Size-Segregated Atmospheric Humic-Like Substances (HULIS) in Shanghai: Abundance, Seasonal Variation, and Source Identification
Abstract
1. Introduction
2. Materials and Methods
2.1. Sampling
2.2. Chemical Analysis
2.2.1. Measurement of Water-Soluble Components (WSOC, HULIS, WSN and WSIIs)
2.2.2. OC and EC Measurement
2.3. Source Apportionment: Principal Component Analysis
2.4. Air Mass Back Trajectories and Fire Count Maps
3. Results and Discussion
3.1. Seasonal Variations of Carbonaceous Species in the Total Suspended Particulates (TSP)
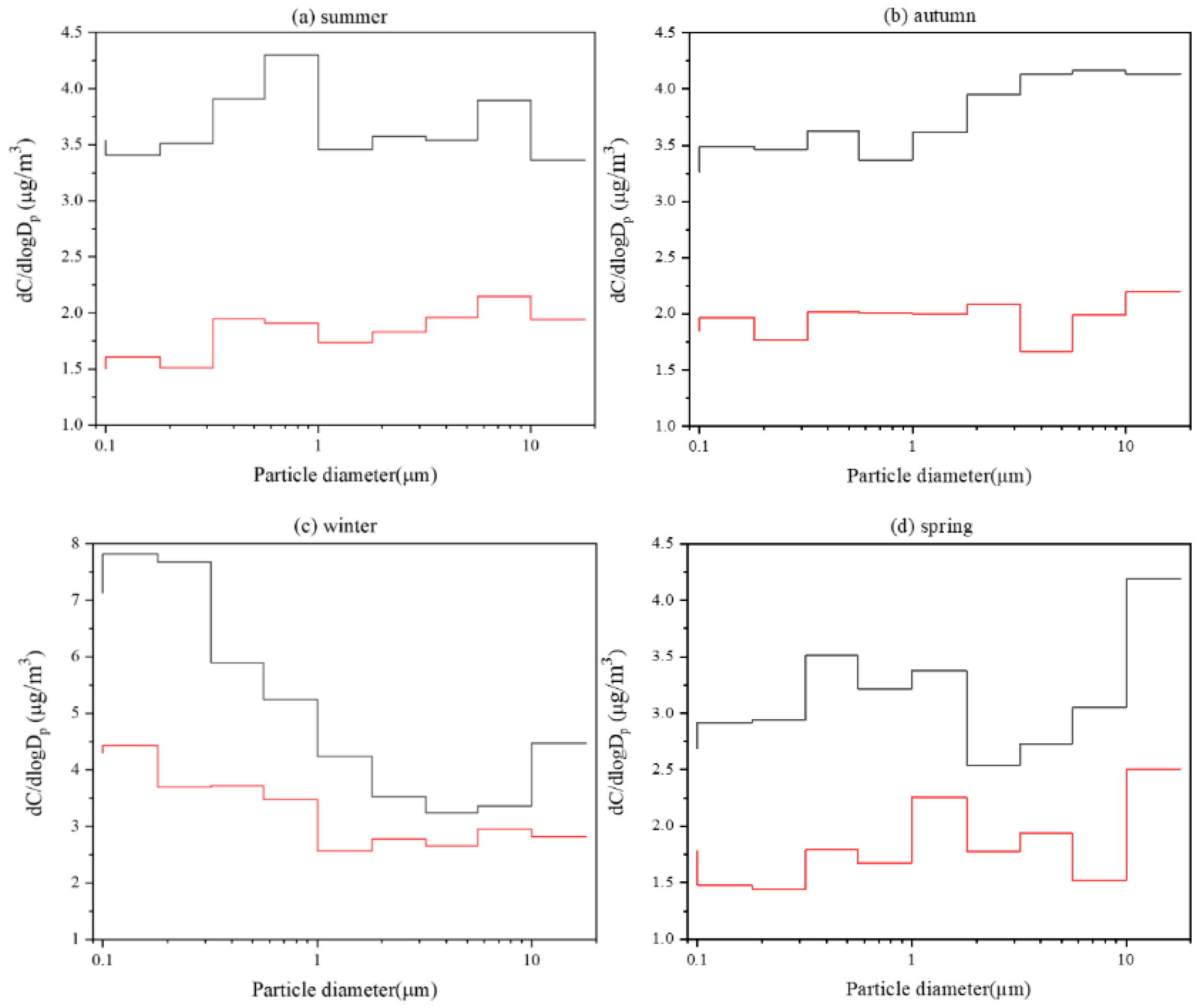
3.2. Abundances and Seasonal Variations of Carbonaceous Species in Different Size Fractions
3.3. Source Apportionment of WSOC and HULIS
3.3.1. Correlation between OC, EC, WSOC and HULIS
3.3.2. Principal Component Analysis: Source Apportionment and Identification
3.3.3. Investigation of Potential Source Regions of WSOC and HULIS by Air Mass Back Trajectories and Fire Count Maps
4. Conclusions
Supplementary Materials
Author Contributions
Funding
Conflicts of Interest
References
- Andracchio, A.; Cavicchi, C.; Tonelli, D.; Zappoli, S. A new approach for the fractionation of water-soluble organic carbon in atmospheric aerosols and cloud drops. Atmos. Environ. 2002, 36, 5097–5107. [Google Scholar] [CrossRef]
- Agarwal, S.; Aggarwal, S.G.; Okuzawa, K.; Kawamura, K. Size distributions of dicarboxylic acids, ketoacids, α-dicarbonyls, sugars, WSOC, OC, EC and inorganic ions in atmospheric particles over Northern Japan: Implication for long-range transport of Siberian biomass burning and East Asian polluted aerosols. Atmos. Chem. Phys. Discuss. 2010, 10, 5839–5858. [Google Scholar] [CrossRef]
- Duarte, R.M.; Duarte, A.C. A critical review of advanced analytical techniques for water-soluble organic matter from atmospheric aerosols. TrAC Trends Anal. Chem. 2011, 30, 1659–1671. [Google Scholar] [CrossRef]
- Dinar, E.; Taraniuk, I.; Graber, E.R.; Katsman, S.; Moise, T.; Anttila, T.; Mentel, T.F.; Rudich, Y. Cloud Condensation Nuclei properties of model and atmospheric HULIS. Atmos. Chem. Phys. Discuss. 2006, 6, 2465–2482. [Google Scholar] [CrossRef]
- Salma, I.; Ocskay, R.; Chi, X.; Maenhaut, W. Sampling artefacts, concentration and chemical composition of fine water-soluble organic carbon and humic-like substances in a continental urban atmospheric environment. Atmos. Environ. 2007, 41, 4106–4118. [Google Scholar] [CrossRef]
- Padró, L.T.; Tkacik, D.; Lathem, T.; Hennigan, C.J.; Sullivan, A.P.; Weber, R.J.; Huey, L.G.; Nenes, A. Investigation of cloud condensation nuclei properties and droplet growth kinetics of the water-soluble aerosol fraction in Mexico City. J. Geophys. Res. Space Phys. 2010, 115. [Google Scholar] [CrossRef]
- Havers, N.; Burba, P.; Lambert, J.; Klockow, D. Spectroscopic Characterization of Humic-Like Substances in Airborne Particulate Matter. J. Atmos. Chem. 1998, 29, 45–54. [Google Scholar] [CrossRef]
- Facchini, M.C.; Mircea, M.; Fuzzi, S.; Charlson, R.J. Cloud albedo enhancement by surface-active organic solutes in growing droplets. Nat. Cell Biol. 1999, 401, 257–259. [Google Scholar] [CrossRef]
- Zheng, G.; He, K.; Duan, F.; Cheng, Y.; Ma, Y. Measurement of humic-like substances in aerosols: A review. Environ. Pollut. 2013, 181, 301–314. [Google Scholar] [CrossRef] [PubMed]
- Graber, E.R.; Rudich, Y. Atmospheric HULIS: How humic-like are they? A comprehensive and critical review. Atmos. Chem. Phys. Discuss. 2006, 6, 729–753. [Google Scholar] [CrossRef]
- Sun, H.; Biedermann, L.; Bond, T.C. Color of brown carbon: A model for ultraviolet and visible light absorption by organic carbon aerosol. Geophys. Res. Lett. 2007, 34, 34. [Google Scholar] [CrossRef]
- Fan, X.; Song, J.; Peng, P. Temporal variations of the abundance and optical properties of water soluble Humic-Like Substances (HULIS) in PM2.5 at Guangzhou, China. Atmos. Res. 2016, 172–173, 8–15. [Google Scholar] [CrossRef]
- Kuang, B.Y.; Lin, P.; Huang, X.H.H.; Yu, J.Z. Sources of humic-like substances in the Pearl River Delta, China: Positive matrix factorization analysis of PM2.5 major components and source markers. Atmos. Chem. Phys. Discuss. 2015, 15, 1995–2008. [Google Scholar] [CrossRef]
- Tan, J.; Xiang, P.; Zhou, X.; Duan, J.; Ma, Y.; He, K.; Cheng, Y.; Yu, J.; Querol, X. Chemical characterization of humic-like substances (HULIS) in PM2.5 in Lanzhou, China. Sci. Total Environ. 2016, 573, 1481–1490. [Google Scholar] [CrossRef] [PubMed]
- Zhao, M.; Huang, Z.; Qiao, T.; Zhang, Y.; Xiu, G.; Yu, J. Chemical characterization, the transport pathways and potential sources of PM2.5 in Shanghai: Seasonal variations. Atmos. Res. 2015, 158–159, 66–78. [Google Scholar] [CrossRef]
- Zhao, M.; Qiao, T.; Li, Y.; Tang, X.; Xiu, G.; Yu, J.Z. Temporal variations and source apportionment of Hulis-C in PM2.5 in urban Shanghai. Sci. Total Environ. 2016, 571, 18–26. [Google Scholar] [CrossRef] [PubMed]
- Li, R.; Cui, L.; Zhao, Y.; Fu, H.; Li, Q.; Zhang, L.; Chen, J. Size-segregated water-soluble N-bearing species in the land-sea boundary zone of East China. Atmos. Environ. 2019, 218, 116990. [Google Scholar] [CrossRef]
- Nguyen, Q.T.; Kristensen, T.B.; Hansen, A.M.K.; Skov, H.; Bossi, R.; Massling, A.; Sørensen, L.L.; Bilde, M.; Glasius, M.; Nøjgaard, J.K. Characterization of humic-like substances in Arctic aerosols. J. Geophys. Res. Atmos. 2014, 119, 5011–5027. [Google Scholar] [CrossRef]
- Baduel, C.; Voisin, D.; Jaffrezo, J.-L. Seasonal variations of concentrations and optical properties of water soluble HULIS collected in urban environments. Atmos. Chem. Phys. Discuss. 2010, 10, 4085–4095. [Google Scholar] [CrossRef]
- Amato, F.; Alastuey, A.; Karanasiou, A.; Lucarelli, F.; Nava, S.; Calzolai, G.; Severi, M.; Becagli, S.; Gianelle, V.L.; Colombi, C.; et al. AIRUSE-LIFE+: A harmonized PM speciation and source apportionment in five southern European cities. Atmos. Chem. Phys. Discuss. 2016, 16, 3289–3309. [Google Scholar] [CrossRef]
- Kanakidou, M.; Seinfeld, J.H.; Pandis, S.N.; Barnes, I.; Dentener, F.J.; Facchini, M.C.; Van Dingenen, R.; Ervens, B.; Nenes, A.; Nielsen, C.J.; et al. Organic aerosol and global climate modelling: A review. Atmos. Chem. Phys. Discuss. 2005, 5, 1053–1123. [Google Scholar] [CrossRef]
- Meng, Z.; Seinfeld, J.H. On the Source of the Submicrometer Droplet Mode of Urban and Regional Aerosols. Aerosol Sci. Technol. 1994, 20, 253–265. [Google Scholar] [CrossRef]
- Seinfeld, J.H.; Pandis, S.N.; Noone, K. Atmospheric Chemistry and Physics: From Air Pollution to Climate Change. Phys. Today 1998, 51, 88. [Google Scholar] [CrossRef]
- Lin, P.; Huang, X.-F.; He, L.-Y.; Yu, J.Z. Abundance and size distribution of HULIS in ambient aerosols at a rural site in South China. J. Aerosol Sci. 2010, 41, 74–87. [Google Scholar] [CrossRef]
- Frka, S.; Grgić, I.; Turšič, J.; Gini, M.I.; Eleftheriadis, K. Seasonal variability of carbon in humic-like matter of ambient size-segregated water soluble organic aerosols from urban background environment. Atmos. Environ. 2018, 173, 239–247. [Google Scholar] [CrossRef]
- Win, M.S.; Zeng, J.; Yao, C.; Zhao, M.; Xiu, G.; Xie, T.; Rao, L.; Zhang, L.; Lu, H.; Liu, X.; et al. Sources of HULIS-C and its relationships with trace metals, ionic species in PM2.5 in suburban Shanghai during haze and non-haze days. J. Atmos. Chem. 2020, 77, 63–81. [Google Scholar] [CrossRef]
- Qiao, T.; Zhao, M.; Xiu, G.; Yu, J. Seasonal variations of water soluble composition (WSOC, Hulis and WSIIs) in PM1 and its implications on haze pollution in urban Shanghai, China. Atmos. Environ. 2015, 123, 306–314. [Google Scholar] [CrossRef]
- Dinar, E.; Mentel, T.F.; Rudich, Y. The density of humic acids and humic like substances (HULIS) from fresh and aged wood burning and pollution aerosol particles. Atmos. Chem. Phys. Discuss. 2006, 6, 5213–5224. [Google Scholar] [CrossRef]
- Polidori, A.; Turpin, B.J.; Davidson, C.I.; Rodenburg, L.A.; Maimone, F. Organic PM2.5: Fractionation by Polarity, FTIR Spectroscopy, and OM/OC Ratio for the Pittsburgh Aerosol. Aerosol Sci. Technol. 2008, 42, 233–246. [Google Scholar] [CrossRef]
- Kiss, G.; Tombácz, E.; Varga, B.; Alsberg, T.; Persson, L. Estimation of the average molecular weight of humic-like substances isolated from fine atmospheric aerosol. Atmos. Environ. 2003, 37, 3783–3794. [Google Scholar] [CrossRef]
- Jeong, C.-H.; Hopke, P.K.; Kim, E.; Lee, D.-W. The comparison between thermal-optical transmittance elemental carbon and Aethalometer black carbon measured at multiple monitoring sites. Atmos. Environ. 2004, 38, 5193–5204. [Google Scholar] [CrossRef]
- Zheng, G.J.; Cheng, Y.; He, K.B.; Duan, F.K.; Ma, Y.L. A newly identified calculation discrepancy of the Sunset semi-continuous carbon analyzer. Atmos. Meas. Tech. 2014, 7, 1969–1977. [Google Scholar] [CrossRef]
- Viana, M.; Querol, X.; Alastuey, A.; Gil, J.; Menéndez, M. Identification of PM sources by principal component analysis (PCA) coupled with wind direction data. Chemosphere 2006, 65, 2411–2418. [Google Scholar] [CrossRef] [PubMed]
- Jain, S.; Sharma, S.; Mandal, T.; Saxena, M. Source apportionment of PM10 in Delhi, India using PCA/APCS, UNMIX and PMF. Particuology 2018, 37, 107–118. [Google Scholar] [CrossRef]
- Jain, S.; Sharma, S.K.; Choudhary, N.; Masiwal, R.; Saxena, M.; Sharma, A.; Mandal, T.K.; Gupta, A.; Gupta, N.C.; Sharma, C. Chemical characteristics and source apportionment of PM2.5 using PCA/APCS, UNMIX, and PMF at an urban site of Delhi, India. Environ. Sci. Pollut. Res. 2017, 24, 14637–14656. [Google Scholar] [CrossRef] [PubMed]
- Statheropoulos, M.; Vassiliadis, N.; Pappa, A. Principal component and canonical correlation analysis for examining air pollution and meteorological data. Atmos. Environ. 1998, 32, 1087–1095. [Google Scholar] [CrossRef]
- Draxler, R.R.; Rolph, G.D. HYSPLIT (HYbrid Single-Particle Lagrangian Integrated Trajectory) Model Access via NOAA ARL READY Website; NOAA Air Resources Laboratory: Silver Spring, MD, USA, 2003. Available online: http://www.arl.noaa.gov/ready/hysplit4.Html (accessed on 12 June 2020).
- Stein, A.F.; Draxler, R.R.; Rolph, G.D.; Stunder, B.J.B.; Cohen, M.D.; Ngan, F. NOAA’s HYSPLIT Atmospheric Transport and Dispersion Modeling System. Bull. Am. Meteorol. Soc. 2015, 96, 2059–2077. [Google Scholar] [CrossRef]
- Stohl, A.; Forster, C.; Frank, A.; Seibert, P.; Wotawa, G. Technical note: The Lagrangian particle dispersion model FLEXPART version 6.2. Atmos. Chem. Phys. Discuss. 2005, 5, 2461–2474. [Google Scholar] [CrossRef]
- Cesari, R.; Paradisi, P.; Allegrini, P. Source identification by a statistical analysis of backward trajectories based on peak pollution events. Int. J. Environ. Pollut. 2014, 55, 94. [Google Scholar] [CrossRef]
- Huang, Z.; Xiu, G.; Cai, J.; Xu, W.; Wang, L. Seasonal characterization of water-soluble organic carbon and humic-like substance carbon in atmospheric PM2. 5. Acta Sci. Circumstantiae 2013, 33, 2664–2670. [Google Scholar]
- Chow, J.C.; Watson, J.G.; Lowenthal, D.H.; Solomon, P.A.; Magliano, K.L.; Ziman, S.D.; Richards, L.W. PM10 and PM2. 5 compositions in California’s San Joaquin Valley. Aerosol Sci. Technol. 1993, 18, 105–128. [Google Scholar] [CrossRef]
- Singer, B.C.; Kirchstetter, T.W.; Harley, R.A.; Kendall, G.R.; Hesson, J.M. A Fuel-Based Approach to Estimating Motor Vehicle Cold-Start Emissions. J. Air Waste Manag. Assoc. 1999, 49, 125–135. [Google Scholar] [CrossRef] [PubMed][Green Version]
- Yang, F.; He, K.; Ye, B.; Chen, X.; Cha, L.; Cadle, S.H.; Chan, T.; Mulawa, P.A. One-year record of organic and elemental carbon in fine particles in downtown Beijing and Shanghai. Atmos. Chem. Phys. Discuss. 2005, 5, 1449–1457. [Google Scholar] [CrossRef]
- Chen, S.; Guo, Z.; Guo, Z.; Guo, Q.; Zhang, Y.; Zhu, B.; Zhang, H. Sulfur isotopic fractionation and its implication: Sulfate formation in PM2.5 and coal combustion under different conditions. Atmos. Res. 2017, 194, 142–149. [Google Scholar] [CrossRef]
- Cheng, Y.; He, K.-B.; Du, Z.-Y.; Zheng, M.; Duan, F.-K.; Ma, Y.-L. Humidity plays an important role in the PM 2.5 pollution in Beijing. Environ. Pollut. 2015, 197, 68–75. [Google Scholar] [CrossRef]
- Chow, J.C.; Watson, J.G.; Kuhns, H.; Etyemezian, V.; Lowenthal, D.H.; Crow, D.; Kohl, S.D.; Engelbrecht, J.P.; Green, M.C. Source profiles for industrial, mobile, and area sources in the Big Bend Regional Aerosol Visibility and Observational study. Chemosphere 2004, 54, 185–208. [Google Scholar] [CrossRef] [PubMed]
- Cao, J.-J.; Xu, B.-Q.; He, J.-Q.; Liu, X.-Q.; Han, Y.-M.; Wang, G.-H.; Zhu, C.-S. Concentrations, seasonal variations, and transport of carbonaceous aerosols at a remote Mountainous region in western China. Atmos. Environ. 2009, 43, 4444–4452. [Google Scholar] [CrossRef]
- Wu, C.; Yu, J.Z. Determination of primary combustion source organic carbon-to-elemental carbon (OC / EC) ratio using ambient OC and EC measurements: Secondary OC-EC correlation minimization method. Atmos. Chem. Phys. Discuss. 2016, 16, 5453–5465. [Google Scholar] [CrossRef]
- Ding, X.; Kong, L.; Du, C.; Zhanzakova, A.; Fu, H.; Tang, X.; Wang, L.; Yang, X.; Chen, J.; Cheng, T. Characteristics of size-resolved atmospheric inorganic and carbonaceous aerosols in urban Shanghai. Atmos. Environ. 2017, 167, 625–641. [Google Scholar] [CrossRef]
- Witkowska, A.; Lewandowska, A.U.; Saniewska, D.; Falkowska, L.M. Effect of agriculture and vegetation on carbonaceous aerosol concentrations (PM2.5 and PM10) in Puszcza Borecka National Nature Reserve (Poland). Air Qual. Atmos. Health 2015, 9, 761–773. [Google Scholar] [CrossRef]
- Wang, J.; Wang, S.; Jiang, J.; Ding, A.; Zheng, M.; Zhao, B.; Wong, D.C.; Zhou, W.; Zheng, G.; Wang, L.; et al. Impact of aerosol–meteorology interactions on fine particle pollution during China’s severe haze episode in January 2013. Environ. Res. Lett. 2014, 9, 094002. [Google Scholar] [CrossRef]
- Zhang, T.; Shen, Z.; Zhang, L.; Tang, Z.; Chen, Q.; Lei, Y.; Zeng, Y.; Xu, H.; Cao, J. PM2.5 Humic-like substances over Xi’an, China: Optical properties, chemical functional group, and source identification. Atmos. Res. 2020, 234, 104784. [Google Scholar] [CrossRef]
- Wu, G.; Wan, X.; Gao, S.; Fu, P.; Yin, Y.; Li, G.; Zhang, G.; Kang, S.; Ram, K.; Cong, Z. Humic-Like Substances (HULIS) in Aerosols of Central Tibetan Plateau (Nam Co, 4730 m asl): Abundance, Light Absorption Properties, and Sources. Environ. Sci. Technol. 2018, 52, 7203–7211. [Google Scholar] [CrossRef]
- Docherty, K.S.; Stone, E.A.; Ulbrich, I.M.; Decarlo, P.F.; Snyder, D.C.; Schauer, J.J.; Peltier, R.E.; Weber, R.J.; Murphy, S.M.; Seinfeld, J.H.; et al. Apportionment of Primary and Secondary Organic Aerosols in Southern California during the 2005 Study of Organic Aerosols in Riverside (SOAR-1). Environ. Sci. Technol. 2008, 42, 7655–7662. [Google Scholar] [CrossRef] [PubMed]
- Hallquist, M.; Wenger, J.C.; Baltensperger, U.; Rudich, Y.; Simpson, D.; Claeys, M.; Dommen, J.; Donahue, N.M.; George, C.; Goldstein, A.H.; et al. The formation, properties and impact of secondary organic aerosol: Current and emerging issues. Atmos. Chem. Phys. 2009, 9, 5155–5236. [Google Scholar] [CrossRef]
- Ram, K.; Sarin, M.M.; Hegde, P. Long-term record of aerosol optical properties and chemical composition from a high-altitude site (Manora Peak) in Central Himalaya. Atmos. Chem. Phys. Discuss. 2010, 10, 11791–11803. [Google Scholar] [CrossRef]
- Xu, J.; Bergin, M.H.; Greenwald, R.; Schauer, J.J.; Shafer, M.M.; Jaffrezo, J.L.; Aymoz, G. Aerosol chemical, physical, and radiative characteristics near a desert source region of northwest China during ACE-Asia. J. Geophys. Res. Space Phys. 2004, 109, 109. [Google Scholar] [CrossRef]
- Fitzgerald, J.W. Marine aerosols: A review. Atmos. Environ. Part A Gen. Top. 1991, 25, 533–545. [Google Scholar] [CrossRef]
- Hueglin, C.; Gehrig, R.; Baltensperger, U.; Gysel, M.; Monn, C.; Vonmont, H. Chemical characterisation of PM2.5, PM10 and coarse particles at urban, near-city and rural sites in Switzerland. Atmos. Environ. 2005, 39, 637–651. [Google Scholar] [CrossRef]
- Tarr, M.A.; Wang, W.; Bianchi, T.S.; Engelhaupt, E. Mechanisms of ammonia and amino acid photoproduction from aquatic humic and colloidal matter. Water Res. 2001, 35, 3688–3696. [Google Scholar] [CrossRef]
- Na, K.; Song, C.; Switzer, C.; Cocker, D.R. Effect of Ammonia on Secondary Organic Aerosol Formation from α-Pinene Ozonolysis in Dry and Humid Conditions. Environ. Sci. Technol. 2007, 41, 6096–6102. [Google Scholar] [CrossRef] [PubMed]
- Fraser, M.P.; Cass, G.R.; Simoneit, B.R. Particulate organic compounds emitted from motor vehicle exhaust and in the urban atmosphere. Atmos. Environ. 1999, 33, 2715–2724. [Google Scholar] [CrossRef]
- Keene, W.C.; Sander, R.; Pszenny, A.A.; Vogt, R.; Crutzen, P.J.; Galloway, J.N. Aerosol pH in the marine boundary layer: A review and model evaluation. J. Aerosol Sci. 1998, 29, 339–356. [Google Scholar] [CrossRef]
- Hu, J.; Wang, Y.; Ying, Q.; Zhang, H. Spatial and temporal variability of PM2.5 and PM10 over the North China Plain and the Yangtze River Delta, China. Atmos. Environ. 2014, 95, 598–609. [Google Scholar] [CrossRef]
- Wang, Y.; Jia, C.; Tao, J.; Zhang, L.; Liang, X.; Ma, J.; Gao, H.; Huang, T.; Zhang, K. Chemical characterization and source apportionment of PM2.5 in a semi-arid and petrochemical-industrialized city, Northwest China. Sci. Total Environ. 2016, 573, 1031–1040. [Google Scholar] [CrossRef]
- Wei, N.; Ma, C.; Liu, J.; Wang, G.; Liu, W.; Zhuoga, D.; Xiao, D.; Yao, J. Size-Segregated Characteristics of Carbonaceous Aerosols during the Monsoon and Non-Monsoon Seasons in Lhasa in the Tibetan Plateau. Atmosphere 2019, 10, 157. [Google Scholar] [CrossRef]
- Andreae, M.O.; Berresheim, H.; Andreae, T.W.; Kritz, M.A.; Bates, T.S.; Merrill, J.T. Vertical distribution of dimethylsulfide, sulfur dioxide, aerosol ions, and radon over the Northeast Pacific Ocean. J. Atmos. Chem. 1988, 6, 149–173. [Google Scholar] [CrossRef]








| Sampling Site | Sample Type | OC (μg/m3) | EC (μg/m3) | WSOC (μg/m3) | HULIS-C (μg/m3) | OC/EC | WSOC/OC | HULIS-C /WSOC | HULIS-C /OC | Reference |
|---|---|---|---|---|---|---|---|---|---|---|
| Shanghai, Summer | TSP (Ten stages) | 12.74 ± 5.25 | 2.16 ± 0.92 | 7.30 ± 3.36 | 3.62 ± 1.68 | 5.963 ± 0.713 | 0.562 ± 0.111 | 0.496 ± 0.015 | 0.278 ± 0.051 | This study |
| Shanghai, Autumn | TSP (Ten stages) | 15.88 ± 3.02 | 5.11 ± 1.32 | 9.30 ± 1.76 | 4.88 ± 0.95 | 3.169 ± 0.244 | 0.587 ± 0.042 | 0.526 ± 0.032 | 0.310 ± 0.031 | This study |
| Shanghai, Winter | TSP (Ten stages) | 25.88 ± 2.57 | 1.80 ± 0.71 | 13.15 ± 1.41 | 8.35 ± 2.06 | 16.221 ± 4.686 | 0.518 ± 0.101 | 0.629 ± 0.104 | 0.332 ± 0.115 | This study |
| Shanghai, Spring | TSP (Ten stages) | 12.83 ± 4.04 | 3.04 ± 0.63 | 6.23 ± 1.12 | 3.36 ± 0.99 | 4.313 ± 1.297 | 0.516 ± 0.113 | 0.578 ± 0.072 | 0.300 ± 0.083 | This study |
| Shanghai, Annual | TSP (Ten stages) | 16.83 ± 3.72 | 3.03 ± 0.90 | 9.00 ± 1.91 | 5.12 ± 1.42 | 7.417 ± 1.735 | 0.546 ± 0.092 | 0.557 ± 0.056 | 0.305 ± 0.070 | This study |
| Shanghai, Spring | PM1 | / | / | 3.34 ± 1.44 | 1.62 ± 0.70 | / | / | 0.42 | / | Qiao et al., 2015 |
| Shanghai, Summer | PM1 | / | / | 4.73 ± 2.24 | 1.83 ± 1.49 | / | / | 0.41 | / | Qiao et al., 2015 |
| Shanghai, Autumn | PM1 | / | / | 5.06 ± 3.54 | 1.57 ± 0.89 | / | / | 0.32 | / | Qiao et al., 2015 |
| Shanghai, Winter | PM1 | / | / | 8.41 ± 4.65 | 3.51 ± 2.20 | / | / | 0.38 | / | Qiao et al., 2015 |
| Shanghai, Annual | PM1 | / | / | 5.51 ± 3.72 | 2.20 ± 1.71 | / | / | 0.38 | / | Qiao et al., 2015 |
| Shanghai | PM2.5 | 9.88 ± 9.17 | / | 5.45 ± 4.51 | 2.61 ± 2.58 | / | 0.605 ± 0.201 | 0.482 ± 0.187 | / | Zhao et al., 2016 |
| Changzhou, Daytime | PM2.5 | 14.03 ± 6.59 | 4.32 ± 1.40 | 7.94 ± 3.19 | 4.18 | 3.20 ± 1.05 | / | 0.514 ± 0.053 | 0.305 ± 0.063 | Gu et al., 2019 |
| Changzhou, Nighttime | PM2.5 | 12.84 ± 7.98 | 3.96 ± 1.97 | 7.31 ± 3.41 | 3.74 | 3.16 ± 0.83 | / | 0.500 ± 0.040 | 0.308 ± 0.060 | Gu et al., 2019 |
| Nam Co, Summer | TSP | 1.94 ± 1.58 | 0.19 ± 0.31 | 0.35 ± 0.12 | 0.15 ± 0.11 | 14.1 ± 8.2 | 0.28 ± 0.18 | 0.38 ± 0.21 | 0.12 ± 0.14 | Wu et al., 2018 |
| Nam Co, Winter | TSP | 0.97 ± 0.87 | 0.07 ± 0.13 | 0.40 ± 0.18 | 0.22 ± 0.08 | 23.7 ± 30.9 | 0.55 ± 0.20 | 0.59 ± 0.15 | 0.31 ± 0.12 | Wu et al., 2018 |
| Ratio | HULIS-C/WSOC | HULIS-C/OC | HULIS-C/EC | WSOC/OC | WSOC/EC | |||||
|---|---|---|---|---|---|---|---|---|---|---|
| Parameter | R2 | p | R2 | p | R2 | p | R2 | p | R2 | p |
| Coarse | 0.52 | <0.01 | 0.06 | 0.02 | 0 | 0.57 | 0.12 | <0.01 | 0 | 0.83 |
| Fine | 0.83 | <0.01 | 0.56 | <0.01 | 0 | 0.60 | 0.53 | <0.01 | 0 | 0.58 |
| TSP | 0.71 | <0.01 | 0.30 | <0.01 | 0 | 0.92 | 0.35 | <0.01 | 0 | 0.08 |
Publisher’s Note: MDPI stays neutral with regard to jurisdictional claims in published maps and institutional affiliations. |
© 2021 by the authors. Licensee MDPI, Basel, Switzerland. This article is an open access article distributed under the terms and conditions of the Creative Commons Attribution (CC BY) license (https://creativecommons.org/licenses/by/4.0/).
Share and Cite
Sun, T.; Li, R.; Meng, Y.; Han, Y.; Cheng, H.; Fu, H. Size-Segregated Atmospheric Humic-Like Substances (HULIS) in Shanghai: Abundance, Seasonal Variation, and Source Identification. Atmosphere 2021, 12, 526. https://doi.org/10.3390/atmos12050526
Sun T, Li R, Meng Y, Han Y, Cheng H, Fu H. Size-Segregated Atmospheric Humic-Like Substances (HULIS) in Shanghai: Abundance, Seasonal Variation, and Source Identification. Atmosphere. 2021; 12(5):526. https://doi.org/10.3390/atmos12050526
Chicago/Turabian StyleSun, Tianming, Rui Li, Ya Meng, Yu Han, Hanyun Cheng, and Hongbo Fu. 2021. "Size-Segregated Atmospheric Humic-Like Substances (HULIS) in Shanghai: Abundance, Seasonal Variation, and Source Identification" Atmosphere 12, no. 5: 526. https://doi.org/10.3390/atmos12050526
APA StyleSun, T., Li, R., Meng, Y., Han, Y., Cheng, H., & Fu, H. (2021). Size-Segregated Atmospheric Humic-Like Substances (HULIS) in Shanghai: Abundance, Seasonal Variation, and Source Identification. Atmosphere, 12(5), 526. https://doi.org/10.3390/atmos12050526
