Comparison of Reanalysis and Observational Precipitation Datasets Including ERA5 and WFDE5
Abstract
:1. Introduction
2. Data
2.1. E-OBS
2.2. ERA5
2.3. ERA5-Land
2.4. ERA-Interim
2.5. GPCC
2.6. GPCP-SG
2.7. JRA-55
2.8. MERRA-2
2.9. PERSIANN-CDR
2.10. TRMM-L3
2.11. WFDE5
3. Tools and Methods
3.1. Earth System Model Evaluation Tool
3.2. Geographical Regions
- Tropics: spans the latitude belt from 30° S to 30° N over all longitudes. In this region convection plays a dominant role and high temperatures allow for a high concentration of water vapor in the atmosphere. This region is typically associated with high precipitation values;
- Pacific Inter Tropical Convergence Zone (ITCZ): spans the region from 0° N to 12° N and 136° E to 85° W in the Pacific Ocean. In this region deep convection occurs frequently connected with large amounts of precipitation. Convection in the ITCZ is an important driver of the global circulation (Hadley cell);
- South Asian (SA) Monsoon: spans the region from 5° N to 30° N and 65° E to 95° E. In this region precipitation shows a distinct annual cycle with the frequent occurrence of heavy precipitation in summer (monsoon);
- Central Europe: spans the region from 42° N to 53° N and 0° E to 20° E. This is a region where many ground-based observations are available which are used for assimilation in reanalysis products. In the winter half-year precipitation is dominated by synoptic scale extratropical cyclones whereas in the summer half-year convective processes are dominant.
3.3. Regridding and Masking
4. Results
4.1. Overview Statistics
4.2. Geographical Distribution of Precipitation Rate Climatologies
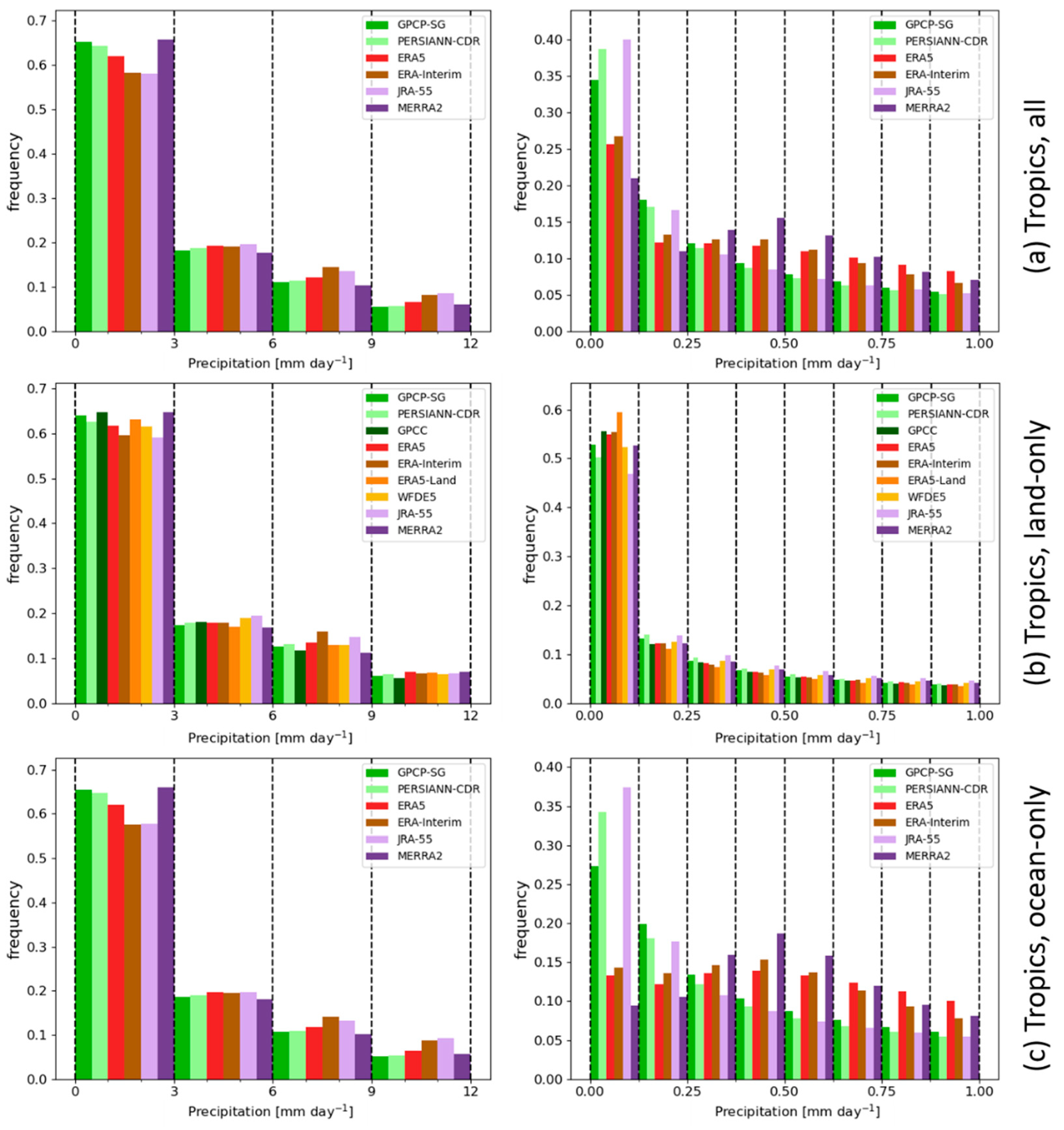
4.3. Histograms of Precipitation Rate Values
4.4. Monthly Mean Area Averaged Time Series of Precipitation Rates
4.5. Annual Cycle of Precipitation Rates
5. Summary and Conclusions
- ERA5 and ERA5-Land represent a clear improvement over ERA-Interim based on the comparisons with the observations from GPCP-SG, PERSIANN-CDR, and TRMM-L3 (Tropics only). Given also that ERA-Interim has been discontinued, it seems good practice to use ERA5 and ERA5-Land rather than ERA-Interim for studies requiring reanalysis data;
- ERA5 and ERA5-Land show typically smaller biases in precipitation than JRA-55 and MERRA-2, especially in the Pacific ITCZ and SA Monsoon region. For the Tropics, the size of the biases differs depending on the analyzed data subset (land- or ocean-only);
- Tropical ocean precipitation rates are highly biased in three of the four reanalyses (ERA5, ERA-Interim and JRA-55), especially in the Atlantic and the Indian Ocean;
- All four reanalysis datasets with full global coverage (ERA5, ERA-Interim, JRA-55, and MERRA-2) are close to the observations over continental regions where many observations such as satellite and ground-based precipitation radar are available that can be used for assimilation in the production of the reanalysis datasets such as for Central Europe and the continental U.S;
- The bias correction on which the WFDE5 is based reduced the original ERA5 values over land but did not result in WFDE5 climatologies that were significantly closer to GPCC than ERA5;
- There are no large or fundamental differences between ERA5 and ERA5-Land due to the fact that ERA5-Land precipitation rates are derived from ERA5 by interpolation to the finer ERA5-Land grid [37].
Author Contributions
Funding
Institutional Review Board Statement
Informed Consent Statement
Data Availability Statement
Acknowledgments
Conflicts of Interest
References
- Siepielski, A.M.; Morrissey, M.B.; Buoro, M.; Carlson, S.M.; Caruso, C.M.; Clegg, S.M.; Coulson, T.; DiBattista, J.; Gotanda, K.M.; Francis, C.D.; et al. Precipitation drives global variation in natural selection. Science 2017, 355, 959–962. [Google Scholar] [CrossRef] [Green Version]
- Sun, Q.H.; Miao, C.Y.; Duan, Q.Y.; Ashouri, H.; Sorooshian, S.; Hsu, K.L. A Review of Global Precipitation Data Sets: Data Sources, Estimation, and Intercomparisons. Rev. Geophys. 2018, 56, 79–107. [Google Scholar] [CrossRef] [Green Version]
- Trenberth, K.E.; Dai, A.; Rasmussen, R.M.; Parsons, D.B. The changing character of precipitation. Bull. Am. Meteorol. Soc. 2003, 84, 1205–1217. [Google Scholar] [CrossRef]
- Tapiador, F.J.; Turk, F.J.; Petersen, W.; Hou, A.Y.; Garcia-Ortega, E.; Machado, L.A.T.; Angelis, C.F.; Salio, P.; Kidd, C.; Huffman, G.J.; et al. Global precipitation measurement: Methods, datasets and applications. Atmos. Res. 2012, 104, 70–97. [Google Scholar] [CrossRef]
- Lauer, A.; Jones, C.; Eyring, V.; Evaldsson, M.; Stefan, H.A.; Makela, J.; Martin, G.; Roehrig, R.; Wang, S.Y. Process-level improvements in CMIP5 models and their impact on tropical variability, the Southern Ocean, and monsoons. Earth Syst. Dynam. 2018, 9, 33–67. [Google Scholar] [CrossRef] [Green Version]
- Richter, I.; Tokinaga, H. An overview of the performance of CMIP6 models in the tropical Atlantic: Mean state, variability, and remote impacts. Clim. Dynam. 2020, 55, 2579–2601. [Google Scholar] [CrossRef]
- Li, C.; Zwiers, F.; Zhang, X.B.; Li, G.L.; Sun, Y.; Wehner, M. Changes in Annual Extremes of Daily Temperature and Precipitation in CMIP6 Models. J. Clim. 2021, 34, 3441–3460. [Google Scholar] [CrossRef]
- Lee, J.Y.; Marotzke, J.; Bala, G.; Cao, L.; Corti, S.; Dunne, J.P.; Engelbrecht, F.; Fischer, E.; Fyfe, J.C.; Jones, C.; et al. Future Global Climate: Scenario-Based Projections and Near-Term Information. In Climate Change 2021: The Physical Science Basis. Contribution of Working Group I to the Sixth Assessment Report of the Intergovernmental Panel on Climate Change; Masson-Delmotte, V., Zhai, P., Pirani, A., Connors, S.L., Péan, C., Berger, S., Caud, N., Chen, Y., Goldfarb, L., Gomis, M.I., et al., Eds.; Cambridge University Press: Cambridge, UK, 2021; in press. [Google Scholar]
- Jian, H.W.; Chen, W.T.; Chen, P.J.; Wu, C.M.; Rasmussen, K.L. The Synoptically-Influenced Extreme Precipitation Systems over Asian-Australian Monsoon Region observed by TRMM Precipitation Radar. J. Meteorol. Soc. Jpn. 2021, 99, 269–285. [Google Scholar] [CrossRef]
- Yu, Y.H.; Wang, J.L.; Cheng, F.; Deng, H.; Chen, S. Drought monitoring in Yunnan Province based on a TRMM precipitation product. Nat. Hazards 2020, 104, 2369–2387. [Google Scholar] [CrossRef]
- Franchito, S.H.; Rao, V.B.; Vasques, A.C.; Santo, C.M.E.; Conforte, J.C. A diagnosis of rainfall over South America during 1997/98 El Nino and 1998/99 La Nina events: Comparison between TRMM PR and GPCP rainfall estimates. J. Earth Syst. Sci. 2009, 118, 193–207. [Google Scholar] [CrossRef] [Green Version]
- Kidd, C. Satellite rainfall climatology: A review. Int. J. Climatol. 2001, 21, 1041–1066. [Google Scholar] [CrossRef]
- Huffman, G.J.; Adler, R.F.; Bolvin, D.T.; Gu, G.J.; Nelkin, E.J.; Bowman, K.P.; Hong, Y.; Stocker, E.F.; Wolff, D.B. The TRMM multisatellite precipitation analysis (TMPA): Quasi-global, multiyear, combined-sensor precipitation estimates at fine scales. J. Hydrometeorol. 2007, 8, 38–55. [Google Scholar] [CrossRef]
- Ashouri, H.; Hsu, K.L.; Sorooshian, S.; Braithwaite, D.K.; Knapp, K.R.; Cecil, L.D.; Nelson, B.R.; Prat, O.P. PERSIANN-CDR Daily Precipitation Climate Data Record from Multisatellite Observations for Hydrological and Climate Studies. Bull. Am. Meteorol. Soc. 2015, 96, 69–83. [Google Scholar] [CrossRef] [Green Version]
- Adler, R.F.; Sapiano, M.R.P.; Huffman, G.J.; Wang, J.J.; Gu, G.J.; Bolvin, D.; Chiu, L.; Schneider, U.; Becker, A.; Nelkin, E.; et al. The Global Precipitation Climatology Project (GPCP) Monthly Analysis (New Version 2.3) and a Review of 2017 Global Precipitation. Atmosphere 2018, 9, 138. [Google Scholar] [CrossRef] [Green Version]
- Hersbach, H.; Bell, B.; Berrisford, P.; Hirahara, S.; Horanyi, A.; Munoz-Sabater, J.; Nicolas, J.; Peubey, C.; Radu, R.; Schepers, D.; et al. The ERA5 global reanalysis. Q. J. R. Meteorol. Soc. 2020, 146, 1999–2049. [Google Scholar] [CrossRef]
- Lindsay, R.; Wensnahan, M.; Schweiger, A.; Zhang, J. Evaluation of Seven Different Atmospheric Reanalysis Products in the Arctic. J. Clim. 2014, 27, 2588–2606. [Google Scholar] [CrossRef] [Green Version]
- Tapiador, F.J.; Navarro, A.; Levizzani, V.; Garcia-Ortega, E.; Huffman, G.J.; Kidd, C.; Kucera, P.A.; Kummerow, C.D.; Masunaga, H.; Petersen, W.A.; et al. Global precipitation measurements for validating climate models. Atmos. Res. 2017, 197, 1–20. [Google Scholar] [CrossRef]
- Gehne, M.; Hamill, T.M.; Kiladis, G.N.; Trenberth, K.E. Comparison of Global Precipitation Estimates across a Range of Temporal and Spatial Scales. J. Clim. 2016, 29, 7773–7795. [Google Scholar] [CrossRef]
- Burton, C.; Rifai, S.; Malhi, Y. Inter-comparison and assessment of gridded climate products over tropical forests during the 2015/2016 El Nino. Philos. Trans. R. Soc. B 2018, 373, 20170406. [Google Scholar] [CrossRef] [Green Version]
- Cui, W.J.; Dong, X.Q.; Xi, B.K.; Kennedy, A. Evaluation of Reanalyzed Precipitation Variability and Trends Using the Gridded Gauge-Based Analysis over the CONUS. J. Hydrometeorol. 2017, 18, 2227–2248. [Google Scholar] [CrossRef] [Green Version]
- Bhattacharya, T.; Khare, D.; Arora, M. Evaluation of reanalysis and global meteorological products in Beas river basin of North-Western Himalaya. Environ. Syst. Res. 2020, 9, 24. [Google Scholar] [CrossRef]
- An, Y.; Zhao, W.; Li, C.; Liu, Y. Evaluation of Six Satellite and Reanalysis Precipitation Products Using Gauge Observations over the Yellow River Basin, China. Atmosphere 2020, 11, 1223. [Google Scholar] [CrossRef]
- Boisvert, L.N.; Webster, M.A.; Petty, A.A.; Markus, T.; Cullather, R.I.; Bromwich, D.H. Intercomparison of Precipitation Estimates over the Southern Ocean from Atmospheric Reanalyses. J. Clim. 2020, 33, 10627–10651. [Google Scholar] [CrossRef]
- Gu, G.J.; Adler, R.F.; Huffman, G.J.; Curtis, S. Tropical rainfall variability on interannual-to-interdecadal and longer time scales derived from the GPCP monthly product. J. Clim. 2007, 20, 4033–4046. [Google Scholar] [CrossRef]
- Li, R.; Fu, Y.F. Tropical precipitation estimated by GPCP and TRMM PR observations. Adv. Atmos. Sci. 2005, 22, 852–864. [Google Scholar] [CrossRef]
- Arvor, D.; Funatsu, B.M.; Michot, V.; Dubreuil, V. Monitoring Rainfall Patterns in the Southern Amazon with PERSIANN-CDR Data: Long-Term Characteristics and Trends. Remote Sens. 2017, 9, 889. [Google Scholar] [CrossRef] [Green Version]
- Katiraie-Boroujerdy, P.S.; Ashouri, H.; Hsu, K.L.; Sorooshian, S. Trends of precipitation extreme indices over a subtropical semi-arid area using PERSIANN-CDR. Theor. Appl. Climatol. 2017, 130, 249–260. [Google Scholar] [CrossRef] [Green Version]
- van der Schrier, G.; National Center for Atmospheric Research Staff (Eds.) The Climate Data Guide: E-OBS: High-Resolution Gridded Mean/Max/Min Temperature, Precipitation and Sea Level Pressure for Europe & Northern Africa. Available online: https://climatedataguide.ucar.edu/climate-data/e-obs-high-resolution-gridded-meanmaxmin-temperature-precipitation-and-sea-level (accessed on 2 November 2021).
- Pfeifroth, U.; Mueller, R.; Ahrens, B. Evaluation of Satellite-Based and Reanalysis Precipitation Data in the Tropical Pacific. J. Appl. Meteorol. Clim. 2013, 52, 634–644. [Google Scholar] [CrossRef]
- Zhang, S.W.; Yang, X.X.; Zhang, W.D.; Li, S.Y.; Zhang, Y.Y. Sensitivity of afternoon precipitation to evaporative fraction in eastern Asia based on ERA-Interim datasets. Atmos. Sci. Lett. 2019, 20, e892. [Google Scholar] [CrossRef]
- Pfahl, S.; Madonna, E.; Boettcher, M.; Joos, H.; Wernli, H. Warm Conveyor Belts in the ERA-Interim Dataset (1979–2010). Part II: Moisture Origin and Relevance for Precipitation. J. Clim. 2014, 27, 27–40. [Google Scholar] [CrossRef]
- Bieniek, P.A.; Bhatt, U.S.; Walsh, J.E.; Rupp, T.S.; Zhang, J.; Krieger, J.R.; Lader, R. Dynamical Downscaling of ERA-Interim Temperature and Precipitation for Alaska. J. Appl. Meteorol. Clim. 2016, 55, 635–654. [Google Scholar] [CrossRef]
- Eyring, V.; Gillett, N.P.; Rao, K.M.A.; Barimalala, R.; Parrillo, M.B.; Bellouin, N.; Cassou, C.; Durack, P.J.; Kosaka, Y.; McGregor, S.; et al. Human Influence on the Climate System. In Climate Change 2021: The Physical Science Basis. Contribution of Working Group I to the Sixth Assessment Report of the Intergovernmental Panel on Climate Change; Masson-Delmotte, V., Zhai, P., Pirani, A., Connors, S.L., Péan, C., Berger, S., Caud, N., Chen, Y., Goldfarb, L., Gomis, M.I., et al., Eds.; Cambridge University Press: Cambridge, UK, 2021; in press. [Google Scholar]
- Eyring, V.; Bony, S.; Meehl, G.A.; Senior, C.A.; Stevens, B.; Stouffer, R.J.; Taylor, K.E. Overview of the Coupled Model Intercomparison Project Phase 6 (CMIP6) experimental design and organization. Geosci. Model Dev. 2016, 9, 1937–1958. [Google Scholar] [CrossRef] [Green Version]
- Cornes, R.C.; van der Schrier, G.; van den Besselaar, E.J.M.; Jones, P.D. An Ensemble Version of the E-OBS Temperature and Precipitation Data Sets. J. Geophys. Res.-Atmos. 2018, 123, 9391–9409. [Google Scholar] [CrossRef] [Green Version]
- Muñoz-Sabater, J.; Dutra, E.; Agustí-Panareda, A.; Albergel, C.; Arduini, G.; Balsamo, G.; Boussetta, S.; Choulga, M.; Harrigan, S.; Hersbach, H.; et al. ERA5-Land: A state-of-the-art global reanalysis dataset for land applications. Earth Syst. Sci. Data 2021, 13, 4349–4383. [Google Scholar] [CrossRef]
- Dee, D.P.; Uppala, S.M.; Simmons, A.J.; Berrisford, P.; Poli, P.; Kobayashi, S.; Andrae, U.; Balmaseda, M.A.; Balsamo, G.; Bauer, P.; et al. The ERA-Interim reanalysis: Configuration and performance of the data assimilation system. Q. J. R. Meteorol. Soc. 2011, 137, 553–597. [Google Scholar] [CrossRef]
- Schneider, U.; Becker, A.; Finger, P.; Meyer-Christoffer, A.; Ziese, M. GPCC Full Data Monthly Product Version 2018 at 0.25°: Monthly Land-Surface Precipitation from Rain-Gauges built on GTS-based and Historical Data. Glob. Precip. Climatol. Cent. 2018. [Google Scholar] [CrossRef]
- Kobayashi, S.; Ota, Y.; Harada, Y.; Ebita, A.; Moriya, M.; Onoda, H.; Onogi, K.; Kamahori, H.; Kobayashi, C.; Endo, H.; et al. The JRA-55 Reanalysis: General Specifications and Basic Characteristics. J. Meteorol. Soc. Jpn. 2015, 93, 5–48. [Google Scholar] [CrossRef] [Green Version]
- Gelaro, R.; McCarty, W.; Suarez, M.J.; Todling, R.; Molod, A.; Takacs, L.; Randles, C.A.; Darmenov, A.; Bosilovich, M.G.; Reichle, R.; et al. The Modern-Era Retrospective Analysis for Research and Applications, Version 2 (MERRA-2). J. Clim. 2017, 30, 5419–5454. [Google Scholar] [CrossRef]
- Huffman, G.J.; Bolvin, D.T. GPCP Version 2.2 SG Combined Precipitation Data Set Documentation. Available online: ftp://precip.gsfc.nasa.gov/pub/gpcp-v2.2/doc/V2.2_doc.pdf (accessed on 2 January 2016).
- Cucchi, M.; Weedon, G.P.; Amici, A.; Bellouin, N.; Lange, S.; Schmied, H.M.; Hersbach, H.; Buontempo, C. WFDE5: Bias-adjusted ERA5 reanalysis data for impact studies. Earth Syst. Sci. Data 2020, 12, 2097–2120. [Google Scholar] [CrossRef]
- van den Besselaar, E.J.M.; van der Schrier, G. E-OBS Daily Gridded Observations for Europe from 1950 to Present; Product User Guide; ECMWF: Reading, UK, 2019; p. 7. [Google Scholar]
- Van der Schrier, G.; van den Besselaar, E.J.M.; Tank, A.M.G.K.; Verver, G. Monitoring European average temperature based on the E-OBS gridded data set. J. Geophys. Res.-Atmos. 2013, 118, 5120–5135. [Google Scholar] [CrossRef]
- Hofstra, N.; Haylock, M.; New, M.; Jones, P.; Frei, C. Comparison of six methods for the interpolation of daily, European climate data. J. Geophys. Res.-Atmos. 2008, 113. [Google Scholar] [CrossRef] [Green Version]
- Copernicus Climate Change Service. ERA5: Fifth Generation of ECMWF Atmospheric Reanalyses of the Global Climate. Available online: https://confluence.ecmwf.int/display/CKB/ERA5%3A+data+documentation (accessed on 2 November 2021).
- ECMWF. ERA5 Data Documentation. Available online: https://cds.climate.copernicus.eu/cdsapp#!/dataset/reanalysis-era5-single-levels-monthly-means?tab=overview (accessed on 20 July 2020).
- ECMWF. ERA5-Land Data Documentation. Available online: https://confluence.ecmwf.int/display/CKB/ERA5-Land%3A+data+documentation (accessed on 20 July 2020).
- ECMWF. ERA5-LAND Parameter Description. Available online: https://apps.ecmwf.int/codes/grib/param-db?id=228 (accessed on 20 July 2020).
- ERA-Interim. Available online: https://www.ecmwf.int/en/forecasts/datasets/reanalysis-datasets/era-interim (accessed on 1 September 2021).
- Becker, A.; Finger, P.; Meyer-Christoffer, A.; Rudolf, B.; Schamm, K.; Schneider, U.; Ziese, M. A description of the global land-surface precipitation data products of the Global Precipitation Climatology Centre with sample applications including centennial (trend) analysis from 1901-present. Earth Syst. Sci. Data 2013, 5, 71–99. [Google Scholar] [CrossRef] [Green Version]
- Adler, R.F.; Huffman, G.J.; Chang, A.; Ferraro, R.; Xie, P.P.; Janowiak, J.; Rudolf, B.; Schneider, U.; Curtis, S.; Bolvin, D.; et al. The version-2 global precipitation climatology project (GPCP) monthly precipitation analysis (1979-present). J. Hydrometeorol. 2003, 4, 1147–1167. [Google Scholar] [CrossRef]
- Kobayashi, S.; National Center for Atmospheric Research Staff (Eds.) The Climate Data Guide: JRA-55. Available online: https://climatedataguide.ucar.edu/climate-data/jra-55 (accessed on 2 November 2021).
- Harada, Y.; Kamahori, H.; Kobayashi, C.; Endo, H.; Kobayashi, S.; Ota, Y.; Onoda, H.; Onogi, K.; Miyaoka, K.; Takahashi, K. The JRA-55 Reanalysis: Representation of Atmospheric Circulation and Climate Variability. J. Meteorol. Soc. Jpn. 2016, 94, 269–302. [Google Scholar] [CrossRef] [Green Version]
- Molod, A.; Takacs, L.; Suarez, M.; Bacmeister, J. Development of the GEOS-5 atmospheric general circulation model: Evolution from MERRA to MERRA2. Geosci. Model Dev. 2015, 8, 1339–1356. [Google Scholar] [CrossRef] [Green Version]
- Nguyen, P.; Shearer, E.J.; Tran, H.; Ombadi, M.; Hayatbini, N.; Palacios, T.; Huynh, P.; Braithwaite, D.; Updegraff, G.; Hsu, K.; et al. The CHRS Data Portal, an easily accessible public repository for PERSIANN global satellite precipitation data. Sci. Data 2019, 6, 180296. [Google Scholar] [CrossRef] [Green Version]
- Hsu, K.L.; Gao, X.G.; Sorooshian, S.; Gupta, H.V. Precipitation estimation from remotely sensed information using artificial neural networks. J. Appl. Meteorol. 1997, 36, 1176–1190. [Google Scholar] [CrossRef]
- Hsu, K.L.; Gupta, H.V.; Gao, X.G.; Sorooshian, S.; Imam, B. Self-organizing linear output map (SOLO): An artificial neural network suitable for hydrologic modeling and analysis. Water Resour. Res. 2002, 38, 38-1–38-17. [Google Scholar] [CrossRef] [Green Version]
- Rossow, W.B.; Schiffer, R.A. ISCCP Cloud Data Products. Bull. Am. Meteorol. Soc. 1991, 72, 2–20. [Google Scholar] [CrossRef]
- Huffman, G.J. The Transition in Multi-Satellite Products from TRMM to GPM (TMPA to IMERG). Algorithm Information Document. Available online: https://docserver.gesdisc.eosdis.nasa.gov/public/project/GPM/TMPA-to-IMERG_transition.pdf (accessed on 2 November 2021).
- Weedon, G.P.; Gomes, S.; Viterbo, P.; Österle, H.; Adam, J.C.; Bellouin, N.; Boucher, O.; Best, M. The WATCH Forcing Data 1958–2001: A Meteorological Forcing Dataset for Land Surface and Hydrological Models; Technical Report No. 22; WATCH: Oxfordshire, UK, 2010; p. 41. [Google Scholar]
- Weedon, G.P.; Gomes, S.; Viterbo, P.; Shuttleworth, W.J.; Blyth, E.; Osterle, H.; Adam, J.C.; Bellouin, N.; Boucher, O.; Best, M. Creation of the WATCH Forcing Data and Its Use to Assess Global and Regional Reference Crop Evaporation over Land during the Twentieth Century. J. Hydrometeorol. 2011, 12, 823–848. [Google Scholar] [CrossRef] [Green Version]
- Harris, I.; Osborn, T.J.; Jones, P.; Lister, D. Version 4 of the CRU TS monthly high-resolution gridded multivariate climate dataset. Sci. Data 2020, 7, 109. [Google Scholar] [CrossRef] [Green Version]
- Schneider, U.; Becker, A.; Finger, P.; Rustemeier, E.; Ziese, M. GPCC Full Data Monthly Product Version 2020 at 0.5°: Monthly Land-Surface Precipitation from Rain-Gauges built on GTS-based and Historical Data. Glob. Precip. Climatol. Cent. 2020. [Google Scholar] [CrossRef]
- Eyring, V.; Bock, L.; Lauer, A.; Righi, M.; Schlund, M.; Andela, B.; Arnone, E.; Bellprat, O.; Brotz, B.; Caron, L.P.; et al. Earth System Model Evaluation Tool (ESMValTool) v2.0-an extended set of large-scale diagnostics for quasi-operational and comprehensive evaluation of Earth system models in CMIP. Geosci. Model Dev. 2020, 13, 3383–3438. [Google Scholar] [CrossRef]
- Lauer, A.; Eyring, V.; Bellprat, O.; Bock, L.; Gier, B.K.; Hunter, A.; Lorenz, R.; Perez-Zanon, N.; Righi, M.; Schlund, M.; et al. Earth System Model Evaluation Tool (ESMValTool) v2.0-diagnostics for emergent constraints and future projections from Earth system models in CMIP. Geosci. Model Dev. 2020, 13, 4205–4228. [Google Scholar] [CrossRef]
- Righi, M.; Andela, B.; Eyring, V.; Lauer, A.; Predoi, V.; Schlund, M.; Vegas-Regidor, J.; Bock, L.; Brötz, B.; de Mora, L.; et al. Earth System Model Evaluation Tool (ESMValTool) v2.0—Technical overview. Geosci. Model Dev. 2020, 13, 1179–1199. [Google Scholar] [CrossRef] [Green Version]
- Weigel, K.; Bock, L.; Gier, B.K.; Lauer, A.; Righi, M.; Schlund, M.; Adeniyi, K.; Andela, B.; Arnone, E.; Berg, P.; et al. Earth System Model Evaluation Tool (ESMValTool) v2.0-diagnostics for extreme events, regional and impact evaluation, and analysis of Earth system models in CMIP. Geosci. Model Dev. 2021, 14, 3159–3184. [Google Scholar] [CrossRef]
- Climate Model Output Rewriter (CMOR). Available online: https://pcmdi.github.io/cmor-site/media/pdf/cmor_users_guide.pdf (accessed on 18 June 2020).
- Cmip6-Cmor-Tables. Available online: https://github.com/PCMDI/cmip6-cmor-tables/tree/master/Tables (accessed on 7 November 2019).
- Ferraro, R.; Waliser, D.E.; Gleckler, P.; Taylor, K.E.; Eyring, V. Evolving Obs4MIPs to Support Phase 6 of the Coupled Model Intercomparison Project (CMIP6). Bull. Am. Meteorol. Soc. 2015, 96, Es131–Es133. [Google Scholar] [CrossRef] [Green Version]
- Teixeira, J.; Waliser, D.; Ferraro, R.; Gleckler, P.; Lee, T.; Potter, G. Satellite Observations for CMIP5 The Genesis of Obs4MIPs. Bull. Am. Meteorol. Soc. 2014, 95, 1329–1334. [Google Scholar] [CrossRef]
- Waliser, D.; Gleckler, P.J.; Ferraro, R.; Taylor, K.E.; Ames, S.; Biard, J.; Bosilovich, M.G.; Brown, O.; Chepfer, H.; Cinquini, L.; et al. Observations for Model Intercomparison Project (Obs4MIPs): Status for CMIP6. Geosci. Model Dev. 2020, 13, 2945–2958. [Google Scholar] [CrossRef]
- Mehran, A.; AghaKouchak, A.; Phillips, T.J. Evaluation of CMIP5 continental precipitation simulations relative to satellite- based gauge- adjusted observations. J. Geophys. Res.-Atmos. 2014, 119, 1695–1707. [Google Scholar] [CrossRef] [Green Version]
- Liu, C.L.; Allan, R.P.; Huffman, G.J. Co-variation of temperature and precipitation in CMIP5 models and satellite observations. Geophys. Res. Lett. 2012, 39. [Google Scholar] [CrossRef] [Green Version]
- Jones, E.; Wing, A.A.; Parfitt, R. A Global Perspective of Tropical Cyclone Precipitation in Reanalyses. J. Clim. 2021, 34, 8461–8480. [Google Scholar] [CrossRef]
- Santoso, A.; Mcphaden, M.J.; Cai, W.J. The Defining Characteristics of ENSO Extremes and the Strong 2015/2016 El Nino. Rev. Geophys. 2017, 55, 1079–1129. [Google Scholar] [CrossRef]
- Garcia-Herrera, R.; Diaz, J.; Trigo, R.M.; Luterbacher, J.; Fischer, E.M. A Review of the European Summer Heat Wave of 2003. Crit. Rev. Environ. Sci. Technol. 2010, 40, 267–306. [Google Scholar] [CrossRef]
- Fink, A.H.; Brücher, T.; Krüger, A.; Leckebusch, G.C.; Pinto, J.G.; Ulbrich, U. The 2003 European summer heatwaves and drought—Synoptic diagnosis and impacts. Weather 2004, 59, 209–216. [Google Scholar] [CrossRef] [Green Version]
- Orth, R.; Zscheischler, J.; Seneviratne, S.I. Record dry summer in 2015 challenges precipitation projections in Central Europe. Sci. Rep.-UK 2016, 6, 1–8. [Google Scholar] [CrossRef]











| Dataset | Institution | Type | Time Range | Version | Observation Input (Relevant to Precipitation) | Resolution and Coverage | Main Reference | 
|---|---|---|---|---|---|---|---|
| E-OBS | ECMWF | station data | January 1950–December 2019 | v21.0e-0.1 | station network of the European Climate Assessment & Dataset (ECA&D) | 0.1° × 0.1° (Europe) | [36] | 
| ERA5 * | ECMWF | reanalysis | January 1979–present | last access: 20 July 2020 | measurements from AMSR-2, AMSRE, GMI, SSM/I, SSMIS and TMI for cloud liquid water | 0.25° × 0.25° (global) | [16] | 
| ERA5-Land | ECMWF | reanalysis | January 1981–present | last access: 20 July 2020 | regridded ERA5 data, same observational sources as ERA5 | 0.1° × 0.1° (global, land-only) | [37] | 
| ERA-Interim | ECMWF | reanalysis | January 1979–December 2018 | last access: 5 September 2019 | none | 0.75° × 0.75° (global) | [38] | 
| GPCC * | DWD | station data | January 1891–December 2016 | V2018_025 | ~80,000 precipitation gauge stations world-wide with record durations of 10 years or longer | 0.25° × 0.25° (global, land-only) | [39] | 
| GPCP-SG * | GSFC/NASA | merged satellite + station data | January 1979–October 2017 | v2.3 (obs4MIPs) | microwave, infrared, and sounder data observed by the international constellation of precipitation-related satellites, and precipitation gauge analyses | 2.5° × 2.5° (global) | [15] | 
| JRA-55 | JMA | reanalysis | January 1958–December 2019 | obs4MIPs | primarily consist of observations used in ERA-40; from 1979: surface observations from fixed land stations (SYNOP) and upper-level observations used by NCEP/NCAR reanalysis | 1.25° × 1.25° (global) | [40] | 
| MERRA-2 | NASA GMAO | reanalysis | January 1980–December 2020 | V5.12.4 | Measurements from SSM/I and TMI rain rate | Approx. 0.5° × 0.625° (global) | [41] | 
| PERSIANN-CDR | NOAA CDR | processed satellite + station data | January 1983–December 2018 | v01r01 | ISCCP B1 IR data, GPCP v2.2 (merged to GridSat-B1) | 0.25° × 0.25° (approx. 60° S–60° N) | [14] | 
| TRMM-L3 | NASA, JAXA | satellite | January 1998–December 2013 | 3B43 (obs4MIPs) | TMMR (PR, TMI, VIRS, CRES, LIS) | 0.25° × 0.25° (approx. 50° S–50° N) | [13,42] | 
| WFDE5 | ECMWF | reanalysis | January 1979–December 2016 | v1.1-CRU+GPCC | ERA5 data, bias corrected based on the data from CRU TS 4.0 and GPCCv2020 | 0.5° × 0.5° (global, land-only) | [43] | 
| Mean (mm day−1) | Correlation | RMSD (mm day−1) | |
|---|---|---|---|
| Global (all) | |||
| ERA5 | 2.914 | 0.925 | 0.898 | 
| ERA-Interim | 2.926 | 0.919 | 0.944 | 
| JRA-55 | 3.268 | 0.910 | 1.312 | 
| MERRA-2 | 2.976 | 0.813 | 1.678 | 
| GPCP-SG | 2.692 | 1.0 | 0.0 | 
| Global (land-only) | |||
| ERA5 | 2.308 | 0.854 | 1.331 | 
| ERA5-Land | 2.263 | 0.854 | 1.179 | 
| ERA-Interim | 2.183 | 0.842 | 0.986 | 
| JRA-55 | 2.324 | 0.913 | 0.882 | 
| MERRA-2 | 2.706 | 0.713 | 2.907 | 
| WFDE5 | 2.125 | 0.949 | 0.657 | 
| GPCP-SG | 2.182 | 1.0 | 0.0 | 
| GPCC | 2.166 | 0.953 | 0.346 | 
| 60° S to 60° N (all) | |||
| ERA5 | 3.147 | 0.920 | 0.949 | 
| ERA-Interim | 3.180 | 0.913 | 1.004 | 
| JRA-55 | 3.547 | 0.903 | 1.400 | 
| MERRA-2 | 3.195 | 0.804 | 1.793 | 
| GPCP-SG | 2.902 | 1.0 | 0.0 | 
| PERSIANN-CDR | 2.849 | 0.996 | 0.187 | 
| Tropics (all) | |||
| ERA5 | 3.453 | 0.924 | 1.163 | 
| ERA-Interim | 3.666 | 0.928 | 1.244 | 
| JRA-55 | 4.111 | 0.916 | 1.796 | 
| MERRA-2 | 3.589 | 0.800 | 2.313 | 
| GPCP-SG | 3.059 | 1.0 | 0.0 | 
| PERSIANN-CDR | 2.995 | 0.996 | 0.226 | 
| Tropics (land-only) | |||
| ERA5 | 3.246 | 0.833 | 1.852 | 
| ERA5-Land | 3.181 | 0.845 | 1.618 | 
| ERA-Interim | 3.167 | 0.841 | 1.356 | 
| JRA-55 | 3.235 | 0.899 | 1.196 | 
| MERRA-2 | 4.014 | 0.688 | 4.268 | 
| WFDE5 | 3.034 | 0.941 | 0.875 | 
| GPCP-SG | 3.066 | 1.0 | 0.0 | 
| GPCC | 2.968 | 0.989 | 0.366 | 
| PERSIANN-CDR | 2.940 | 0.955 | 0.299 | 
| Tropics (ocean-only) | |||
| ERA5 | 3.540 | 0.971 | 0.809 | 
| ERA-Interim | 3.797 | 0.927 | 1.215 | 
| JRA-55 | 4.424 | 0.943 | 1.961 | 
| MERRA-2 | 3.396 | 0.940 | 0.938 | 
| GPCP-SG | 3.070 | 1.0 | 0.0 | 
| PERSIANN-CDR | 2.982 | 0.987 | 0.185 | 
| Pacific ITCZ | |||
| ERA5 | 6.564 | 0.966 | 1.287 | 
| ERA-Interim | 6.878 | 0.972 | 1.472 | 
| JRA-55 | 8.445 | 0.934 | 3.197 | 
| MERRA-2 | 5.993 | 0.976 | 0.696 | 
| GPCP-SG | 5.570 | 1.0 | 0.0 | 
| PERSIANN-CDR | 5.542 | 0.999 | 0.179 | 
| Central Europe (land-only) | |||
| ERA5 | 2.593 | 0.862 | 0.434 | 
| ERA5-Land | 2.616 | 0.875 | 0.416 | 
| ERA-Interim | 2.290 | 0.801 | 0.553 | 
| JRA-55 | 2.472 | 0.817 | 0.425 | 
| MERRA-2 | 2.649 | 0.810 | 0.474 | 
| WFDE5 | 2.619 | 0.823 | 0.655 | 
| GPCP-SG | 2.756 | 1.0 | 0.0 | 
| GPCC | 2.399 | 0.971 | 0.382 | 
| PERSIANN-CDR | 2.792 | 0.970 | 0.082 | 
| E-OBS | 2.245 | 0.792 | 0.803 | 
| SA Monsoon | |||
| ERA5 | 3.876 | 0.902 | 0.994 | 
| ERA-Interim | 4.090 | 0.753 | 1.638 | 
| JRA-55 | 5.153 | 0.808 | 2.168 | 
| MERRA-2 | 4.359 | 0.717 | 1.823 | 
| GPCP-SG | 3.646 | 1.0 | 0.0 | 
| PERSIANN-CDR | 3.648 | 0.990 | 0.250 | 
| Publisher’s Note: MDPI stays neutral with regard to jurisdictional claims in published maps and institutional affiliations. | 
© 2021 by the authors. Licensee MDPI, Basel, Switzerland. This article is an open access article distributed under the terms and conditions of the Creative Commons Attribution (CC BY) license (https://creativecommons.org/licenses/by/4.0/).
Share and Cite
Hassler, B.; Lauer, A. Comparison of Reanalysis and Observational Precipitation Datasets Including ERA5 and WFDE5. Atmosphere 2021, 12, 1462. https://doi.org/10.3390/atmos12111462
Hassler B, Lauer A. Comparison of Reanalysis and Observational Precipitation Datasets Including ERA5 and WFDE5. Atmosphere. 2021; 12(11):1462. https://doi.org/10.3390/atmos12111462
Chicago/Turabian StyleHassler, Birgit, and Axel Lauer. 2021. "Comparison of Reanalysis and Observational Precipitation Datasets Including ERA5 and WFDE5" Atmosphere 12, no. 11: 1462. https://doi.org/10.3390/atmos12111462
APA StyleHassler, B., & Lauer, A. (2021). Comparison of Reanalysis and Observational Precipitation Datasets Including ERA5 and WFDE5. Atmosphere, 12(11), 1462. https://doi.org/10.3390/atmos12111462
 
         
                                                

 
       