Satellite-Derived Spatio-Temporal Distribution and Parameters of North Atlantic Polar Lows for 2015–2017
Abstract
1. Introduction
2. Data and Methods
3. Results and Discussion
3.1. Temporal Distribution
3.2. Spatial Distribution
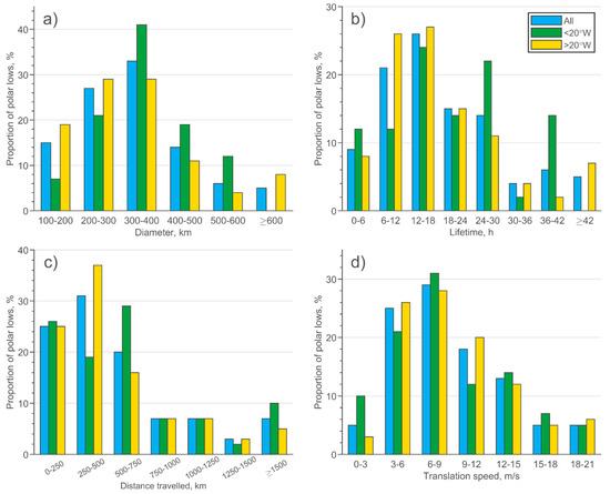
3.3. Polar Low Parameters
3.4. Formation Conditions
4. Conclusions
Supplementary Materials
Author Contributions
Funding
Institutional Review Board Statement
Informed Consent Statement
Data Availability Statement
Acknowledgments
Conflicts of Interest
References
- Rasmussen, E.A.; Turner, J. Polar Lows: Mesoscale Weather Systems in the Polar Regions; Cambridge University Press: Cambridge, UK, 2003. [Google Scholar]
- Blechschmidt, A.-M. A 2-year climatology of polar low events over the Nordic seas from satellite remote sensing. Geophys. Res. Lett. 2008, 35, L09815. [Google Scholar] [CrossRef]
- Smirnova, J.E.; Golubkin, P.A.; Bobylev, L.P.; Zabolotskikh, E.V.; Chapron, B. Polar low climatology over the Nordic and Barents seas based on satellite passive microwave data. Geophys. Res. Lett. 2015, 42, 5603–5609. [Google Scholar] [CrossRef]
- Laffineur, T.; Claud, C.; Chaboureau, J.P.; Noer, G. Polar lows over the Nordic Seas: Improved representation in ERA-Interim compared to ERA-40 and the impact on downscaled simulations. Mon. Weather Rev. 2014, 142, 2271–2289. [Google Scholar] [CrossRef]
- Zappa, G.; Shaffrey, L.; Hodges, K. Can polar lows be objectively identified and tracked in the ECMWF operational analysis and the ERA-Interim reanalysis? Mon. Weather Rev. 2014, 142, 2596–2608. [Google Scholar] [CrossRef]
- Smirnova, J.; Golubkin, P. Comparing polar lows in atmospheric reanalyses: Arctic System Reanalysis versus ERA-Interim. Mon. Weather Rev. 2017, 145, 2375–2383. [Google Scholar] [CrossRef]
- Orimolade, A.P.; Furevik, B.R.; Noer, G.; Gudmestad, O.T.; Samelson, R.M. Waves in polar lows. J. Geophys. Res. Oceans 2016, 121, 6470–6481. [Google Scholar] [CrossRef]
- Golubkin, P.; Kudryavtsev, V.; Smirnova, J.; Chapron, B. Abnormal Waves Generated by Polar Lows: Evaluation of Expectancy. In Proceedings of the 2018 IEEE International Geoscience and Remote Sensing Symposium, Valencia, Spain, 22–27 July 2018; pp. 3286–3289. [Google Scholar]
- Rojo, M.; Claud, C.; Noer, G.; Carleton, A.M. In situ measurements of surface winds, waves, and sea state in polar lows over the North Atlantic. J. Geophys. Res. Atmos. 2019, 124, 700–718. [Google Scholar] [CrossRef]
- Harrold, T.W.; Browning, K.A. The polar low as a baroclinic disturbance. Q. J. R. Meteorol. Soc. 1969, 95, 710–723. [Google Scholar] [CrossRef]
- Rasmussen, E. The polar low as an extratropical CISK disturbance. Q. J. R. Meteorol. Soc. 1979, 105, 531–549. [Google Scholar] [CrossRef]
- Emanuel, K.A.; Rotunno, R. Polar lows as arctic hurricanes. Tellus A 1989, 41, 1–17. [Google Scholar] [CrossRef]
- Montgomery, M.T.; Farrell, B.F. Polar low dynamics. J. Atmos. Sci. 1992, 49, 2484–2505. [Google Scholar] [CrossRef]
- Yarnal, B.; Henderson, K.G. A climatology of polar low cyclogenetic regions over the North Pacific Ocean. J. Clim. 1989, 2, 1476–1491. [Google Scholar] [CrossRef][Green Version]
- Businger, S. The synoptic climatology of polar-low outbreaks over the Gulf of Alaska and the Bering Sea. Tellus A 1987, 39, 307–325. [Google Scholar] [CrossRef]
- Yanase, W.; Niino, H.; Watanabe, S.I.; Hodges, K.; Zahn, M.; Spengler, T.; Gurvich, I.A. Climatology of polar lows over the Sea of Japan using the JRA-55 reanalysis. J. Clim. 2016, 29, 419–437. [Google Scholar] [CrossRef]
- Stoll, P.J.; Graversen, R.G.; Noer, G.; Hodges, K. An objective global climatology of polar lows based on reanalysis data. Q. J. R. Meteorol. Soc. 2018, 144, 2099–2117. [Google Scholar] [CrossRef]
- Wilhelmsen, K. Climatological study of gale-producing polar lows near Norway. Tellus A 1985, 37, 451–459. [Google Scholar] [CrossRef]
- Ese, T.; Kanestrøm, I.; Pedersen, K. Climatology of polar lows over the Norwegian and Barents Seas. Tellus A 1988, 40, 248–255. [Google Scholar] [CrossRef]
- Noer, G.; Saetra, Ø.; Lien, T.; Gusdal, Y. A climatological study of polar lows in the Nordic Seas. Q. J. R. Meteorol. Soc. 2011, 137, 1762–1772. [Google Scholar] [CrossRef]
- Rojo, M.; Claud, C.; Mallet, P.E.; Noer, G.; Carleton, A.M.; Vicomte, M. Polar low tracks over the Nordic Seas: A 14-winter climatic analysis. Tellus A 2015, 67, 24660. [Google Scholar] [CrossRef]
- Hanley, D.; Richards, W.G. Polar Lows in Canadian Waters 1977–1989; Report: MAES 2-91; Scientific Services Division, Atlantic Region, Atmospheric Environment Service: Toronto, ON, Canada, 1991. [Google Scholar]
- Parker, N. Cold Air Vortices and Polar Low Handbook for Canadian Meteorologists; Environment Canada: Edmonton, AB, Canada, 1997.
- Kolstad, E.W. A global climatology of favourable conditions for polar lows. Q. J. R. Meteorol. Soc. 2011, 137, 1749–1761. [Google Scholar] [CrossRef]
- Zahn, M.; von Storch, H. A long-term climatology of North Atlantic polar lows. Geophys. Res. Lett. 2008, 35. [Google Scholar] [CrossRef]
- Vogelzang, J.; Stoffelen, A.; Verhoef, A.; Figa-Saldaña, J. On the quality of high-resolution scatterometer winds. J. Geophys. Res. Oceans 2011, 116. [Google Scholar] [CrossRef]
- Hersbach, H.; Bell, B.; Berrisford, P.; Hirahara, S.; Horányi, A.; Muñoz-Sabater, J.; Nicolas, J.; Peubey, C.; Radu, R.; Schepers, D.; et al. The ERA5 global reanalysis. Q. J. R. Meteorol. Soc. 2020, 146, 1999–2049. [Google Scholar] [CrossRef]
- Rojo, M.; Noer, G.; Claud, C. Polar Low Tracks in the Norwegian Sea and the Barents Sea from 1999 until 2019; PANGAEA: Bremen, Germany, 2019. [Google Scholar] [CrossRef]
- Mallet, P.E.; Claud, C.; Cassou, C.; Noer, G.; Kodera, K. Polar lows over the Nordic and Labrador Seas: Synoptic circulation patterns and associations with North Atlantic-Europe wintertime weather regimes. J. Geophys. Res. Atmos. 2013, 118, 2455–2472. [Google Scholar] [CrossRef]
- Claud, C.; Duchiron, B.; Terray, P. Associations between large-scale atmospheric circulation and polar low developments over the North Atlantic during winter. J. Geophys. Res. Atmos. 2007, 112. [Google Scholar] [CrossRef]
- NOAA Climate Prediction Center—Teleconnections: North Atlantic Oscillation. Available online: https://www.cpc.ncep.noaa.gov/products/precip/CWlink/pna/nao.shtml (accessed on 14 December 2020).
- Kolstad, E.W.; Bracegirdle, T.J.; Seierstad, I.A. Marine cold-air outbreaks in the North Atlantic: Temporal distribution and associations with large-scale atmospheric circulation. Clim. Dyn. 2009, 33, 187–197. [Google Scholar] [CrossRef]
- Papritz, L.; Spengler, T. A Lagrangian climatology of wintertime cold air outbreaks in the Irminger and Nordic Seas and their role in shaping air–sea heat fluxes. J. Clim. 2017, 30, 2717–2737. [Google Scholar] [CrossRef]
- Carleton, A.M. Meridional transport of eddy sensible heat in winters marked by extremes of the North Atlantic Oscillation, 1948/49–1979/80. J. Clim. 1988, 1, 212–223. [Google Scholar] [CrossRef][Green Version]









| Polar Lows | Jan | Feb | Mar | Apr | Oct | Nov | Dec | Total | |
|---|---|---|---|---|---|---|---|---|---|
| All | 2015 | 15 (12) | 16 (11) | 6 (5) | 1 | 1 | 7 (4) | 15 (8) | 61 (42) |
| 2016 | 5 (3) | 0 | 5 (2) | 4 (3) | 0 | 4 (2) | 7 (5) | 25 (15) | |
| 2017 | 8 (6) | 15 (9) | 8 (5) | 3 | 0 | 6 (5) | 5 (4) | 45 (32) | |
| Total | 28 (21) | 31 (20) | 19 (12) | 8 (7) | 1 | 17 (11) | 27 (17) | 131 (89) | |
| ≤20° W | 2015 | 9 | 6 (5) | 3 | 1 | 0 | 4 (3) | 4 (3) | 27 (24) |
| 2016 | 3 (1) | 0 | 0 | 0 | 0 | 0 | 2 | 5 (3) | |
| 2017 | 1 | 2 | 1 | 2 | 0 | 1 | 3 (2) | 10 (9) | |
| Total | 13 (11) | 8 (7) | 4 | 3 | 0 | 5 (4) | 9 (7) | 42 (36) | |
| >20° W | 2015 | 6 (3) | 10 (6) | 3 (2) | 0 | 1 | 3 (1) | 11 (5) | 34 (18) |
| 2016 | 2 | 0 | 5 (2) | 4 (3) | 0 | 4 (2) | 5 (3) | 20 (12) | |
| 2017 | 7 (5) | 13 (7) | 7 (4) | 1 | 0 | 5 (4) | 2 | 35 (23) | |
| Total | 15 (10) | 23 (13) | 15 (8) | 5 (4) | 1 | 12 (7) | 18 (10) | 89 (53) |
Publisher’s Note: MDPI stays neutral with regard to jurisdictional claims in published maps and institutional affiliations. |
© 2021 by the authors. Licensee MDPI, Basel, Switzerland. This article is an open access article distributed under the terms and conditions of the Creative Commons Attribution (CC BY) license (http://creativecommons.org/licenses/by/4.0/).
Share and Cite
Golubkin, P.; Smirnova, J.; Bobylev, L. Satellite-Derived Spatio-Temporal Distribution and Parameters of North Atlantic Polar Lows for 2015–2017. Atmosphere 2021, 12, 224. https://doi.org/10.3390/atmos12020224
Golubkin P, Smirnova J, Bobylev L. Satellite-Derived Spatio-Temporal Distribution and Parameters of North Atlantic Polar Lows for 2015–2017. Atmosphere. 2021; 12(2):224. https://doi.org/10.3390/atmos12020224
Chicago/Turabian StyleGolubkin, Pavel, Julia Smirnova, and Leonid Bobylev. 2021. "Satellite-Derived Spatio-Temporal Distribution and Parameters of North Atlantic Polar Lows for 2015–2017" Atmosphere 12, no. 2: 224. https://doi.org/10.3390/atmos12020224
APA StyleGolubkin, P., Smirnova, J., & Bobylev, L. (2021). Satellite-Derived Spatio-Temporal Distribution and Parameters of North Atlantic Polar Lows for 2015–2017. Atmosphere, 12(2), 224. https://doi.org/10.3390/atmos12020224
