Climatology of Spread F over Tucumán from Massive Statistical Analysis of Autoscaled Data
Abstract
1. Introduction
2. Materials and Methods
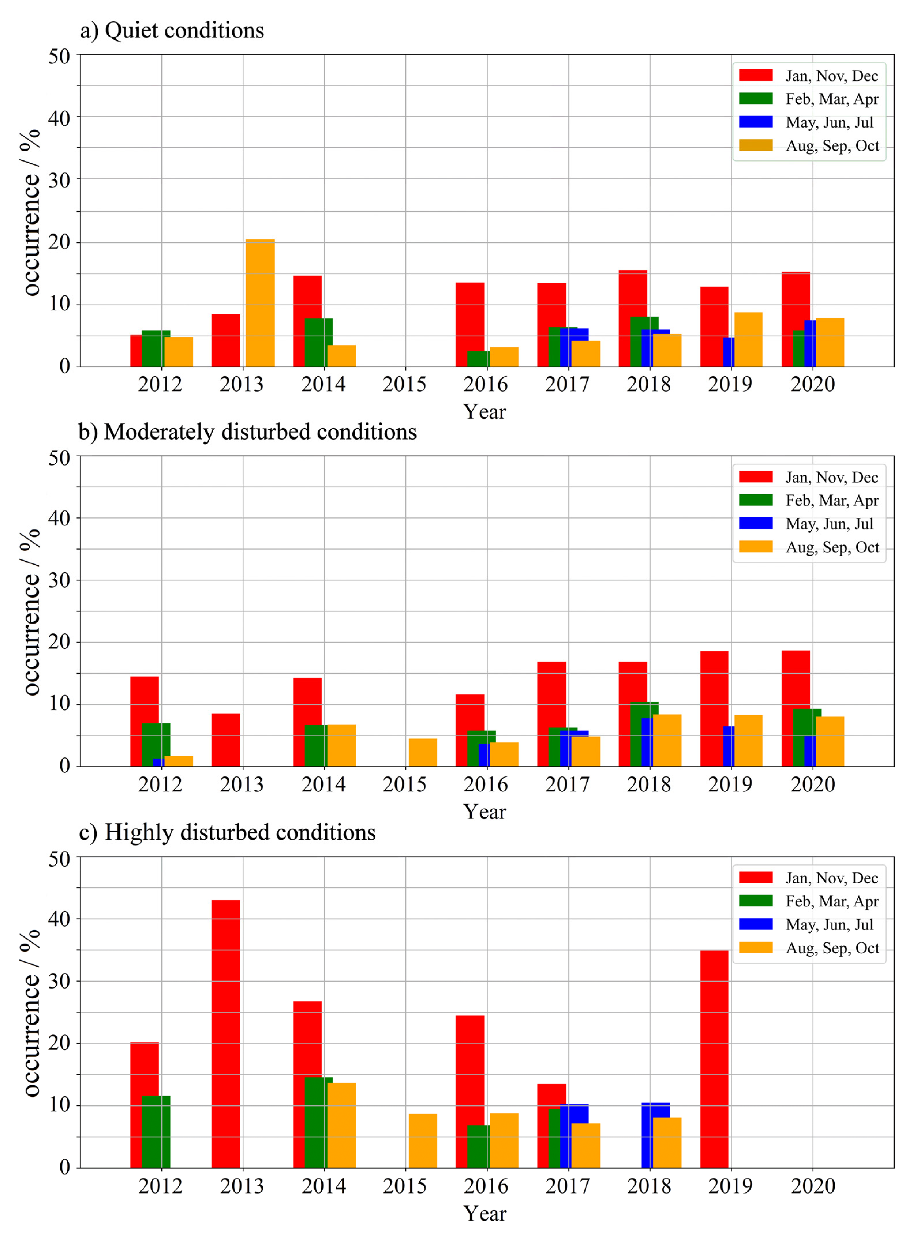
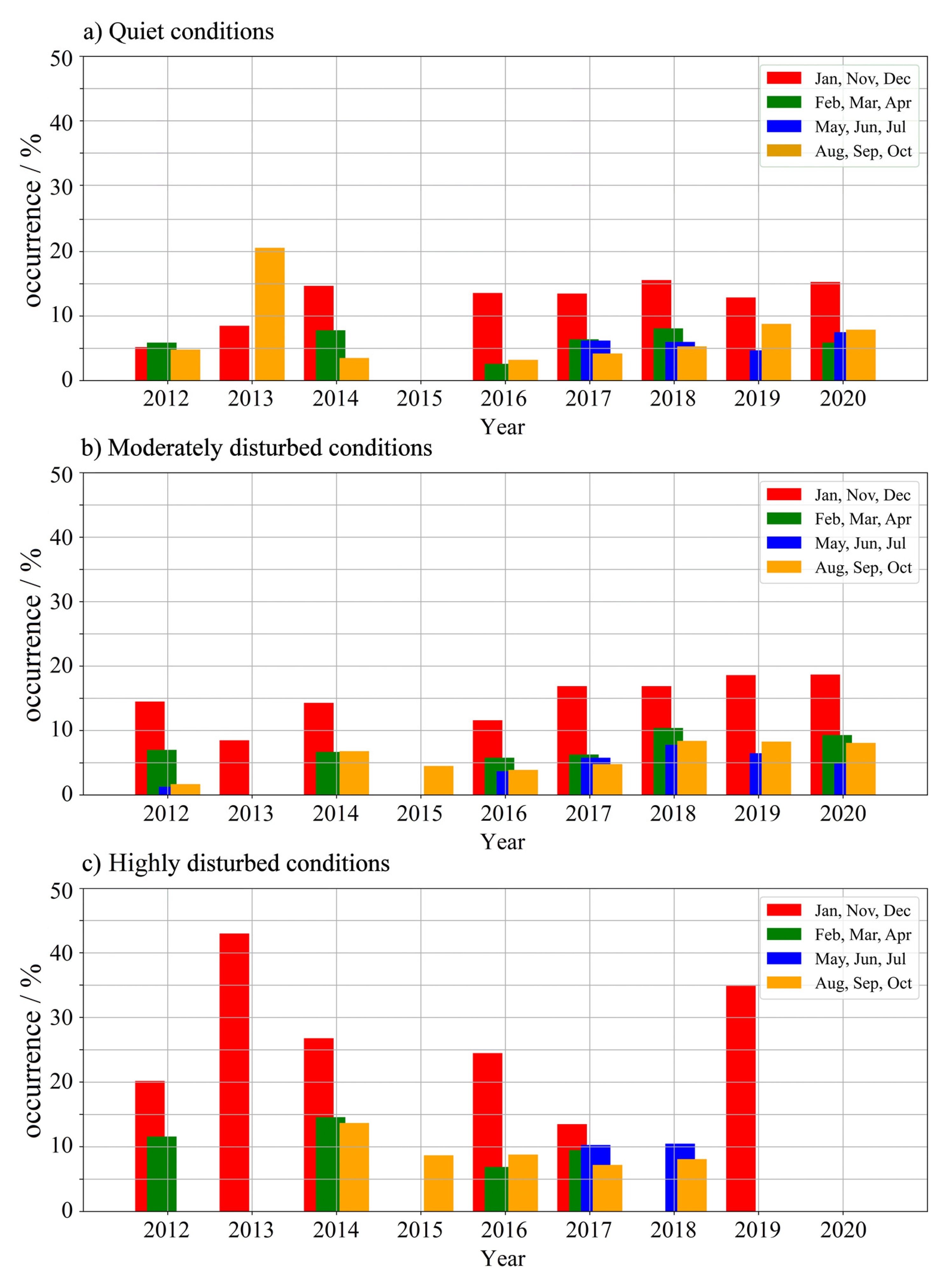
3. Results and Discussion
4. Conclusions
- The maximum occurrence of spread F, which for LSA is after midnight, tends to shift before midnight during HSA, except under highly disturbed conditions.
- The increased occurrence of spread F related to disturbed geomagnetic conditions is only observed when ap ≥ 27, in particular close to the local summer solstice.
- No direct connection emerged between spread F occurrence and solar activity.
- When spread F is extremely marked during the night, hmF2 still exhibits higher values the following morning, particularly during the equinoctial periods.
Author Contributions
Funding
Data Availability Statement
- electronic Space Weather upper atmosphere (eSWua) of the Istituto Nazionale di Geofisica e Vulcanologia (INGV) [42], accessed on 8 October 2021: ionosonde data.
- National Environmental Satellite Data and Information Service/National Centers for Environmental Information (NESDIS/NCEI) of the National Oceanic and Atmospheric Administration (NOAA) (https://www.ngdc.noaa.gov/stp/geomag/kp_ap.html, accessed on 8 October 2021), geomagnetic data.
Acknowledgments
Conflicts of Interest
References
- Lynch, C. Big data: How do your data grow? Nature 2008, 455, 28–29. [Google Scholar] [CrossRef]
- Davies, K. Ionospheric Radio; IEE Electromagnetic Waves Series 31; Peter Peregrinus Ltd., on Behalf of the Institution of Electrical Engineers: London, UK, 1990; p. 580. ISBN 0-86341-186-X. [Google Scholar]
- Pezzopane, M.; Scotto, C. Massive statistical analysis of autoscaled data: The case of the double reflection signature in mid-latitude vertical ionograms. J. Atmos. Sol.-Terr. Phy. 2013, 97, 43–49. [Google Scholar] [CrossRef][Green Version]
- Reinisch, B.W.; Huang, X. Automatic calculation of electron density profiles from digital ionograms: 3. Processing of bottomside ionograms. Radio Sci. 1983, 18, 477–492. [Google Scholar] [CrossRef]
- Fox, M.W.; Blundell, C. Automatic scaling of digital ionograms. Radio Sci. 1989, 24, 747–761. [Google Scholar] [CrossRef]
- Igi, S.; Nozaki, K.; Nagayama, M.; Ohtani, A.; Kato, H.; Igarashi, K. Automatic ionogram processing systems in Japan. In Proceedings of the Session G6 at the XXIVth General Assembly of the International Union of Radio Science (URSI), Kyoto, Japan, 25 August–2 September 1993; International Union of Radio Science: Ghent, Belgium, 1993. [Google Scholar]
- Tsai, L.C.; Berkey, F.T. Ionogram analysis using fuzzy segmentation and connectedness techniques. Radio Sci. 2000, 35, 1173–1186. [Google Scholar] [CrossRef]
- Zabotin, N.A.; Wright, J.W.; Zhbankov, G.A. NeXtYZ: Three-dimensional electron density inversion for dynasonde ionograms. Radio Sci. 2006, 41, RS6S32. [Google Scholar] [CrossRef]
- Ding, Z.; Ning, B.; Wan, W.; Liu, L. Automatic scaling of F2-layer parameters from ionograms based on the empirical orthogonal function (EOF) analysis of ionospheric electron density. Earth Planets Space 2007, 59, 51–58. [Google Scholar] [CrossRef]
- Su, F.; Zhao, Z.; Li, S.; Yao, M.; Chen, G.; Zhou, Y. Signal identification and trace extraction for the vertical ionogram. IEEE Geosci. Remote Sens. Lett. 2012, 9, 1031–1035. [Google Scholar] [CrossRef]
- Pillat, V.G.; Guimaraes, L.N.F.; Fagundes, P.R. A computational tool for ionosonde CADI’s ionogram analysis. Comput. Geosci. 2013, 52, 372–378. [Google Scholar] [CrossRef]
- Zheng, H.; Ji, G.; Wang, G.; Zhao, Z.; He, S. Automatic scaling of F layer from ionograms based on image processing and analysis. J. Atmos. Sol.-Terr. Phy. 2013, 105–106, 110–118. [Google Scholar] [CrossRef]
- Chen, Z.; Gong, Z.; Zhang, F.; Fang, G. A new ionogram automatic scaling method. Radio Sci. 2018, 53, 1149–1164. [Google Scholar] [CrossRef]
- Xiao, Z.; Wang, J.; Li, J.; Zhao, B.; Hu, L.; Libo Liu, L. Deep-learning for ionogram automatic scaling. Adv. Space Res. 2020, 66, 942–950. [Google Scholar] [CrossRef]
- Abdu, M.A. Equatorial ionosphere–thermosphere system: Electrodynamics and irregularities. Adv. Space Res. 2005, 35, 771–787. [Google Scholar] [CrossRef]
- Balan, N.; Liu, L.; Le, H. A brief review of equatorial ionization anomaly and ionospheric irregularities. Earth Planet. Phys. 2018, 2, 257–275. [Google Scholar] [CrossRef]
- Shi, J.K.; Wang, G.J.; Reinisch, B.W.; Shang, S.P.; Wang, X.; Zherebotsov, G.; Potekhin, A. Relationship between strong range spread F and ionospheric scintillations observed in Hainan from 2003 to 2007. J. Geophys. Res. Space Phys. 2011, 116, A08306. [Google Scholar] [CrossRef]
- Alfonsi, L.; Spogli, L.; Pezzopane, M.; Romano, V.; Zuccheretti, E.; De Franceschi, G.; Cabrera, M.A.; Ezquer, R.G. Comparative analysis of spread-F signature and GPS scintillation occurrences at Tucumán, Argentina. J. Geophys. Res. Space Phys. 2013, 118, 4483–4502. [Google Scholar] [CrossRef]
- Kepkar, A.; Arras, C.; Wickert, J.; Schuh, H.; Alizadeh, M.; Tsai, L.-C. Occurrence climatology of equatorial plasma bubbles derived using FormoSat-3 ∕ COSMIC GPS radio occultation data. Ann. Geophys. 2020, 38, 611–623. [Google Scholar] [CrossRef]
- Piggott, W.R.; Rawer, K.U.R.S.I. Handbook of Ionogram: Interpretation and Reduction; US Department of Commerce National Oceanic and Atmospheric Administration-Environmental Data Service: Asheville, NC, USA, 1972.
- Scotto, C.; Pezzopane, M. A software for automatic scaling of foF2 and MUF(3000)F2 from ionograms. In Proceedings of the XXVIIth General Assembly of the International Union of Radio Science (URSI), Maastricht, The Netherlands, 17–24 August 2002. [Google Scholar]
- Scotto, C. Electron density profile calculation technique for Autoscala ionogram analysis. Adv. Space Res. 2009, 44, 756–766. [Google Scholar] [CrossRef]
- Balsley, B.B.; Haerendel, G.; Greenwald, R.A. Equatorial spread F: Recent observations and a new interpretation. J. Geophys. Res. 1972, 77, 5625–5628. [Google Scholar] [CrossRef]
- Haerendel, G. Rayleigh-Taylor instability as cause of equatorial spread-F. Trans. Am. Geophys. Union 1972, 53, 1082. [Google Scholar]
- Makela, J.J.; Kelley, M.C.; de la Beaujardiére, O. Convective Ionospheric Storms: A Major Space Weather Problem. Space Weather 2006, 4. [Google Scholar] [CrossRef]
- Abadi, P.; Otsuka, Y.; Tsugawa, T. Effects of pre-reversal enhancement of E × B drift on the latitudinal extension of plasma bubble in Southeast Asia. Earth Planet. Space 2015, 67, 74. [Google Scholar] [CrossRef]
- Adebesin, B.O.; Rabiu, A.B.; Adeniyi, J.O.; Amory-Mazaudier, C. Nighttime morphology of vertical plasma drifts at Ouagadougou during different seasons and phases of sunspot cycles 20–22. J. Geophys. Res. Space Phys. 2015, 120, 10020–10038. [Google Scholar] [CrossRef]
- Resende, L.C.A.; Denardini, C.M.; Picanço, G.A.S.; Moro, J.; Barros, D.; Figueiredo, C.A.O.B.; Silva, R.P. On developing a new ionospheric plasma index for Brazilian equatorial F region irregularities. Ann. Geophys. 2019, 37, 807–818. [Google Scholar] [CrossRef]
- Sousasantos, J.; Kherani, E.A.; Sobral, J.H.A. An alternative possibility to equatorial plasma bubble forecasting through mathematical modeling and Digisonde data. J. Geophys. Res. Space Phys. 2017, 122, 2079–2088. [Google Scholar] [CrossRef]
- Reinisch, B.W.; Huang, X.; Galkin, I.A.; Paznukhov, V.; Kozlov, A. Recent advances in real-time analysis of ionograms and ionospheric drift measurements with digisondes. J. Atmos. Sol.-Terr. Phy. 2005, 67, 1054–1062. [Google Scholar] [CrossRef]
- Bhaneja, P.; Earle, G.D.; Bishop, R.L.; Bullett, T.W.; Mabie, J.; Redmon, R. A statistical study of midlatitude spread F at Wallops Island, Virginia. J. Geophys. Res. Space Phys. 2009, 114, A04301. [Google Scholar] [CrossRef]
- Pillat, V.G.; Fagundes, P.R.; Guimarães, L.N.F. Automatically identification of Equatorial Spread-F occurrence on ionograms. J. Atmos. Sol. Terr. Phys. 2015, 135, 118–125. [Google Scholar] [CrossRef]
- Lan, T.; Hu, H.; Jiang, C.; Yang, G.; Zhao, Z. A comparative study of decision tree, random forest, and convolutional neural network for spread-F identification. Adv. Space Res. 2020, 65, 2052–2061. [Google Scholar] [CrossRef]
- Scotto, C.; Ippolito, A.; Sabbagh, D. A method for automatic detection of equatorial spread-F in Ionograms. Adv. Space Res. 2019, 63, 337–342. [Google Scholar] [CrossRef]
- Zuccheretti, E.; Tutone, G.; Sciacca, U.; Bianchi, C.; Arokiasamy, B.J. The new AIS-INGV digital ionosonde. Ann. Geophys. 2003, 46, 647–659. [Google Scholar] [CrossRef]
- Scotto, C.; Sabbagh, D. Improvements in bottomside electron density definition in the Autoscala program. Adv. Space Res. 2020, 65, 1432–1438. [Google Scholar] [CrossRef]
- Tsunoda, R.T. Magnetic-field-aligned characteristics of plasma bubbles in the nighttime equatorial ionosphere. J. Atmos. Terr. Phys. 1980, 42, 743–752. [Google Scholar] [CrossRef]
- Tsunoda, R.T. Control of the seasonal and longitudinal occurrence of equatorial scintillations by the longitudinal gradient in integrated E region Pedersen conductivity. J. Geophys. Res. Space Phys. 1985, 90, 447–456. [Google Scholar] [CrossRef]
- Carter, B.A.; Zhang, K.; Norman, R.; Kumar, V.V.; Kumar, S. On the occurrence of equatorial F-region irregularities during solar minimum using radio occultation measurements. J. Geophys. Res. Space Phys. 2013, 118, 892–904. [Google Scholar] [CrossRef]
- Smith, J.; Heelis, R.A. Equatorial plasma bubbles: Variations of occurrence and spatial scale in local time, longitude, season, and solar activity. J. Geophys. Res. Space Phys. 2017, 122, 5743–5755. [Google Scholar] [CrossRef]
- Aa, E.; Zou, S.; Liu, S. Statistical analysis of equatorial plasma irregularities retrieved from Swarm 2013–2019 observations. J. Geophys. Res. Space Phys. 2020, 125, e2019JA027022. [Google Scholar] [CrossRef]
- Upper atmosphere physics and radiopropagation Working Group; Marcocci, C.; Pezzopane, M.; Pica, E.; Romano, V.; Sabbagh, D.; Scotto, C.; Zuccheretti, E. Electronic Space Weather Upper Atmosphere Database (eSWua)—HF Data; Version 1.0; Istituto Nazionale di Geofisica e Vulcanologia (INGV): Rome, Italy, 2020. [Google Scholar] [CrossRef]








Publisher’s Note: MDPI stays neutral with regard to jurisdictional claims in published maps and institutional affiliations. |
© 2021 by the authors. Licensee MDPI, Basel, Switzerland. This article is an open access article distributed under the terms and conditions of the Creative Commons Attribution (CC BY) license (https://creativecommons.org/licenses/by/4.0/).
Share and Cite
Scotto, C.; Sabbagh, D. Climatology of Spread F over Tucumán from Massive Statistical Analysis of Autoscaled Data. Atmosphere 2021, 12, 1351. https://doi.org/10.3390/atmos12101351
Scotto C, Sabbagh D. Climatology of Spread F over Tucumán from Massive Statistical Analysis of Autoscaled Data. Atmosphere. 2021; 12(10):1351. https://doi.org/10.3390/atmos12101351
Chicago/Turabian StyleScotto, Carlo, and Dario Sabbagh. 2021. "Climatology of Spread F over Tucumán from Massive Statistical Analysis of Autoscaled Data" Atmosphere 12, no. 10: 1351. https://doi.org/10.3390/atmos12101351
APA StyleScotto, C., & Sabbagh, D. (2021). Climatology of Spread F over Tucumán from Massive Statistical Analysis of Autoscaled Data. Atmosphere, 12(10), 1351. https://doi.org/10.3390/atmos12101351

