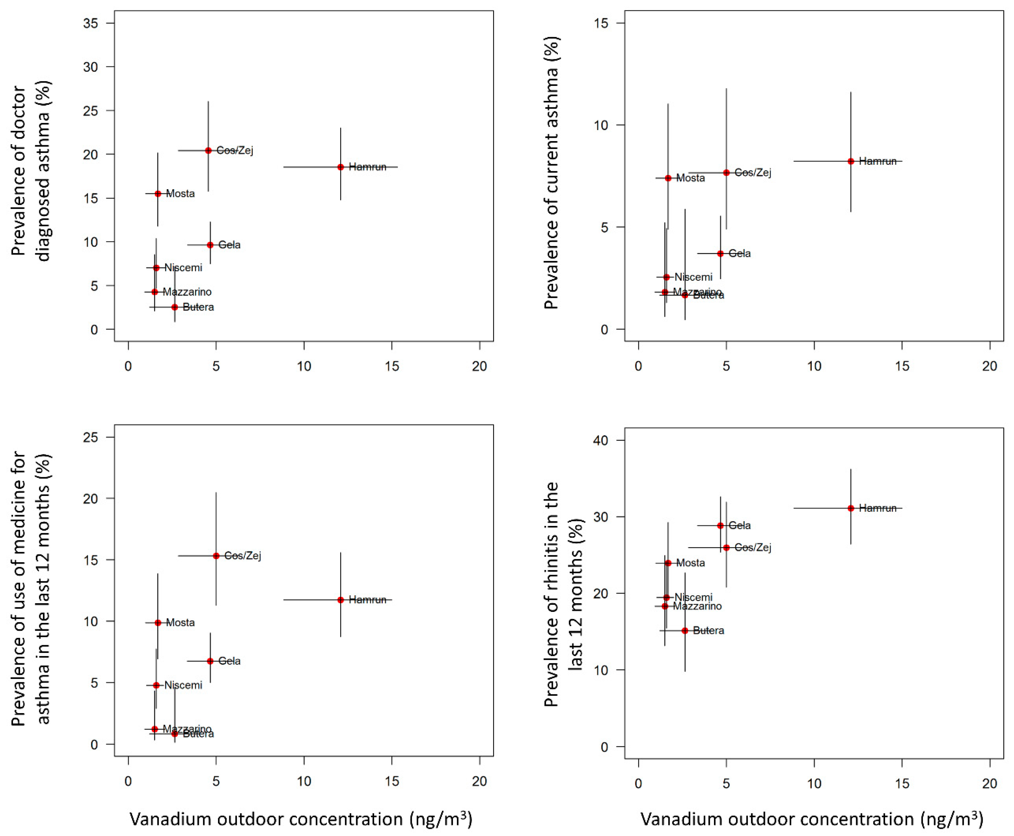
| Doctor diagnosed asthma No. (%) | 63 (18.5%) | 48 (20.4%) | 44 (15.5%) | 57 (9.6%) | 22 (7.0%) | 3 (2.5%) | 7 (4.3%) |
| Current asthma No. (%) | 28 (8.2%) | 18 (7.7%) | 21 (7.4%) | 22 (3.7%) | 8 (2.5%) | 2 (1.7%) | 3 (1.8%) |
| Asthma medication 12 months No. (%) | 40 (11.7%) | 36 (15.3%) | 28 (9.9%) | 40 (6.7%) | 15 (4.8%) | 1 (0.8%) | 2 (1.2%) |
| Rhinitis 12 months No. (%) | 106 (31.1%) | 61 (26.0%) | 68 (23.9%) | 171 (28.8%) | 61 (19.4%) | 18 (15.1%) | 30 (18.3%) |
| Home Exposures | |||||||
| Dampness exposure No. (%) | 81 (23.8%) | 20 (8.5%) | 47 (16.5%) | 73 (12.3%) | 34 (10.8%) | 14 (11.7%) | 20 (12.2%) |
| Domestic exposure to tobacco smoke No. (%) | 77 (22.6%) | 37 (15.7%) | 52 (18.3%) | 101 (17.0%) | 88 (28.0%) | 25 (21.0%) | 27 (16.5%) |
| Pets No. (%) | 204 (59.8%) | 145 (61.7%) | 157 (55.3%) | 145 (24.5%) | 47 (15.0%) | 14 (11.8%) | 37 (22.6%) |
| Traffic No. (%) | 97 (28.4%) | 44 (18.7%) | 59 (20.8%) | 178 (30.0%) | 56 (17.8%) | 13 (10.9%) | 33 (20.1%) |
Publisher’s Note: MDPI stays neutral with regard to jurisdictional claims in published maps and institutional affiliations. |
© 2021 by the authors. Licensee MDPI, Basel, Switzerland. This article is an open access article distributed under the terms and conditions of the Creative Commons Attribution (CC BY) license (https://creativecommons.org/licenses/by/4.0/).
Share and Cite
Zammit, C.; Bilocca, D.; Ruggieri, S.; Drago, G.; Perrino, C.; Canepari, S.; Balzan, M.; Montefort, S.; Viegi, G.; Cibella, F.; et al. Correction: Zammit et al. Association between the Concentration and the Elemental Composition of Outdoor PM2.5 and Respiratory Diseases in Schoolchildren: A Multicenter Study in the Mediterranean Area. Atmosphere 2020, 11, 1290. Atmosphere 2021, 12, 706. https://doi.org/10.3390/atmos12060706
Zammit C, Bilocca D, Ruggieri S, Drago G, Perrino C, Canepari S, Balzan M, Montefort S, Viegi G, Cibella F, et al. Correction: Zammit et al. Association between the Concentration and the Elemental Composition of Outdoor PM2.5 and Respiratory Diseases in Schoolchildren: A Multicenter Study in the Mediterranean Area. Atmosphere 2020, 11, 1290. Atmosphere. 2021; 12(6):706. https://doi.org/10.3390/atmos12060706
Chicago/Turabian StyleZammit, Christopher, David Bilocca, Silvia Ruggieri, Gaspare Drago, Cinzia Perrino, Silvia Canepari, Martin Balzan, Stephen Montefort, Giovanni Viegi, Fabio Cibella, and et al. 2021. "Correction: Zammit et al. Association between the Concentration and the Elemental Composition of Outdoor PM2.5 and Respiratory Diseases in Schoolchildren: A Multicenter Study in the Mediterranean Area. Atmosphere 2020, 11, 1290" Atmosphere 12, no. 6: 706. https://doi.org/10.3390/atmos12060706
APA StyleZammit, C., Bilocca, D., Ruggieri, S., Drago, G., Perrino, C., Canepari, S., Balzan, M., Montefort, S., Viegi, G., Cibella, F., & on behalf of the RESPIRA Collaborative Project Group. (2021). Correction: Zammit et al. Association between the Concentration and the Elemental Composition of Outdoor PM2.5 and Respiratory Diseases in Schoolchildren: A Multicenter Study in the Mediterranean Area. Atmosphere 2020, 11, 1290. Atmosphere, 12(6), 706. https://doi.org/10.3390/atmos12060706

