Tropospheric Refractivity Profile Estimation by GNSS Measurement at China Big-Triangle Points
Abstract
:1. Introduction
2. Data
3. Method
3.1. Retrieving the Profile of Water Vapor Pressure Based on GPS Measurement
3.1.1. Correlation Analysis between Zenith Wet Delay (ZWD) and Water Vapor Pressure
3.1.2. Estimation of Zenith Wet Delay (ZWD) by GNSS Precise Point Positioning
3.1.3. Building Inversion Model by Intelligent Optimization Algorithm
- The radiosonde data including atmospheric temperature, relative humidity, pressure, and height should be extracted from years of original radiosonde data. Then, we can obtain the water vapor pressure by Equation (8) and calculate ZWD by Equation (11).
- Divide all the data mentioned in step 1 into two parts: the train-data sets and the test-data sets, of which the proportion is 90 and 10 percent, respectively.
- Train the inversion network of RVM based on the train-data sets by adjusting the key parameters such as function of kernels, weight coefficients, and normalization variables.
- By putting surface temperature, water vapor pressure, pressure, and ZWD of test-data sets into inversion network built in step 3, we can get the retrieved profile of water vapor pressure. The accuracy of the model can be evaluated by comparing the retrieved profile of water vapor pressure with radiosonde profile of water vapor pressure. An accuracy threshold is set as 7 N-unit here, if the accuracy is enough, the modeling procedure is over, otherwise step 3 will be repeated until the error expectation is reached.
3.1.4. Retrieving the Profile of Water Vapor Pressure Based on GNSS Measurement
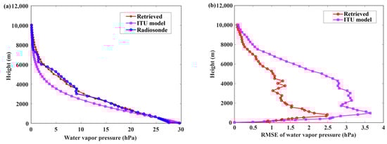
3.1.5. Inversion Examples and Analysis
3.2. Fitted Temperature and Pressure Profile of Reference Model
4. Results and Discussion
5. Conclusions
Author Contributions
Funding
Institutional Review Board Statement
Informed Consent Statement
Data Availability Statement
Acknowledgments
Conflicts of Interest
Appendix A
| Month | Height (m) | |||||||
|---|---|---|---|---|---|---|---|---|
| 526 | 1026 | 2076 | 3076 | 4076 | 5076 | 7076 | 10,076 | |
| January | 0.85 | 0.83 | 0.85 | 0.75 | 0.71 | 0.53 | 0.39 | 0.28 |
| February | 0.87 | 0.87 | 0.88 | 0.76 | 0.69 | 0.52 | 0.36 | 0.24 |
| Marth | 0.84 | 0.86 | 0.84 | 0.74 | 0.65 | 0.52 | 0.34 | 0.30 |
| April | 0.81 | 0.86 | 0.84 | 0.75 | 0.68 | 0.58 | 0.42 | 0.36 |
| May | 0.82 | 0.86 | 0.88 | 0.80 | 0.77 | 0.65 | 0.47 | 0.36 |
| June | 0.79 | 0.84 | 0.85 | 0.76 | 0.77 | 0.68 | 0.53 | 0.46 |
| July | 0.77 | 0.83 | 0.89 | 0.82 | 0.82 | 0.71 | 0.50 | 0.32 |
| August | 0.83 | 0.86 | 0.90 | 0.82 | 0.81 | 0.69 | 0.45 | 0.34 |
| September | 0.79 | 0.83 | 0.87 | 0.80 | 0.75 | 0.63 | 0.44 | 0.34 |
| October | 0.87 | 0.86 | 0.85 | 0.77 | 0.70 | 0.55 | 0.36 | 0.25 |
| November | 0.89 | 0.88 | 0.86 | 0.76 | 0.71 | 0.57 | 0.45 | 0.32 |
| December | 0.93 | 0.91 | 0.89 | 0.89 | 0.82 | 0.78 | 0.62 | 0.46 |
| Month | Height (m) | |||||||
|---|---|---|---|---|---|---|---|---|
| 507 | 1107 | 2007 | 3007 | 4007 | 5007 | 7007 | 10,007 | |
| January | 0.84 | 0.84 | 0.78 | 0.74 | 0.66 | 0.58 | 0.38 | 0.12 |
| February | 0.80 | 0.79 | 0.75 | 0.75 | 0.72 | 0.65 | 0.47 | 0.43 |
| Marth | 0.70 | 0.72 | 0.73 | 0.70 | 0.65 | 0.54 | 0.41 | 0.40 |
| April | 0.70 | 0.76 | 0.77 | 0.75 | 0.71 | 0.64 | 0.51 | 0.08 |
| May | 0.57 | 0.75 | 0.79 | 0.82 | 0.82 | 0.76 | 0.61 | 0.50 |
| June | 0.49 | 0.62 | 0.74 | 0.78 | 0.80 | 0.73 | 0.57 | 0.12 |
| July | 0.54 | 0.64 | 0.72 | 0.74 | 0.76 | 0.68 | 0.56 | 0.13 |
| August | 0.51 | 0.66 | 0.73 | 0.78 | 0.78 | 0.74 | 0.66 | 0.14 |
| September | 0.68 | 0.68 | 0.74 | 0.72 | 0.74 | 0.72 | 0.61 | 0.12 |
| October | 0.82 | 0.82 | 0.82 | 0.73 | 0.72 | 0.70 | 0.62 | 0.35 |
| November | 0.83 | 0.85 | 0.83 | 0.73 | 0.69 | 0.62 | 0.40 | 0.39 |
| December | 0.86 | 0.86 | 0.85 | 0.74 | 0.70 | 0.63 | 0.42 | 0.06 |
| Month | Height (m) | |||||||
|---|---|---|---|---|---|---|---|---|
| 1290 | 1540 | 2090 | 2990 | 4040 | 5040 | 7040 | 10,040 | |
| January | 0.76 | 0.68 | 0.77 | 0.74 | 0.74 | 0.63 | 0.46 | 0.22 |
| February | 0.85 | 0.83 | 0.85 | 0.75 | 0.69 | 0.59 | 0.41 | 0.31 |
| Marth | 0.87 | 0.87 | 0.91 | 0.83 | 0.71 | 0.53 | 0.32 | 0.23 |
| April | 0.85 | 0.89 | 0.92 | 0.89 | 0.80 | 0.59 | 0.41 | 0.34 |
| May | 0.88 | 0.91 | 0.93 | 0.90 | 0.82 | 0.62 | 0.39 | 0.31 |
| June | 0.87 | 0.89 | 0.91 | 0.88 | 0.81 | 0.67 | 0.56 | 0.40 |
| July | 0.82 | 0.86 | 0.89 | 0.82 | 0.76 | 0.58 | 0.52 | 0.28 |
| August | 0.80 | 0.84 | 0.87 | 0.84 | 0.78 | 0.62 | 0.52 | 0.32 |
| September | 0.87 | 0.88 | 0.90 | 0.88 | 0.78 | 0.55 | 0.41 | 0.31 |
| October | 0.89 | 0.88 | 0.93 | 0.88 | 0.74 | 0.55 | 0.33 | 0.23 |
| November | 0.85 | 0.82 | 0.87 | 0.85 | 0.76 | 0.61 | 0.40 | 0.23 |
| December | 0.84 | 0.79 | 0.84 | 0.82 | 0.77 | 0.71 | 0.48 | 0.37 |
| Month | Height (m) | |||||||
|---|---|---|---|---|---|---|---|---|
| 482 | 1032 | 1932 | 3082 | 4082 | 5082 | 7082 | 10,082 | |
| January | 0.83 | 0.88 | 0.85 | 0.79 | 0.72 | 0.60 | 0.50 | −0.19 |
| February | 0.89 | 0.92 | 0.88 | 0.79 | 0.67 | 0.54 | 0.40 | −0.25 |
| Marth | 0.91 | 0.92 | 0.88 | 0.77 | 0.66 | 0.55 | 0.42 | −0.12 |
| April | 0.93 | 0.93 | 0.90 | 0.78 | 0.70 | 0.60 | 0.49 | 0.24 |
| May | 0.92 | 0.91 | 0.89 | 0.78 | 0.68 | 0.58 | 0.44 | 0.31 |
| June | 0.90 | 0.89 | 0.88 | 0.76 | 0.73 | 0.64 | 0.48 | 0.34 |
| July | 0.84 | 0.85 | 0.83 | 0.77 | 0.74 | 0.63 | 0.47 | 0.40 |
| August | 0.86 | 0.86 | 0.87 | 0.79 | 0.75 | 0.64 | 0.50 | 0.44 |
| September | 0.91 | 0.92 | 0.90 | 0.81 | 0.76 | 0.66 | 0.54 | 0.39 |
| October | 0.91 | 0.92 | 0.90 | 0.78 | 0.69 | 0.57 | 0.45 | 0.16 |
| November | 0.92 | 0.93 | 0.90 | 0.83 | 0.72 | 0.59 | 0.49 | −0.02 |
| December | 0.88 | 0.90 | 0.86 | 0.83 | 0.73 | 0.62 | 0.46 | −0.10 |
References
- Shikhovtsev, A.Y.; Kovadlo, P.G.; Bol’Basova, L.A.; Lukin, V.P. Features of the Formation of Wavefront Slopes on the Telescope Aperture at Different Vertical Profiles of Optical Atmospheric Turbulence. Atmos. Ocean. Opt. 2020, 33, 141–145. [Google Scholar] [CrossRef]
- Bettouche, Y.; Obeidat, H.; Agba, B.; Kouki, A.; Alhassan, H.; Rodriguez, J.; Abd-Alhameed, R.; Jones, S. Long-Term Evolution of The Surface Refractivity for Arctic Regions. Radio Sci. 2019, 54, 602–611. [Google Scholar] [CrossRef] [Green Version]
- Kovadlo, P.G.; Lukin, V.P.; Shikhovtsev, A.Y. Development of the Model of Turbulent Atmosphere at the Large Solar Vacuum Telescope Site as Applied to Image Adaptation. Atmos. Ocean. Opt. 2019, 32, 202–206. [Google Scholar] [CrossRef]
- Matsumoto, H. The Refractive Index of Moist Air in the 3-μm Region. Metrologia 1982, 18, 49–52. [Google Scholar] [CrossRef]
- Lowry, A.R.; Rocken, C.; Sokolovskiy, S.V.; Anderson, K.D. Vertical profiling of atmospheric refractivity from ground-based GPS. Radio Sci. 2002, 37, 1–21. [Google Scholar] [CrossRef]
- Doerry, A.W. Earth Curvature and Atmospheric Refraction Effects on Radar Signal Propagation; Sandia National Laboratories: Albuquerque, NM, USA, 2013; pp. 15–20.
- Ovodenko, V.; Trekin, V.; Korenkova, N.; Klimenko, M. Investigating range error compensation in UHF radar through IRI-2007 real-time updating: Preliminary results. Adv. Space Res. 2015, 56, 900–906. [Google Scholar] [CrossRef]
- Tang, T.; Liu, G.; Liu, L. Numerical modeling the propagation path of radio waves with atmospheric refractivity. Microw. Opt. Technol. Lett. 2020, 62, 1651–1655. [Google Scholar] [CrossRef]
- Hopfield, H.S. Two-quartic tropospheric refractivity profile for correcting satellite data. J. Geophys. Res. 1969, 74, 4487–4499. [Google Scholar] [CrossRef]
- Bean, B.R.; Thayer, G.D. Models of the Atmospheric Radio Refractive Index. Proc. IRE 1959, 47, 740–755. [Google Scholar] [CrossRef]
- Kämpfer, N.; Nedoluha, G.; Haefele, A.; Dewachter, E. Monitoring Atmospheric Water Vapour; Springer: New York, NY, USA, 2013; pp. 3–5. [Google Scholar]
- Torres, B.; Cachorro, V.E.; Toledano, C.; Ortiz-De-Galisteo, J.P.; Berjón, A.J.; De Frutos, A.M.; Bennouna, Y.; Laulainen, N. Precipitable water vapor characterization in the Gulf of Cadiz region (southwestern Spain) based on Sun photometer, GPS, and radiosonde data. J. Geophys. Res. 2010, 115, 1–11. [Google Scholar] [CrossRef] [Green Version]
- Kuznetsov, A.; Seroukhova, O.; Simakina, T.; Kryukova, S. The vertical profile of the refraction coefficient for microwave radiation in the troposphere and its variability. J. Phys. Conf. Ser. 2021, 1991, 012008. [Google Scholar] [CrossRef]
- Dong, X.; Yang, L.; Zhu, Q.; Guo, C.; Zhao, Z.; Lin, L. A Method of Retrieving Tropospheric Refractivity Above Ocean Surface using GNSS. In Proceedings of the 2018 12th International Symposium on Antennas, Propagation and EM Theory (ISAPE), Hangzhou, China, 3–6 December 2018; pp. 1–4. [Google Scholar]
- Liao, Q.; Sheng, Z.; Shi, H. Joint Inversion of Atmospheric Refractivity Profile Based on Ground-Based GPS Phase Delay and Propagation Loss. Atmosphere 2016, 7, 12. [Google Scholar] [CrossRef] [Green Version]
- Trzcina, E.; Rohm, W. Estimation of 3D wet refractivity by tomography, combining GNSS and NWP data: First results from assimilation of wet refractivity into NWP. Q. J. R. Meteorol. Soc. 2019, 145, 1034–1051. [Google Scholar] [CrossRef]
- Lin, L.; Zhao, Z.; Zhang, Y.; Zhu, Q. Tropospheric refractivity profiling based on refractivity profile model using single ground-based global positioning system. IET Radar Sonar Navig. 2011, 5, 7–11. [Google Scholar] [CrossRef]
- Perler, D.; Geiger, A.; Hurter, F. 4D GPS water vapor tomography: New parameterized approaches. J. Geod. 2011, 85, 539–550. [Google Scholar] [CrossRef] [Green Version]
- Niell, A.E.; Coster, A.J.; Solheim, F.S.; Mendes, V.B.; Toor, P.C.; Langley, R.B.; Upham, C.A. Comparison of Measurements of Atmospheric Wet Delay by Radiosonde, Water Vapor Radiometer, GPS, and VLBI. J. Atmos. Ocean. Tech. 2001, 18, 830–850. [Google Scholar] [CrossRef] [Green Version]
- Tipping, M. Sparse Bayesian Learning and the Relevance Vector Machine. J. Mach. Learn. Res. 2001, 1, 211–244. [Google Scholar]
- Chen, J.; Yang, S.; Tan, W.; Wang, J.; Chen, Q.; Zhang, Y. Recent Results of the Chinese CMONOC GNSS Network. In Proceedings of the ION 2017 Pacific PNT Meeting, Honolulu, HI, USA, 1–4 May 2017; pp. 539–546. [Google Scholar]
- Nilsson, T.; Böhm, J.; Wijaya, D.D.; Tresch, A.; Nafisi, V.; Schuh, H. Path Delays in the Neutral Atmosphere; Springer: Berlin/Heidelberg, Germany, 2013; pp. 73–136. [Google Scholar]
- Hill, R.J.; Lawrence, R.S.; Priestley, J.T. Theoretical and calculational aspects of the radio refractive index of water vapor. Radio Sci. 1982, 17, 1251–1257. [Google Scholar] [CrossRef]
- Pikridas, C.; Katsougiannopoulos, S.; Zinas, N. A comparative study of zenith tropospheric delay and precipitable water vapor estimates using scientific GPS processing software and web based automated PPP service. Acta Geod. Geophys. 2014, 49, 177–188. [Google Scholar] [CrossRef]
- Saastamoinen, J. Atmospheric Correction for the Troposphere and Stratosphere in Radio Ranging Satellites. In Use of Aritificial Satellites for Geodesy; Wiley: Hoboken, NJ, USA, 1972; Volume 15, pp. 247–251. [Google Scholar]
- Zumberge, J.F.; Heflin, M.B.; Jefferson, D.C.; Watkins, M.M.; Webb, F.H. Precise point positioning for the efficient and robust analysis of GPS data from large networks. J. Geophys. Res. 1997, 102, 5005–5017. [Google Scholar] [CrossRef] [Green Version]
- Herring, T. Modelling Atmospheric Delays in the Analysis of Space Geodetic Data. In Proceedings of the Symposium on Refraction of Transatmospheric Signals in Geodesy, The Hague, The Netherlands, 19–22 May 1992; pp. 157–164. [Google Scholar]
- Neill, A.E. Global mapping for the atmospheric delay at radio wavelenghts. J. Geophys. Res. Atmos. 1996, 111, 3227–3246. [Google Scholar] [CrossRef]
- Boehm, J.; Niell, A.; Tregoning, P.; Schuh, H. Global Mapping Function (GMF): A new empirical mapping function based on numerical weather model data. Geophys. Res. Lett. 2006, 33, 1–4. [Google Scholar] [CrossRef] [Green Version]
- Kouba, J. Implementation and testing of the gridded Vienna Mapping Function 1 (VMF1). J. Geod. 2008, 82, 193–205. [Google Scholar] [CrossRef]
- Mendes, V.B.; Langley, R.B. Tropospheric Zenith Delay Prediction Accuracy for High-Precision GPS Positioning and Navigation. Navigation 1999, 46, 25–34. [Google Scholar] [CrossRef]
- Hobiger, T.; Ichikawa, R.; Koyama, Y.; Kondo, T. Fast and accurate ray-tracing algorithms for real-time space geodetic applications using numerical weather models. J. Geophys. Res. 2008, 113, 1–14. [Google Scholar] [CrossRef]
- Narendra, K. Neural networks for control theory and practice. Proc. IEEE 1996, 84, 1385–1406. [Google Scholar] [CrossRef]
- Vapnik, V.N. The Nature of Statistical Learning Theory; Springer: New York, NY, USA, 2000; pp. 138–146. [Google Scholar]
- ITU-R. Recommendation ITU-R P.835-5: Reference Standard Atmospheres; ITU: Geneva, Switzerland, 2012. [Google Scholar]












| Station | Radiosonde Station Location | GPS Site Location | Distance (km) | Altitude Differences (m) |
|---|---|---|---|---|
| Qingdao | 36.07° N, 120.33° E | 36.08° N, 120.30° E | 2.46 | 62.87 |
| Sanya | 18.23° N, 109.52° E | 18.24° N, 109.53° E | 1.28 | 43.17 |
| Kashi | 39.47° N, 75.98° E | 39.74° N, 75.24° E | 70.45 | 908.7 |
| Jiamusi | 46.82° N, 130.28° E | 47.35° N, 130.24° E | 59.32 | 128.55 |
Publisher’s Note: MDPI stays neutral with regard to jurisdictional claims in published maps and institutional affiliations. |
© 2021 by the authors. Licensee MDPI, Basel, Switzerland. This article is an open access article distributed under the terms and conditions of the Creative Commons Attribution (CC BY) license (https://creativecommons.org/licenses/by/4.0/).
Share and Cite
Dong, X.; Sun, F.; Zhu, Q.; Lin, L.; Zhao, Z.; Zhou, C. Tropospheric Refractivity Profile Estimation by GNSS Measurement at China Big-Triangle Points. Atmosphere 2021, 12, 1468. https://doi.org/10.3390/atmos12111468
Dong X, Sun F, Zhu Q, Lin L, Zhao Z, Zhou C. Tropospheric Refractivity Profile Estimation by GNSS Measurement at China Big-Triangle Points. Atmosphere. 2021; 12(11):1468. https://doi.org/10.3390/atmos12111468
Chicago/Turabian StyleDong, Xiang, Fang Sun, Qinglin Zhu, Leke Lin, Zhenwei Zhao, and Chen Zhou. 2021. "Tropospheric Refractivity Profile Estimation by GNSS Measurement at China Big-Triangle Points" Atmosphere 12, no. 11: 1468. https://doi.org/10.3390/atmos12111468
APA StyleDong, X., Sun, F., Zhu, Q., Lin, L., Zhao, Z., & Zhou, C. (2021). Tropospheric Refractivity Profile Estimation by GNSS Measurement at China Big-Triangle Points. Atmosphere, 12(11), 1468. https://doi.org/10.3390/atmos12111468

