Drought Trends in the Polish Carpathian Mts. in the Years 1991–2020
Abstract
1. Introduction
2. Study Area
3. Materials and Methods
- SPI (Standardized Precipitation Index) [39]: it is based on the probability of precipitation which is the only input parameter. SPI was calculated for 1-, 3- and 6- monthly timescales for each station: SPI ≤−2.0—extreme drought, −1.99 < SPI ≤ −1.50—strong drought, −1.49 < SPI ≤ −1.00—moderate drought, −0.99 < SPI < 0.99 near normal conditions, 1.0 < SPI < 1.49 moderately wet, 1.5 < SPI < 1.99 very wet.
- RPI (Relative Precipitation Index) is the ratio of precipitation sum for the given period and the long-term average for the same period expressed in percent [40]. It was calculated for each month and station; the values for particular months were interpreted following the intensity scale: <25%—extremely dry, 25–50%—very dry, 51–75%—dry, 76–125%—normal, 126–150%—wet, 151–200%—very wet, >200%—extremely wet.
- Selianinov index describes humidity conditions in relation to the needs of the environment; the volume of precipitation is determined together with the potential for its use by plants, depending on the thermal conditions [41]. According to its formula (Appendix A), it was calculated for those months only when mean daily air temperature exceeded 10 °C; then the months were classified as follows: <0.4—extremely dry, 0.4–0.7—very dry, 0.8–1.0—dry, 1.1–1.3—moderately dry, 1.4–1.6—optimal, 1.7–2.0—moderately wet, 2.1–2.5—wet, 2.6–3.0—very wet, >3.0—extremely wet.
- SPEI (Standardized Precipitation Evapotranspiration Index) is a standardized monthly climatic balance computed as the difference between the cumulative precipitation and the potential evapotranspiration [42]. It was calculated for 1-, 3- and 6-each monthly timescales and for each station. The following drought classes were applied: ≥2—exceptionally wet, 1.6–1.99—extremely wet, 1.3–1.59—severely wet, 0.8–1.29—moderately wet, 0.5–0.79—slightly wet, 0.49 to −0.49—normal, −0.5 to −0.79—slightly dry, −0.8 to −1.29—moderate drought, −1.3 to −1.59—severe drought, −1.6 to −1.99—extreme drought, ≤−2—exceptional drought.
4. Results
4.1. Air Temperature and Precipitation Variability
- TPZ 1: The highest parts of the Carpathians, located above 1500 m a.s.l., represented by Kasprowy Wierch, where mean annual air temperature is lowest (around 0 °C), and mean annual precipitation is highest (about 1800 mm); therefore, potential drought risk is the lowest.
- TPZ 2: The Carpathian basins and large valleys located at about 500–900 m a.s.l., represented by Zakopane, Krynica and Komańcza, where annual precipitation exceeds 800 mm, and mean annual air temperature is about 6–7 °C, which allows potential drought risk to be considered as relatively low.
- TPZ 3: The Carpathian basins and large valleys located at about 400–500 m a.s.l., represented by Lesko and Limanowa, with a mean annual air temperature of 8.2 °C and precipitation above 800 mm. Here the potential drought risk is medium.
- TPZ 4: The Carpathian foreland and foothills, together with basins located about 200–400 m a.s.l., represented by Bielsko-Biała, Gaik-Brzezowa, Nowy Sącz, Łazy, Kraków and Katowice, where the mean annual air temperature is the highest in the vertical profile (8.9–9.0 °C), and annual precipitation totals are very diversified, from 670 to 1000 mm, so the potential drought risk is high.
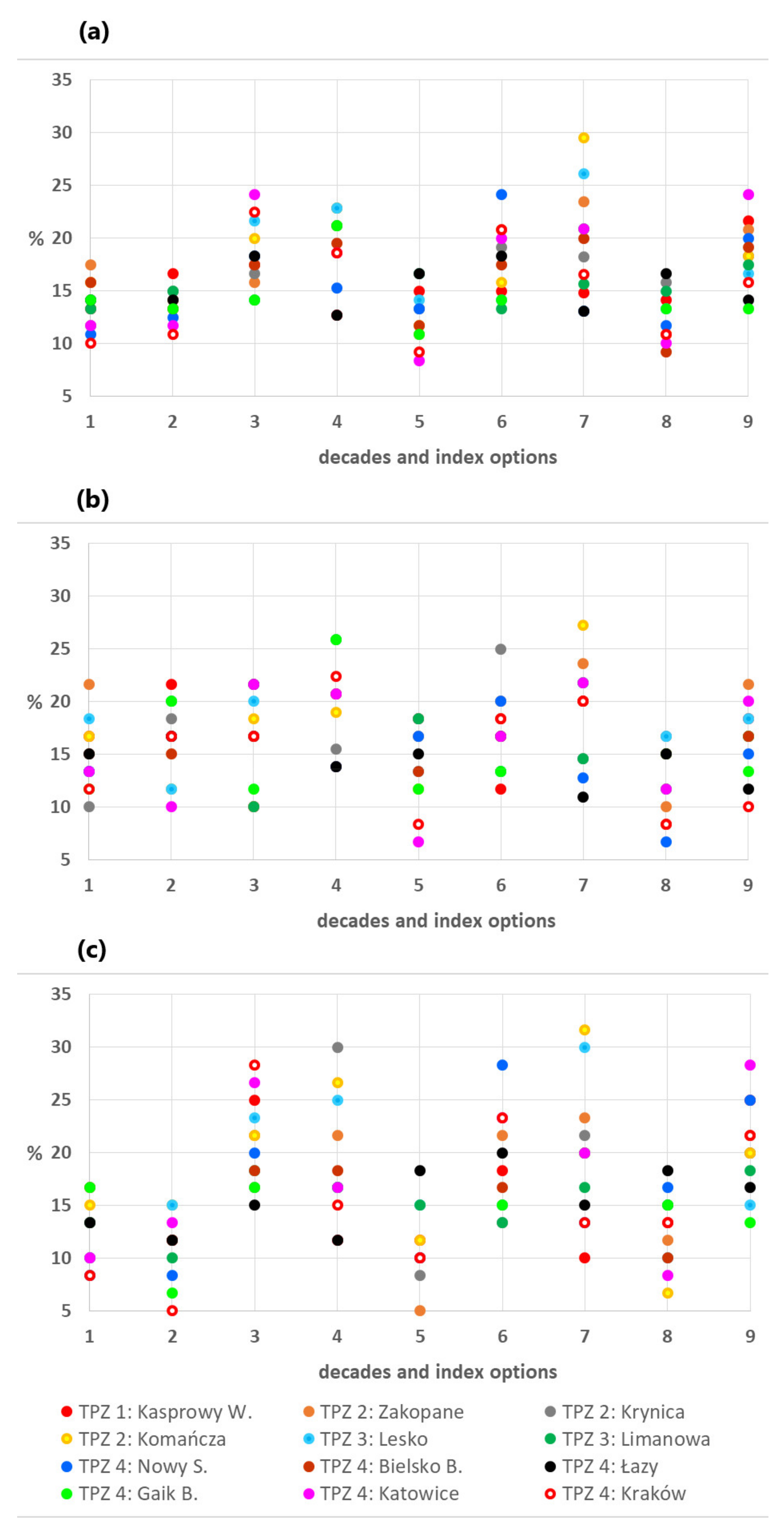
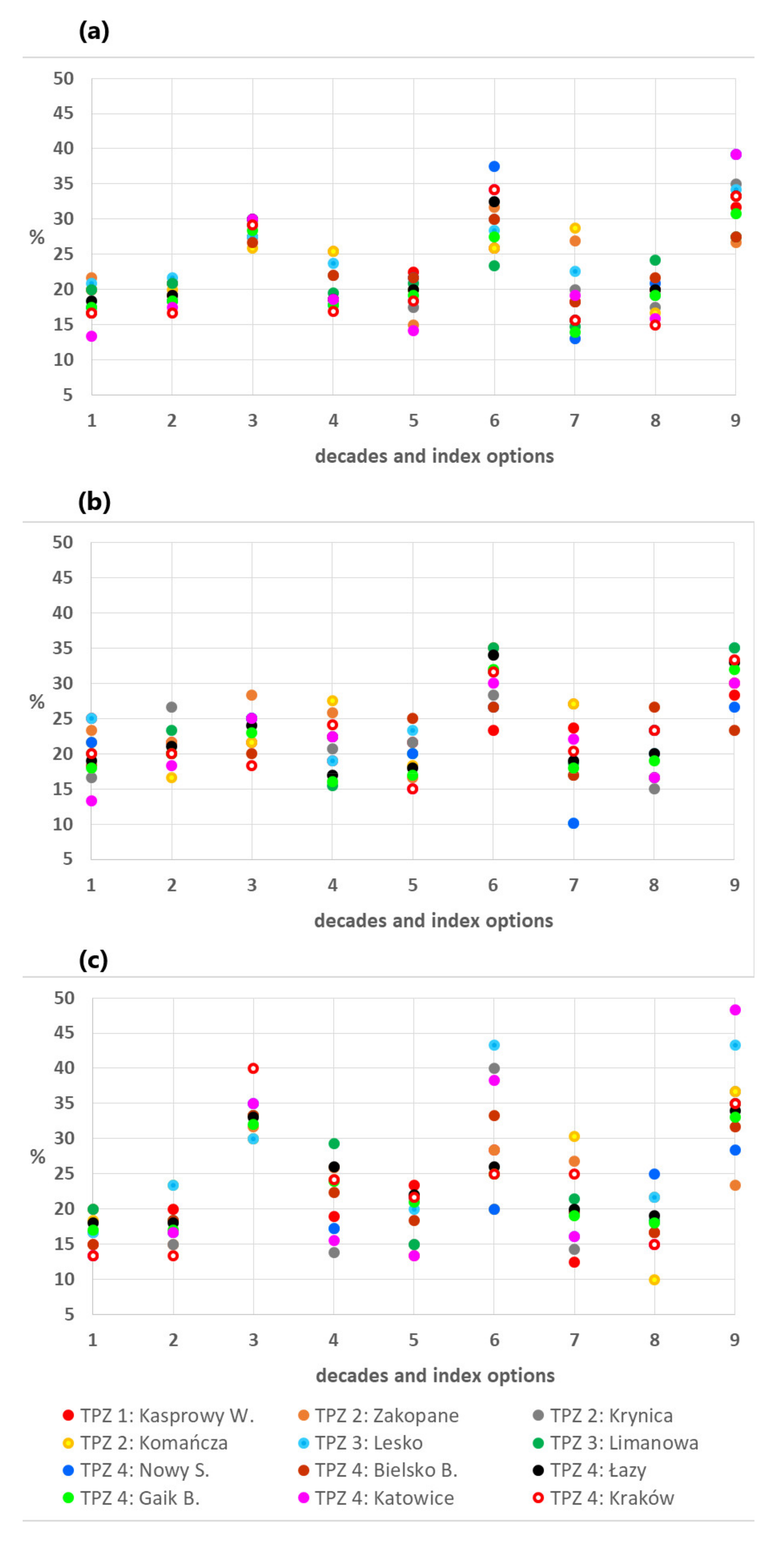
4.2. Drought Frequency and Trends in the Polish Carpathians
4.3. Drought Risk for Beech in the Polish Carpathians
5. Discussion
Author Contributions
Funding
Institutional Review Board Statement
Informed Consent Statement
Data Availability Statement
Acknowledgments
Conflicts of Interest
Appendix A
Appendix B
| Station | Mean Annual Air Temper. | Annual Total of Precip. | SPI 1 Month | SPI 3 Months | SPI 6 Months | AI | FAI | EQ | MT |
|---|---|---|---|---|---|---|---|---|---|
| Kasprowy W. | 199 0.457 0.056 | −19 −0.044 | −1865 −0.029 | −2855 −0.045 | −2731 −0.044 | na | na | na | na |
| Zakopane | 201 0.462 0.059 | 69 0.159 | 1818 0.028 | 3862 0.061 | 4739 0.076 | −15 −0.034 | 3 0.007 | −7 −0.016 | 173 0.398 0.048 |
| Krynica | 205 0.471 0.055 | 81 0.186 | 1824 0.028 | 4197 0.066 | 5081 0.081 | 23 0.053 | −9 −0.021 | −33 −0.076 | 155 0.356 0.043 |
| Komańcza | 213 0.489 0.061 | 51 0.117 | 2183 0.034 | 4266 0.067 | 5088 0.081 | −21 −0.048 | −33 −0.076 | −3 −0.007 | 195 0.448 0.045 |
| Lesko | 221 0.508 0.062 | 35 0.080 | 2632 0.041 | 3518 0.055 | 3382 0.054 | −31 −0.071 | −25 −0.057 | 9 0.021 | 175 0.402 0.048 |
| Limanowa | 221 0.508 0.067 | 37 0.085 | 1076 0.017 | 3335 0.052 | 4306 0.069 | −13 −0.030 | −21 −0.048 | 1 0.002 | 201 0.462 0.063 |
| Nowy S. | 187 0.429 0.059 | −11 −0.025 | −2015 −0.031 | −1992 −0.031 | −1925 −0.031 | −45 −0.103 | 17 0.039 | 37 0.085 | 177 0.407 0.053 |
| Bielsko B. | 203 0.466 0.063 | 35 0.080 | 414 0.006 | 2524 0.040 | 3079 0.049 | −1 −0.002 | 5 0.011 | 11 0.025 | 159 0.366 0.057 |
| Łazy | 185 0.425 0.057 | 33 0.076 | 878 0.014 | 3253 0.051 | 3255 0.052 | −9 −0.021 | −3 −0.007 | −5 −0.011 | 162 0.375 0.041 |
| Gaik B. | 190 0.467 0.065 | 48 0.118 | 2227 0.037 | 4150 0.070 | 5110 0.087 | 6 0.015 | −4 −0.010 | −10 −0.025 | 196 0.483 0.063 |
| Katowice | 190 0.436 0.055 | −13 −0.030 | −1584 −0.025 | −1408 −0.022 | −3117 −0.050 | −59 −0.136 | −1 −0.002 | 29 0.067 | 143 0.329 0.042 |
| Kraków | 170 0.390 0.052 | −5 −0.011 | −1857 −0.029 | −1972 −0.031 | −2947 −0.047 | −57 −0.131 | 1 0.002 | 35 0.080 | 143 0.329 0.039 |
Appendix C
| Decade | Kasprowy W. | Zakopane | Krynica | Komańcza | Lesko | Limanowa | Nowy S. | Bielsko B. | Łazy | Gaik B. | Katowice | Kraków |
|---|---|---|---|---|---|---|---|---|---|---|---|---|
| Air temperature | ||||||||||||
| 1991–2000 | 0.186 | 0.253 | 0.213 | 0.234 | 0.256 | 0.259 | 0.295 | 0.310 | 0.267 | 0.308 | 0.276 | 0.283 |
| 2001–2010 | 0.188 | 0.180 | 0.141 | 0.181 | 0.165 | 0.214 | 0.194 | 0.199 | 0.205 | 0.204 | 0.189 | 0.189 |
| 2011–2020 | 0.165 | 0.160 | 0.175 | 0.197 | 0.186 | 0.189 | 0.180 | 0.188 | 0.175 | 0.196 | 0.193 | 0.210 |
| Precipitation | ||||||||||||
| 1991–2000 | 89,065 | 44,822 | 25,336 | 26,587 | 31,309 | 40,597 | 30,344 | 50,045 | 28,757 | 47,517 | 37,713 | 33,755 |
| 2001–2010 | 112,533 | 67,436 | 43,544 | 36,754 | 42,832 | 77,618 | 53,026 | 66,311 | 65,414 | 78,120 | 35,040 | 48,688 |
| 2011–2020 | 83,909 | 47,339 | 36,619 | 36,037 | 27,844 | 43,163 | 32,619 | 46,110 | 35,948 | 42,072 | 34,658 | 20,368 |
Appendix D
| Station | 1-Month SPEI | 3-Month SPEI | 6-Month SPEI |
|---|---|---|---|
| Kasprowy W. | na | −4498 | −4639 |
| −0.070 | −0.074 | ||
| −0.001 | −0.001 | ||
| Katowice | −4754 | −6267 | −8855 |
| −0.074 | −0.098 | −0.141 | |
| −0.001 | −0.002 | −0.002 | |
| Nowy S. | −4861 | −6567 | −7649 |
| −0.075 | −0.103 | −0.122 | |
| −0.001 | −0.002 | −0.002 | |
| Kraków | −4796 | −6767 | −9261 |
| −0.074 | −0.106 | −0.147 | |
| −0.001 | −0.002 | −0.002 |
Appendix E
| Station | Equation | R2 |
|---|---|---|
| Zakopane | y = 0.0443x + 13.376 | 0.2593 |
| Krynica | y = 0.0394x + 14.199 | 0.2718 |
| Komańcza | y = 0.045x + 14.604 | 0.3366 |
| Lesko | y = 0.0435x + 15.504 | 0.2792 |
| Limanowa | y = 0.0575x + 15.473 | 0.3495 |
| Nowy Sącz | y = 0.0447x + 16.504 | 0.2747 |
| Bielsko-Biała | Y = 0.0492x + 16.067 | 0.2572 |
| Łazy | y = 0.0377x + 16.655 | 0.2285 |
| Gaik-Brzezowa | y = 0.0603x + 16.408 | 0.4182 |
| Katowice | y = 0.0406 + 16.604 | 0.1912 |
| Kraków | y = 0.037x + 16.882 | 0.1868 |
References
- Mishra, A.K.; Singh, V.P. A review of drought concepts. J. Hydrol. 2010, 391, 202–216. [Google Scholar] [CrossRef]
- IPCC. Climate Change 2014: Synthesis Report. Contribution of Working Groups I, II and III to the Fifth Assessment Report of the Intergovernmental Panel on Climate Change; IPCC: Geneva, Switzerland, 2014; p. 151. Available online: https://www.ipcc.ch/report/ar5/syr/ (accessed on 5 August 2021).
- Haslinger, K.; Schöner, W.; Anders, I. Future drought probabilities in the Greater Alpine Region based on COSMO-CLM experiments-spatial patterns and driving forces. Meteor. Zeit. 2015, 25, 137–148. [Google Scholar] [CrossRef]
- Spinoni, J.; Naumann, G.; Vogt, J.; Barbosa, P. Meteorological Droughts in Europe: Events and Impacts—Past Trends and Future Projections; Publications Office of the European Union: Luxembourg, 2016. [Google Scholar] [CrossRef]
- Spinoni, J.; Antofie, T.; Barbosa, P.; Bihari, Z.; Lakatos, M.; Szalai, S.; Szentimey, T.; Vogt, J. An overview of drought events in the Carpathian Region in 1961–2010. Adv. Sci. Res. 2013, 10, 21–32. [Google Scholar] [CrossRef]
- IPCC. Sixth Assessment Report, Working Group I—The Physical Science Basis, Regional Fact Sheet—Europe. 2021. Available online: https://www.ipcc.ch/report/ar6/wg1/#Regional (accessed on 5 August 2021).
- János Vágó-András Hegedűs-Endre Dobos. Analysis of drought conditions in the Carpathians using standardized precipitation index (SPI) 1951–2050. Geosci. Eng. 2013, 2, 66–80. [Google Scholar]
- Antofie, T.; Naumann, G.; Spinoni, J.; Vogt, J. Estimating the water needed to end the drought or reduce the drought severity in the Carpathian region. Hydrol. Earth Syst. Sci. 2015, 19, 177–193. [Google Scholar] [CrossRef]
- Škvarenina, J.; Tomlain, J.; Hrvoľ, J.; Škvareninová, J.; Nejedlík, P. Progress in dryness and wetness parameters in altitudinal vegetation stages of West Carpathians: Time-series analysis 1951–2007. IDŐJÁRÁS Q. J. Hung. Meteorol. Serv. 2009, 113, 47–54. [Google Scholar]
- Mezősi, G.; Blanka, V.; Ladányi, Z.; Bata, T.; Urdea, P.; Frank, A.; Meyer, B.C. Expected mid- and long-term changes in drought hazard for the south-eastern Carpathian basin. Carpathian J. Earth Environ. Sci. 2016, 11, 355–366. [Google Scholar]
- Crocetti, L.; Forkel, M.; Fischer, M.; Jurečka, F.; Grl, A.; Salentinig, A.; Trnka, M.; Anderson, M.; Ng, W.-T.; Kokalj, Z.; et al. Earth Observation for agricultural drought monitoring in the Pannonian Basin (southeastern Europe): Current state and future directions. Reg. Environ. Chang. 2020, 20, 123. [Google Scholar] [CrossRef]
- Skvarenina, J.; Tomlain, J.; Hrvol’, J.; Skvareninova, J. Occurrence of Dry and Wet Periods in Altitudinal Vegetation Stages of West Carpathians in Slovakia: Time-Series Analysis 1951–2005. In Bioclimatology and Natural Hazards; Strelcová, K., Matyas, C., Kleidon, A., Lapin, M., Matejka, F., Blazenec, M., Skvarenina, J., Holecy, J., Eds.; Springer: Amsterdam, The Netherlands, 2009; pp. 97–106. [Google Scholar] [CrossRef]
- Vido, J.; Nalevanková, P. Drought in the Upper Hron Region (Slovakia) between the Years 1984–2014. Water 2020, 12, 2887. [Google Scholar] [CrossRef]
- Cheval, S.; Busuioc, A.; Dumitrescu, A.; Birsan, M.-V. Spatiotemporal variability of meteorological drought in Romania using the standardized precipitation index (SPI). Clim. Res. 2014, 60, 235–248. [Google Scholar] [CrossRef]
- Vido, J.; Tadesse, T.; Šustek, Z.; Kandrík, R.; Hanzelová, M.; Škvarenina, J.; Škvareninová, J.; Hayes, M. Drought Occurrence in Central European Mountainous Region (Tatra National Park, Slovakia) within the Period 1961–2010. Adv. Meteorol. 2015, 248728. [Google Scholar] [CrossRef]
- Kholiavchuk, D.; Cebulska, M. Precipitation Shortage in the High Ukrainian and Polish Carpathians. In Proceedings of the Air and Water—Components of the Environment Conference, Cluj-Napoca, Romania, 25–26 March 2021; pp. 33–42. [Google Scholar] [CrossRef]
- Kalbarczyk, R.; Kalbarczyk, E.; Leshchenko, O. Występowanie suszy atmosferycznej w półroczu ciepłym 2018 roku w Polsce—ocena intensywności i zasięgu [Occurrence of Atmospheric Drought in the Warm Half-Year in 2018 in Poland—Assessment of Intensity and Range]. In Zmienność Klimatu Polski i Europy oraz jej Cyrkulacyjne Uwarunkowania [Variability of the Climate of Poland and Europe and Its Circulation Background]; Kolendowicz, L., Bednorz, E., Tomczyk, A.M., Eds.; Bogucki Wyd. Naukowe: Poznan, Poland, 2019; pp. 105–116. [Google Scholar]
- Łabędzki, L.; Bąk, B. Prognozowanie suszy meteorologicznej i rolniczej w systemie monitorowania suszy na Kujawach i w Dolinie Górnej Noteci [Predicting meteorological and agricultural drought in the system of drought monitoring in Kujawy and the upper Notec valley]. Infrastruct. Ecol. Rural. Areas 2011, 5, 19–28. Available online: http://www.infraeco.pl/pl/art/a_16106.htm?plik=904 (accessed on 5 August 2021).
- Bartoszek, K. Występowanie susz atmosferycznych w okolicy Lublina i ich uwarunkowania cyrkulacyjne [Occurrence of atmospheric droughts in the Lublin area and atmospheric circulation conditions]. Ann. Univ. Mariae Curie-Skłodowska Sec. E 2014, 69, 49–61. Available online: https://czasopisma.up.lublin.pl/index.php/as/article/view/679/518 (accessed on 5 August 2021).
- Twardosz, R. Charakterystyka okresów bezopadowych w Krakowie 1863–1995 [The characteristic of dry spells in Cracow in period 1863–1995]. Geogr. Rev. 1999, 71, 435–446. [Google Scholar]
- Cebulska, M. Okresy bez opadów i ze słabymi opadami w polskich Karpatach (1984–2013) [Periods without precipitation and with low precipitation in the Polish Carpathians in the years of 1984–2013]. Pol. J. Agron. 2013, 34, 52–61. [Google Scholar] [CrossRef]
- Cebulska, M. Niedobór opadów atmosferycznych w okresie wegetacyjnym w zlewni Małej Wisły (1984–2013) [Deficiencies of precipitation in the growing season in the Mała Wisła catchment (1984–2013)]. Acta Sci. Pol. Form. Circumiectus 2016, 15, 13–26. Available online: http://www.formatiocircumiectus.actapol.net/pub/15_2_13.pdf (accessed on 5 August 2021). [CrossRef]
- Somorowska, U. Wzrost zagrożenia suszą hydrologiczną w różnych regionach geograficznych Polski w XX wieku [Increase in the hydrological drought risk in different geographical regions of Poland in the 20th century]. Geogr. Works Stud. 2009, 43, 97–114. Available online: https://wgsr.uw.edu.pl/wgsr/wp-content/uploads/2018/11/Somorowska.pdf (accessed on 5 August 2021).
- Doroszewski, A.; Jóźwicki, T.; Wróblewska, E.; Kozyra, J. Susza Rolnicza w Polsce w Latach 1961–2010 [Agricultural Drought in Poland in the Years 1961–2010]; Institute of Soil Science and Plant Cultivation-State Research Institute: Puławy, Poland, 2014; ISBN 978-83-7562-171-6. [Google Scholar]
- Spinoni, J.; Szalai, S.; Szentimrey, T.; Lakatos, M.; Bihari, Z.; Nagy, A.; Németh, A.; Kovács, T.; Mihic, D.; Dacic, M.; et al. Climate of the Carpathian Region in the period 1961–2010: Climatologies and trends of 10 variables. Int. J. Climatol. 2015, 35, 1322–1341. [Google Scholar] [CrossRef]
- Gurung, A.B.; Bokwa, A.; Chełmicki, W.; Elbakidze, M.; Hirschmugl, M.; Hostert, P.; Ibisch, P.; Kozak, J.; Kuemmerle, T.; Matei, E.; et al. Global change research in the Carpathian Mountain Region. Mt. Res. Dev. 2009, 28, 282–288. [Google Scholar] [CrossRef][Green Version]
- Izmaiłow, B.; Kaszowski, L.; Krzemień, K.; Święchowicz, J. Rzeźba [Relief]. In Karpaty Polskie [The Polish Carpathians]; Warszyńska, J., Ed.; Institute of Geography, Jagiellonian University: Krakow, Poland, 1995; pp. 23–30. [Google Scholar]
- Kondracki, J. Geografia Polski [Geography of Poland]; PWN: Warsaw, Poland, 1978; p. 463. [Google Scholar]
- Hess, M. Piętra klimatyczne w Polskich Karpatach Zachodnich [Vertical climatic zones in the Polish Western Carpathians]. Prace Geogr. Uniw. Jagiell. 1965, 11, 266. [Google Scholar]
- Obrębska-Starklowa, B. Typologia i Regionalizacja Fenologiczno-Klimatyczna na Przykładzie Dorzecza Górnej Wisły [Phenological-Climatological Typology and Regionalization with the Upper Vistula River Basin as an Example]; Series: Habilitation Dissertations of the Jagiellonian University, 11; Jagiellonian University: Kraków, Poland, 1977. [Google Scholar]
- Niedźwiedź, T. Sytuacje Synoptyczne i ich Wpływ na Zróżnicowanie Przestrzenne Wybranych Elementów Klimatu w Dorzeczu Górnej Wisły [Synoptic Situations and Their Impact on Spatial Variability of Selected Climate Elements in the Upper Vistula River Basin]; Series: Habilitation Dissertations of the Jagiellonian University, 58; Jagiellonian University: Kraków, Poland, 1981. [Google Scholar]
- Niedźwiedź, T.; Obrębska-Starklowa, B. Klimat [Climate]. In Dorzecze Górnej Wisły [The Upper Vistula River Basin]; Dynowska, I., Maciejewski, M., Eds.; PWN: Warsaw-Kraków, Poland, 1991. [Google Scholar]
- Bokwa, A.; Wypych, A.; Ustrnul, Z. Climate Changes in the Vertical Zones of the Polish Carpathian in the Last 50 Years. In The Carpathians: Integrating Nature and Society towards Sustainability; Kozak, J., Ostapowicz, K., Bytnerowicz, A., Wyżga, B., Eds.; Springer: Berlin/Heidelberg, Germany, 2013; pp. 89–110. ISBN 978-3-642-12724-3. [Google Scholar]
- Micu, D.M.; Dumitrescu, A.; Cheval, S.; Birsan, M.-V. Climate of the Romanian Carpathians, Variability and Trends; Springer: Cham, Switzerland, 2015; p. 221. ISBN 978-3-319-02886-6. [Google Scholar] [CrossRef]
- Kobiv, Y. Response of rare alpine plant species to climate change in the Ukrainian Carpathians. Folia Geobot. 2017, 52, 217–236. [Google Scholar] [CrossRef]
- Obrębska-Starklowa, B.; Hess, M.; Olecki, Z.; Trepińska, J.; Kowanetz, L. Klimat [Climate]. In Karpaty Polskie [The Polish Carpathians]; Warszyńska, J., Ed.; Institute of Geography, Jagiellonian University: Krakow, Poland, 1995; pp. 31–47. [Google Scholar]
- Towpasz, K.; Zemanek, B. Szata roślinna [Plants]. In Karpaty Polskie [The Polish Carpathians]; Warszyńska, J., Ed.; Institute of Geography, Jagiellonian University: Krakow, Poland, 1995; pp. 77–94. [Google Scholar]
- European Environment Agency. Global and European Temperatures; EEA: København, Denmark, 2021; Available online: https://www.eea.europa.eu/data-and-maps/indicators/global-and-european-temperature-10/assessment (accessed on 5 August 2021).
- World Meteorological Organization. Standardized Precipitation Index User Guide; WMO-No. 1090; World Meteorological Organization: Geneva, Switzerland, 2012; p. 24. ISBN 978-92-63-11090-9. [Google Scholar]
- Gąsiorek, E.; Musiał, E. Porównanie i klasyfikacja warunków opadowych na podstawie wskaźnika standaryzowanego opadu i wskaźnika względnego opadu [Comparison and classification of precipitation conditions based on standardized SPI and relative RPI precipitation indices]. Water-Environ.-Rural Areas 2011, 11, 107–119. Available online: https://www.itp.edu.pl/old/wydawnictwo/woda/zeszyt_36_2011/artykuly/Gasiorek%20Musial.pdf (accessed on 5 August 2021).
- Gałęzewska, M.; Kapuściński, J. Próba określenia prawdopodobieństwa posuchy i suszy w Wielkopolsce na przykładzie Poznania [An attempt of defining the probability of drought in Wielkopolska region with Poznań as an example]. Ann. Agric. Acad. Poznań 1978, 105, 3–11. [Google Scholar]
- Vicente-Serrano, S.M.; Begueria, S.; Lopez-Moreno, J.I. A multi-scalar drought index sensitive to global warming: The Standardized Precipitation Evapotranspiration Index. J. Clim. 2010, 23, 1696–1718. [Google Scholar] [CrossRef]
- Ellenberg, H.; Weber, H.E.; Düll, R.; Wirth, V.; Werner, W.; Paulissen, D. Zeigerwerte von Pflanzen in Mitteleuropa. Scr. Geobot. 1991, 18, 1–248. [Google Scholar]
- Führer, E.; Horvath, L.; Jagodics, A.; Machon, A.; Szabados, I. Application of a new aridity index in Hungarian forestry practice. Idöjárás 2011, 115, 205–216. Available online: https://www.met.hu/en/ismeret-tar/kiadvanyok/idojaras/index.php?id=24 (accessed on 5 August 2021).
- Mayr, H. Waldbau auf Naturgesetzlicher Grundlage; Verlag Paul Perey: Berlin, Germany, 1909. [Google Scholar]
- Satmari, A. Lucrari Practice de Biogeografie (Practical Applications of Biogeography). Available online: http://www.academia.edu/9909429/05_indici_ecometrici (accessed on 28 July 2021).
- De Martonne, E. Une nouvelle fonction climatologique: L’indice d’aridité. La Meteorol. 1926, 2, 449–458. [Google Scholar]
- National Drought Mitigation Center—UNL, SPI Generator. 2018. Available online: https://drought.unl.edu/droughtmonitoring/SPI/SPIProgram.aspx (accessed on 5 August 2021).
- World Meteorological Organization. Guide to Hydrological Practices, Vol. II: Management of Water Resources and Application of Hydrological Practices; WMO-No. 168; World Meteorological Organization: Geneva, Switzerland, 2009; p. 302. ISBN 978-92-63-10168-6. [Google Scholar]
- Kendall, M.G. Rank Correlation Measures; Charles Griffin: London, UK, 1975. [Google Scholar]
- Mann, H.B. Non-parametric tests against trend. Econometrica 1945, 13, 245–259. [Google Scholar] [CrossRef]
- IPCC. Managing the Risks of Extreme Events and Disasters to Advance Climate Change Adaptation. In A Special Report of Working Groups I and II of the Intergovernmental Panel on Climate Change; Field, C.B., Barros, V., Stocker, T.F., Qin, D., Dokken, D.J., Ebi, K.L., Mastrandrea, M.D., Mach, K.J., Plattner, G.-K., Allen, S.K., et al., Eds.; Cambridge University Press: Cambridge, UK; New York, NY, USA, 2012; 582p. [Google Scholar]
- Wypych, A.; Ustrnul, Z.; Schmatz, D. Long-term variability of air temperature and precipitation conditions in the Polish Carpathians. J. Mt. Sci. 2018, 15, 237–253. [Google Scholar] [CrossRef]
- Trnka, M.; Balek, J.; Štěpánek, P.; Zahradniček, P.; Možny, M.; Eitzinger, J.; Žalud, Z.; Formayer, H.; Turňa, M.; Nejedlik, P.; et al. Drought trends over part of Central Europe between 1961 and 2014. Clim. Res. 2016, 70, 143–160. [Google Scholar] [CrossRef]
- Stephan, R.; Erfurt, M.; Terzi, S.; Žun, M.; Kristan, B.; Haslinger, K.; Stahl, K. An Inventory of Alpine Drought Impact Reports to explore past droughts in a mountain region. Nat. Hazards Earth Syst. Sci. 2021, 21, 2485–2501. [Google Scholar] [CrossRef]
- Ziernicka-Wojtaszek, A.; Kopcińska, J. Variation in Atmospheric Precipitation in Poland in the Years 2001–2018. Atmosphere 2020, 11, 794. [Google Scholar] [CrossRef]
- Hlasny, T.; Trombik, J.; Dobor, L.; Barcza, Z.; Barka, I. Future climate of the Carpathians: Climate change hot-spots and implications for ecosystems. Reg. Environ. Chang. 2016, 16, 1495–1506. [Google Scholar] [CrossRef]
- Berki, I.; Rasztovits, E.; Móricz, N.; Mátyás, C. Determination of the drought tolerance limit of beech forests and forecasting their future distribution in Hungary. In Proceedings of the VIII. Alps-Adria Scientific Workshop, Neum, Bosnia-Herzegovina, 27 April–2 May 2009; pp. 613–616. [Google Scholar] [CrossRef]
- Bosela, M.; Štefančík, I.; Petráš, R.; Vacek, S. The effects of climate warming on the growth of European beech forests depend critically on thinning strategy and site productivity. Agric. For. Meteorol. 2016, 222, 21–31. [Google Scholar] [CrossRef]
- Hohnwald, S.; Indreica, A.; Walentowski, H.; Leuschner, C. Microclimatic Tipping Points at the Beech-Oak Ecotone in the Western Romanian Carpathians. Forests 2020, 11, 919. [Google Scholar] [CrossRef]
- Kobiv, Y. Trends in Population Size of Rare Plant Species in the Alpine Habitats of the Ukrainian Carpathians under Climate Change. Diversity 2018, 10, 62. [Google Scholar] [CrossRef]
- Svitková, I.; Svitok, M.; Petrík, A.; Bernátová, D.; Senko, D.; Šibík, J. The Fate of Endangered Rock Sedge (Carex rupestris) in the Western Carpathians—The Future Perspective of an Arctic-Alpine Species under Climate Change. Diversity 2019, 11, 172. [Google Scholar] [CrossRef]
- Bosela, M.; Lukac, M.; Castagneri, D.; Sedmák, R.; Biber, P.; Carrer, M.; Konôpka, B.; Nola, P.; Nagel, T.A.; Popa, I.; et al. Contrasting effects of environmental change on the radial growth of co-occurring beech and fir trees across Europe. Sci. Total. Environ. 2018, 615, 1460–1469. [Google Scholar] [CrossRef]
- Blöschl, G.; Hall, J.; Viglione, A.; Perdigão, R.A.P.; Parajka, J.; Merz, B.; Lun, D.; Arheimer, B.; Aronica, G.T.; Bilibashi, A.; et al. Changing climate both increases and decreases European river floods. Nature 2019, 573, 108–111. [Google Scholar] [CrossRef]
- De Luca, D.L.; Petroselli, A.; Galasso, L.A. Transient Stochastic Rainfall Generator for Climate Changes Analysis at Hydrological Scales in Central Italy. Atmosphere 2020, 11, 1292. [Google Scholar] [CrossRef]










| No. | Station Name | Latitude (φ) | Longitude (λ) | Altitude m a.s.l | TPZ |
|---|---|---|---|---|---|
| 1 | Bielsko-Biała | 49°48′26″ N | 19°00′01″ E | 396 | 4 |
| 2 | Katowice | 50°14′26″ N | 19°01′58″ E | 278 | 4 |
| 3 | Kraków | 50°04′40″ N | 19°47′42″ E | 237 | 4 |
| 4 | Łazy | 49°57′55″ N | 20°29′43″ E | 245 | 4 |
| 5 | Gaik- Brzezowa | 49°52′00″ N | 20°05′00″ E | 303 | 4 |
| 6 | Nowy Sącz | 49°37′38″ N | 20°41′19″ E | 292 | 4 |
| 7 | Limanowa | 49°41′37″ N | 20°25′06″ E | 515 | 3 |
| 8 | Lesko | 49°27′59″ N | 22°20′30″ E | 420 | 3 |
| 9 | Krynica-Zdrój | 49°24′28″ N | 20°57′39″ E | 582 | 2 |
| 10 | Komańcza | 49°20′21″ N | 22°03′48″ E | 478 | 2 |
| 11 | Zakopane | 49°17′38″ N | 19°57′37″ E | 855 | 2 |
| 12 | Kasprowy Wierch | 49°13′57″ N | 19°58′55″ E | 1991 | 1 |
Publisher’s Note: MDPI stays neutral with regard to jurisdictional claims in published maps and institutional affiliations. |
© 2021 by the authors. Licensee MDPI, Basel, Switzerland. This article is an open access article distributed under the terms and conditions of the Creative Commons Attribution (CC BY) license (https://creativecommons.org/licenses/by/4.0/).
Share and Cite
Bokwa, A.; Klimek, M.; Krzaklewski, P.; Kukułka, W. Drought Trends in the Polish Carpathian Mts. in the Years 1991–2020. Atmosphere 2021, 12, 1259. https://doi.org/10.3390/atmos12101259
Bokwa A, Klimek M, Krzaklewski P, Kukułka W. Drought Trends in the Polish Carpathian Mts. in the Years 1991–2020. Atmosphere. 2021; 12(10):1259. https://doi.org/10.3390/atmos12101259
Chicago/Turabian StyleBokwa, Anita, Mariusz Klimek, Paweł Krzaklewski, and Wojciech Kukułka. 2021. "Drought Trends in the Polish Carpathian Mts. in the Years 1991–2020" Atmosphere 12, no. 10: 1259. https://doi.org/10.3390/atmos12101259
APA StyleBokwa, A., Klimek, M., Krzaklewski, P., & Kukułka, W. (2021). Drought Trends in the Polish Carpathian Mts. in the Years 1991–2020. Atmosphere, 12(10), 1259. https://doi.org/10.3390/atmos12101259
