High–Resolution Modeling of Airflows and Particle Deposition over Complex Terrain at Sakurajima Volcano
Abstract
1. Introduction
2. General Description of Case Study Days
3. Methodology
3.1. Observational Equipment
3.2. WRF Model Settings
3.3. Particle Trajectory Modeling
4. Results
4.1. Stationary Flow Characteristics
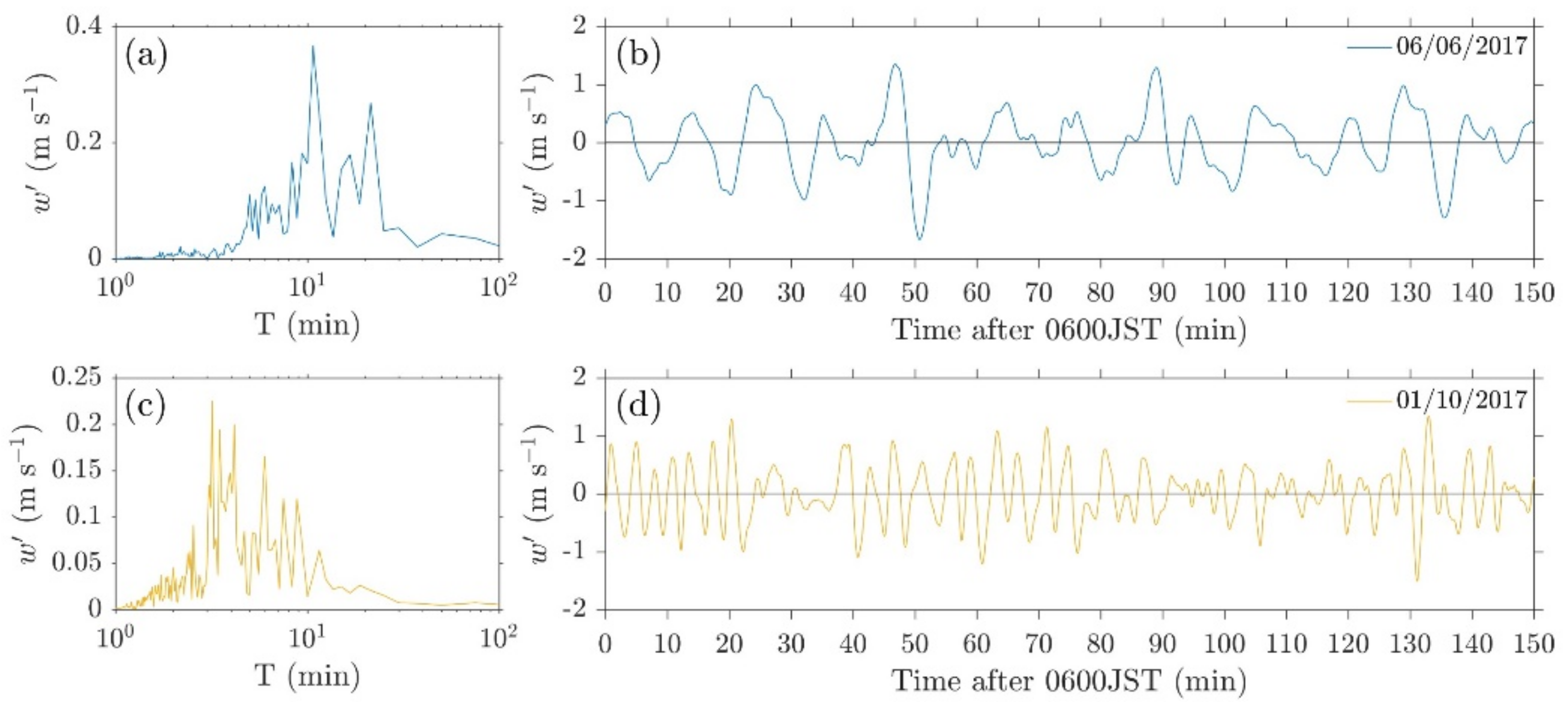
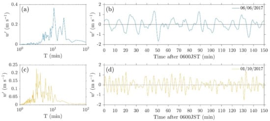
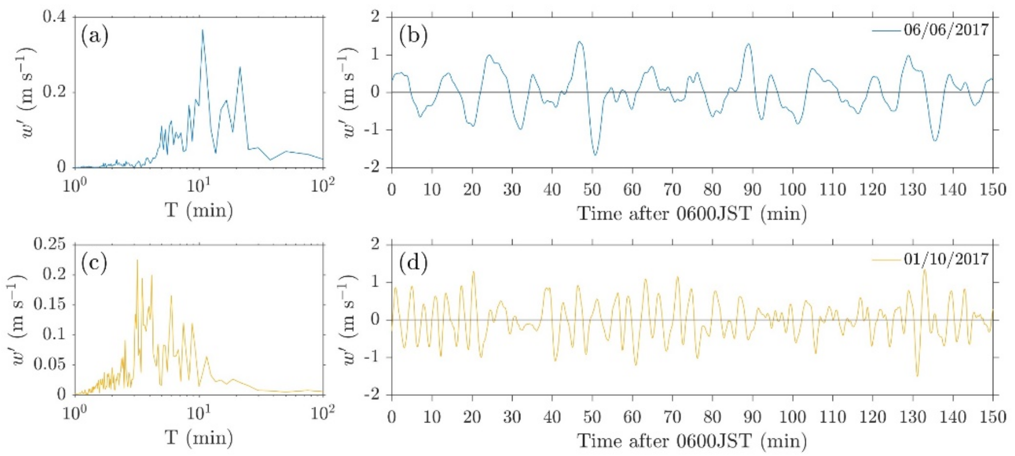
4.2. Lee–Side Turbulence Characteristics
4.3. Sensitivity to Resolution
4.4. Particle Fall Trajectory Analysis
5. Discussion and Conclusions
Author Contributions
Funding
Institutional Review Board Statement
Informed Consent Statement
Data Availability Statement
Acknowledgments
Conflicts of Interest
References
- Steyn, D.G.; De Wekker, S.F.J.; Kossman, M.; Martilli, A. Boundary layers and air quality in mountainous terrain. In Mountain Weather Research and Forecasting; Springer: New York, NY, USA, 2013; pp. 261–289. [Google Scholar]
- Cece, R.; Bernard, D.; Brioude, J.; Zahibo, N. Microscale anthropogenic pollution modelling in a small tropical island during weak trade winds: Lagrangian particle dispersion simulations using real nested LES meteorological fields. Atmos. Environ. 2016, 139, 98–112. [Google Scholar] [CrossRef]
- Poulidis, A.P.; Takemi, T.; Shimizu, A.; Iguchi, M.; Jenkins, S.F. Statistical analysis of dispersal and deposition patterns of volcanic emissions from Mt. Sakurajima, Japan. Atmos. Environ. 2018, 179, 305–320. [Google Scholar] [CrossRef]
- Vosper, S.; Ross, A.; Renfrew, I.; Sheridan, P.; Elvidge, A.; Grubisic, V. Current challenges in orographic flow dynamics: Turbulent exchange due to low–level gravity–wave processes. Atmosphere 2018, 9, 361. [Google Scholar] [CrossRef]
- Bonadonna, C.; Ernst, G.G.J.; Sparks, R.S.J. Thickness variations and volume estimates of tephra fall deposits: The importance of particle Reynolds number. J. Volcanol. Geotherm. Res. 1998, 81, 173–187. [Google Scholar] [CrossRef]
- Bonadonna, C.; Costa, A. Observational techniques: Sampling the mountain atmosphere. In Modeling Volcanic Processes: The Physics and Mathematics of Volcanism; Fagents, S.A., Gregg, T.K.P., Lopes, R.M.C., Eds.; Cambridge Academic Press: Cambridge, UK, 2013; pp. 173–202. [Google Scholar]
- Manzella, L.; Bonadonna, C.; Phillips, J.C.; Monnard, H. The role of gravitational instabilities in deposition of volcanic ash. Geology 2015, 43, 211–214. [Google Scholar] [CrossRef]
- Scollo, S.; Bonadonna, C.; Manzella, I. Settling–driven gravitational instabilities associated with volcanic clouds: New insights from experimental investigations. Bull. Volcanol. 2017, 79, 30. [Google Scholar] [CrossRef]
- Smith, R.B. Linear theory of stratified hydrostatic flow past an isolated mountain. Tellus 1980, 32, 348–364. [Google Scholar] [CrossRef]
- Durran, D.R. Mountain waves and downslope winds. In Atmospheric Processes Over Complex Terrain; Meteorological Monographs; American Meteorological Society: Boston, MA, USA, 1990; pp. 59–81. [Google Scholar]
- Armienti, P.; Macedonio, G.; Pareschi, M.T. A numerical model for simulation of tephra transport and deposition: Applications to May 18, 1980, Mount St. Helens eruption. J. Geophys. Res. 1988, 93, 6463–6476. [Google Scholar] [CrossRef]
- Folch, A. A review of tephra transport and dispersal models: Evolution, current status, and future perspectives. J. Volcanol. Geotherm. Res. 2012, 235, 96–115. [Google Scholar] [CrossRef]
- Folch, A.; Jorba, O.; Viramonte, J. Volcanic ash forecast–application to the May 2008 Chaiten eruption. Nat. Hazards Earth Syst. Sci 2008, 8, 927–940. [Google Scholar] [CrossRef]
- Corradini, S.; Merucci, L.; Folch, A. Volcanic ash cloud properties: Comparison between MODIS satellite retrievals and FALL3D transport model. IEEE Geosci. Remote Sens. 2011, 8, 248–252. [Google Scholar] [CrossRef]
- Osores, M.S.; Folch, A.; Collini, E.; Villarosa, G.; Durant, A.; Pujol, G.; Viramonte, J.G. Validation of the FALL3D model for the 2008 Chaiten eruption using field and satellite data. Andean Geol. 2013, 40, 262–276. [Google Scholar] [CrossRef]
- Steensen, T.; Stuefer, M.; Webley, P.; Grell, G.; Freitas, S. Qualitative comparison of Mount Redoubt 2009 volcanic clouds using the PUFF and WRF–Chem dispersion models and satellite remote sensing data. J. Volcanol. Geotherm. Res. 2013, 259, 235–247. [Google Scholar] [CrossRef]
- Hasegawa, Y.; Sugai, A.; Hayashi, Y.; Hayashi, Y.; Saito, S.; Shimbori, T. Improvements of volcanic ash fall forecasts issued by the Japan Meteorological Agency. J. Appl. Volcanol. 2015, 4, 2. [Google Scholar] [CrossRef]
- Poulidis, A.P.; Takemi, T.; Iguchi, M.; Renfrew, I.A. Orographic effects on the transport and deposition of volcanic ash: A case study of Mt. Sakurajima, Japan. J. Geophys. Res. Atmos. 2017, 122, 9332–9350. [Google Scholar] [CrossRef]
- Poulidis, A.P.; Phillips, J.C.; Renfrew, I.A.; Barclay, J.; Hogg, A.; Jenkins, S.F.; Robertson, R.; Pyle, D.M. Meteorological controls on local and regional volcanic ash dispersal. Sci. Rep. 2018, 89, 6873. [Google Scholar] [CrossRef]
- Wyngaard, J.C. Toward numerical modeling in the “terra incognita”. J. Atmos. Sci. 2004, 61, 1816–1826. [Google Scholar] [CrossRef]
- Zhou, B.; Chow, F.K. Nested large–eddy simulations of the intermittently turbulent stable atmospheric boundary layer over real terrain. J. Atmos. Sci. 2014, 71, 1021–1039. [Google Scholar] [CrossRef]
- Ching, J.; Rotunno, R.; Lemone, M.; Martilli, A.; Kosovic, B.; Jimenez, P.A.; Dudhia, J. Convectively induced secondary circulations in fine–grid mesoscale numerical weather prediction models. Mon. Weather Rev. 2014, 142, 3284–3302. [Google Scholar] [CrossRef]
- Takemi, T.; Rotunno, R. The effects of subgrid model mixing and numerical filtering in simulations of mesoscale cloud systems. Mon. Weather Rev. 2003, 131, 2085–2101. [Google Scholar] [CrossRef]
- Rai, R.K.; Berg, L.K.; Kosovic, B.; Mirocha, J.D.; Pekour, M.S.; Shaw, W.J. Comparison of measured and numerically simulated turbulence statistics in a convective boundary layer over complex terrain. Bound. Layer Meteorol. 2017, 163, 69–89. [Google Scholar] [CrossRef]
- Sauer, J.A.; Munoz-Esparza, D.; Canfield, J.M.; Costigan, K.R.; Linn, R.R.; Kim, Y.-J. A large–eddy simulation study of atmospheric boundary layer influence on stratified flows over terrain. J. Atmos. Sci. 2016, 73, 2615–2632. [Google Scholar] [CrossRef]
- Ma, Y.; Liu, H. Large–eddy simulations of atmospheric flows over complex terrain using the immersed–boundary method in the weather research and forecasting model. Bound. Layer Meteorol. 2017, 165, 421–445. [Google Scholar] [CrossRef]
- Xie, Z.-T.; Castro, I.P. Large–eddy simulation for flow and dispersion in urban streets. Atmos. Environ. 2009, 43, 2174–2185. [Google Scholar] [CrossRef]
- Lundquist, K.A.; Chow, F.K.; Lundquist, J.K. An immersed boundary method enabling large–eddy simulations of flow over complex terrain in the WRF model. Mon. Weather Rev. 2012, 140, 3936–3955. [Google Scholar] [CrossRef]
- Yoshida, Y.; Takemi, T.; Horiguchi, M. Large–eddy–simulation study of the effects of building–height variability on turbulent flows over an actual urban area. Bound. Layer Meteorol. 2018, 168, 127–153. [Google Scholar] [CrossRef]
- Takemi, T.; Yoshida, T.; Horiguchi, M.; Vandebauwhede, W. Large–eddy–simulation analysis of airflows and strong wind hazards in urban areas. Urban Clim. 2020, 32, 100625. [Google Scholar] [CrossRef]
- Duan, G.; Takemi, T. Gustiness in thermally–stratified urban turbulent boundary–layer flows and the influence of surface roughness. J. Wind Eng. Ind. Aerodyn. 2021, 208. [Google Scholar] [CrossRef]
- Nakayama, H.; Takemi, T.; Nagai, H. Large–eddy simulation of turbulent winds during the Fukushima Daiichi Nuclear Power Plant accident by coupling with a meso–scale meteorological simulation model. Adv. Sci. Res. 2015, 12, 127–133. [Google Scholar] [CrossRef]
- Nakayama, H.; Takemi, T.; Nagai, H. Development of local–scale high–resolution atmospheric dispersion model using large–eddy simulation. Part 5: Detailed simulation of turbulent flows and plume dispersion in an actual urban area under real meteorological conditions. J. Nucl. Sci. Tech. 2016, 53, 887–908. [Google Scholar] [CrossRef]
- Nakayama, H.; Takemi, T.; Nagai, H. Large–eddy simulation of urban boundary–layer flows by generating turbulent inflows from mesoscale meteorological simulations. Atmos. Sci. Lett. 2012, 13, 180–186. [Google Scholar] [CrossRef]
- Neggers, R.A.J.; Siebesma, A.P.; Heus, T. Continuous single–column model evaluation at a permanent meteorological supersite. Bull. Amer. Meteor. Soc. 2012, 93, 1389–1400. [Google Scholar] [CrossRef]
- Endo, S.; Fridlind, A.M.; Lin, W.; Vogelmann, A.M.; Toto, R.; Ackerman, A.S.; McFarquhar, G.M.; Jackson, R.C.; Jonsson, H.H.; Liu, Y. RACORO continental boundary layer cloud investigations: 2. Large–eddy simulations of cumulus clouds and evaluation with in situ and ground–based observations. J. Geophys. Res.—Atmospheres. 2015, 120, 5993–6014. [Google Scholar] [CrossRef]
- Heinze, R.; Moseley, C.; Boske, C.M.; Muppa, S.; Maurer, V.; Raasch, S.; Stevens, B. Evaluation of large–eddy simulations forced with mesoscale model output for a multi–week period during a measurement campaign. Atmos. Chem. Phys. 2017, 17, 7083–7109. [Google Scholar] [CrossRef]
- Talbot, C.; Bou–Zeid, E.; Smith, J. Nested mesoscale large–eddy simulations with WRF: Performance in real test cases. J. Hydrometeorol. 2012, 13, 1421–1441. [Google Scholar] [CrossRef]
- Munoz–Esparza, D.; Kosovic, B.; Mirocha, J.; van Beeck, J. Bridging the transition from mesoscale to microscale turbulence in numerical weather prediction models. Bound. Layer Meteorol. 2014, 153, 409–440. [Google Scholar] [CrossRef]
- Skamarock, W.C.; Klemp, J.B.; Dudhia, J.; Gill, D.O.; Liu, Z.; Berner, J.; Wang, W.; Powers, J.G.; Duda, M.G.; Barker, D.; et al. A Description of the Advanced Research WRF Model Version 4; NCAR/TN–556+STR: Boulder, CO, USA, 2019. [Google Scholar]
- Chu, X.; Xue, L.; Geerts, B.; Rasmussen, R.; Breed, D. A case study of radar observations and WRF LES simulations of the impact of ground–based glaciogenic seeding on orographic clouds and precipitation. Part I: Observations and model validations. J. Appl. Meteorol. Clim. 2014, 53, 2264–2286. [Google Scholar] [CrossRef]
- Nugent, A.D.; Watson, C.D.; Thompson, G.; Smith, R.B. Aerosol impacts on thermally driven orographic convection. J. Atmos. Sci. 2016, 73, 3115–3132. [Google Scholar] [CrossRef]
- Xue, L.; Chu, X.; Rasmussen, R.; Breed, D.; Geerts, B. A case study of radar observations and WRF LES simulations of the impact of ground–based glaciogenic seeding on orographic clouds and precipitation. Part II: AgI dispersion and seeding signals simulated by WRF. J. Appl. Meteorol. Clim. 2016, 55, 445–646. [Google Scholar] [CrossRef]
- Caccamo, M.T.; Castorina, G.; Colombo, F.; Insinga, V.; Maiorana, E.; Magazù, S. Weather forecast performances for complex orographic areas: Impact of different grid resolutions and of geographic data on heavy rainfall event simulations in Sicily. Atmos. Res. 2017, 198, 22–33. [Google Scholar] [CrossRef]
- Poulidis, A.P.; Takemi, T. A 1998–2013 climatology of Kyushu, Japan: Seasonal variations of stability and rainfall. Int. J. Clim. 2017, 37, 1843–1858. [Google Scholar] [CrossRef]
- Hersbach, H.; Bell, B.; Berrisford, P.; Hirahara, S.; Horányi, A.; Muñoz-Sabater, J.; Nicolas, J.; Peubey, C.; Radu, R.; Schepers, D.; et al. The ERA5 global reanalysis. Quart. J. Roy. Meteorol. Soc. 2020, 146, 1999–2049. [Google Scholar] [CrossRef]
- Banta, R.B.; Shun, C.M.; Law, D.C.; Brown, W.; Reinking, R.F.; Hardesty, R.M.; Senff, C.J.; Brewer, W.A.; Post, M.J.; Darby, L.S. Observational techniques: Sampling the mountain atmosphere. In Mountain Weather Research and Forecasting; Chow, F.K., DeWekker, S.F.J., Snyder, B.J., Eds.; Springer: New York, NY, USA, 2013; pp. 409–530. [Google Scholar]
- Barclay, J.; Johnstone, J.E.; Matthews, A.J. Meteorological monitoring of an active volcano: Implications for eruption prediction. J. Volcanol. Geotherm. Res. 2006, 150, 339–358. [Google Scholar] [CrossRef]
- Hillman, S.E.; Horwell, C.J.; Densmore, A.L.; Damby, D.E.; Fubini, B.; Ishimine, Y.; Tomatis, M. Sakurajima volcano: A physico–chemical study of the health consequences of long–term exposure to volcanic ash. Bull. Volcanol. 2012, 74, 913–930. [Google Scholar] [CrossRef]
- Eberhard, W.L.; Cupp, R.E.; Healy, K.R. Doppler lidar measurements of profiles of turbulence and momentum flux. J. Atmos. Ocean Tech. 1989, 6, 809–819. [Google Scholar] [CrossRef]
- Lang, S.; McKeogh, E. LIDAR and SODAR measurements of wind speed and direction in upland terrain for wind energy purposes. Remote Sens. 2011, 3, 1871–1901. [Google Scholar] [CrossRef]
- Argentini, S.; Petenko, I.; Viola, A.; Mastrantonio, G.; Pietroni, I.; Casasanta, G.; Genthon, C. The surface layer observed by a high–resolution sodar at DOME C., Antarctica. Ann. Geophys. 2013, 56, 5. [Google Scholar]
- Casasanta, G.; Pietroni, I.; Petenko, I.; Argentini, S. Observed and modelled convective mixing–layer height at DOME C., Antarctica. Bound. Layer Meteorol. 2014, 151, 597–608. [Google Scholar] [CrossRef]
- Shimura, T.; Inoue, M.; Tsujimoto, H.; Sasaki, K.; Iguchi, M. Estimation of wind vector profile using a hexa–rotor unmanned aerial vehicle and its application to meteorological observation up to 1000 m above surface. J. Atmos. Ocean. Tech. 2018, 35, 1621–1631. [Google Scholar] [CrossRef]
- Shin, H.H.; Hong, S.-Y. Representation of the subgrid–scale turbulent transport in convective boundary layers at gray–zone resolutions. Mon. Weather Rev. 2015, 143, 250–271. [Google Scholar] [CrossRef]
- Mirocha, J.D.; Lundquist, J.K.; Kosovic, B. Implementation of a nonlinear subfilter turbulence stress model for large–eddy simulation in the Advanced Research WRF Model. Mon. Weather Rev. 2010, 138, 4212–4228. [Google Scholar] [CrossRef]
- Klemp, J.B.; Dudhia, J.; Hassiotis, A.D. An upper gravity–wave absorbing layer for NWP applications. Mon. Weather Rev. 2008, 136, 3987–4004. [Google Scholar] [CrossRef]
- Knievel, C.C.; Bryan, G.H.; Hacker, J.P. Explicit numerical diffusion in the WRF Model. Mon. Weather Rev. 2007, 135, 3808–3824. [Google Scholar] [CrossRef]
- Iacono, M.J.; Delamere, J.S.; Mlawer, E.J.; Shephard, M.W.; Clough, S.A.; Collins, W.D. Radiative forcing by long-lived greenhouse gases: Calculations with the AER radiative transfer models. J. Geohpys. Res. Atmos. 2008, 113, D13103. [Google Scholar] [CrossRef]
- Beljaars, A.C.M. The parametrization of surface fluxes in large-scale models under free convection. Q. J. Meteorol. Soc. 1995, 12, 255–270. [Google Scholar] [CrossRef]
- Tewari, M.; Chen, F.; Wang, W.; Dudhia, J.; LeMone, M.A.; Mitchell, K.; Ek, M.; Gayno, G.; Wegiel, J.; Cuenca, R.H. Implementation and verification of the unified NOAH land surface model in the WRF model. In Proceedings of the 20th Conference on Weather Analysis and Forecasting/16th Conference on Numerical Weather Prediction, Seattle, WA, USA, 10–15 January 2004; pp. 11–15. [Google Scholar]
- Jiang, Q.; Doyle, J.D.; Smith, R.B. Interaction between trapped waves and boundary layers. J. Atmos. Sci. 2006, 63, 617–633. [Google Scholar] [CrossRef]
- Rotunno, R.; Grubivsic, V.; Smolarkiewicz, P.K. Vorticity and potential vorticity in mountain wakes. J. Atmos. Sci. 1999, 56, 2796–2810. [Google Scholar] [CrossRef]
- Joe, D.K.; Zhang, H.; DeNero, S.P.; Lee, H.-H.; Chen, S.-H.; McDonald, B.C.; Harley, R.A.; Kleeman, M.J. Implementation of a high–resolution Source–Oriented WRF/Chem model at the Port of Oakland. Atmos. Environ. 2014, 82, 351–363. [Google Scholar] [CrossRef]
- Misenis, C.; Zhang, Y. An examination of sensitivity of WRF/Chem predictions to physical parameterizations, horizontal grid spacing, and nesting options. Atmos. Res. 2010, 97, 315–334. [Google Scholar] [CrossRef]
- Antonelli, M.; Rotunno, R. Large–eddy simulation of the onset of the sea breeze. J. Atmos. Sci. 2007, 64, 4445–4457. [Google Scholar] [CrossRef]
- Jimenez, P.A.; Dudhia, J. Improving the representation of resolved and unresolved topographic effects on surface wind in the WRF model. J. Appl. Meteorol. 2013, 52, 1610–1617. [Google Scholar] [CrossRef]
- McIntyre, M.E. Potential–vorticity inversion and the wave–turbulence jigsaw: Some recent clarifications. Adv. Geosci. 2008, 15, 47–56. [Google Scholar] [CrossRef][Green Version]
- Sun, J.; Nappo, C.J.; Mahrt, L.; Beluvsic, D.; Grisogono, B.; Stauffer, D.R.; Pulido, M.; Staquet, C.; Jiang, Q.; Pouquet, A.; et al. Review of wave–turbulence interactions in the stable atmospheric boundary layer. Rev. Geophys. 2015, 53, 956–993. [Google Scholar] [CrossRef]
- Poulidis, A.P.; Iguchi, M. Model sensitivities in the case of high–resolution Eulerian simulations of local tephra transport and deposition. Atmos. Res. 2021, 247, 105136. [Google Scholar] [CrossRef]
- Oku, Y.; Takemi, T.; Ishikawa, H.; Kanada, S.; Nakano, M. Representation of extreme weather during a typhoon landfall in regional meteorological simulations: A model intercomparison study for Typhoon Songda (2004). Hydrol. Res. Lett. 2010, 4, 1–5. [Google Scholar] [CrossRef]
- Takemi, T. Importance of terrain representation in simulating a stationary convective system for the July 2017 Northern Kyushu Heavy Rainfall case. Sci. Online Lett. Atmos. 2018, 14, 153–158. [Google Scholar] [CrossRef]
- Takemi, T.; Ito, R. Benefits of high–resolution downscaling experiments for assessing strong wind hazard at local scales in complex terrain: A case study of Typhoon Songda (2004). Prog. Earth Planet. Sci. 2020, 7, 4. [Google Scholar] [CrossRef]
- Eychenne, J.; Rust, A.C.; Cashman, K.V.; Wobrock, W. Distal enhanced sedimentation from volcanic plumes: Insights from the secondary mass maxima in the 1992 Mount Spurr fallout deposits. J. Geophys. Res. Solid Earth 2017, 122, 7679–7697. [Google Scholar] [CrossRef]
- Bagheri, G.; Rossi, E.; Biass, S.; Bonadonna, C. Timing and nature of volcanic particle clusters based on field and numerical investigations. J. Volcanol. Geotherm. Res. 2016, 327, 520–530. [Google Scholar] [CrossRef]
- Folch, A.; Costa, A.; Macedonio, G. FPLUME–1.0: An integral volcanic plume model accounting for ash aggregation. Geosci. Model Dev. 2016, 9, 431–450. [Google Scholar] [CrossRef]
- Folch, A.; Costa, A.; Macedonio, G. FALL3D: A computational model for transport and deposition of volcanic ash. Comput. Geosci. 2009, 35, 1334–1342. [Google Scholar] [CrossRef]
- Rizza, U.; Brega, E.; Caccamo, M.T.; Castorina, G.; Morichetti, M.; Munaò, G.; Passerini, G.; Magazù, S. Analysis of the ETNA 2015 Eruption Using WRF–Chem Model and Satellite Observations. Atmosphere 2020, 11, 1168. [Google Scholar] [CrossRef]















Publisher’s Note: MDPI stays neutral with regard to jurisdictional claims in published maps and institutional affiliations. |
© 2021 by the authors. Licensee MDPI, Basel, Switzerland. This article is an open access article distributed under the terms and conditions of the Creative Commons Attribution (CC BY) license (http://creativecommons.org/licenses/by/4.0/).
Share and Cite
Takemi, T.; Poulidis, A.P.; Iguchi, M. High–Resolution Modeling of Airflows and Particle Deposition over Complex Terrain at Sakurajima Volcano. Atmosphere 2021, 12, 325. https://doi.org/10.3390/atmos12030325
Takemi T, Poulidis AP, Iguchi M. High–Resolution Modeling of Airflows and Particle Deposition over Complex Terrain at Sakurajima Volcano. Atmosphere. 2021; 12(3):325. https://doi.org/10.3390/atmos12030325
Chicago/Turabian StyleTakemi, Tetsuya, Alexandros P. Poulidis, and Masato Iguchi. 2021. "High–Resolution Modeling of Airflows and Particle Deposition over Complex Terrain at Sakurajima Volcano" Atmosphere 12, no. 3: 325. https://doi.org/10.3390/atmos12030325
APA StyleTakemi, T., Poulidis, A. P., & Iguchi, M. (2021). High–Resolution Modeling of Airflows and Particle Deposition over Complex Terrain at Sakurajima Volcano. Atmosphere, 12(3), 325. https://doi.org/10.3390/atmos12030325

