Effect of Wet Deposition on Secondary Inorganic Aerosols Using an Urban-Scale Air Quality Model
Abstract
1. Introduction
2. Model Description
2.1. General Model Description
2.2. Model Set-Up
3. Wet Deposition
3.1. Development of Wet Deposition Processes
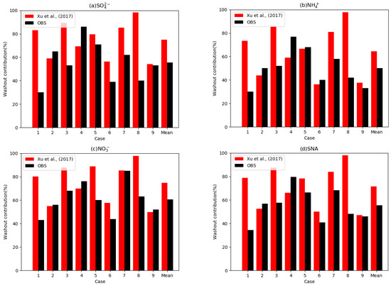
3.2. Estimation of Optimal Values of WSC for Below-Cloud Scavenging
4. Influence of Wet Deposition on Secondary Inorganic Aerosols in an Urban Area
5. Conclusions
Author Contributions
Funding
Institutional Review Board Statement
Informed Consent Statement
Data Availability Statement
Conflicts of Interest
References
- Seinfeld, J.H.; Pandis, S.N. Atmospheric Chemistry and Physics: From Air Pollution to Climate Change; John Wiley & Sons: New York, NY, USA, 2016. [Google Scholar]
- Bressi, M.; Sciare, J.; Ghersi, V.; Bonnaire, N.; Nicolas, J.B.; Petit, J.-E.; Moukhtar, S.; Rosso, A.; Mihalopoulos, N.; Féron, A. A One-Year Comprehensive Chemical Characterisation of Fine Aerosol (PM 2.5) at Urban, Suburban and Rural Background Sites in the Region of Paris (France). Atmos. Chem. Phys. 2013, 13, 7825–7844. [Google Scholar] [CrossRef]
- Textor, C.; Schulz, M.; Guibert, S.; Kinne, S.; Balkanski, Y.; Bauer, S.E.; Berntsen, T.; Berglen, T.F.; Boucher, O.; Chin, M. Analysis and Quantification of the Diversities of Aerosol Life Cycles within AeroCom. Atmos. Chem. Phys. 2006, 6, 1777–1813. [Google Scholar] [CrossRef]
- Zhang, Q.; Jimenez, J.L.; Canagaratna, M.R.; Allan, J.D.; Coe, H.; Ulbrich, I.; Alfarra, M.R.; Takami, A.; Middlebrook, A.M.; Sun, Y.L. Ubiquity and Dominance of Oxygenated Species in Organic Aerosols in Anthropogenically-Influenced Northern Hemisphere Midlatitudes. Geophys. Res. Lett. 2007, 34. [Google Scholar] [CrossRef]
- Sun, Y.; Wang, Z.; Fu, P.; Jiang, Q.; Yang, T.; Li, J.; Ge, X. The Impact of Relative Humidity on Aerosol Composition and Evolution Processes during Wintertime in Beijing, China. Atmos. Environ. 2013, 77, 927–934. [Google Scholar] [CrossRef]
- Sun, Y.; Jiang, Q.; Wang, Z.; Fu, P.; Li, J.; Yang, T.; Yin, Y. Investigation of the Sources and Evolution Processes of Severe Haze Pollution in Beijing in January 2013. J. Geophys. Res. Atmos. 2014, 119, 4380–4398. [Google Scholar] [CrossRef]
- Network Center for EANET. Data Report on the Acid Deposition in the East Asian Region 2000–2018. Available online: https://monitoring.eanet.asia/document/public/index (accessed on 28 January 2021).
- Rodhe, H.; Dentener, F.; Schulz, M. The Global Distribution of Acidifying Wet Deposition. Environ. Sci. Technol. 2002, 36, 4382–4388. [Google Scholar] [CrossRef]
- Poor, N.; Pribble, R.; Greening, H. Direct Wet and Dry Deposition of Ammonia, Nitric Acid, Ammonium and Nitrate to the Tampa Bay Estuary, FL, USA. Atmos. Environ. 2001, 35, 3947–3955. [Google Scholar] [CrossRef]
- Kim, J.-J.; Baik, J.-J. A Numerical Study of the Effects of Ambient Wind Direction on Flow and Dispersion in Urban Street Canyons Using the RNG k–ε Turbulence Model. Atmos. Environ. 2004, 38, 3039–3048. [Google Scholar] [CrossRef]
- Baik, J.-J.; Kim, J.-J.; Fernando, H.J. A CFD Model for Simulating Urban Flow and Dispersion. J. Appl. Meteorol. 2003, 42, 1636–1648. [Google Scholar] [CrossRef]
- Li, X.-X.; Liu, C.-H.; Leung, D.Y.; Lam, K.M. Recent Progress in CFD Modelling of Wind Field and Pollutant Transport in Street Canyons. Atmos. Environ. 2006, 40, 5640–5658. [Google Scholar] [CrossRef]
- Nikolova, I.; Janssen, S.; Vos, P.; Vrancken, K.; Mishra, V.; Berghmans, P. Dispersion Modelling of Traffic Induced Ultrafine Particles in a Street Canyon in Antwerp, Belgium and Comparison with Observations. Sci. Total Environ. 2011, 412, 336–343. [Google Scholar] [CrossRef] [PubMed]
- Kim, M.J. Sensitivity of Nitrate Aerosol Production to Vehicular Emissions in an Urban Street. Atmosphere 2019, 10, 212. [Google Scholar] [CrossRef]
- Kim, M.J.; Park, R.J.; Kim, J.-J.; Park, S.H.; Chang, L.-S.; Lee, D.-G.; Choi, J.-Y. Computational Fluid Dynamics Simulation of Reactive Fine Particulate Matter in a Street Canyon. Atmos. Environ. 2019, 209, 54–66. [Google Scholar] [CrossRef]
- Dentener, F.; Drevet, J.; Lamarque, J.-F.; Bey, I.; Eickhout, B.; Fiore, A.M.; Hauglustaine, D.; Horowitz, L.W.; Krol, M.; Kulshrestha, U.C. Nitrogen and Sulfur Deposition on Regional and Global Scales: A Multimodel Evaluation. Glob. Biogeochem. Cycles 2006, 20. [Google Scholar] [CrossRef]
- Yakhot, V.; Smith, L.M. The Renormalization Group, the ɛ-Expansion and Derivation of Turbulence Models. J. Sci. Comput. 1992, 7, 35–61. [Google Scholar] [CrossRef]
- Hairer, E.; Wanner, G. Rosenbrock methods. In Solving Ordinary Differential Equations II; Springer: Berlin/Heidelberg, Germany, 2002; pp. 407–425. [Google Scholar]
- Eller, P.; Singh, K.; Sandu, A.; Bowman, K.; Henze, D.K.; Lee, M. Implementation and Evaluation of an Array of Chemical Solvers in a Global Chemical Transport Model. Geophys. Model. Dev. 2009, 2, 1–7. [Google Scholar]
- Sandu, A.; Sander, R. Simulating Chemical Systems in Fortran90 and Matlab with the Kinetic PreProcessor KPP-2.1. Atmos. Chem. Phys. 2006, 6, 187–195. [Google Scholar] [CrossRef]
- Fountoukis, C.; Nenes, A. ISORROPIA II: A Computationally Efficient Thermodynamic Equilibrium Model for K+-Ca2+-Mg2+-NH4+-Na+-SO4 2-NO3-Cl-H2O Aerosols. Atmos. Chem. Phys. 2007, 7, 4639–4659. [Google Scholar] [CrossRef]
- Nenes, A.; Pandis, S.N.; Pilinis, C. ISORROPIA: A New Thermodynamic Equilibrium Model for Multiphase Multicomponent Inorganic Aerosols. Aquat. Geochem. 1998, 4, 123–152. [Google Scholar] [CrossRef]
- Jacob, D.J. Heterogeneous Chemistry and Tropospheric Ozone. Atmos. Environ. 2000, 34, 2131–2159. [Google Scholar] [CrossRef]
- Patankar, S. Numerical Heat Transfer and Fluid Flow; CRC Press: New York, NY, USA, 1980. [Google Scholar]
- Xu, D.; Ge, B.; Wang, Z.; Sun, Y.; Chen, Y.; Ji, D.; Yang, T.; Ma, Z.; Cheng, N.; Hao, J. Below-Cloud Wet Scavenging of Soluble Inorganic Ions by Rain in Beijing during the Summer of 2014. Environ. Pollut. 2017, 230, 963–973. [Google Scholar] [CrossRef] [PubMed]
- Gelaro, R.; McCarty, W.; Suárez, M.J.; Todling, R.; Molod, A.; Takacs, L.; Randles, C.A.; Darmenov, A.; Bosilovich, M.G.; Reichle, R. The Modern-Era Retrospective Analysis for Research and Applications, Version 2 (MERRA-2). J. Clim. 2017, 30, 5419–5454. [Google Scholar] [CrossRef] [PubMed]
- Powers, J.G.; Klemp, J.B.; Skamarock, W.C.; Davis, C.A.; Dudhia, J.; Gill, D.O.; Coen, J.L.; Gochis, D.J.; Ahmadov, R.; Peckham, S.E. The Weather Research and Forecasting Model: Overview, System Efforts, and Future Directions. Bull. Am. Meteorol. Soc. 2017, 98, 1717–1737. [Google Scholar] [CrossRef]
- Byun, D.; Schere, K.L. Review of the Governing Equations, Computational Algorithms, and Other Components of the Models-3 Community Multiscale Air Quality (CMAQ) Modeling System. Appl. Mech. Rev. Mar. 2006, 59, 51–77. [Google Scholar] [CrossRef]
- Houyoux, M.; Vukovich, J.; Brandmeyer, J.E.; Seppanen, C.; Holland, A. Sparse Matrix Operator Kernel Emissions Modeling System-SMOKE User Manual; Environmental Programs; MCNC-North Carolina Supercomputing Center: Research Triangle Park, NC, USA, 2000. [Google Scholar]
- Lee, D.-G.; Lee, Y.-M.; Jang, K.-W.; Yoo, C.; Kang, K.-H.; Lee, J.-H.; Jung, S.-W.; Park, J.-M.; Lee, S.-B.; Han, J.-S. Korean National Emissions Inventory System and 2007 Air Pollutant Emissions. Asian J. Atmos. Environ. 2011, 5, 278–291. [Google Scholar] [CrossRef]
- Guenther, A.; Karl, T.; Harley, P.; Wiedinmyer, C.; Palmer, P.I.; Geron, C. Estimates of Global Terrestrial Isoprene Emissions Using MEGAN (Model of Emissions of Gases and Aerosols from Nature). Atmos. Chem. Phys. 2006, 6, 3181–3210. [Google Scholar] [CrossRef]
- Woo, J.; Lee, J.-H.; Lee, S.-H. Source Object-Based Model for Emissions (SOME): A Novel Emission Processing Approach for Multi-Scale Air-Quality Modeling. AGUFM 2018, 2018, A23M-3081. [Google Scholar]
- Gao, J.; Tang, G.; Hong, Y. Similarities and Improvements of GPM Dual-Frequency Precipitation Radar (DPR) upon TRMM Precipitation Radar (PR) in Global Precipitation Rate Estimation, Type Classification and Vertical Profiling. Remote Sens. 2017, 9, 1142. [Google Scholar] [CrossRef]
- Levine, S.Z.; Schwartz, S.E. In-Cloud and below-Cloud Scavenging of Nitric Acid Vapor. Atmos. Environ. 1982, 16, 1725–1734. [Google Scholar] [CrossRef]
- Feng, J. A 3-Mode Parameterization of below-Cloud Scavenging of Aerosols for Use in Atmospheric Dispersion Models. Atmos. Environ. 2007, 41, 6808–6822. [Google Scholar] [CrossRef]
- Feng, J. A Size-Resolved Model for below-Cloud Scavenging of Aerosols by Snowfall. J. Geophys. Res. Atmos. 2009, 114. [Google Scholar] [CrossRef]
- Ge, B.; Wang, Z.; Gbaguidi, A.E.; Zhang, Q. Source Identification of Acid Rain Arising over Northeast China: Observed Evidence and Model Simulation. Aerosol. Air Qual. Res. 2015, 16, 1366–1377. [Google Scholar] [CrossRef]
- Aikawa, M.; Kajino, M.; Hiraki, T.; Mukai, H. The Contribution of Site to Washout and Rainout: Precipitation Chemistry Based on Sample Analysis from 0.5 Mm Precipitation Increments and Numerical Simulation. Atmos. Environ. 2014, 95, 165–174. [Google Scholar] [CrossRef]
- Bertrand, G.; Celle-Jeanton, H.; Laj, P.; Rangognio, J.; Chazot, G. Rainfall Chemistry: Long Range Transport versus below-cloud Scavenging. A Two-Year Study at an Inland Station (Opme, France). J. Atmos. Chem. 2008, 60, 253–271. [Google Scholar] [CrossRef]
- Wiegand, F.; Pereira, F.N.; Teixeira, E.C. Study on Wet Scavenging of Atmospheric Pollutants in South Brazil. Atmos. Environ. 2011, 45, 4770–4776. [Google Scholar] [CrossRef]
- Aikawa, M.; Hiraki, T. Washout/Rainout Contribution in Wet Deposition Estimated by 0.5 Mm Precipitation Sampling/Analysis. Atmos. Environ. 2009, 43, 4935–4939. [Google Scholar] [CrossRef]
- Jylhä, K. Empirical Scavenging Coefficients of Radioactive Substances Released from Chernobyl. Atmos. Environ. Part A Gen. Top. 1991, 25, 263–270. [Google Scholar] [CrossRef]
- Okita, T.; Hara, H.; Fukuzaki, N. Measurements of Atmospheric SO2 and SO42−, and Determination of the Wet Scavenging Coefficient of Sulfate Aerosols for the Winter Monsoon Season over the Sea of Japan. Atmos. Environ. 1996, 30, 3733–3739. [Google Scholar] [CrossRef]
- Scott, B.C. Theoretical Estimates of the Scavenging Coefficient for Soluble Aerosol Particles as a Function of Precipitation Type, Rate and Altitude. Atmos. Environ. 1982, 16, 1753–1762. [Google Scholar] [CrossRef]
- Sparmacher, H.; Fülber, K.; Bonka, H. Below-Cloud Scavenging of Aerosol Particles: Particle-Bound Radionuclides—Experimental. Atmos Environ. Part A Gen. Top. 1993, 27, 605–618. [Google Scholar] [CrossRef]
- Andronache, C. Estimated Variability of Below-Cloud Aerosol Removal by Rainfall for Observed Aerosol Size Distributions. Atmos. Chem. Phys. 2003, 3, 131–143. [Google Scholar] [CrossRef]
- Wang, X.; Zhang, L.; Moran, M.D. Bulk or Modal Parameterizations for Below-Cloud Scavenging of Fine, Coarse, and Giant Particles by Both Rain and Snow. J. Adv. Model. Earth Syst. 2014, 6, 1301–1310. [Google Scholar] [CrossRef]
- Yang, L.; Pandithurai, G.; Chate, D.M.; Rao, P.S.P.; Waghmare, V.; Iyer, U. Evidence of Precedent Wind Role on Controlling PM1 Wet Scavenging of Aerosols during Monsoon Rain Events. Atmos. Environ. 2019, 201, 265–277. [Google Scholar] [CrossRef]











| Surface Concentration of Aerosol (µg m−3) | Below-Cloud WSC | Cloud Base Height (m) | Cloud Top Height (m) | P (mm h−1) | RH (%) | Temperature (°C) | Wind Speed (m s−1) | Wind Direction (deg) | |||||
|---|---|---|---|---|---|---|---|---|---|---|---|---|---|
| K, (×10−4 s−1) | |||||||||||||
| NO3− | SO42− | NH4+ | NO3− | SO42− | NH4+ | ||||||||
| 1 | 9.6 | 9.9 | 10.9 | 6.1 | 3.4 | 2.1 | 2157 | 5199 | 5.1 | 58 | 16 | 10.2 | 178 |
| 2 | 15.4 | 24.3 | 20.6 | 10.8 | 7.1 | 5.4 | 1224 | 11,037 | 10.8 | 88 | 19 | 2.9 | 121 |
| 3 | 17.5 | 16.3 | 17.9 | 6.3 | 2.4 | 2.6 | 1860 | 2834 | 5.4 | 75 | 16 | 3.4 | 70 |
| 4 | 9.0 | 10.2 | 10.7 | 5.0 | 2.5 | 2.6 | 1336 | 6571 | 2.3 | 66 | 18 | 2.4 | 114 |
| 5 | 5.4 | 12.4 | 10.6 | 4.7 | 1.5 | 1.4 | 1534 | 11,531 | 2.4 | 85 | 19 | 1.3 | 163 |
| 6 | 5.1 | 10.6 | 23.8 | 12.1 | 3.2 | 1.8 | 1180 | 9009 | 7.5 | 72 | 23 | 3.0 | 156 |
| 7 | 9.9 | 11.3 | 9.6 | 4.7 | 2.1 | 2.9 | 2023 | 3274 | 4.3 | 48 | 20 | 4.8 | 371 |
| 8 | 7.0 | 6.0 | 5.7 | 2.2 | 0.6 | 0.9 | 2647 | 2746 | 1.0 | 67 | 19 | 3.2 | 122 |
| 9 | 18.9 | 27.9 | 14.7 | 6.4 | 2.6 | 2.4 | 1216 | 10,235 | 18.8 | 70 | 19 | 3.2 | 38 |
| Mean | 10.9 | 14.3 | 13.8 | 6.5 | 2.8 | 2.5 | 1686.3 | 6937.3 | 6.4 | 70 | 19 | 3.8 | 148 |
| Grids (z) | Pressure (hPa) | Height (m) | Grids (z) | Pressure (hPa) | Height (m) |
|---|---|---|---|---|---|
| 1 | 985 | 238 | 18 | 675 | 3297 |
| 2 | 970 | 366 | 19 | 638 | 3741 |
| 3 | 955 | 497 | 20 | 600 | 4206 |
| 4 | 940 | 628 | 21 | 563 | 4696 |
| 5 | 925 | 762 | 22 | 525 | 5213 |
| 6 | 910 | 897 | 23 | 488 | 5761 |
| 7 | 895 | 1034 | 24 | 450 | 6344 |
| 8 | 880 | 1173 | 25 | 413 | 6967 |
| 9 | 865 | 1314 | 26 | 375 | 7639 |
| 10 | 850 | 1457 | 27 | 338 | 8367 |
| 11 | 835 | 1602 | 28 | 288 | 9434 |
| 12 | 820 | 1749 | 29 | 245 | 10,497 |
| 13 | 800 | 1949 | 30 | 208 | 11,526 |
| 14 | 775 | 2204 | 31 | 177 | 12,525 |
| 15 | 750 | 2466 | 32 | 150 | 13,494 |
| 16 | 725 | 2735 | 33 | 128 | 14,432 |
| 17 | 700 | 3012 |
| Rainfall rate (mm h−1) | 22.1 | |
| Temperature (°C) | 22.0 | |
| Humidity (%) | 99.7 | |
| Wind speed (m s−1) | 14.9 | |
| Wind direction | South wind | |
| Surface concentration | SO42− (μg m−3) | 3.90 |
| NO3− (μg m−3) | 1.14 × 10−1 | |
| NH4+ (μg m−3) | 1.13 | |
| Tracer Name (Formula) | Emissions (kg h−1) | Tracer Name (Formula) | Emissions (kg h−1) |
|---|---|---|---|
| NO (NO) | 2,046,183 | RCHO (CH3CH2CHO) | 5656 |
| NO2 (NO2) | 534,530 | MACR (CH2=C(CH3)CHO) | 1086 |
| CO (CO) | 6,481,514 | PRPE (C3H6) | 7316 |
| ALK4 (≥C4 alkanes) | 160,885 | C3H8 (C3H8) | 3536 |
| ISOP (CH2=C(CH3)CH=CH2) | 56 | CH2O (HCHO) | 22,925 |
| ACET (CH3C(O)CH3) | 652 | C2H6 (C2H6) | 130,818 |
| MEK (RC(O)R) | 139 | SO2 (SO2) | 190,059 |
| ALD2 (CH3CHO) | 578 | NH3 (NH3) | 137,880 |
| WSC (s−1) = aPb (s−1) | a (s−1) | |||
| SO42− | NO3− | NH4+ | ||
| Feng [35,36] | a (s−1) | 2.36 × 10−7 | ||
| b | 0.62 | |||
| Xu et al. [25] | a (s−1) | 7.6 × 10−5 | 2.0 × 10−4 | 1.1 × 10−4 |
| b | 0.80 | 0.74 | 0.52 | |
| Optimal estimation (this study) | a (s−1) | 1.4 × 10−5 | 3.2 × 10−5 | 2.0 × 10−5 |
| b | 0.71 | |||
| Reference | a (s−1) | b | D (µm) | Method |
|---|---|---|---|---|
| Jylhä [42] | 1.0 × 10−4 | 0.64 | 0.3–0.9 | Fieldmeasurements |
| Okita et al. [43] | 1.0 × 10−4 | 0.67–0.76 | D > 2.0 | |
| Xu et al. [25] | 7.6 × 10−5–2.5 × 10−4 | 0.52–0.80 | SO42−, NO3−, NH4+ | |
| Scott. [44] | 3.56 × 10−4 | 0.78 | 10.0 | Controlledexperiment |
| Sparmacher et al. [45] | 2.34 × 10−7–1.72 × 10−6 | 0.59–0.91 | 0.23–2.16 | Theoreticalcalculation |
| Andronache [46] | 2.78 × 10−8–1.39 × 10−7 | 0.59–0.61 | D < 2.0 | |
| Feng [35,36] | 2.36 × 10−7–2.06 × 10−6 | 0.61–0.62 | 0.001–2.5 | |
| Wang et al. [47] | 6.16 × 10−6–6.16 × 10−5 | 0.64–0.72 | 0.001–2.0 |
| Wind Direction | Maximum Reduction Ratio of Concentration (%) | Mean Reduction Ratio of Concentration (%) | ||||
|---|---|---|---|---|---|---|
| SO42− | NO3− | NH4+ | SO42− | NO3− | NH4+ | |
| South | 18.0 | 25.1 | 19.2 | 7.2 | 12.1 | 7.5 |
| East | 18.5 | 32.3 | 18.3 | 9.8 | 16.1 | 10.2 |
| West | 17.9 | 32.2 | 19.0 | 6.2 | 10.1 | 6.4 |
| North | 18.3 | 31.4 | 18.7 | 9.0 | 14.6 | 9.4 |
Publisher’s Note: MDPI stays neutral with regard to jurisdictional claims in published maps and institutional affiliations. |
© 2021 by the authors. Licensee MDPI, Basel, Switzerland. This article is an open access article distributed under the terms and conditions of the Creative Commons Attribution (CC BY) license (http://creativecommons.org/licenses/by/4.0/).
Share and Cite
Kim, K.D.; Lee, S.; Kim, J.-J.; Lee, S.-H.; Lee, D.; Lee, J.-B.; Choi, J.-Y.; Kim, M.J. Effect of Wet Deposition on Secondary Inorganic Aerosols Using an Urban-Scale Air Quality Model. Atmosphere 2021, 12, 168. https://doi.org/10.3390/atmos12020168
Kim KD, Lee S, Kim J-J, Lee S-H, Lee D, Lee J-B, Choi J-Y, Kim MJ. Effect of Wet Deposition on Secondary Inorganic Aerosols Using an Urban-Scale Air Quality Model. Atmosphere. 2021; 12(2):168. https://doi.org/10.3390/atmos12020168
Chicago/Turabian StyleKim, Kwandong D., Seungyeon Lee, Jae-Jin Kim, Sang-Hyun Lee, DaeGyun Lee, Jae-Bum Lee, Jin-Young Choi, and Minjoong J. Kim. 2021. "Effect of Wet Deposition on Secondary Inorganic Aerosols Using an Urban-Scale Air Quality Model" Atmosphere 12, no. 2: 168. https://doi.org/10.3390/atmos12020168
APA StyleKim, K. D., Lee, S., Kim, J.-J., Lee, S.-H., Lee, D., Lee, J.-B., Choi, J.-Y., & Kim, M. J. (2021). Effect of Wet Deposition on Secondary Inorganic Aerosols Using an Urban-Scale Air Quality Model. Atmosphere, 12(2), 168. https://doi.org/10.3390/atmos12020168

