Statistical Characteristics of Cloud Heights over Lanzhou, China from Multiple Years of Micro-Pulse Lidar Observation
Abstract
:1. Introduction
2. Observation and Instrument
3. Cloud Discrimination Algorithm
4. Results
5. Conclusions and Discussion
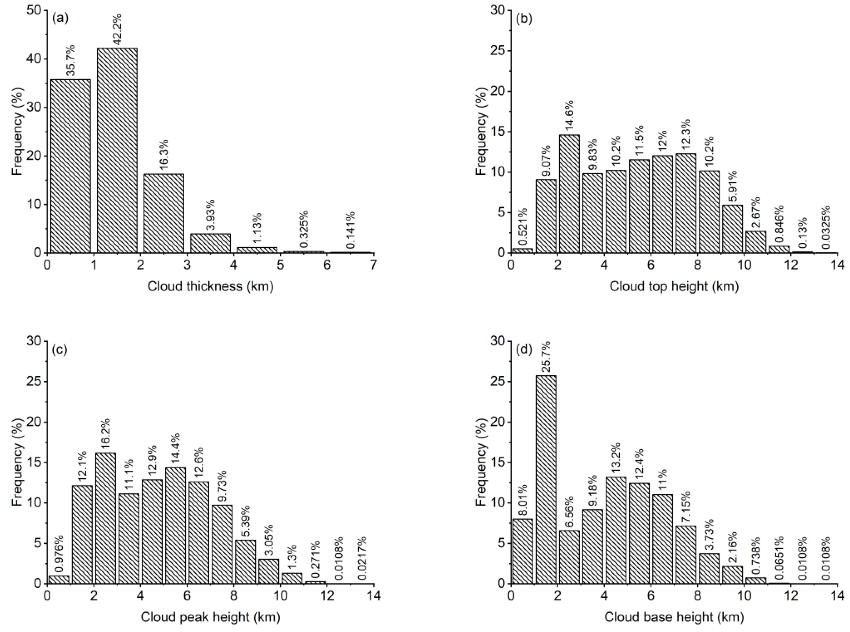
- During the observation period, the mean height of the cloud base, cloud peak, cloud top and mean cloud thickness was 4.03 km, 4.81 km, 5.50 km and 1.47 km, respectively; the maximum frequency of the cloud base height, cloud peak height, cloud top height and cloud thickness was 25.7% in the range of 1–2 km, 16.2% in the range of 2–3 km, 14.6% in the range of 2–3 km and 42.2% in the range of 1–2 km, respectively.
- The frequency distribution of cloud base height additionally showed that middle clouds occurred most frequently at 41.4%, followed by low clouds (33.7%) and high clouds (24.9%) during the observation period.
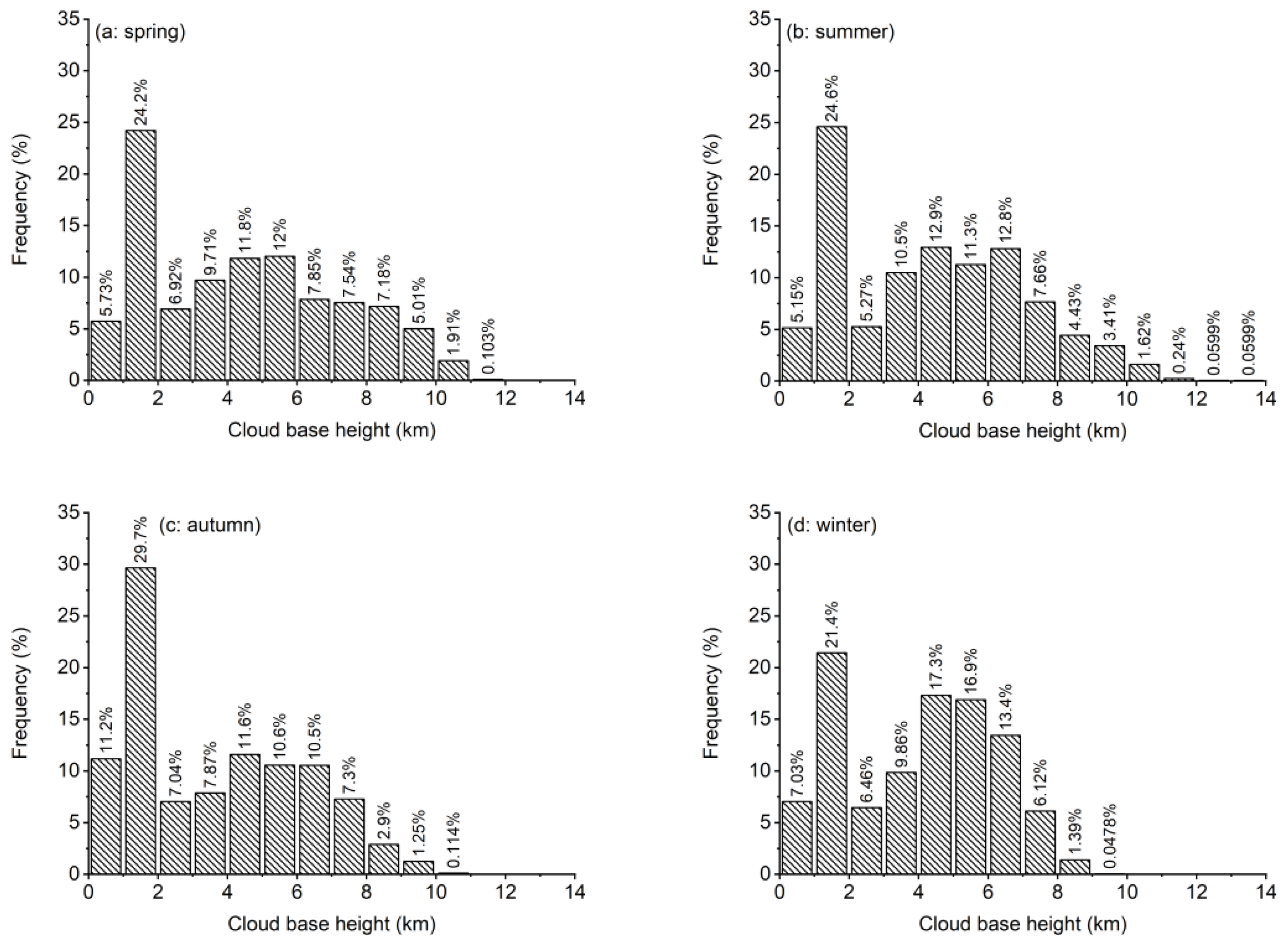
- The frequency distributions of the cloud base height in the four seasons were rather similar, and the maximum frequency was 24.2%, 24.6%, 29.7% and 21.4% in spring, summer, autumn and winter, respectively, all in the range of 1–2 km. The frequency distributions in autumn and winter were similar to the distribution during the whole observation period.
- The frequency distributions of cloud peak height in spring and summer were similar; the maximum frequency in spring and summer was 15.8% in the range of 3–4 km and 18% in the range of 4–5 km, respectively. The frequency distributions of the cloud peak height in autumn and winter were also basically similar, and the maximum frequency was 20% in the range of 2–3 km in autumn and 18.6% in the range of 5–6 km in winter, respectively.
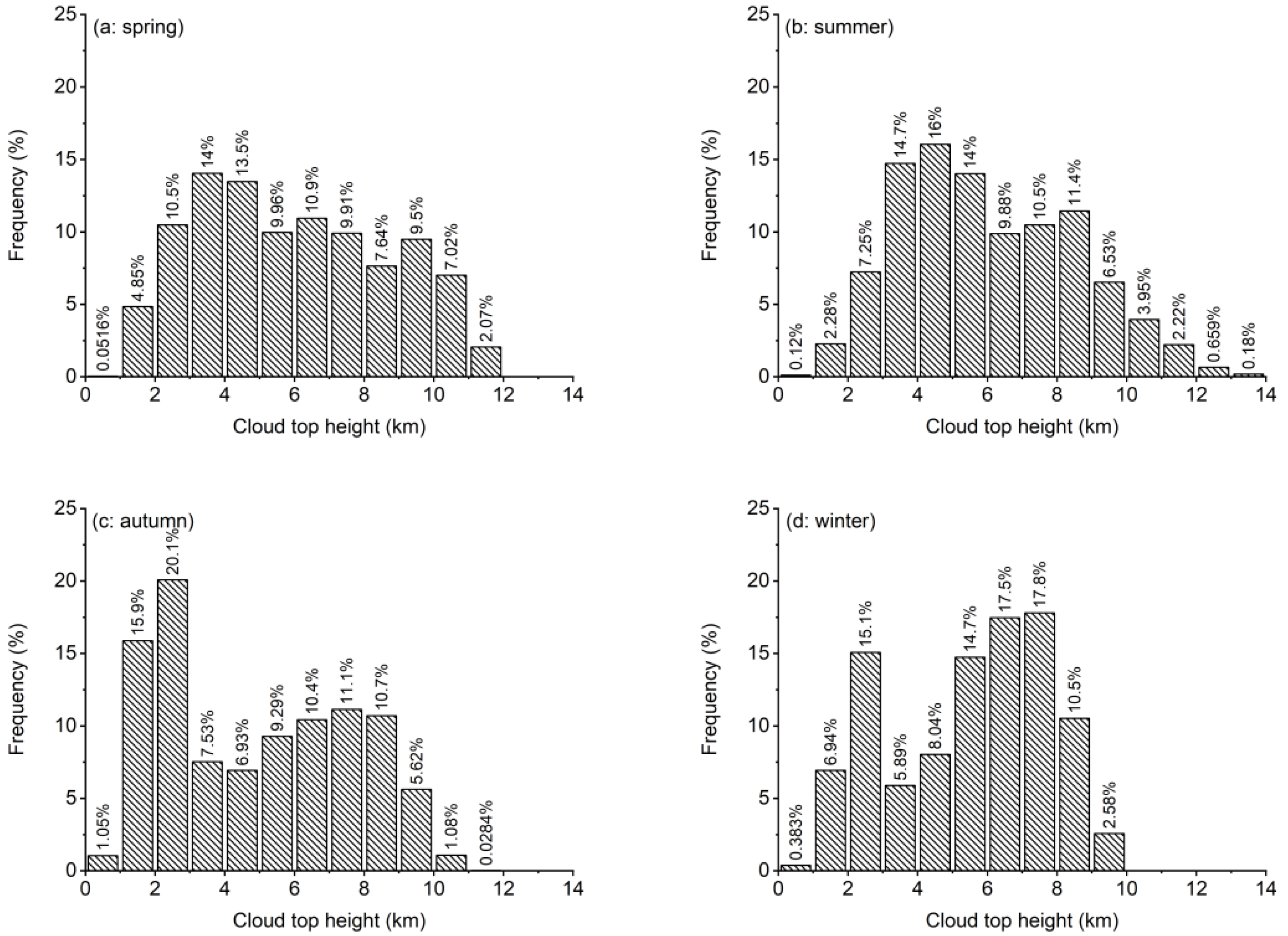
- The frequency distributions of the cloud top height in spring and summer were similar, and the frequency distribution of the cloud top height in autumn was similar to that in winter; the maximum frequency was 14% in the range of 3–4 km in spring, 16% in the range of 4–5 km in summer, 20.1% in the range of 2–3 km in autumn and 17.8% in the range of 7–8 km in winter.
- The cloud thickness was mostly less than 3 km at 94.2%, and generally the thicker the cloud the less the frequency. The frequency distributions of the cloud thickness in spring, summer and winter were similar with maximum frequency of 44.9%, 35.6% and 52%, respectively, in the range of 1–2 km. The frequency of the cloud thickness in autumn decreased with increasing cloud thickness, and the maximum frequency was 44.9% in the range of 0–1 km.
Author Contributions
Funding
Data Availability Statement
Acknowledgments
Conflicts of Interest
References
- Mace, G.; Marchand, R.; Zhang, Q.; Stephens, G. Global hydrometeor occurrence as observed by CloudSat: Initial observations from summer 2006. Geophys. Res. Lett. 2007, 34, L09808. [Google Scholar] [CrossRef] [Green Version]
- Stubenrauch, C.; Cros, S.; Guignard, A.; Lamquin, N. A 6-year global cloud climatology from the atmospheric infrared Sounder AIRS and a statistical analysis in synergy with CALIPSO and CloudSat. Atmos. Chem. Phys. 2010, 10, 7197–7214. [Google Scholar] [CrossRef] [Green Version]
- Zhao, M.; Zhang, H.; Wang, H.; Zhou, X.; Zhu, L.; An, Q.; Chen, Q. The change of cloud top height over East Asia during 2000–2018. Adv. Clim. Chang. Res. 2020, 11, 110–117. [Google Scholar] [CrossRef]
- Arking, A. The radiative effects of clouds and their impact on climate. Bull. Amer. Meteorol. Soc. 1991, 71, 795–813. [Google Scholar] [CrossRef]
- Dessler, A.; Palm, S.; Spinhirne, J. Tropical cloud-top height distributions revealed by the Ice, Cloud, and Land Elevation Satellite (ICESat)/Geoscience Laser Altimeter System (GLAS). J. Geophys. Res. 2006, 111, D12215. [Google Scholar] [CrossRef] [Green Version]
- Weisz, E.; Li, J.; Menzel, W.; Heidinger, A.; Kahn, B.; Liu, C. Comparison of AIRS, MODIS, CloudSat and CALIPSO cloud top height retrievals. Geophys. Res. Lett. 2007, 34, L17811. [Google Scholar] [CrossRef]
- Dupont, J.; Haeffelin, M.; Morille, Y.; Noël, V.; Keckhut, P.; Winker, D.; Comstock, J.; Chervet, P.; Roblin, A. Macrophysical and optical properties of midlatitude cirrus cloudsfrom four ground-based lidars and collocated CALIOP observations. J. Geophys. Res. 2010, 115, D00H24. [Google Scholar] [CrossRef] [Green Version]
- Zhao, C.; Garrett, T. Effect of Arctic haze on surface cloud radiative forcing. Geophys. Res. Lett. 2015, 42, 557–564. [Google Scholar] [CrossRef]
- Pan, Z.; Gong, W.; Mao, F.; Li, J.; Wang, W.; Li, C.; Min, Q. Macrophysical and optical properties of clouds over East Asia measured by CALIPSO. J. Geophys. Res. Atmos. 2015, 120, 11653–11668. [Google Scholar] [CrossRef]
- Liu, C.; Chiu, C.; Lin, P.; Min, M. Comparison of cloud-top property retrievals from advanced Himawari Imager, MODIS, CloudSat/CPR, CALIPSO/CALIOP, and Radiosonde. J. Geophys. Res. Atmos. 2020, 125, e2020JD032683. [Google Scholar] [CrossRef]
- An, N.; Pinker, R.; Wang, K.; Rogers, E.; Zuo, Z. Evaluation of cloud base height in the North American Regional Reanalysis using ceilometer observations. Int. J. Climatol. 2019, 40, 3161–3178. [Google Scholar] [CrossRef]
- Huo, J.; Li, J.; Duan, M.; Lv, D.; Han, C.; Bi, Y. Measurement of cloud top height: Comparison of MODIS and ground-based millimeter radar. Remote Sens. 2020, 12, 1616. [Google Scholar] [CrossRef]
- Sassen, K.; Benson, R.; Spinhirne, J. Tropical cirrus cloud properties derived from TOGA/COARE airborne polarization lidar. Geophys. Res. Lett. 2000, 27, 673–676. [Google Scholar] [CrossRef]
- Naud, C.; Muller, J.; Haeffelin, M.; Morille, Y.; Delaval, A. Assessment of MISR and MODIS cloud top heights through inter-comparison with a back-scattering lidar at SIRTA. Geophys. Res. Lett. 2004, 31, L04114. [Google Scholar] [CrossRef] [Green Version]
- Chae, J.; Sherwood, S. Insights into cloud-top height and dynamics from the seasonal cycle of cloud-top heights observed by MISR in the West Pacific region. J. Atmos. Sci. 2010, 67, 248–261. [Google Scholar] [CrossRef] [Green Version]
- Kim, S.; Chung, E.; Yoon, S.; Sohn, B.; Sugimoto, N. Intercomparisons of cloud-top and cloud-base heights from ground-based Lidar, CloudSat and CALIPSO measurements. Int. J. Remote Sens. 2011, 32, 1179–1197. [Google Scholar] [CrossRef]
- Peng, J.; Zhang, H.; Shen, X. Analysis of vertical structure of clouds in East Asia with CloudSat data. Chin. J. Atmos. Sci. 2013, 37, 91–100. (In Chinese) [Google Scholar]
- Ye, P.; Wang, T.; Shang, K.; Lv, Q.; Wang, S.; Li, J. Analysis of Cloud Vertical Structure in Western China Based on Satellite Data. Plateau Meteorol. 2014, 4, 977–987. (In Chinese) [Google Scholar]
- Comstock, J.; Ackerman, T.; Mace, G. Ground-based lidar and radar remote sensing of tropical cirrus clouds at Nauru Island: Cloud statistics and radiative impacts. J. Geophys. Res. 2002, 107, 4714. [Google Scholar] [CrossRef]
- Mahesh, A.; Campbell, J.; Spinhirne, J. Multi-year measurements of cloud base heights at South Pole by lidar. Geophys. Res. Lett. 2005, 32, L09812. [Google Scholar] [CrossRef]
- Wang, X.; Song, X.; Chen, B.; Wu, S.; Shao, N. Observation and validation of cloud layer structures from the mobile doppler lidar and radiosonde during spring in Beijing. Acta Opt. Sin. 2015, 35, s201001. (In Chinese) [Google Scholar] [CrossRef]
- Oh, S.; Kim, Y.; Kim, K.; Cho, C.; Lim, E. Verification and correction of cloud base and top height retrievals from Ka–band cloud radar in Boseong, Korea. Adv. Atmos. Sci. 2016, 33, 73–84. [Google Scholar] [CrossRef]
- Ge, J.; Zheng, C.; Xie, H.; Xin, Y.; Huang, J.; Fu, Q. Midlatitude cirrus clouds at the SACOL Site: Macrophysical properties and large-scale atmospheric states. J. Geophys. Res. Atmos. 2018, 123, 2256–2271. [Google Scholar] [CrossRef]
- Ye, B.; Jung, E.; Shin, S.; Lee, G. Statistical characteristics of cloud occurrence and vertical structure observed by a ground-based Ka-band cloud radar in South Korea. Remote Sens. 2020, 12, 2242. [Google Scholar] [CrossRef]
- Giannakaki, E.; Balis, D.; Amiridis, V.; Kazadzis, S. Optical and geometrical characteristics of cirrus clouds over a southern European lidar station. Atmos. Chem. Phys. 2007, 7, 5519–5530. [Google Scholar] [CrossRef] [Green Version]
- Warren, G.; Eastman, M.; Hahn, J. A survey of changes in cloud cover and cloud types over land from surface observations, 1971–1996. J. Clim. 2007, 20, 717–738. [Google Scholar] [CrossRef] [Green Version]
- Fu, C.; Dan, L.; Feng, J.; Peng, J.; Ying, N. The temporal and spatial variation of total cloud cover and its relationship with air temperature and water vapor in China from 1960 to 2012. Chin. J. Atmos. Sci. 2019, 43, 87–98. (In Chinese) [Google Scholar]
- Ge, J.; Wang, Z.; Liu, Y.; Su, J.; Wang, C.; Dong, Z. Linkages between mid-latitude cirrus cloud properties and large-scale meteorology at the SACOL site. Clim. Dyn. 2019, 53, 5035–5046. [Google Scholar] [CrossRef]
- Liu, R.; Zhang, L.; Wang, H.; Cao, X.; Huang, J.; Bi, J. Cirrus cloud measurement using lidar over semi-arid areas. Chin. J. Atmos. Sci. 2011, 35, 863–870. (In Chinese) [Google Scholar]
- Wang, J.; Zhang, L.; Huang, J.; Cao, X.; Liu, R.; Zhou, B.; Wang, H.; Huang, Z.; Bi, J.; Zhou, T.; et al. Macrophysical and optical properties of mid-latitude cirrus clouds over a semi-arid area observed by micro-pulse lidar. J. Quant. Spectrosc. Radiat. Transf. 2013, 122, 3–12. [Google Scholar] [CrossRef]
- Hess, M.; Koepke, P.; Schult, I. Optical properties of aerosols and clouds: The software package OPAC. Bull. Am. Meteorol. Soc. 1998, 79, 831–844. [Google Scholar] [CrossRef]
- Zhao, S.; Yu, Y.; Yin, D.; Yu, Z.; Dong, L.; Mao, Z.; He, J.; Yang, J.; Li, P.; Qin, D. Concentrations, optical and radiative properties of carbonaceous aerosols over urban Lanzhou, a typical valley city: Results from in-situ observations and numerical model. Atmos. Environ. 2019, 213, 470–484. [Google Scholar] [CrossRef]
- Zhang, L.; Cao, X.; Bao, J.; Zhou, B.; Huang, J.; Shi, J.; Bi, J. A case study of dust aerosol radiative properties over Lanzhou, China. Atmos. Chem. Phys. 2010, 10, 4283–4293. [Google Scholar]
- Cao, X.; Wang, Z.; Tian, P.; Wang, J.; Zhang, L.; Quan, X. Statistics of aerosol extinction coefficient profiles and optical depth using lidar measurement over Lanzhou, China since 2005–2008. J. Quant. Spectrosc. Radiat. Transf. 2013, 122, 150–154. [Google Scholar] [CrossRef]
- Mao, F.; Gong, W.; Zhu, Z. Simple multiscale algorithm for layer detection with lidar. Appl. Opt. 2011, 50, 6591–6598. [Google Scholar] [CrossRef]
- Cao, X.; Liang, J.; Tian, P.; Zhang, L.; Quan, X.; Liu, W. The mass concentration and optical properties of black carbon aerosols over a semi-arid region in the northwest of China. Atmos. Pollut. Res. 2014, 5, 601–609. [Google Scholar] [CrossRef] [Green Version]
- Gao, X.; Cao, X.; Tian, P.; Zhang, L.; Huang, Z.; Zhou, T. Combined observation of a dust storm over the Loess Plateau using a dual-wavelength lidar and an aethalometer. Atmos. Pollut. Res. 2017, 8, 1103–1112. [Google Scholar] [CrossRef]
- Gao, X.; Cao, X.; Wang, J.; Guo, Q.; Du, T.; Zhang, L. Analysis of aerosol optical properties in a Lanzhou suburb of China. Atmos. Res. 2020, 246, 105098. [Google Scholar] [CrossRef]









Publisher’s Note: MDPI stays neutral with regard to jurisdictional claims in published maps and institutional affiliations. |
© 2021 by the authors. Licensee MDPI, Basel, Switzerland. This article is an open access article distributed under the terms and conditions of the Creative Commons Attribution (CC BY) license (https://creativecommons.org/licenses/by/4.0/).
Share and Cite
Cao, X.; Lu, G.; Li, M.; Wang, J. Statistical Characteristics of Cloud Heights over Lanzhou, China from Multiple Years of Micro-Pulse Lidar Observation. Atmosphere 2021, 12, 1415. https://doi.org/10.3390/atmos12111415
Cao X, Lu G, Li M, Wang J. Statistical Characteristics of Cloud Heights over Lanzhou, China from Multiple Years of Micro-Pulse Lidar Observation. Atmosphere. 2021; 12(11):1415. https://doi.org/10.3390/atmos12111415
Chicago/Turabian StyleCao, Xianjie, Gefei Lu, Mengqi Li, and Jiayun Wang. 2021. "Statistical Characteristics of Cloud Heights over Lanzhou, China from Multiple Years of Micro-Pulse Lidar Observation" Atmosphere 12, no. 11: 1415. https://doi.org/10.3390/atmos12111415
APA StyleCao, X., Lu, G., Li, M., & Wang, J. (2021). Statistical Characteristics of Cloud Heights over Lanzhou, China from Multiple Years of Micro-Pulse Lidar Observation. Atmosphere, 12(11), 1415. https://doi.org/10.3390/atmos12111415
