Study on Icing Environment Judgment Based on Radar Data
Abstract
1. Introduction
2. Materials and Methods
2.1. Data
2.2. Icing Index
2.3. Methods
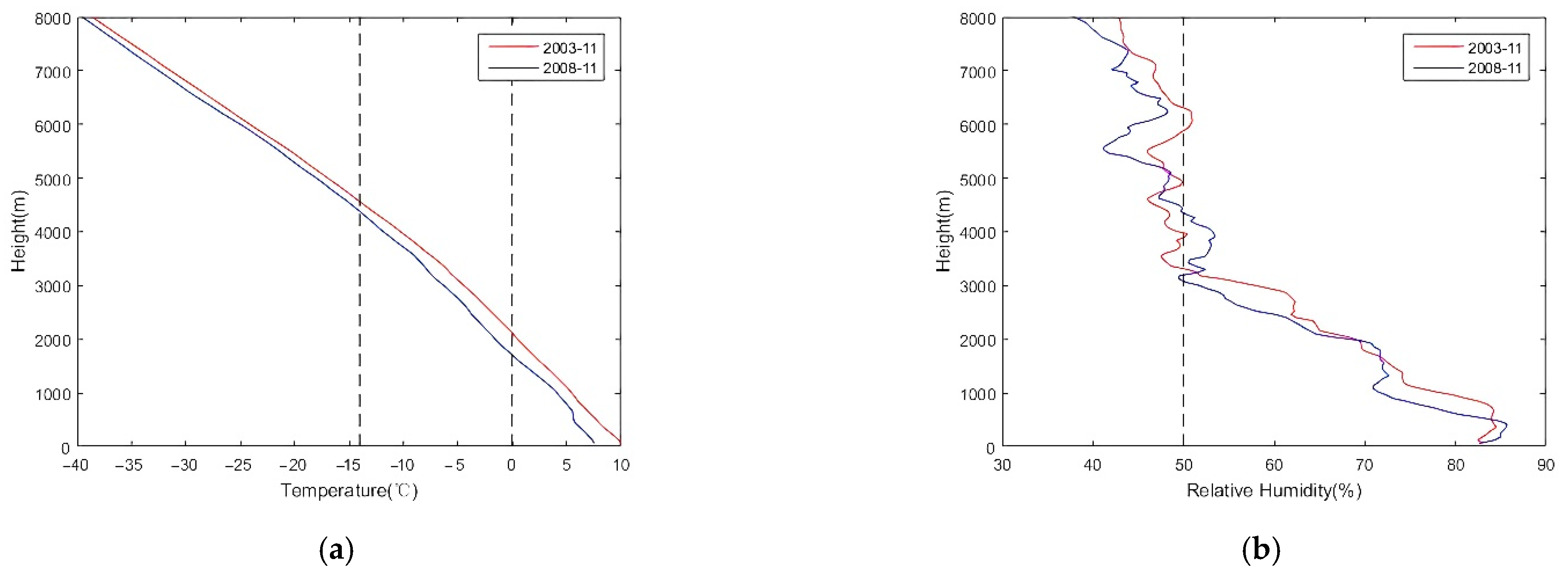
2.4. Feasibility Analysis
3. Contributions of Radar Data to Icing Index
- (1)
- It is significant to use principal component analysis to process data in this study;
- (2)
- Although the variable X1 contains a lot of information, introducing X1 into the linear regression will reduce the correction determination coefficient and linear significance of the equation, and increase the error variance, so it is reasonable not to introduce X1, which also confirms that X1 mainly represents the noise in the radar data; and
- (3)
- Although the correlation coefficient of X2 and X3 is small, and the opposite value of their correlation is similar, it will cause the loss of a lot of the main information in the sample if they are removed.
4. Qualitative Classifications of Radar Data
5. Quantitative Judgment of Icing Index
6. Discussions
6.1. The Correspondence between Radar Data and Sounding Data
6.2. Cause Analysis of Test Results
7. Conclusions
- (1)
- Combined with the data of Lidar and millimeter-wave radar, the principal component analysis method was used to improve the correction determination coefficient to 0.7240, and the noise in the data was effectively eliminated.
- (2)
- Clustering analysis can increase the proportion of ice accumulation samples from 18.81% to 33.03%. If the classification number continues to increase, there will be overfitting, so it is difficult to further improve this proportion. However, the samples that significantly deviate from the central value can be considered as impossible for ice accumulation and excluded.
- (3)
- Two kinds of neural networks are constructed, which have similar performance on the judgment results of the test set, and can reach more than a 50% accuracy rate. The error is mainly shown as a false report, and the omission rate is very low, but it is difficult to calculate the ice accumulation index quantitatively.
- (4)
- Possible reasons for inaccurate quantitative judgment include inconsistency between the location of the radar station and the sounding station, a great difference between the samples of the training set and the test set, and the ice accumulation index cannot fully represent the ice accumulation environment, etc.
Author Contributions
Funding
Data Availability Statement
Acknowledgments
Conflicts of Interest
References
- Cao, Y.; Tan, W.; Wu, Z. Aircraft icing: An ongoing threat to aviation safety. Aerosp. Sci. Technol. 2018, 75, 353–385. [Google Scholar] [CrossRef]
- NTSB. In-Flight Icing Encounter and Loss of Control Simmons Airlines, D.B.A. American Eagle Flight 4184 Avions De Transport Regional (ATR) Model 72–212, N401AM, Roselawn, Indiana 31 October 1994; National Transportation Safety Board: Washington, DC, USA, 1996; pp. 44–61.
- BEA. Final Report On the Accident on 1 June 2009 to the Airbus A330–203 Registered F-GZCP Operated by Air France Flight AF 447 Rio de Janeiro—Paris; French Civil Aviation Safety Investigation Authority: Paris, France, 2012; pp. 76–77.
- Cole, J.; Sand, W. Statistical study of aircraft icing accidents. In Proceedings of the 29th Aerospace Science Meeting, Reno, NV, USA, 7–10 January 1991; American Institute of Aeronautics: Washington, DC, USA, 1991. [Google Scholar] [CrossRef]
- Zilio, C.; Patricelli, L. Aircraft anti-ice system: Evaluation of system performance with a new time dependent mathematical model. Appl. Therm. Eng. 2014, 63, 40–51. [Google Scholar] [CrossRef]
- Grzesik, N.; Kowalik, K. Fuzzy Controller for Aircraft Anti-Icing System—Initial Design and Analysis. Solid State Phenom; Trans Tech Publications Ltd.: Stafa-Zurich, Switzerland, 2016; Volume 251, pp. 218–223. [Google Scholar] [CrossRef]
- Su, Q.; Chang, S.; Zhao, Y.; Zheng, H. A Review of Loop Heat Pipes for Aircraft Anti-Icing Applications. Appl. Therm. Eng. 2017, 130, 528–540. [Google Scholar] [CrossRef]
- Thompson, G.; Bruintjes, R.T.; Brown, B.G. Intercomparison of in-flight icing algorithms: Part I: WISP94 realtime icing prediction and evaluation program. Weather Forecast 1997, 12, 878–889. [Google Scholar] [CrossRef]
- Kelsch, M.; Wharton, L. Comparing PIREPs with NAWAU Turbulence and Icing Forecast: Issues and Results. Weather Forecast 1996, 11, 385–390. [Google Scholar] [CrossRef]
- Rotondo, D.; Cristofaro, A.; Johansen, T.A. Diagnosis of Icing and Actuator Faults in UAVs Using LPV Unknown Input Observers. J. Intell. Robot. Syst. 2017, 91, 651–665. [Google Scholar] [CrossRef]
- Carriere, M.; Alquier, S.; Bot, L. Statistical Verification of Forecast Icing Risk Indices. Meteor. Appl. 1997, 4, 115–130. [Google Scholar] [CrossRef]
- Gosset, M.; Sauvageot, H. A Dual-Wavelength Radar Method for Ice-Water Characterization in Mixed-Phase Clouds. J. Atmos. Ocean. Technol. 1992, 9, 538–547. [Google Scholar] [CrossRef][Green Version]
- Vivekanandan, J.; Zhang, G.; Politovich, M.K. An Assessment of Droplet Size and Liquid Water Content Derived from Dual-Wavelength Radar Measurements to the Application of Aircraft Icing Detection. J. Atmos. Ocean. Technol. 2001, 18, 1787–1798. [Google Scholar] [CrossRef]
- Gaussiat, N.; Sauvageot, H.; Illingworth, A.J. Cloud Liquid Water and Ice Content Retrieval by Multiwavelength Radar. J. Atmos. Ocean. Technol. 2003, 20, 1264–1275. [Google Scholar] [CrossRef][Green Version]
- Rauber, R.; Tokay, A. An Explanation for the Existence of Supercooled Water at the Top of Cold Clouds. J. Atmos. Sci. 1991, 48, 1005–1023. [Google Scholar] [CrossRef]
- Ellrod, G.P.; Bailey, A. Assessment of Aircraft Icing Potential and Maximum Icing Altitude from Geostationary Meteorological Satellite Data. Weather Forecast 2007, 22, 160–174. [Google Scholar] [CrossRef]
- Javier, D.F.; Lara, Q.H.; Pedro, B. Mountain Waves Analysis in the Vicinity of the Madrid-Barajas Airport Using the WRF Model. Adv. Meteorol. 2020. [Google Scholar] [CrossRef]
- Merino, A.; Ortega, E.G.; González, S.F. Aircraft Icing: In-Cloud Measurements and Sensitivity to Physical Parameterizations. Geophys. Res. Lett. 2019, 46, 11559–11567. [Google Scholar] [CrossRef]
- Bolgiani, P.; González, S.F.; Martin, M.L. Analysis and numerical simulation of an aircraft icing episode near Adolfo Suárez Madrid-Barajas International Airport. Atmos. Res. 2017, 200, 60–69. [Google Scholar] [CrossRef]
- Pereira, M.B. Comparison of in-flight aircraft icing algorithms based on ECMWF forecasts. Meteorol. Appl. 2016, 22, 705–715. [Google Scholar] [CrossRef]
- Federal Aviation Administration. Part 25—Airworthiness Standards: Transport Category Airplanes. Available online: https://www.ecfr.gov/cgi-bin/ECFR?page=browse (accessed on 1 September 2020).
- Matthew, D.J.; Kamran, R. Using artificial neural networks and self-organizing maps for detection of airframe icing. J. Aircr. 2001, 38, 224–230. [Google Scholar] [CrossRef]
- Ogretim, E.; Huebsch, W.; Shinn, A. Aircraft ice accretion prediction based on neural networks. J. Aircr. 2006, 43, 233–240. [Google Scholar] [CrossRef]
- Dong, Y. An application of Deep Neural Networks to the in-flight parameter identification for detection and characterization of aircraft icing. Aerosp. Sci. Technol. 2018, 77, 34–49. [Google Scholar] [CrossRef]
- Dong, Y. Implementing Deep Learning for Comprehensive Aircraft Icing and Actuator/Sensor Fault Detection/Identification. Eng. Appl. Artif. Intell. 2019, 83, 28–44. [Google Scholar] [CrossRef]
- Li, S.; Qin, J.; He, M. Fast Evaluation of Aircraft Icing Severity Using Machine Learning Based on XGBoost. Aerospace 2020, 7, 36. [Google Scholar] [CrossRef]
- Kolbakir, C.; Hu, H.; Liu, Y. An experimental study on different plasma actuator layouts for aircraft icing mitigation. Aerosp. Sci. Technol. 2020, 107, 106325. [Google Scholar] [CrossRef]
- Zhang, F.; Huang, Z.; Yao, H. Icing severity forecast algorithm under both subjective and objective parameters uncertainties. Atmos. Environ. 2016, 128, 263–267. [Google Scholar] [CrossRef]
- Zhou, C.; Li, Y.; Zheng, W. Safety Analysis for Icing Aircraft during Landing Phase Based on Reachability Analysis. Math. Probl. Eng. 2018, 14. [Google Scholar] [CrossRef]
- Cao, Y.; Tan, W.; Su, Y. The Effects of Icing on Aircraft Longitudinal Aerodynamic Characteristics. Mathematics 2020, 8, 1171. [Google Scholar] [CrossRef]
- Liu, T.; Cai, J.; Qu, K. In-flight icing simulation for two-dimensional configurations. Int. J. Mod. Phys. B 2020, 34, 2040068. [Google Scholar] [CrossRef]
- Wang, J.; Lu, Z.; Shi, Y. Aircraft icing safety analysis method in presence of fuzzy inputs and fuzzy state. Aerosp. Sci. Technol. 2018, 82, 172–184. [Google Scholar] [CrossRef]
- Wang, J.; Xie, B.; Cai, J. The Distribution of Aircraft Icing Accretion in China—Preliminary Study. Atmosphere 2020, 11, 876. [Google Scholar] [CrossRef]
- CEDA Achieve. Dataset Collection: Chilbolton Facility for Atmospheric and Radio Research (CFARR): Surface, Radar and Lidar Measurements (1998-Present). Available online: https://catalogue.ceda.ac.uk/uuid/7cbc3fc19bfa037a48ba4cba4b93544d (accessed on 1 September 2020).
- Liu, F.L.; Sun, L.T.; Li, S.J. Study on Methods of Aircraft Icing Diagnosis and Forecast. Meteorol. Environ. Sci. 2011, 34, 26–30. [Google Scholar] [CrossRef]
- Scholkopf, B.; Smola, A.; Muller, K. Nonlinear Component Analysis as a Kernel Eigenvalue Problem. Neural. Comput. 1998, 10, 1299–1319. [Google Scholar] [CrossRef]
- Aloise, D.; Deshpande, A.; Hansen, P. NP-hardness of Euclidean Sum-of-squares Clustering. Mach. Learn. 2009, 75, 245–248. [Google Scholar] [CrossRef]
- Kohonen, T. An Introduction to Neural Computing. Neural Networks. 1988, 1, 3–16. [Google Scholar] [CrossRef]
- White, A.B.; Fairall, C.W.; Frisch, A.S. Recent Radar Measurements of Turbulence and Microphysical Parameters in Marine Boundary Layer Clouds. Atmos. Res. 1996, 40, 177–221. [Google Scholar] [CrossRef]
- Ghazal, F.; Robert, S.; Joseph, D.M. Classification of lidar measurements using supervised and unsupervised machine learning methods. Atmos. Meas. Tech. 2021, 14, 391–402. [Google Scholar] [CrossRef]
- Romain, C.; Matthew, B. Aerosol light extinction and backscattering: A review with a lidar perspective. J. Quant. Spectrosc. Radiat. Transf. 2020, 262, 107492. [Google Scholar] [CrossRef]
- Brown, B.G.; Thompson, G.; Bruintjes, R.T. Intercomparison of in-flight icing algorithms: Part II: Statistical verification results. Weather Forecast 1997, 12, 890–914. [Google Scholar] [CrossRef]
- Thorne, P.W.; Lanzante, J.; Peterson, T. Tropospheric temperature Trends: History of an Ongoing Controversy. Wires. Clim. Chang. 2011, 2, 66–88. [Google Scholar] [CrossRef]
- Chernykh, I.V.; Aldukhov, O.A. Temperature and Humidity Trends in the Lower Atmospheric 2-km Layer over the Russian Arctic According to Radiosonde Data. Russ. Meteorol. Hydrol. 2020, 45, 615–622. [Google Scholar] [CrossRef]
- Gultepe, I.; Agelin-Chaab, M.; Komar, J. A Meteorological Supersite for Aviation and Cold Weather Applications. Pure Appl. Geophys. 2018, 176, 1977–2015. [Google Scholar] [CrossRef]
- Gultepe, I.; Sharman, R.; Williams, P.D. A Review of High Impact Weather for Aviation Meteorology. Pure Appl. Geophys. 2019, 176, 1869–1921. [Google Scholar] [CrossRef]






| Data Type | Sample Size | Sample Proportion |
|---|---|---|
| Class 0 (Lack of Radar Data, no Risk of Icing) | 5379 | 73.48% |
| Class 1 (Lack of Radar Data, Risk of Icing) | 431 | 5.888% |
| Class 2 (with Radar Data, Risk of Icing) | 284 | 3.880% |
| Class 3 (with Radar Data, no Risk of Icing) | 1226 | 16.75% |
| 1 | 0.4429 | 0.1959 | 0.5262 | 0.0834 | −0.1005 | |
| 0.4429 | 1 | −0.3858 | −0.0933 | −0.5473 | −0.2310 | |
| 0.1959 | −0.3868 | 1 | 0.0163 | 0.5585 | 0.1874 | |
| 0.5262 | −0.0933 | 0.0163 | 1 | 0.4268 | 0.3043 | |
| 0.0834 | −0.5473 | 0.5585 | 0.4268 | 1 | 0.6059 | |
| −0.1005 | −0.2310 | 0.1874 | 0.3043 | 0.6059 | 1 |
| Variable | |||||
|---|---|---|---|---|---|
| Contribution | 48.7108% | 22.1684% | 13.1940% | 12.1635% | 3.7633% |
| Coefficient | 0.0358 | 0.3731 | −0.3005 | 0.7156 | 0.0203 |
| F | p | ||||
|---|---|---|---|---|---|
| Equation (3) | 0.7433 | 0.7127 | 24.3171 | 159.6470 | |
| Equation (8) | 0.7428 | 0.7189 | 31.0531 | 156.1843 | |
| Equation (9) | 0.7416 | 0.7240 | 42.0839 | 153.3960 | |
| Equation (10) | 0.5120 | 0.5014 | 48.2668 | 277.0431 |
| Class Number | Clustering Centroid Coordinates | ||
|---|---|---|---|
| 2 | A: −0.0641, 0.1995, −0.2051 | B: 0.8320, −2.5901, 2.6630 | |
| 3 | A: −0.9357, 0.5370, −0.4123 | B: 0.8336, −2.6728, 2.6869 | C: 0.6812, −0.0907, −0.0173 |
| 4 | A: −0.9288, 0.5410, −0.4338 | B: 0.3101, −0.0073, 1.8097 | C: 0.7175, −0.1236, −0.2475 |
| D: 1.0626, −3.3536, 2.4532 | |||
| 5 | A: −0.9272, 0.5579, −0.4562 | B: 1.0696, −0.7167, 6.1073 | C: 0.7279, −0.1161, −0.2576 |
| D: 1.0190, −3.3857, 2.2587 | E: 0.1607, −0.0542, 1.4754 | ||
| 6 | A: −0.9137, 0.5984, −0.4645 | B: 1.0696, −0.7167, 6.1073 | C: 0.7347, −0.0896, −0.2614 |
| D: 1.0795, −3.4246, 2.3176 | E: −0.5444, −0.9664, 1.0476 | F: 0.9914, 0.8563, 1.7943 | |
| 7 | A: −0.9137, 0.5984, −0.4645 | B: 0.9658, 0.0421, 5.9582 | C: 0.7347, −0.0896, −0.2614 |
| D: 1.0688, −3.4310, 2.2907 | E: −0.5444, −0.9664, 1.0476 | F: 0.9914, 0.8563, 1.7943 | |
| G: 1.4486, −2.6048, 5.9101 | |||
| Class Number | Ratio of Icing Risk (Number of Samples with Icing Risk/Total Number of Samples in This Category) | ||||||
|---|---|---|---|---|---|---|---|
| Class A | Class B | Class C | Class D | Class E | Class F | Class G | |
| 2 | 284/1402 | 0/108 | |||||
| 3 | 65/646 | 0/104 | 219/760 | ||||
| 4 | 67/641 | 1/136 | 216/654 | 0/79 | |||
| 5 | 67/629 | 0/10 | 215/646 | 0/77 | 2/148 | ||
| 6 | 61/617 | 0/10 | 215/641 | 0/74 | 8/107 | 0/61 | |
| 7 | 61/617 | 0/7 | 215/641 | 0/73 | 8/107 | 0/61 | 0/4 |
| Neural Network Structure 1 | Neural Network Structure 2 | |
|---|---|---|
| COR | 49.80% | 76.52% |
| WRO | 50.20% | 23.48% |
| FOH | 37.06% | 56.88% |
| FAR | 62.94% | 43.12% |
| DFR | 0% | 7.97% |
Publisher’s Note: MDPI stays neutral with regard to jurisdictional claims in published maps and institutional affiliations. |
© 2021 by the authors. Licensee MDPI, Basel, Switzerland. This article is an open access article distributed under the terms and conditions of the Creative Commons Attribution (CC BY) license (https://creativecommons.org/licenses/by/4.0/).
Share and Cite
Wang, J.; Xie, B.; Cai, J.; Wang, Y.; Chen, J. Study on Icing Environment Judgment Based on Radar Data. Atmosphere 2021, 12, 1534. https://doi.org/10.3390/atmos12111534
Wang J, Xie B, Cai J, Wang Y, Chen J. Study on Icing Environment Judgment Based on Radar Data. Atmosphere. 2021; 12(11):1534. https://doi.org/10.3390/atmos12111534
Chicago/Turabian StyleWang, Jinhu, Binze Xie, Jiahan Cai, Yuhao Wang, and Jiang Chen. 2021. "Study on Icing Environment Judgment Based on Radar Data" Atmosphere 12, no. 11: 1534. https://doi.org/10.3390/atmos12111534
APA StyleWang, J., Xie, B., Cai, J., Wang, Y., & Chen, J. (2021). Study on Icing Environment Judgment Based on Radar Data. Atmosphere, 12(11), 1534. https://doi.org/10.3390/atmos12111534

